Nonlinear Response of Four-Tier Container Multiple Stacks with Different Lashing Approach Under Dynamic Excitation
Abstract
1. Introduction
2. Experimental and Numerical Simulation Details
2.1. 20-ft Container Scaled Model
2.2. Experimental Details
2.3. Numerical Model Construction
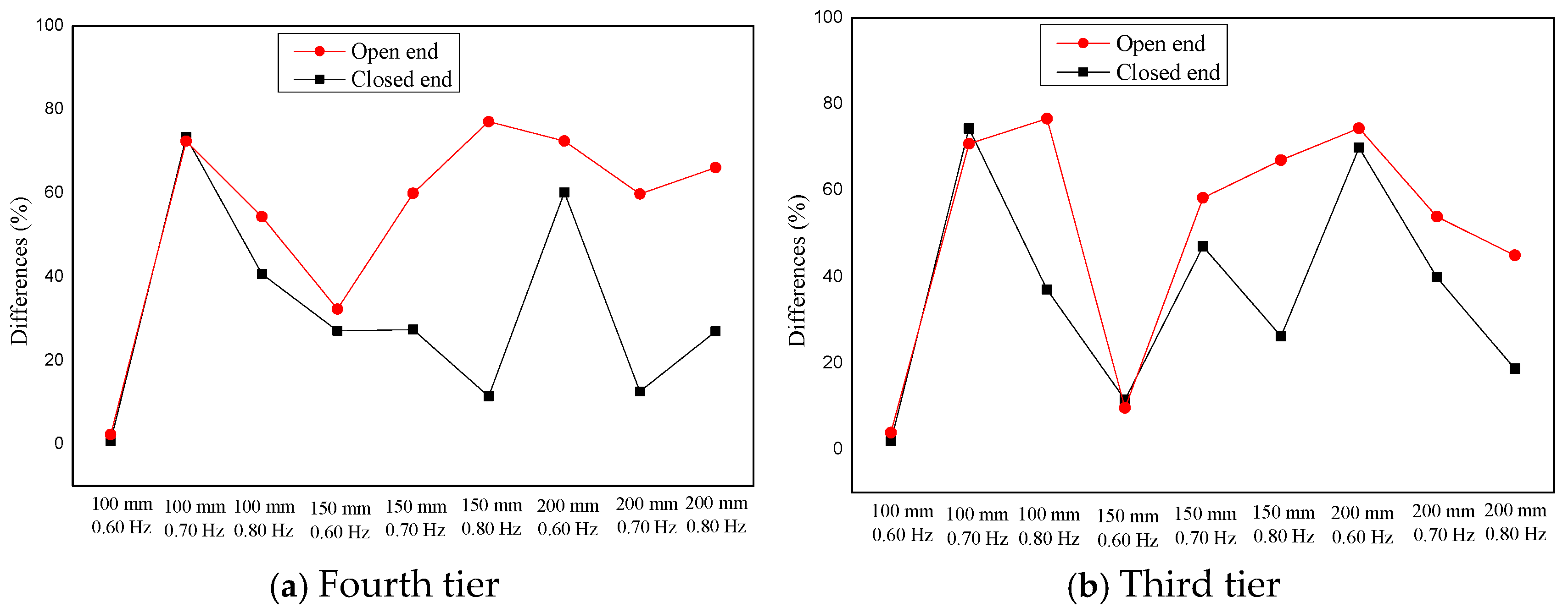
3. Numerical and Test Results
3.1. Single Stack with Different Lashing Methods
3.2. Collision of Multiple Stacks with Different Lashing Methods
3.3. Analysis of Collision Effects Between Adjacent Stacks
4. Discussion
5. Conclusions
- (1)
- Collisions between adjacent stacks under dynamic excitation are significant and affected by various factors. The study reveals that when the amplitude and frequency of excitation reach certain thresholds, such as a 150 mm amplitude and 0.7 Hz or higher, friction between corner castings in both internal and external lashing systems is overcome. This results in considerable relative slippage and collisions. Twist lock gaps further intensify these collision behaviors, highlighting their crucial role in influencing the nonlinear collision dynamics of stack systems.
- (2)
- Collisions lead to load redistribution across container stacks and lashing systems, raising the risk of lashing system failure. They change the stress transmission paths within stacks, affect the overall stability, and lead to significant changes in the distribution of displacement and acceleration responses. This underscores the importance of considering dynamic load changes caused by collisions when assessing the structural safety and performance of lashing systems and containers.
- (3)
- Internal and external lashing systems demonstrate notable differences in collision behavior and structural response. In internal lashing systems, collisions frequently occur at the top corners of third and fourth-tier containers with significant displacement response differences between the open and closed ends. Conversely, external lashing systems mainly experience collisions at the open end, showing minimal differences in displacement responses between ends. By fixing the lifting side of the container, external lashing systems reduce stress on both sides and improve the stability and anti-collision performance, providing a valuable reference for optimizing lashing strategies.
- (4)
- Collisions cause abrupt changes in lashing rod forces and load redistribution, leading to localized stress concentrations and increased probabilities of failure. Dynamic excitations can also loosen lashing locks, thus diminishing system reliability. Collisions exacerbate fatigue and damage to lashing components and emphasize the necessity for diligent inspection and maintenance under dynamic conditions in maritime transport to boost system reliability and structural safety.
Author Contributions
Funding
Data Availability Statement
Conflicts of Interest
References
- Lee, C.Y.; Song, D.P. Ocean container transport in global supply chains: Overview and research opportunities. Transp. Res. Part B Methodol. 2017, 95, 442–474. [Google Scholar] [CrossRef]
- Aguiar De Souza, V.; Kirkayak, L.; Suzuki, K. Experimental and numerical analysis of container multiple stacks dynamics using a scaled model. Ocean Eng. 2013, 74, 218–232. [Google Scholar] [CrossRef]
- China Classification Society (CCS). Rules and Regulations for the Construction and Classification of Sea-Going Steel Ships; China Communications Press: Beijing, China, 2024. [Google Scholar]
- BV NR625 DT R02; E-Structural Rules for Container Ships. Marine & Offshore: Paris, France; Bureau Veritas Co., Ltd.: Paris, France, 2019.
- American Bureau of Shipping (ABS). Guide for Certification of Container Securing Systems; ABS: Houston, TX, USA, 2019. [Google Scholar]
- Acanfora, M.; Montewka, J.; Hinz, T.; Matusiak, J. On the estimation of the design loads on container stacks due to excessive acceleration in adverse weather conditions. Mar. Struct. 2017, 53, 105–123. [Google Scholar] [CrossRef]
- Acanfora, M.; Montewka, J.; Hinz, T.; Matusiak, J. Towards realistic estimation of ship excessive motions in heavy weather. A case study of a containership in the Pacific Ocean. Ocean Eng. 2017, 138, 140–150. [Google Scholar] [CrossRef]
- Wasalaski, R.G. Probable causes of losses of containers from container ships. In Proceedings of the SNAME Maritime Convention, Providence, RI, USA, 26–27 October 2021; SNAME: Alexandria, VA, USA, 2021; p. D011S001R004. [Google Scholar]
- Takahashi, H.; Ikeno, M. Concept of the Law of Similarity in Model Tests. In Theory and Application of Hydraulic Modeling; CRC Press: Boca Raton, FL, USA, 2024; pp. 72–109. [Google Scholar]
- Wang, Q.H.; Wei, P.Y.; Li, C.T.; Wang, D.Y. A unified similarity criterion and design method for geometrically distorted scale models of thin-walled hull girder structures. Thin Wall Struct. 2022, 180, 109866. [Google Scholar] [CrossRef]
- Kirkayak, L.; Suzuki, K. Numerical analysis of container stacks dynamics. In Proceedings of the Third PAAMES and AMEC, Chiba, Japan, 20–22 October 2008; pp. 205–208. [Google Scholar]
- Kirkayak, L.; Aguiar de Souza, V.; Suzuki, K.; Ando, H.; Sueoka, H. On the vibrational characteristics of a two-tier scaled container stack. J. Mar. Sci. Technol. 2011, 16, 354–365. [Google Scholar] [CrossRef]
- Li, C.; Cai, Z.; Wang, D. Dynamic investigation of a seven-tier container stack with different lashing arrangements subject to rolling and pitching excitation. Ships Offshore Struct. 2022, 17, 1581–1591. [Google Scholar] [CrossRef]
- Yanagimoto, F.; Ishibashi, K. Working Load in a Container Stack Nonlinearity with Twist Lock Separation. In International Conference on Offshore Mechanics and Arctic Engineering Proceedings; American Society of Mechanical Engineers: New York, NY, USA, 2023; Volume 86847, p. V002T02A049. [Google Scholar]
- Li, C.; Wang, D.; Liu, J. Numerical analysis and experimental study on the scaled model of a container ship lashing bridge. Ocean Eng. 2020, 201, 107095. [Google Scholar] [CrossRef]
- Li, C.; Wang, D.; Liu, J.; Cai, Z. Experimental and numerical investigation of lashing bridge and container stack dynamics using a scaled model test. Marine Struct. 2021, 75, 102846. [Google Scholar] [CrossRef]
- Ghesmi, M.; Brindley, S. A nonlinear finite element method to assess loads on container stacks. Ocean Eng. 2021, 235, 109430. [Google Scholar] [CrossRef]
- Wolf, V.; Eisen, H.; Wobig, M. New Calculation Method and Software for Enhanced Efficiency of Container Stowage. In Proceedings of the International Conference on Computer Applications in Shipbuilding, Rotterdam, The Netherlands, 24–26 September 2019; Curran Associates, Inc.: Red Hook, NY, USA, 2019. [Google Scholar]
- Aguiar De Souza, V.; Kirkayak, L.; Suzuki, K.; Ando, H.; Sueokaet, H. Experimental and numerical analysis of container stack dynamics using a scaled model test. Ocean Eng. 2012, 39, 24–42. [Google Scholar] [CrossRef]
- Zha, X.; Zuo, Y. Theoretical and experimental studies on in-plane stiffness of integrated container structure. Adv. Mech. Eng. 2016, 8, 1687814016637522. [Google Scholar] [CrossRef]














| 20-ft Container Parameter | Full-Scale | Target | Scaled Model | |
|---|---|---|---|---|
| External dimensions (m) | Length | 6.058/λ | 0.606 | 0.606 |
| Width | 2.438/λ | 0.244 | 0.244 | |
| Height | 2.591/λ | 0.259 | 0.259 | |
| Mass (kg) | 2330/λ3 | 2.330 | 2.450 | |
| Moment of Inertia | Ixx (kg/m2) | 3765/λ5 | 0.038 | 0.040 |
| Iyy (kg/m2) | 11,830/λ5 | 0.118 | 0.120 | |
| Izz (kg/m2) | 11,486/λ5 | 0.115 | 0.135 | |
| Transversal stiffness (MN/m) | Closed | 58/λ2 | 0.580 | 0.600 |
| Open | 3.400/λ2 | 0.034 | 0.040 | |
| Lateral stiffness (MN/m) | Closed | 86.910/λ2 | 0.870 | 0.850 |
| Open | 61.090/λ2 | 0.610 | 0.630 | |
| Longitudinal stiffness (MN/m) | 58/λ2 | 0.580 | 0.630 | |
| Torsional stiffness (kNm/rad) | 3200/λ4 | 0.320 | 0.350 | |
| 1st mode frequency (Hz) | 20λ1/2 | 63.250 | 65.380 | |
![]() | Color | Cross Section | Dimension | Thickness |
| Magenta | Square | 20 × 20 mm | 1.5 mm | |
| Red | Square | 20 × 20 mm | 1.5 mm | |
| Cornflower | Pipe | 5 mm (radius) | 1 mm | |
| Green | Pipe | 5 mm | 2 mm | |
| Yellow | Pipe | 9 mm (radius) | 2 mm | |
| Blue | L section | 20 × 20 mm | 2 mm | |
| Smoke Gray | Plate | - | 2 mm | |
| Orange | Square | 30 × 30 mm | 2 mm |
| Excitation Amplitude and Frequency | External Lashing, Fourth Tier (Gap: 0 mm) | Internal Lashing, Fourth Tier (Gap: 0 mm) | Internal Lashing, Fourth Tier (Gap: 1.5 mm) | Internal Lashing, Third Tier (Gap: 1.5 mm) | ||||
|---|---|---|---|---|---|---|---|---|
| Closed End | Open End | Closed End | Open End | Closed End | Open End | Closed End | Open End | |
| 100 mm, 0.6 Hz | 1.4211 | 1.4610 | 1.4262 | 1.4769 | 1.4176 | 1.4662 | 1.4045 | 1.4327 |
| 100 mm, 0.7 Hz | 1.9265 | 1.9691 | 1.9361 | 1.9686 | 1.3398 | 1.3570 | 1.3264 | 1.3536 |
| 100 mm, 0.8 Hz | 2.54039 | 2.6026 | 2.5321 | 2.6146 | 3.8743 | 3.5217 | 3.4957 | 3.4516 |
| 150 mm, 0.6 Hz | 2.1843 | 2.2389 | 2.1048 | 2.1506 | 2.9925 | 2.814 | 2.5816 | 2.6837 |
| 150 mm, 0.7 Hz | 2.8887 | 2.9405 | 2.9357 | 2.9803 | 4.7771 | 4.0001 | 4.1976 | 4.0504 |
| 150 mm, 0.8 Hz | 3.8780 | 3.9404 | 3.8244 | 3.8959 | 6.4639 | 5.5190 | 5.8092 | 5.3449 |
| 200 mm, 0.6 Hz | 2.8096 | 2.8568 | 2.8550 | 2.8939 | 4.5598 | 4.3269 | 3.9496 | 4.1745 |
| 200 mm, 0.7 Hz | 3.9952 | 4.0560 | 3.9534 | 4.0062 | 6.5702 | 5.3012 | 5.4634 | 5.5781 |
| 200 mm, 0.8 Hz | 5.0722 | 5.1666 | 5.0530 | 5.1360 | 7.6363 | 6.4837 | 7.2282 | 7.1176 |
| Excitation Amplitude and Frequency | Internal Lashing, Gap 1.5 mm | External Lashing, Gap 1.5 mm | ||||||
|---|---|---|---|---|---|---|---|---|
| Third Tier | Fourth Tier | Third Tier | Fourth Tier | |||||
| Closed End | Open End | Closed End | Open End | Closed End | Open End | Closed End | Open End | |
| 100 mm, 0.6 Hz | 1.4301 | 1.4887 | 1.4282 | 1.4998 | 1.6616 | 1.8733 | 1.7046 | 1.9231 |
| 100 mm, 0.7 Hz | 2.3127 | 2.3126 | 2.3231 | 2.3392 | 2.0269 | 2.1836 | 2.0399 | 2.2109 |
| 100 mm, 0.8 Hz | 4.7911 | 6.0964 | 5.4506 | 5.4364 | 5.6212 | 5.7380 | 5.8868 | 6.1477 |
| 150 mm, 0.6 Hz | 2.2844 | 2.4251 | 3.8034 | 3.7218 | 4.0100 | 3.8944 | 4.0657 | 4.2533 |
| 150 mm, 0.7 Hz | 6.1715 | 6.4118 | 6.0854 | 6.3984 | 6.4994 | 6.3994 | 6.4971 | 7.0544 |
| 150 mm, 0.8 Hz | 7.3342 | 8.9275 | 7.2022 | 9.7729 | 7.9060 | 8.0229 | 8.6675 | 9.5740 |
| 200 mm, 0.6 Hz | 6.7107 | 7.2807 | 7.3049 | 7.4613 | 6.4490 | 5.4730 | 7.6771 | 7.8434 |
| 200 mm, 0.7 Hz | 7.6408 | 8.5872 | 7.3959 | 8.4723 | 7.6127 | 7.8730 | 7.6606 | 8.7150 |
| 200 mm, 0.8 Hz | 8.5774 | 10.3178 | 9.6922 | 10.7695 | 9.5166 | 10.8477 | 10.2583 | 11.2783 |
Disclaimer/Publisher’s Note: The statements, opinions and data contained in all publications are solely those of the individual author(s) and contributor(s) and not of MDPI and/or the editor(s). MDPI and/or the editor(s) disclaim responsibility for any injury to people or property resulting from any ideas, methods, instructions or products referred to in the content. |
© 2026 by the authors. Licensee MDPI, Basel, Switzerland. This article is an open access article distributed under the terms and conditions of the Creative Commons Attribution (CC BY) license.
Share and Cite
Zeng, Q.; Ji, Y.; Zheng, J.; Wei, P.; Li, C.; Wang, D. Nonlinear Response of Four-Tier Container Multiple Stacks with Different Lashing Approach Under Dynamic Excitation. J. Mar. Sci. Eng. 2026, 14, 292. https://doi.org/10.3390/jmse14030292
Zeng Q, Ji Y, Zheng J, Wei P, Li C, Wang D. Nonlinear Response of Four-Tier Container Multiple Stacks with Different Lashing Approach Under Dynamic Excitation. Journal of Marine Science and Engineering. 2026; 14(3):292. https://doi.org/10.3390/jmse14030292
Chicago/Turabian StyleZeng, Qingbo, Yuheng Ji, Juyan Zheng, Pengyu Wei, Chuntong Li, and Deyu Wang. 2026. "Nonlinear Response of Four-Tier Container Multiple Stacks with Different Lashing Approach Under Dynamic Excitation" Journal of Marine Science and Engineering 14, no. 3: 292. https://doi.org/10.3390/jmse14030292
APA StyleZeng, Q., Ji, Y., Zheng, J., Wei, P., Li, C., & Wang, D. (2026). Nonlinear Response of Four-Tier Container Multiple Stacks with Different Lashing Approach Under Dynamic Excitation. Journal of Marine Science and Engineering, 14(3), 292. https://doi.org/10.3390/jmse14030292


