Stage-Aware Reconstruction of Typhoon Inflow for Offshore Wind Turbines Using WRF and TurbSim
Abstract
1. Introduction
2. Materials and Methods
2.1. Overall Workflow for Typhoon Wind Field Reconstruction
2.2. Mesoscale Atmospheric Modeling
2.2.1. Case Study: Typhoon In-Fa
2.2.2. WRF Brief Description
2.2.3. Model Configuration and Domain Design
2.2.4. Design of Physics Sensitivity Experiments
2.3. Physics-Informed Wind Field Reconstruction
2.3.1. Grid De-Staggering and Kinematic Consistency
2.3.2. Mesoscale-to-Microscale Turbulence Reconstruction Using WRF-Informed TurbSim
3. Results and Discussion
3.1. Sensitivity Analysis of WRF Physics Configuration
3.2. Mesoscale Structure of Typhoon Wind Field
3.2.1. Wind Field Structure in Domain 3
3.2.2. Temporal Evolution and Vertical Wind Profiles at the Wind Farm Location
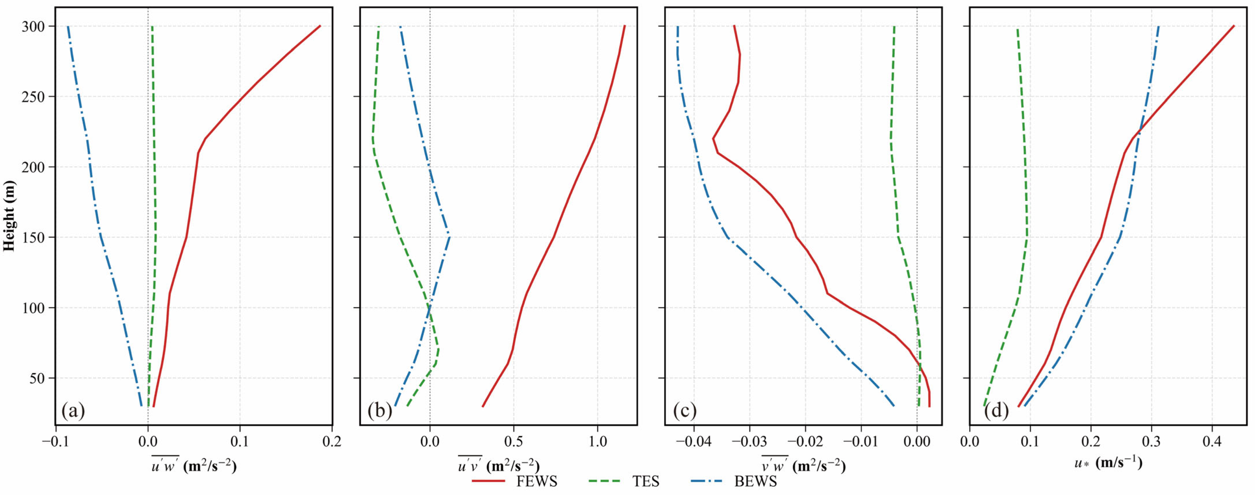
3.2.3. Atmospheric Stability and Turbulent Exchange Mechanisms
3.3. Physics-Based Microscale Turbulence Reconstruction
3.3.1. Stage-Specific Parameterization and Stability Constraints
3.3.2. Synthesized Wind Field Characteristics Under Different Typhoon Stages
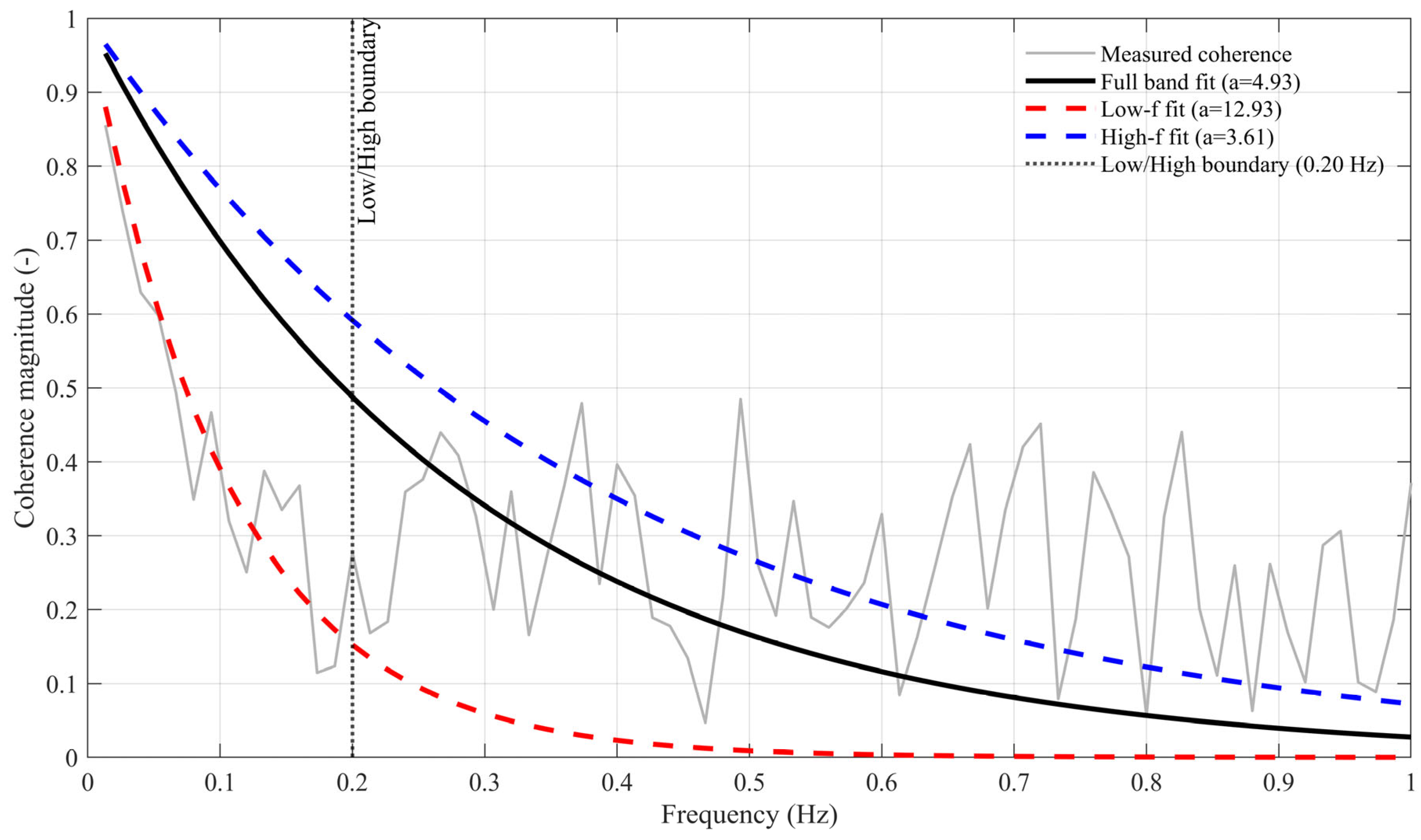
3.3.3. Spectral Characteristics and Thermodynamic Modulation of Coherence
4. Conclusions
Author Contributions
Funding
Data Availability Statement
Conflicts of Interest
Abbreviations
| OWTs | Offshore wind turbines |
| ABL | Atmospheric boundary layer |
| WRF | Weather Research and Forecasting |
| NWP | Numerical Weather Prediction |
| WRF-ARW | Advanced Research WRF |
| PBL | Planetary boundary layer |
| WSM | WRF single-moment microphysics scheme |
| FDDA | Four-Dimensional Data Assimilation |
| PBLH | Planetary boundary-layer Height |
| GDAS | Global Data Assimilation System |
| WFA | Wind farm A |
| MP | Microphysics |
| Cu | Cumulus convection |
| JMA | Japan Meteorological Agency |
| USRVKM | User-Defined von Kármán |
| DPE | Direct position error |
| FEWS | Front Eyewall Stage |
| TES | Typhoon Eye Stage |
| BEWS | Back Eyewall Stage |
| PSD | Power spectral density |
References
- Wang, Y.; Yang, Q.; Li, T.; Hong, X. Feasibility of Typhoon Models and Wind Power Spectra on Response Analysis of Parked Wind Turbines. J. Wind Eng. Ind. Aerodyn. 2023, 242, 105579. [Google Scholar] [CrossRef]
- Davis, S.J.; Lewis, N.S.; Shaner, M.; Aggarwal, S.; Arent, D.; Azevedo, I.L.; Benson, S.M.; Bradley, T.; Brouwer, J.; Chiang, Y.-M.; et al. Net-Zero Emissions Energy Systems. Science 2018, 360, eaas9793. [Google Scholar] [CrossRef] [PubMed]
- Yang, Q.; Liu, Y.; Wu, S.; Yu, M.; Xie, J.; Xue, X. Super Typhoon Impact on the Dynamic Behavior of Floating Offshore Wind Turbine Drivetrains: A Comprehensive Study. Ocean Eng. 2024, 312, 119084. [Google Scholar] [CrossRef]
- Li, J.; Li, Z.; Jiang, Y.; Tang, Y. Typhoon Resistance Analysis of Offshore Wind Turbines: A Review. Atmosphere 2022, 13, 451. [Google Scholar] [CrossRef]
- Rao, C.; Chen, G.; Ran, L. Effects of Typhoon In-Fa (2021) and the Western Pacific Subtropical High on an Extreme Heavy Rainfall Event in Central China. J. Geophys. Res. Atmos. 2023, 128, e2022JD037924. [Google Scholar] [CrossRef]
- Lu, Y.; Li, Y.; Tang, J.; Gao, Z. Typhoon In-Fa (2021) near Surface Wind Field Characteristics Based on Lidar Observations. J. Geophys. Res. Atmos. 2025, 130, e2024JD043184. [Google Scholar] [CrossRef]
- Zhang, B.; Li, X.; Wang, L.; Gao, Y.; Zhang, B.; Li, X.; Wang, L.; Gao, Y. Numerical Simulation of Typhoon Waves in an Offshore Wind Farm Area of the South China Sea. J. Mar. Sci. Eng. 2025, 13, 451. [Google Scholar] [CrossRef]
- Li, T.; Zhang, X.; Tang, S.; Qu, H.; Yang, Y.; Li, L.; Li, Y. A Meso- to Micro-Scale Coupled Model under Typhoon Conditions Considering Vortex Structure and Coriolis Effect for Wind Farms. J. Wind Eng. Ind. Aerodyn. 2024, 254, 105922. [Google Scholar] [CrossRef]
- Branlard, E.; Jonkman, J.; Platt, A.; Thedin, R.; Martínez-Tossas, L.A.; Kretschmer, M. Development and Verification of an Improved Wake-Added Turbulence Model in FAST.Farm. J. Phys. Conf. Ser. 2024, 2767, 092036. [Google Scholar] [CrossRef]
- Wang, S.; Ke, S.; Zhao, Y.; Yun, Y.; Zhang, W.; Yang, J.; Ren, H. Research on Hydrodynamics of Foundation Structure of Offshore Wind Turbine under Typhoon-Wave-Current Coupling. Adv. Struct. Eng. 2022, 25, 2558–2576. [Google Scholar] [CrossRef]
- Fu, H.; Wang, Y.; Xie, Y.; Luo, C.; Shang, S.; He, Z.; Wei, G.; Fu, H.; Wang, Y.; Xie, Y.; et al. Super Typhoons Simulation: A Comparison of WRF and Empirical Parameterized Models for High Wind Speeds. Appl. Sci. 2025, 15, 776. [Google Scholar] [CrossRef]
- Haupt, S.E.; Kosović, B.; Berg, L.K.; Kaul, C.M.; Churchfield, M.; Mirocha, J.; Allaerts, D.; Brummet, T.; Davis, S.; DeCastro, A.; et al. Lessons Learned in Coupling Atmospheric Models across Scales for Onshore and Offshore Wind Energy. Wind Energy Sci. 2023, 8, 1251–1275. [Google Scholar] [CrossRef]
- Yang, C.; Li, J.; Yang, C.; Li, J. Assessment of FY-3D SST Data on Typhoon in-Fa Simulation. Atmosphere 2023, 14, 101. [Google Scholar] [CrossRef]
- Sanz Rodrigo, J.; Chávez Arroyo, R.A.; Moriarty, P.; Churchfield, M.; Kosović, B.; Réthoré, P.-E.; Hansen, K.S.; Hahmann, A.; Mirocha, J.D.; Rife, D. Mesoscale to Microscale Wind Farm Flow Modeling and Evaluation. WIREs Energy Environ. 2017, 6, e214. [Google Scholar] [CrossRef]
- Jonkman, B.J. Turbsim User’s Guide v2. 00.00; National Renewable Energy Laboratory: Golden, CO, USA, 2014. [Google Scholar]
- Eusebi, R.; Vecchi, G.A.; Lai, C.-Y.; Tong, M. Realistic Tropical Cyclone Wind and Pressure Fields Can Be Reconstructed from Sparse Data Using Deep Learning. Commun. Earth Environ. 2024, 5, 8. [Google Scholar] [CrossRef]
- Sanchez Gomez, M.; Lundquist, J.K.; Deskos, G.; Arwade, S.R.; Myers, A.T.; Hajjar, J.F. Wind Fields in Category 1–3 Tropical Cyclones Are Not Fully Represented in Wind Turbine Design Standards. JGR Atmos. 2023, 128, e2023JD039233. [Google Scholar] [CrossRef]
- Durán, P.; Meißner, C.; Rutledge, K.; Fonseca, R.; Martin-Torres, J.; Adaramola, M.S. Meso-Microscale Coupling for Wind Resource Assessment Using Averaged Atmospheric Stability Conditions. Meteorol. Z. 2019, 28, 273–291. [Google Scholar] [CrossRef]
- Fang, G.; Zhao, L.; Cao, S.; Ge, Y.; Pang, W. A Novel Analytical Model for Wind Field Simulation Under Typhoon Boundary Layer Considering Multi-Field Correlation and Height-Dependency. J. Wind Eng. Ind. Aerodyn. 2018, 175, 77–89. [Google Scholar] [CrossRef]
- Wang, H.; Ke, S.T.; Wang, T.G.; Kareem, A.; Hu, L.; Ge, Y.J. Multi-Stage Typhoon-Induced Wind Effects on Offshore Wind Turbines Using a Data-Driven Wind Speed Field Model. Renew. Energy 2022, 188, 765–777. [Google Scholar] [CrossRef]
- Hu, F.; Li, Q. Reconstruction of Tropical Cyclone Boundary Layer Wind Field Using Physics-Informed Machine Learning. Phys. Fluids 2024, 36, 116608. [Google Scholar] [CrossRef]
- Huang, X.; Wang, N. An Adaptive Nested Dynamic Downscaling Strategy of Wind-Field for Real-Time Risk Forecast of Power Transmission Systems during Tropical Cyclones. Reliab. Eng. Syst. Saf. 2024, 242, 109731. [Google Scholar] [CrossRef]
- Ko, M.-Y.; Lu, N.-Y. High-Fidelity Simulation Study of Real Typhoon Event in Taiwan Using WRF-LES Coupled Model. J. Mar. Sci. Technol. 2025, 30, 408–431. [Google Scholar] [CrossRef]
- Zhang, X.; Zhang, T.; Ke, S.; He, H.; Zhang, R.; Miao, Y.; Liang, T.; Zhang, X.; Zhang, T.; Ke, S.; et al. Physics-Informed Deep Learning for 3D Wind Field Retrieval of Open-Ocean Typhoons. Remote Sens. 2025, 17, 3825. [Google Scholar] [CrossRef]
- Wen, Y.; Xu, X.; Waseda, T.; Lin, P. Energy Flux Variations and Safety Assessment of Offshore Wind and Wave Resources during Typhoons in the Northern South China Sea. Ocean Eng. 2024, 302, 117683. [Google Scholar] [CrossRef]
- Deng, L.; Xue, L.; Huang, W.; Wu, W.; Thompson, G.; Gao, W.; Sarkadi, N.; Geresdi, I. A Numerical Investigation of Aerosol Effect on Cloud Microphysics in an Idealized Tropical Cyclone Using the WRF Piggybacking Framework. Atmos. Res. 2024, 304, 107422. [Google Scholar] [CrossRef]
- Temel, O.; Bricteux, L.; Van Beeck, J. Coupled WRF-OpenFOAM Study of Wind Flow over Complex Terrain. J. Wind Eng. Ind. Aerodyn. 2018, 174, 152–169. [Google Scholar] [CrossRef]
- Zhang, Z.; Bakhoday-Paskyabi, M.; Schito, P.; Reuder, J.; Zasso, A. Wind Farm Inflow Wind Simulation Based on Mesoscale and Microscale Coupling. J. Phys. Conf. Ser. 2022, 2265, 022044. [Google Scholar] [CrossRef]
- Müller, S. Typhoon Wind and Turbulence Structure, and Its Impact on Wind Energy Application; DTU Wind and Energy Systems: Rokilde, Denmark, 2025. [Google Scholar]
- Skamarock, W.C.; Klemp, J.B. A Time-Split Nonhydrostatic Atmospheric Model for Weather Research and Forecasting Applications. J. Comput. Phys. 2008, 227, 3465–3485. [Google Scholar] [CrossRef]
- Delfino, R.J.; Bagtasa, G.; Hodges, K.; Vidale, P.L. Sensitivity of Simulating Typhoon Haiyan (2013) Using WRF: The Role of Cumulus Convection, Surface Flux Parameterizations, Spectral Nudging, and Initial and Boundary Conditions. Nat. Hazards Earth Syst. Sci. 2022, 22, 3285–3307. [Google Scholar] [CrossRef]
- Hsu, L.-H.; Su, S.-H.; Kuo, H.-C. A Numerical Study of the Sensitivity of Typhoon Track and Convection Structure to Cloud Microphysics. J. Geophys. Res. Atmos. 2021, 126, e2020JD034390. [Google Scholar] [CrossRef]
- Park, J.; Moon, J.; Cho, W.; Cha, D.-H.; Lee, M.-I.; Chang, E.-C.; Kim, J.; Park, S.-H.; An, J. Sensitivity of Real-Time Forecast for Typhoons around Korea to Cumulus and Cloud Microphysics Schemes. J. Geophys. Res. Atmos. 2023, 128, e2022JD036709. [Google Scholar] [CrossRef]
- Cha, D.-H.; Jin, C.-S.; Lee, D.-K.; Kuo, Y.-H. Impact of Intermittent Spectral Nudging on Regional Climate Simulation Using Weather Research and Forecasting Model. J. Geophys. Res. Atmos. 2011, 116. [Google Scholar] [CrossRef]
- IEC 61400-3-2:2019; Wind Energy Generation Systems-Part 3–2: Design Requirements for Floating Offshore Wind Turbines. International Electrotechnical Commission: Geneva, Switzerland, 2019.
- IEC 61400-3-1:2019; Wind Energy Generation Systems-Part 3-1: Design Requirements for Fixed Offshore Wind Turbines. International Electrotechnical Commission: Geneva, Switzerland, 2019.
- IEC 61400-1:2019; Wind Energy Generation Systems-Part 1: Design Requirements. International Electrotechnical Commission: Geneva, Switzerland, 2019.
- Miles, J.W. On the Stability of Heterogeneous Shear Flows. J. Fluid Mech. 1961, 10, 496–508. [Google Scholar] [CrossRef]
- Kaimal, J.C.; Wyngaard, J.C.; Haugen, D.A.; Coté, O.R.; Izumi, Y.; Caughey, S.J.; Readings, C.J. Turbulence Structure in the Convective Boundary Layer. J. Atmos. Sci. 1976, 33, 2152–2169. [Google Scholar] [CrossRef]
- Nieuwstadt, F.T.M. The Turbulent Structure of the Stable, Nocturnal Boundary Layer. J. Atmos. Sci. 1984, 41, 2202–2216. [Google Scholar] [CrossRef]
- Mahrt, L. Stably Stratified Atmospheric Boundary Layers. Annu. Rev. Fluid Mech. 2014, 46, 23–45. [Google Scholar] [CrossRef]
- Zhang, D.-L.; Liu, Y.; Yau, M.K. A Multiscale Numerical Study of Hurricane Andrew (1992). Part V: Inner-Core Thermodynamics. Mon. Weather Rev. 2002, 130, 2745–2763. [Google Scholar] [CrossRef]
- Willoughby, H.E. Tropical Cyclone Eye Thermodynamics. Mon. Weather Rev. 1998, 126, 3053–3067. [Google Scholar] [CrossRef]
















| Experiment ID | PBL (Option Code) | Microphysics (Option Code) | Cumulus (Option Code) | Spectral Nudging (Option Code) |
|---|---|---|---|---|
| EXP01 | YSU (1) | WSM6 (6) | Multi-Scale KF (11) | Off (0) |
| EXP02 | YSU (1) | WSM6 (6) | Multi-Scale KF (11) | On (2) |
| EXP03 | YSU (1) | WSM6 (6) | New Tiedtke (16) | Off (0) |
| EXP04 | YSU (1) | WSM6 (6) | New Tiedtke (16) | On (2) |
| EXP05 | YSU (1) | WSM7 (24) | Multi-Scale KF (11) | Off (0) |
| EXP06 | YSU (1) | WSM7 (24) | Multi-Scale KF (11) | On (2) |
| EXP07 | YSU (1) | WSM7 (24) | New Tiedtke (16) | Off (0) |
| EXP08 | YSU (1) | WSM7 (24) | New Tiedtke (16) | On (2) |
| EXP09 | YSU (1) | Thompson (38) | Multi-Scale KF (11) | Off (0) |
| EXP10 | YSU (1) | Thompson (38) | Multi-Scale KF (11) | On (2) |
| EXP11 | YSU (1) | Thompson (38) | New Tiedtke (16) | Off (0) |
| EXP12 | YSU (1) | Thompson (38) | New Tiedtke (16) | On (2) |
| Physics Process | Option | Scheme Name | Mean DPE (km) | Difference Relative to Overall Mean (km) | Relative Change (%) |
|---|---|---|---|---|---|
| Planetary Boundary Layer | Pbl2 | MYJ | 43.67 | −10.19 | −18.9% |
| Pbl1 | YSU | 53.61 | −0.25 | −0.5% | |
| Pbl5 | MYNN2 | 64.61 | +10.75 | +19.9% | |
| Microphysics | mp6 | WSM6 | 49.1 | −4.76 | −8.8% |
| mp24 | WSM7 | 54.28 | +0.42 | +0.8% | |
| mp38 | Thompson | 58.51 | +4.65 | +8.6% | |
| Cumulus | cu11 | Multi-Scale KF | 49.7 | −4.16 | −7.7% |
| cu16 | New Tiedtke | 58.23 | +4.37 | +8.1% | |
| Spectral Nudging (FDDA) | fdda0 | Off | 54.4 | −0.34 | −0.6% |
| fdda2 | On | 53.52 | +0.54 | +1.0% |
| Typhoon Stage | |||||||
|---|---|---|---|---|---|---|---|
| FEWS | 31.28 | 2.14 | 2.55 | 129.7 | 0.021 | 0.527 | −0.007 |
| TES | 6.94 | 7 | 1.98 | 14.7 | 0.005 | 0.013 | 0 |
| BEWS | 24.88 | 2.06 | 1.34 | 104.9 | −0.027 | −0.024 | −0.018 |
| Stage | |||
|---|---|---|---|
| FEWS | 8.9468 | 12.38 | 8.8053 |
| TES | 4.9333 | 12.931 | 3.6093 |
| BEWS | 10.123 | 12.671 | 9.9273 |
Disclaimer/Publisher’s Note: The statements, opinions and data contained in all publications are solely those of the individual author(s) and contributor(s) and not of MDPI and/or the editor(s). MDPI and/or the editor(s) disclaim responsibility for any injury to people or property resulting from any ideas, methods, instructions or products referred to in the content. |
© 2026 by the authors. Licensee MDPI, Basel, Switzerland. This article is an open access article distributed under the terms and conditions of the Creative Commons Attribution (CC BY) license.
Share and Cite
Wang, J.; Zhao, L.; Xue, L.; Li, Q.; Xue, Y. Stage-Aware Reconstruction of Typhoon Inflow for Offshore Wind Turbines Using WRF and TurbSim. J. Mar. Sci. Eng. 2026, 14, 438. https://doi.org/10.3390/jmse14050438
Wang J, Zhao L, Xue L, Li Q, Xue Y. Stage-Aware Reconstruction of Typhoon Inflow for Offshore Wind Turbines Using WRF and TurbSim. Journal of Marine Science and Engineering. 2026; 14(5):438. https://doi.org/10.3390/jmse14050438
Chicago/Turabian StyleWang, Jundong, Liye Zhao, Lei Xue, Qianqian Li, and Yu Xue. 2026. "Stage-Aware Reconstruction of Typhoon Inflow for Offshore Wind Turbines Using WRF and TurbSim" Journal of Marine Science and Engineering 14, no. 5: 438. https://doi.org/10.3390/jmse14050438
APA StyleWang, J., Zhao, L., Xue, L., Li, Q., & Xue, Y. (2026). Stage-Aware Reconstruction of Typhoon Inflow for Offshore Wind Turbines Using WRF and TurbSim. Journal of Marine Science and Engineering, 14(5), 438. https://doi.org/10.3390/jmse14050438

