Unresolved CFD and DEM Coupled Solver for Particle-Laden Flow and Its Application to Single Particle Settlement
Abstract
1. Introduction
2. Computational Methods
2.1. Discrete Element Method (DEM)
2.2. Computational Fluid Dynamics (CFD)
2.3. Kernel-Based Averaging Method
2.4. Volume Fraction in Drag Model
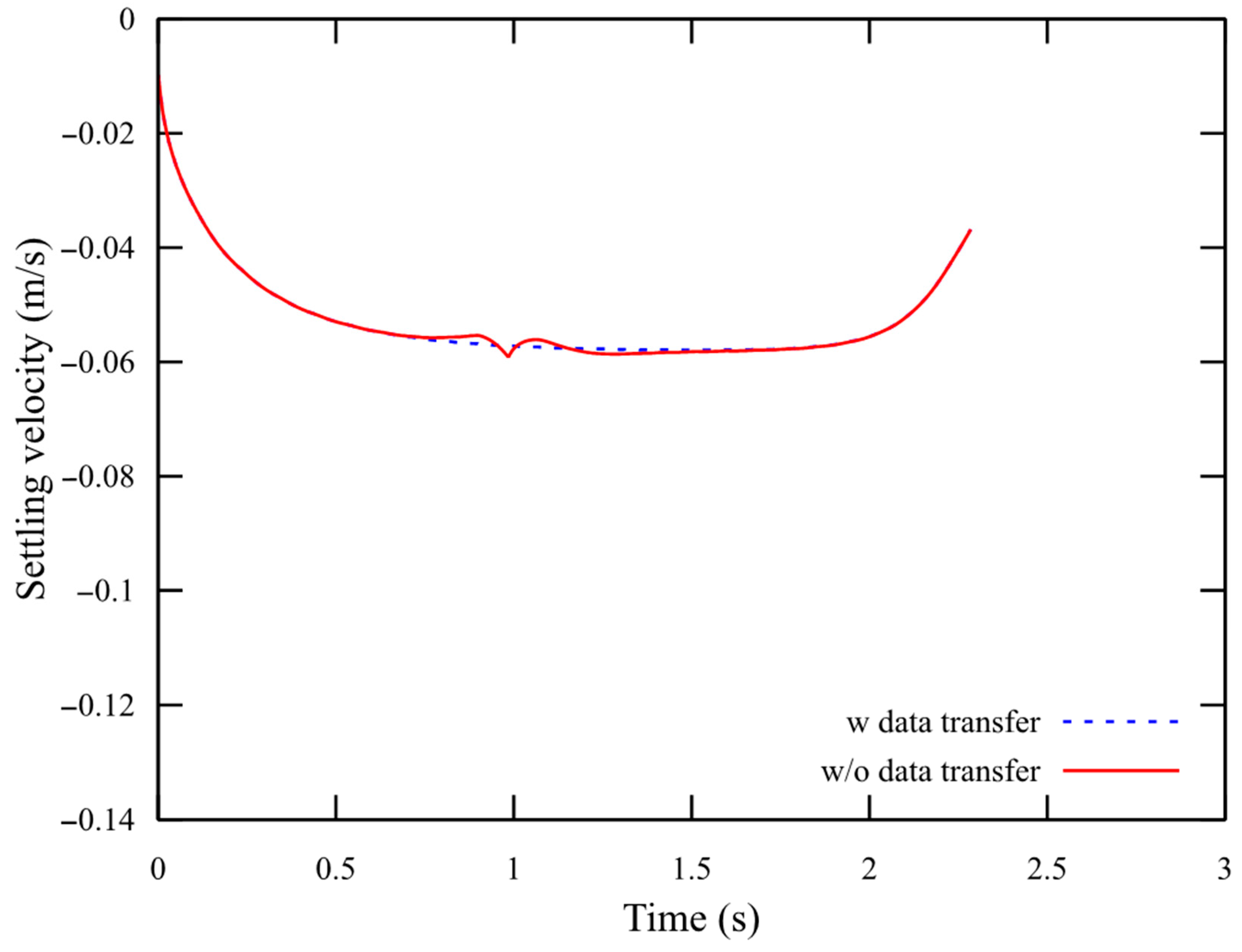
2.5. Parallelization of Computing Resources
- (i)
- In Figure 2a, the cells in the particle “A” of each processor were marked. Cell number 5 in processor [0] and cell number 0 in processor [1] were selected.
- (ii)
- A sub-cell list in the support region was created in each processor in Figure 2b. The sub-cell list in processor [0] was 5, 1, 2, 4, and 8, while the sub-cell list in processor [1] was 0 and 2.
- (iii)
- For the data transfer between sub-cells, the weighting factors were calculated in Figure 2c.
- (iv)
- Calculations of , and using the weighting factors were carried out.
2.6. Numerical Methods
3. Results and Discussion
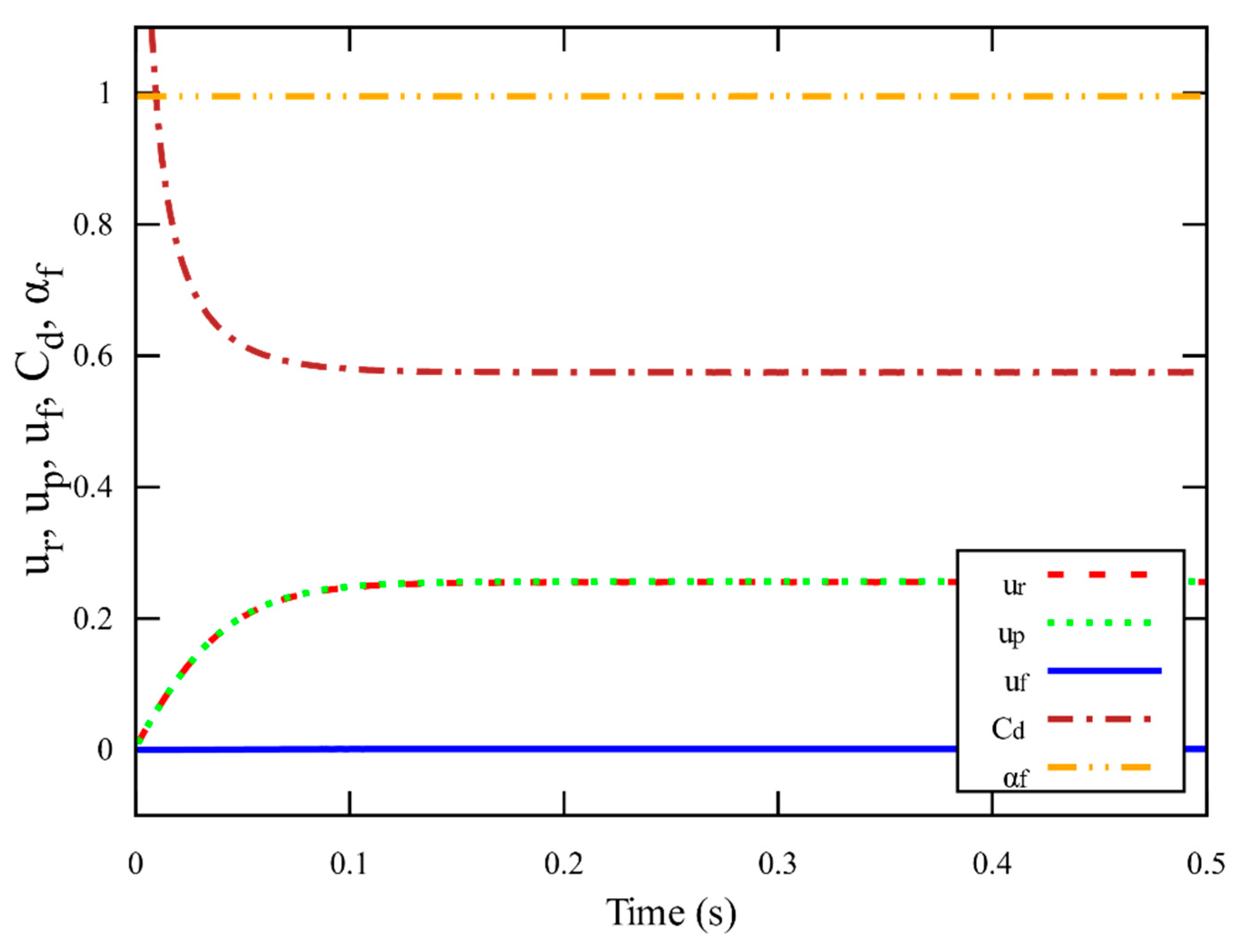
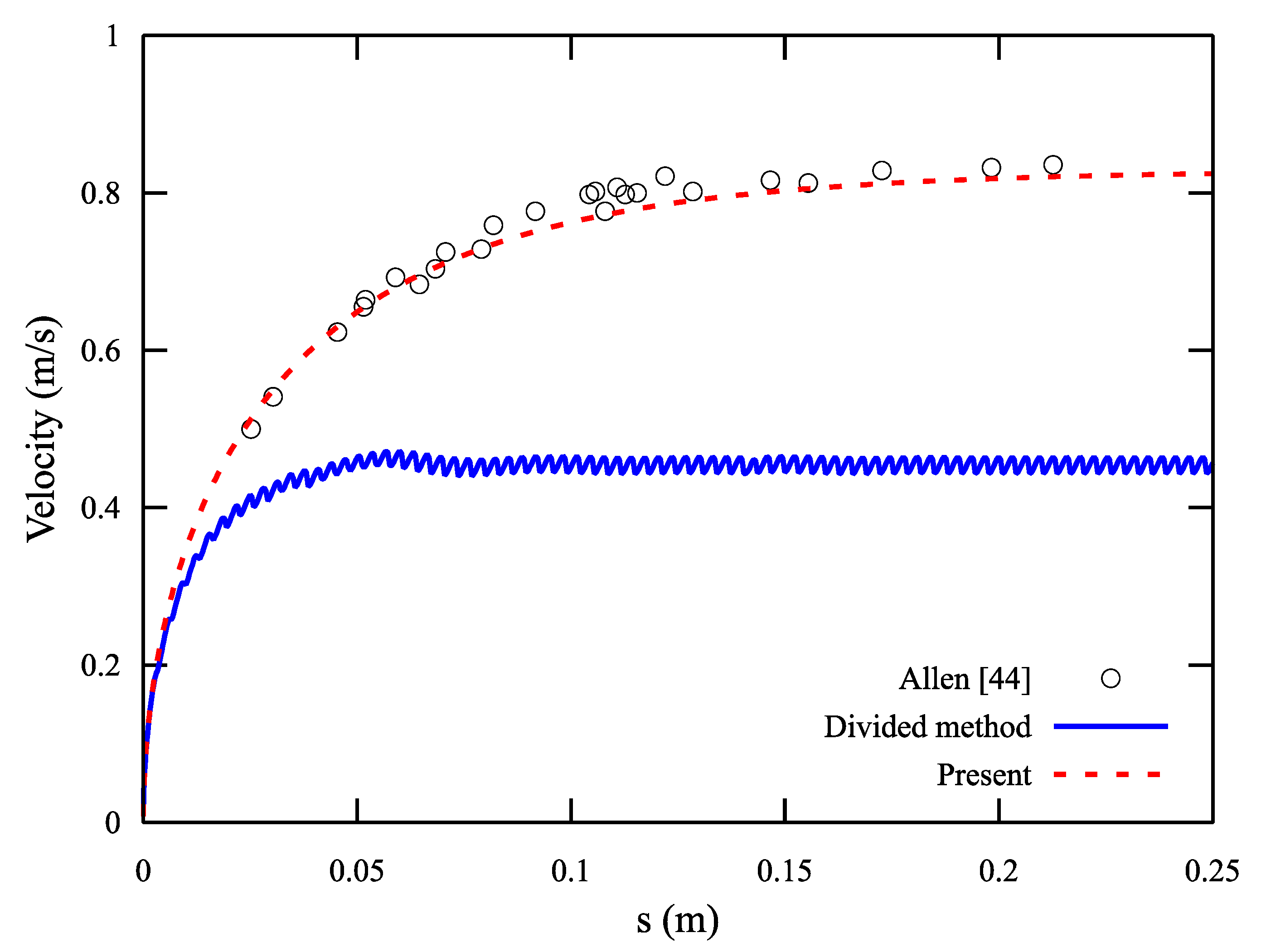
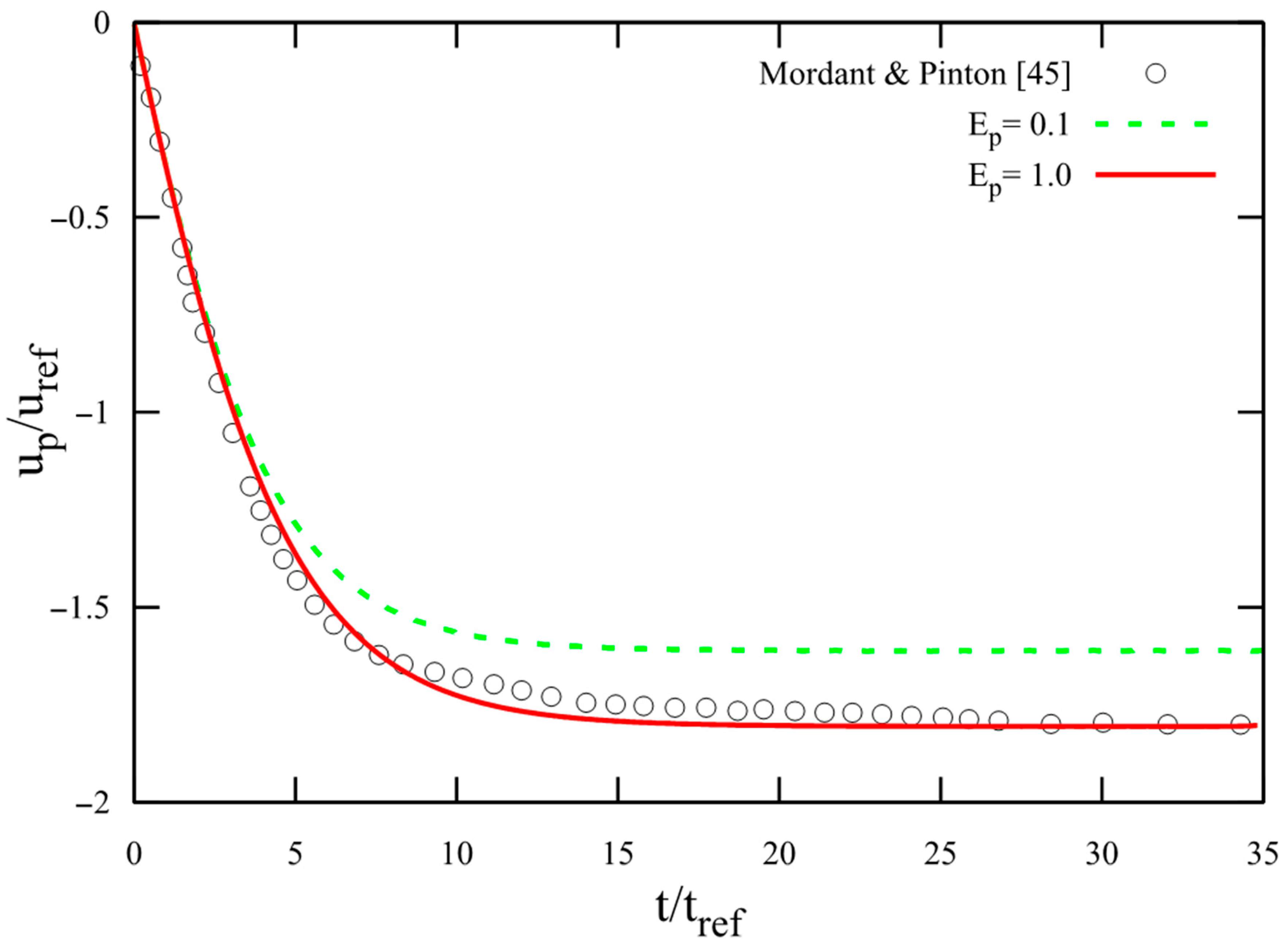
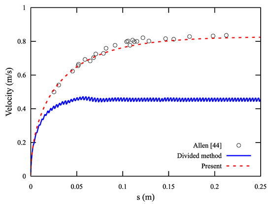
3.1. Free Settling of a Sand Particle in Water
3.2. Free Settling of a Steel Sphere in Water
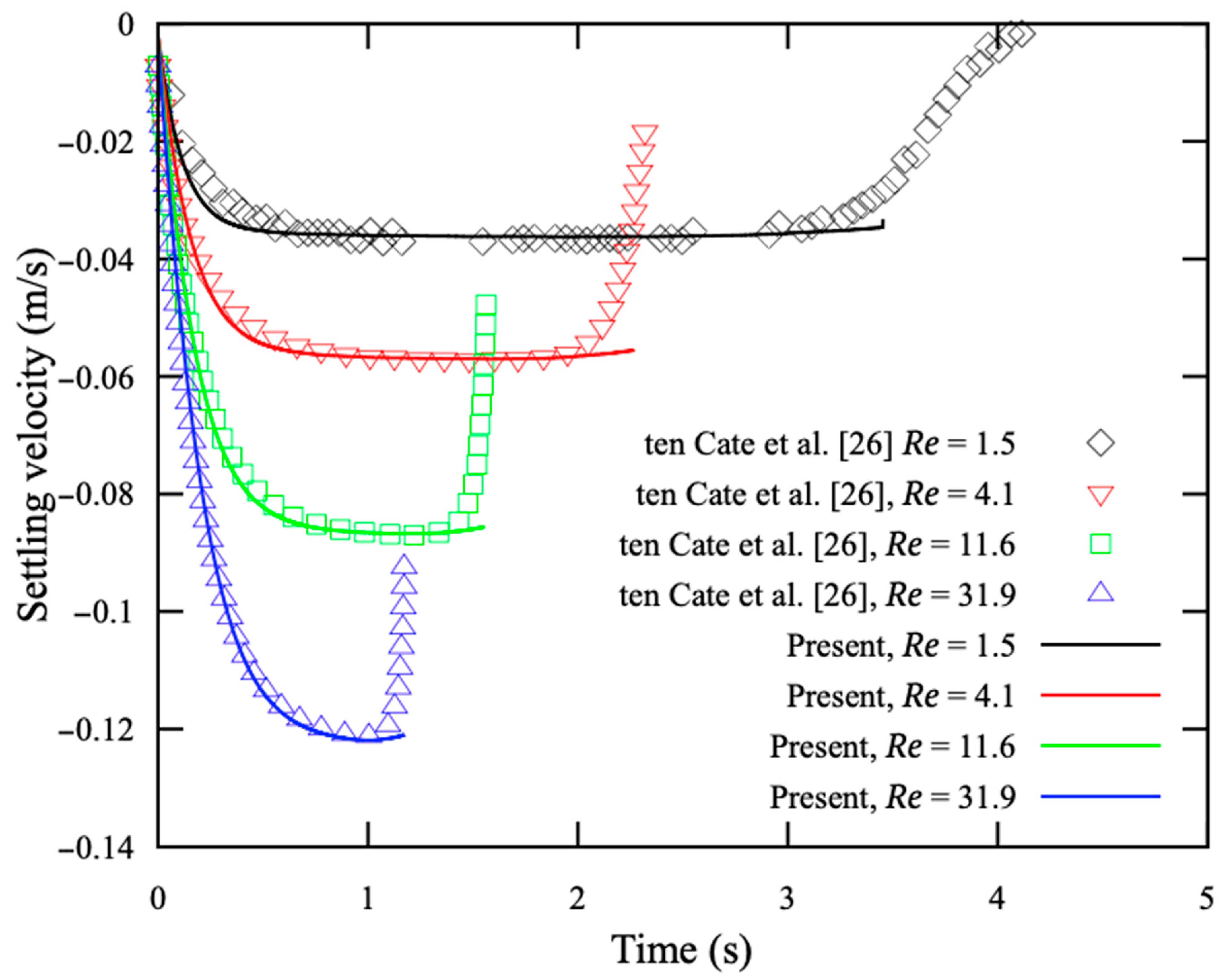
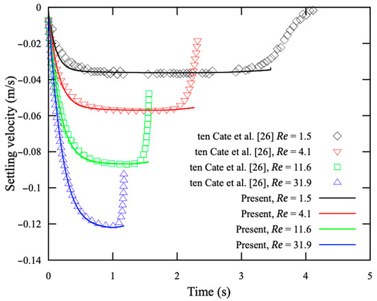
3.3. Free Settling of a Glass Sphere in Water
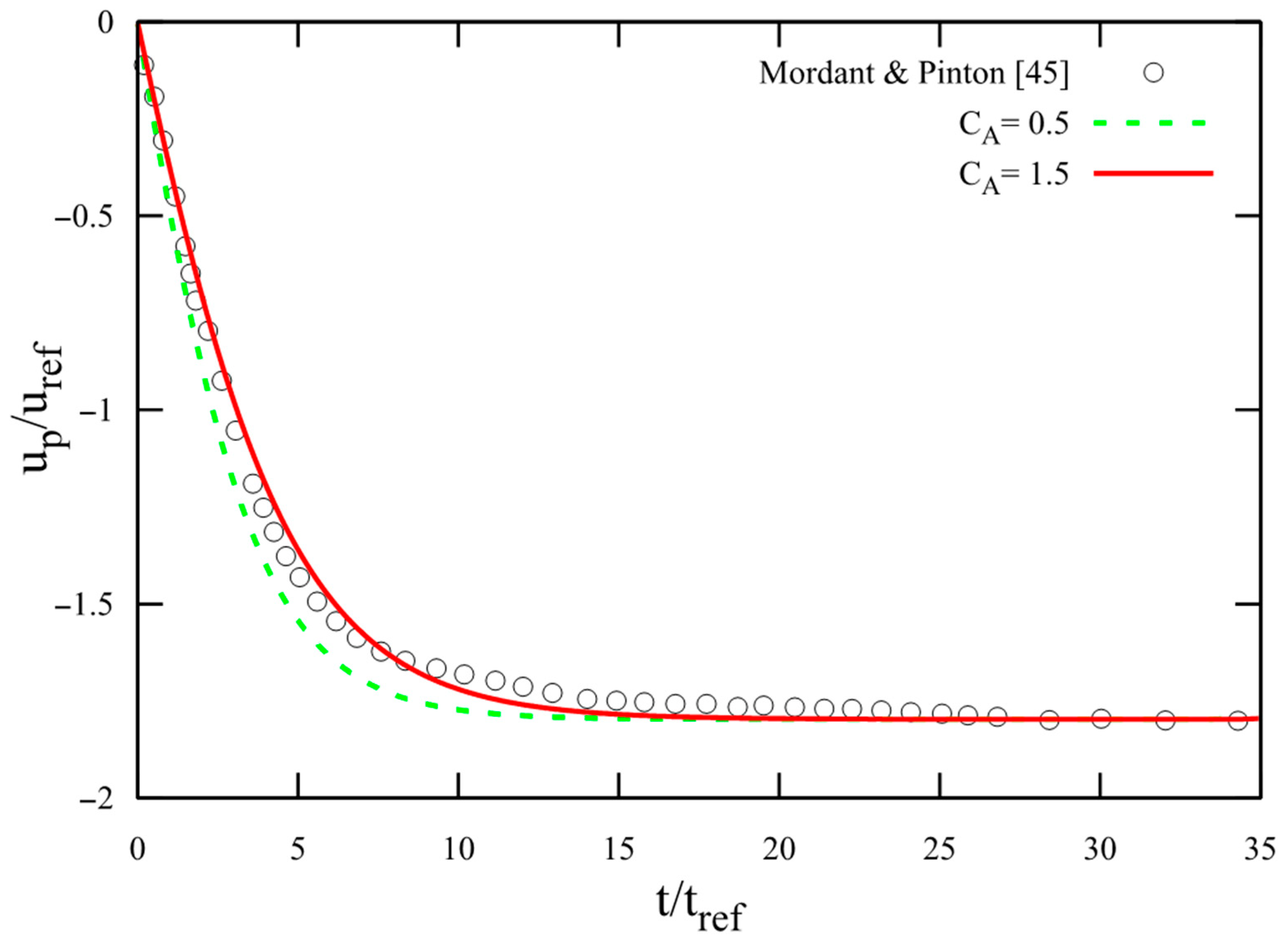
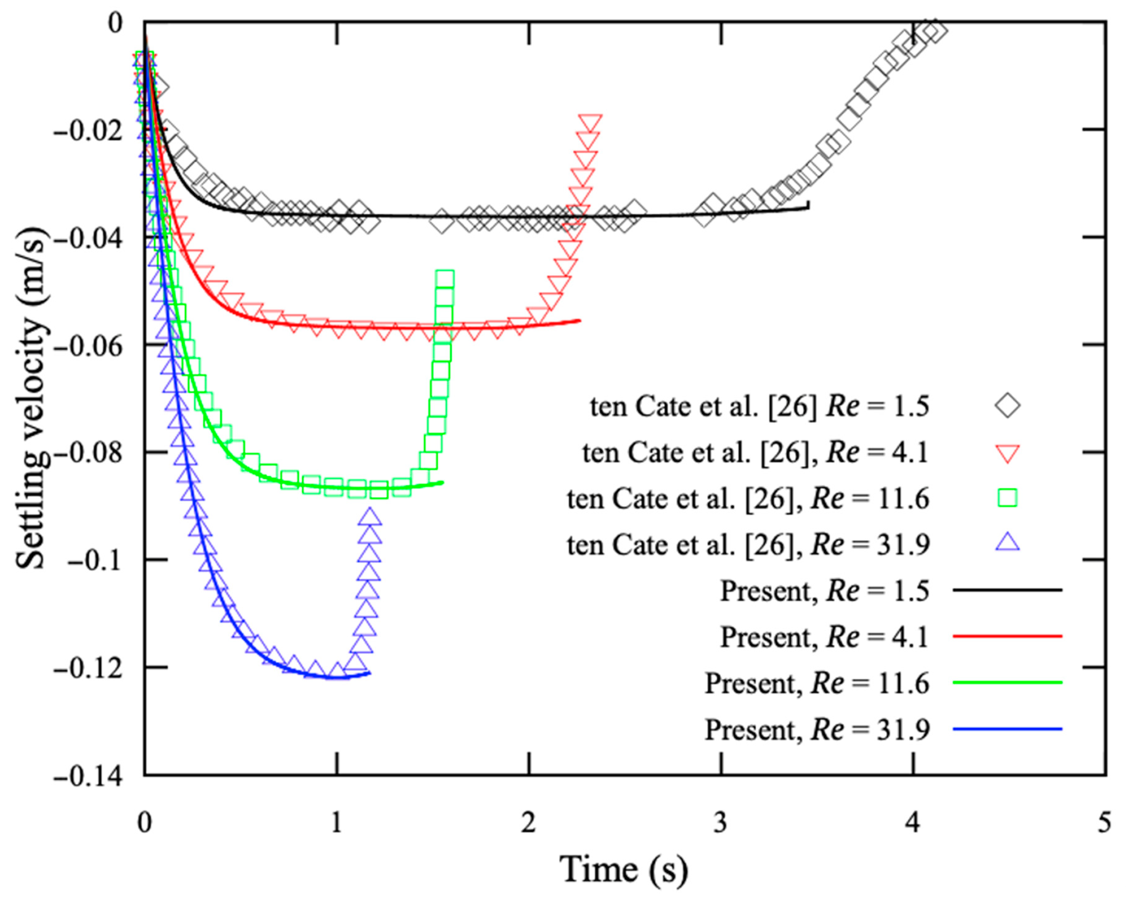
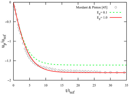
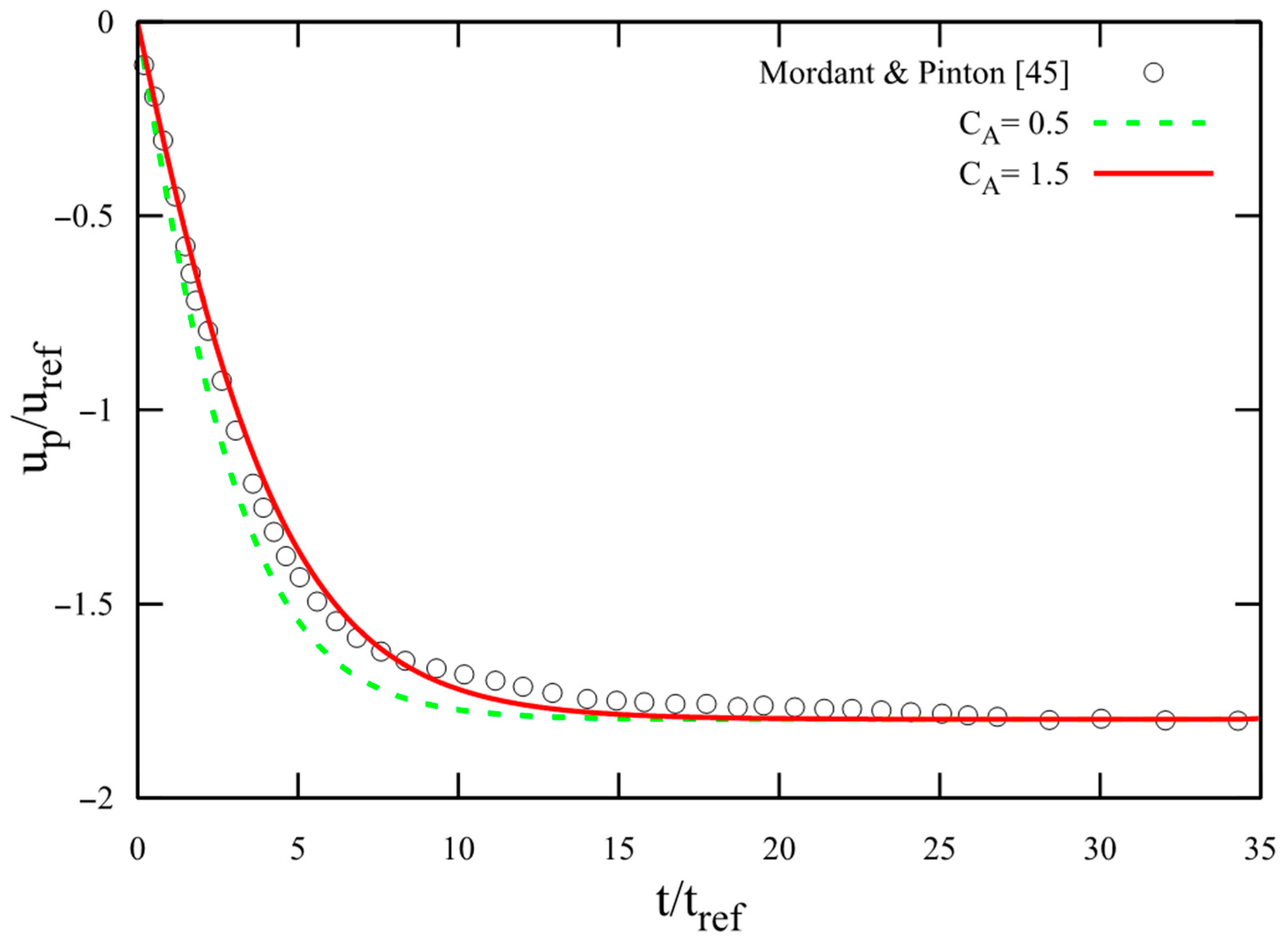
3.4. Free Settling of a Nylon Sphere in Silicon Oil
4. Conclusions
Author Contributions
Funding
Conflicts of Interest
Nomenclatures
| b: | Bandwidth for the kernel function |
| CA: | Integrated added mass coefficient |
| Cd: | Drag coefficient |
| dp: | Particle diameter |
| Ep: | Particle volume expansion coefficient |
| fb: | Buoyancy force |
| fd: | Drag force |
| fp,f: | Fluid force acting on the particle |
| fp,p: | Force between particle and particle |
| fp,w: | Force between particle and wall |
| g: | Gravity |
| I: | Moment of inertia of the particle mass |
| Kf,p: | Fluid and particle interaction coefficient |
| mp: | Particle mass |
| Np: | Total number of particles |
| p: | Static pressure |
| Rep: | Particle Reynolds number |
| Rf,p: | Momentum exchange between fluid and particle |
| Rs: | Support region for particle |
| t: | Time |
| Tp: | Torque according to contact between particle and particle, or particle and wall |
| uf: | Fluid velocity |
| : | Averaged fluid velocity at the particle center |
| up: | Particle velocity |
| : | Averaged particle velocity based on a cell |
| Vp,k: | Volume of kth particle |
| Vc: | Volume of a single cell |
| w: | Angular velocity of the particle |
| wp,k: | Weighting factor of kth particle |
| αf: | Fluid volume fraction |
| αp: | Particle volume fraction |
| μ: | Viscosity coefficient |
| ρf: | Fluid density |
| ρp: | Particle density |
| : | Viscous shear stress tensor |
References
- Zhu, H.; Zhou, Z.; Yang, R.; Yu, A. Discrete particle simulation of particulate systems: Theoretical developments. Chem. Eng. Sci. 2007, 62, 3378–3396. [Google Scholar] [CrossRef]
- Durst, F.; Miloievic, D.; Schönung, B. Eulerian and Lagrangian predictions of particulate two-phase flows: A numerical study. Appl. Math. Model. 1984, 8, 101–115. [Google Scholar] [CrossRef]
- Askarishahi, M.; Salehi, M.-S.; Radl, S. Voidage correction algorithm for unresolved Euler-Lagrange simulations. Comput. Part. Mech. 2018, 5, 607–625. [Google Scholar] [CrossRef]
- Fernandes, C.; Semyonov, D.; Ferrás, L.L.; Nóbrega, J.M. Validation of the CFD-DPM solver DPMFoam in OpenFOAM® through analytical, numerical and experimental comparisons. Granul. Matter 2018, 20, 64. [Google Scholar] [CrossRef]
- Ireland, P.J.; Desjardins, O. Improving particle drag predictions in Euler–Lagrange simulations with two-way coupling. J. Comput. Phys. 2017, 338, 405–430. [Google Scholar] [CrossRef]
- Cundall, P.A.; Strack, O.D.L. A discrete numerical model for granular assemblies. Géotechnique 1979, 29, 47–65. [Google Scholar] [CrossRef]
- Kloss, C.; Goniva, C.; Hager, A.; Amberger, S.; Pirker, S. Models, algorithms and validation for opensource DEM and CFD-DEM. Prog. Comput. Fluid Dyn. Int. J. 2012, 12, 140. [Google Scholar] [CrossRef]
- Zhu, H.; Yu, A.-B. Steady-state granular flow in a three-dimensional cylindrical hopper with flat bottom: Microscopic analysis. J. Phys. D Appl. Phys. 2004, 37, 1497–1508. [Google Scholar] [CrossRef]
- Cook, B.K.; Noble, D.R.; Williams, J.R. A direct simulation method for particle-fluid systems. Eng. Comput. 2004, 21, 151–168. [Google Scholar] [CrossRef]
- Dietzel, M.; Ernst, M.; Sommerfeld, M. Application of the Lattice-Boltzmann Method for Particle-laden Flows: Point-particles and Fully Resolved Particles. Flow, Turbul. Combust. 2016, 97, 539–570. [Google Scholar] [CrossRef]
- Hu, H. Direct simulation of flows of solid-liquid mixtures. Int. J. Multiph. Flow 1996, 22, 335–352. [Google Scholar] [CrossRef]
- Zhou, H.; Flamant, G.; Gauthier, D.; Lu, J. Numerical Simulation of the Turbulent Gas–Particle Flow in a Fluidized Bed by an LES-DPM Model. Chem. Eng. Res. Des. 2004, 82, 918–926. [Google Scholar] [CrossRef]
- Fernandes, C.; Faroughi, S.; Carneiro, O.S.; Nóbrega, J.M.; McKinley, G.H. Fully-resolved simulations of particle-laden viscoelastic fluids using an immersed boundary method. J. Non-Newton. Fluid Mech. 2019, 266, 80–94. [Google Scholar] [CrossRef]
- Tsuji, T.; Higashida, K.; Okuyama, Y.; Tanaka, T. Fictitious particle method: A numerical model for flows including dense solids with large size difference. AIChE J. 2014, 60, 1606–1620. [Google Scholar] [CrossRef]
- Uhlmann, M. An immersed boundary method with direct forcing for the simulation of particulate flows. J. Comput. Phys. 2005, 209, 448–476. [Google Scholar] [CrossRef]
- Vångö, M.; Pirker, S.; Lichtenegger, T. Unresolved CFD–DEM modeling of multiphase flow in densely packed particle beds. Appl. Math. Model. 2018, 56, 501–516. [Google Scholar] [CrossRef]
- Sun, R.; Xiao, H. Diffusion-based coarse graining in hybrid continuum-discrete solvers: Theoretical formulation and a priori tests. Int. J. Multiph. Flow 2015, 77, 142–157. [Google Scholar] [CrossRef]
- Peng, Z.; Doroodchi, E.; Luo, C.; Moghtaderi, B. Influence of void fraction calculation on fidelity of CFD-DEM simulation of gas-solid bubbling fluidized beds. AIChE J. 2014, 60, 2000–2018. [Google Scholar] [CrossRef]
- Capecelatro, J.; Desjardins, O. An Euler-Lagrange strategy for simulating particle-laden flows. J. Comput. Phys. 2013, 238, 1–31. [Google Scholar] [CrossRef]
- Wang, Z.; Teng, Y.; Liu, M. A semi-resolved CFD–DEM approach for particulate flows with kernel based approximation and Hilbert curve based searching strategy. J. Comput. Phys. 2019, 384, 151–169. [Google Scholar] [CrossRef]
- Jing, L.; Kwok, C.Y.; Leung, Y.F.; Sobral, Y.D. Extended CFD-DEM for free-surface flow with multi-size granules. Int. J. Numer. Anal. Methods Geéomeéch. 2016, 40, 62–79. [Google Scholar] [CrossRef]
- Wang, L.; Ouyang, J.; Jiang, C. Direct calculation of voidage in the fine-grid CFD–DEM simulation of fluidized beds with large particles. Particuology 2018, 40, 23–33. [Google Scholar] [CrossRef]
- Wu, C.L.; Zhan, J.M.; Li, Y.S.; Lam, K.S.; Berrouk, A.S. Accurate void fraction calculation for three-dimensional discrete particle model on unstructured cell. Chem. Eng. Sci. 2009, 64, 1260–1266. [Google Scholar] [CrossRef]
- Zhu, H.; Yu, A. Averaging method of granular materials. Phys. Rev. E 2002, 66, 021302. [Google Scholar] [CrossRef]
- Feng, Z.-G.; Michaelides, E.E. The immersed boundary-lattice Boltzmann method for solving fluid–particles interaction problems. J. Comput. Phys. 2004, 195, 602–628. [Google Scholar] [CrossRef]
- Cate, A.T.; Nieuwstad, C.H.; Derksen, J.J.; Akker, H.E.A.V.D. Particle imaging velocimetry experiments and lattice-Boltzmann simulations on a single sphere settling under gravity. Phys. Fluids 2002, 14, 4012–4025. [Google Scholar] [CrossRef]
- Alapati, S.; Che, W.S.; Suh, Y.K. Simulation of Sedimentation of a Sphere in a Viscous Fluid Using the Lattice Boltzmann Method Combined with the Smoothed Profile Method. Adv. Mech. Eng. 2014, 7, 794198. [Google Scholar] [CrossRef]
- Guo, Y.; Yu, X. (Bill) Comparison of the implementation of three common types of coupled CFD-DEM model for simulating soil surface erosion. Int. J. Multiph. Flow 2017, 91, 89–100. [Google Scholar] [CrossRef]
- Gupta, P. Verification and Validation of a DEM-CFD Model and Multiscale Modelling of Cohesive Fluidization Regimes. PhD Thesis, University of Edinburgh, Scotland, UK, 2015. [Google Scholar]
- Zhao, J.; Shan, T. Coupled CFD–DEM simulation of fluid–particle interaction in geomechanics. Powder Technol. 2013, 239, 248–258. [Google Scholar] [CrossRef]
- Goniva, C.; Kloss, C.; Deen, N.G.; Kuipers, J.A.; Pirker, S. Influence of rolling friction on single spout fluidized bed simulation. Particuology 2012, 10, 582–591. [Google Scholar] [CrossRef]
- Guo, J. Motion of spheres falling through fluids. J. Hydraul. Res. 2011, 49, 32–41. [Google Scholar] [CrossRef]
- Abraham, F.F. Functional Dependence of Drag Coefficient of a Sphere on Reynolds Number. Phys. Fluids 1970, 13, 2194. [Google Scholar] [CrossRef]
- Di Felice, R. The voidage function for fluid-particle interaction systems. Int. J. Multiph. Flow 1994, 20, 153–159. [Google Scholar] [CrossRef]
- Xiao, H.; Sun, J. Algorithms in a Robust Hybrid CFD-DEM Solver for Particle-Laden Flows. Commun. Comput. Phys. 2011, 9, 297–323. [Google Scholar] [CrossRef]
- Sun, J.; Xiao, H.; Gao, N. Numerical study of segregation using multiscale models. Int. J. Comput. Fluid Dyn. 2009, 23, 81–92. [Google Scholar] [CrossRef]
- Esteghamatian, A.; Euzenat, F.; Hammouti, A.; Lance, M.; Wachs, A. A stochastic formulation for the drag force based on multiscale numerical simulation of fluidized beds. Int. J. Multiph. Flow 2018, 99, 363–382. [Google Scholar] [CrossRef]
- Bagherzadeh, M. Modelling Single-Particle Settlement by CFD-DEM Coupling Method. Master’s Thesis, Delft University of Technology, Delft, The Netherlands.
- Sweby, P.K. High Resolution Schemes Using Flux Limiters for Hyperbolic Conservation Laws. SIAM J. Numer. Anal. 1984, 21, 995–1011. [Google Scholar] [CrossRef]
- Issa, R. Solution of the implicitly discretised fluid flow equations by operator-splitting. J. Comput. Phys. 1986, 62, 40–65. [Google Scholar] [CrossRef]
- Weiss, J.M.; Maruszewski, J.P.; Smith, W.A. Implicit solution of preconditioned Navier-Stokes equations using algebraic multigrid. AIAA J. 1999, 37, 29–36. [Google Scholar] [CrossRef]
- Versteeg, H.K.; Malalasekera, W. An Introduction to Computational Fluid Dynamics: The Finite Volume Method; Prentice Hall: London, UK, 2007. [Google Scholar]
- Chen, H.; Liu, Y.L.; Zhao, X.Q.; Xiao, Y.G. Numerical investigation on angle of repose and force network from granular pile in variable gravitational environments. Powder Technol. 2015, 283, 607–617. [Google Scholar] [CrossRef]
- Allen, H.L. The motion of a sphere in a viscous fluid. Lond. Edinb. Dublin Philos. Mag. J. Sci. 1900, 50, 519–534. [Google Scholar] [CrossRef]
- Mordant, N.; Pinton, J.-F. Velocity measurement of a settling sphere. Eur. Phys. J. B 2000, 18, 343–352. [Google Scholar] [CrossRef]
- Suzuki, K.; Inamuro, T. Effect of internal mass in the simulation of a moving body by the immersed boundary method. Comput. Fluids 2011, 49, 173–187. [Google Scholar] [CrossRef]
- Apte, S.V.; Martin, M.; Patankar, N.A. A numerical method for fully resolved simulation (FRS) of rigid particle–flow interactions in complex flows. J. Comput. Phys. 2009, 228, 2712–2738. [Google Scholar] [CrossRef]
- Eshghinejadfard, A.; Abdelsamie, A.; Janiga, G.; Thévenin, D. Direct-forcing immersed boundary lattice Boltzmann simulation of particle/fluid interactions for spherical and non-spherical particles. Particuology 2016, 25, 93–103. [Google Scholar] [CrossRef]
- Feng, Z.-G.; Michaelides, E.E.; Ma, C.M.C. A Three-Dimensional Resolved Discrete Particle Method for Studying Particle-Wall Collision in a Viscous Fluid. J. Fluids Eng. 2010, 132, 091302. [Google Scholar] [CrossRef]
- Seil, P.; Pirker, S. LBDEMcoupling: Open-Source Power for Fluid-Particle Systems. In Proceedings of the Springer Proceedings in Physics; Springer Science and Business Media LLC: Berlin/Heidelberg, Germany, 2016; Volume 188, pp. 679–686. [Google Scholar]
















| Case Number | Diameter of Particle (mm) | Density of Sand (kg/m3) | Density of Water (kg/m3) | Viscosity of Water (Ns/m2) | Reynolds Number (-) |
|---|---|---|---|---|---|
| 1 | 2 | 2463 | 998.25 | 0.001002 | 516.1 |
| 2 | 1 | 2488 | 998.25 | 0.001002 | 146.5 |
| 3 | 0.5 | 2523 | 998.25 | 0.001002 | 33.7 |
| 4 | 0.25 | 2571 | 998.25 | 0.001002 | 7.8 |
| 5 | 0.125 | 2494 | 998.25 | 0.001002 | 1.3 |
| Case Number | Particle Diameter (mm) | Reynolds Number (-) | Settling Velocity (m/s) | Difference (%) | |
|---|---|---|---|---|---|
| Empirical Correlation [33] | Present | ||||
| 1 | 2 | 516.1 | 0.2590 | 0.2563 | 1.04 |
| 2 | 1 | 146.5 | 0.1480 | 0.1467 | 0.88 |
| 3 | 0.5 | 33.7 | 0.0742 | 0.0740 | 0.27 |
| 4 | 0.25 | 7.8 | 0.0313 | 0.0318 | −1.60 |
| 5 | 0.125 | 1.3 | 0.0101 | 0.0109 | −7.92 |
| Case Number | Density of Fluid (kg/m3) | Viscosity of Fluid (Ns/m2) | Reynolds Number (-) | |
|---|---|---|---|---|
| 1 | 970 | 0.00373 | 1.5 | 0.947 |
| 2 | 965 | 0.00212 | 4.1 | 0.953 |
| 3 | 962 | 0.00113 | 11.6 | 0.959 |
| 4 | 960 | 0.00058 | 31.9 | 0.955 |
| Case | 1 | 2 | 3 | 4 |
|---|---|---|---|---|
| Reynolds number | 1.5 | 4.1 | 11.6 | 31.9 |
| Present | 0.943 | 0.949 | 0.955 | 0.949 |
| Experiment [36] | 0.947 | 0.953 | 0.959 | 0.955 |
| Difference (%) | 0.41 | 0.33 | 0.39 | 0.65 |
Publisher’s Note: MDPI stays neutral with regard to jurisdictional claims in published maps and institutional affiliations. |
© 2020 by the authors. Licensee MDPI, Basel, Switzerland. This article is an open access article distributed under the terms and conditions of the Creative Commons Attribution (CC BY) license (http://creativecommons.org/licenses/by/4.0/).
Share and Cite
Song, S.; Park, S. Unresolved CFD and DEM Coupled Solver for Particle-Laden Flow and Its Application to Single Particle Settlement. J. Mar. Sci. Eng. 2020, 8, 983. https://doi.org/10.3390/jmse8120983
Song S, Park S. Unresolved CFD and DEM Coupled Solver for Particle-Laden Flow and Its Application to Single Particle Settlement. Journal of Marine Science and Engineering. 2020; 8(12):983. https://doi.org/10.3390/jmse8120983
Chicago/Turabian StyleSong, Seongjin, and Sunho Park. 2020. "Unresolved CFD and DEM Coupled Solver for Particle-Laden Flow and Its Application to Single Particle Settlement" Journal of Marine Science and Engineering 8, no. 12: 983. https://doi.org/10.3390/jmse8120983
APA StyleSong, S., & Park, S. (2020). Unresolved CFD and DEM Coupled Solver for Particle-Laden Flow and Its Application to Single Particle Settlement. Journal of Marine Science and Engineering, 8(12), 983. https://doi.org/10.3390/jmse8120983
