Next Article in Journal
The Influence of the East Australian Current on the Regional Distribution of Humpback Whales (Megaptera novaeangliae)
Next Article in Special Issue
Inversion Method Based on Temporal Convolutional Networks for Random Ice Load on Conical Offshore Platforms
Previous Article in Journal
Research on the Response Characteristics of Excavation and Support in Circular Sand Soil Foundation Pit Based on Parameter Verification
Previous Article in Special Issue
Research on Ellipse-Based Transient Impact Source Localization Methodology for Ship Cabin Structure
 
 
Due to scheduled maintenance work on our servers, there may be short service disruptions on this website between 11:00 and 12:00 CEST on March 28th.
Font Type:
Arial Georgia Verdana
Font Size:
Aa Aa Aa
Line Spacing:
Column Width:
Background:
Article

Reconstruction of Multi-Load Strain Field of Ship Stiffened Plate Based on iFEM and Analysis of Influencing Factors of Reconstruction Accuracy

1
Taihu Laboratory of Deepsea Technological Science, Wuxi 214082, China
2
China Ship Scientific Research Center, Wuxi 214082, China
3
National Key Laboratory of Ship Structural Safety, Wuxi 214082, China
4
Green & Smart River-Sea-Going Ship, Cruise and Yacht Research Center, Wuhan University of Technology, Wuhan 430063, China
*
Author to whom correspondence should be addressed.
J. Mar. Sci. Eng. 2025, 13(2), 350; https://doi.org/10.3390/jmse13020350
Submission received: 31 December 2024 / Revised: 29 January 2025 / Accepted: 11 February 2025 / Published: 14 February 2025

Abstract

This study utilizes the inverse finite element method (iFEM) to investigate the strain field reconstruction of ship stiffened plates under multiple loading conditions. The aim is to enhance the monitoring, safety, and reliability of ship structures through multi-condition strain field reconstruction. By applying iFEM, this research addresses the challenge of reconstructing strain fields from discrete strain measurements using a least-squares variational equation derived from elastic mechanics principles. The performance of iFEM was evaluated under five loading conditions: axial compression, non-uniform loading, torsion, combined axial compression with non-uniform loading, and combined axial compression with symmetric uniform loading. To mitigate boundary effects, an extended stiffened plate design was implemented. The results show significant improvements in reconstruction accuracy: under two specific loading conditions, the precision improved by 38.82% and 11.25%, respectively, compared to the original plate. This study underscores the potential of iFEM in improving the monitoring and safety of marine structures. Future work could explore the applicability of iFEM to other marine structures and scenarios, ensuring broader practical applications.

1. Introduction

Ship structures are easily affected by coupled loads in complex sea conditions. A stiffened plate, as one of the most typical and basic components of a ship, is a structural unit that accurately represents the structural deformation of the ship. Therefore, it is of great value to study the reconstruction of a multi-condition strain field with a ship stiffened plate as the research object for expanding the monitoring of a ship structure and improving the safety and reliability of the structure. In 2003, the concept and theory of iFEM were formally put forward by A. Tessler and Spangler [1]. In order to solve the problem of reconstructing the displacement field of three-dimensional plate and shell structures based on the surface strain measured by experiments, they proposed to solve the transfer function between the surface strain field and the displacement field based on the least square variational equation according to the deformation theory of elastic mechanics structure foundation, so as to solve the construction from discrete strain to displacement field. In 2015, A. Kefal [2] proved the applicability of iFEM to the health and safety management of offshore structures for the first time. Through theoretical validation involving quadrilateral plates subjected to bending forces and side sections of typical longitudinal and transverse frame tankers under bending loads, it is demonstrated that the iFEM method shows significant potential for accurate real-time monitoring of offshore structures. In 2016, Kefal and Oterkus [3] showcased iFEM’s application in displacement and stress monitoring on a Panamax containership. The method relied solely on discrete strain sensor data to evaluate structural responses in real time without prior knowledge of loading or material information. This research applied iFEM to actual ship structures, validating it as a comprehensive and robust technique that provided accuracy and stability under complex loading conditions and varying structural characteristics and material properties. Building on this foundation, in 2017, Kefal et al. [4] further explored the use of iFEM for three-dimensional shape and stress monitoring, addressing issues with capsize bulk carriers and proposing optimal sensor placement strategies using fiber Bragg grating (FBG) sensors. They demonstrated that a sparse deployment of FBG sensors was sufficient for accurately predicting the vessel’s bending response. By 2021, M.A. Abdollahzadeh et al. [5] proposed a novel four-node inverse shell element (iRZT4) based on the refined zigzag theory (RZT), which is applied to the deformation sensing of moderately thick sandwich structures. Compared to the traditional iFEM methods based on the first-order shear deformation theory (FSDT), the iRZT4 element can more accurately predict through-the-thickness deformations in multilayered composites and sandwich structures, especially under complex loading conditions. Secondly, this study is the first to integrate a polynomial-based strain pre-extrapolation technique with the iFEM-RZT approach, significantly enhancing the accuracy of deformation reconstruction while reducing the number of required sensors. Through numerical simulations and experimental validations, the authors demonstrate the efficiency and robustness of this method under complex loading conditions such as bending and torsion. Additionally, the paper experimentally verifies the superior performance of the iRZT4 element in torsional deformation sensing, addressing a research gap in the existing iFEM-RZT literature. In 2023, Zhu et al. [6] significantly reduced the impact of displacement solution errors on strain reconstruction by introducing a method to solve nodal strain vectors based on element strain functions, replacing the traditional iFEM framework that relies on nodal displacement vectors. Additionally, they proposed a dynamic calculation method for the equivalent neutral layer, establishing a strain mapping function between the inner and outer surfaces of the structure. This enabled an optimized sensor layout scheme requiring sensors only on one side (the inner surface), overcoming the traditional dependency on symmetrical placement on both sides. Finally, strain field reconstruction was performed on stiffened ship panels subjected to bending and combined bending–torsion deformations, significantly reducing the average relative error. Wei et al. [7] converted the deformation field data obtained based on the iFEM algorithm into general visualization data conducive to interpretation and presentation within Virtual Reality (VR) applications. They also developed a digital twin software tool that enables synchronous responses and interactions between the virtual scene and the physical scene, significantly enhancing the efficiency of scientific communication, model validation, and interdisciplinary sharing. Their research methodology not only overcomes the limitations of traditional finite element simulations regarding real-time performance due to high computational complexity, but also provides an efficient and flexible solution for ship structural health monitoring. Chen et al. [8] addressed the limitations of traditional strain field reconstruction methods, such as modal analysis, Ko displacement theory, and artificial intelligence algorithms, which rely heavily on finite element data, lack sufficient physical test inputs, and exhibit weak adaptability to complex loading conditions. By integrating strain sensing data from physical experiments with data from virtual sensors, they achieved high-precision strain field reconstruction of the top plate, side plate, and bottom plate of long-span hull box girders for the first time. This study is the first to apply iFEM technology to the strain field reconstruction of long-span hull box girders, combining measured data with virtual sensor data to solve the issue of the low data matching accuracy in traditional methods. By optimizing sensor placement strategies and introducing penalty parameters (such as a shear strain weight coefficient λ = 10−4), the recognition accuracy in low-strain regions was significantly improved. Based on error analysis of physical test validation points (average error of 3.42%), this research provides reliable evidence for the practical application of iFEM in the structural health monitoring of complex marine engineering structures. It also lays a solid foundation for future studies on strain field reconstruction under multiple loading conditions for stiffened plates. Yan and Tang [9] proposed a high-precision iFEM algorithm that improves the accuracy of calculations for curved shell structures by establishing local coordinate systems and altering stiffness integration strategies. Dirik et al. [10] introduced an isogeometric Mindlin–Reissner inverse-shell element formulation to address strain field reconstruction under complex loading conditions. At present, the health monitoring of ship structures based on iFEM is developing in a diversified way, but there are few studies on the strain field reconstruction of ship structures under single or multiple loads.
Although existing studies have attempted to reconstruct strain fields under bending and torsional loads for stiffened plates of ships and to investigate digital twin technologies based on iFEM, the current literature generally lacks a comprehensive analysis of iFEM performance under various loading conditions and an examination of the factors affecting reconstruction accuracy. Therefore, this study conducts an in-depth investigation into the strain field reconstruction of stiffened plates under various operational conditions using iFEM, aiming to optimize the practical application of iFEM in marine engineering. This optimization will enhance the reliability and effectiveness of structural health monitoring in marine environments.

2. Inverse Finite Element Formulation for Shells

To accommodate various structural forms and physical models, different inverse elements must be developed. Currently, iCS8 and iQS4 are frequently employed for reconstructing the deformation field of offshore structures. iCS8 is well-suited for constructing inverse shell elements for curved structures such as submarines and cylinders. Given that the strain state of ship stiffened plates remains in a linear phase and the plate surface is flat, the strain field reconstruction employs the Mindlin plate theory with iQS4 as the inverse shell element [8,11]. A local coordinate system ( x , y , z ) for a plate element is established, as shown in Figure 1, with the origin at the centroid of the plate element’s neutral surface. Displacements in the, x , y , and z directions of the local coordinate system are denoted by u , v , and w , respectively. Rotation angles about the x , y and z axes are represented by θ x , θ y and θ z , respectively. The element has four nodes labeled as points 1, 2, 3, and 4, with a thickness of 2 h .
u = u 0 + z θ y 0 v = v 0 z θ x 0 w = w 0
where the distributions of u 0 , v 0 , and u 0 represent the displacements of points in the directions x , y , z ; and θ x 0   θ y 0 denote the rotation angles of a point on the median plane around the x -axis and y -axis directions, respectively, where the displacement w in the z -axis direction is unchanged along the thickness direction, z [ h , + h ] .
N i = 1 4 ( 1 + x i x ) ( 1 - y i y ) , i = 1 , 2 , 3 , 4
u i e = [ u i v i w i θ x i θ y i θ z i ] T i = 1 , 2 , 3 , 4
The displacement matrix for the four-node element can be represented as follows:
u e = [ u 1 u 2 u 3 u 4 ] T
As expressed in Equations (5)–(7), the theoretical strain of the ship stiffened plate structure can generally be decomposed into linear combinations of in-plane tensile and compressive strain, bending strain, and shear strain.
e ( u e ) = e 1 e 2 e 3 = u x v y u y + v x
k ( u e ) = k 1 k 2 k 3 = θ y x θ x y θ x x + θ y y
s ( u e ) = s 1 s 2 = w x + θ y w y θ x
Furthermore, the link between the theoretical strain and the nodal displacement matrix of the element can be formulated using the shape function’s partial derivative matrix. According to Formula (8), the surface strain of the ship stiffened plate can be characterized by the partial derivative matrices associated with the shape function of the four-node inverse shell element and the nodal displacement matrix u e .
ε b = e ( u e ) + z k ( u e ) = B m u e + z B k u e
As demonstrated in Formula (9), the transverse shear strain ε s is characterized by the partial derivative matrix B s from the shape function of the four-node inverse shell element, along with the nodal displacement matrix u e .
ε s = s ( u e ) = B s u e
Reference [12] provides a detailed explanation of the exact computation method and theoretical framework for the partial derivative matrices B m , B k , and B s associated with the shape function.
Physical strain sensors and virtual strain sensors are used to measure the strain on the upper and lower surfaces of the ship stiffened plate, where the upper surface strain is labeled as ( ε x x + , ε y y + , s x y + ) j and the lower surface strain as ( ε x x , ε y y , s x y ) j , as shown in Figure 2. Physical sensor data refer to the measurements that can be obtained in actual engineering applications, whereas virtual sensing data are acquired through high-fidelity numerical simulations, representing information that cannot be obtained through experiments. In this case, the data from both the top and bottom surfaces were obtained via numerical simulations. In this context, j = 1 , 2 , 3 n , and n signifies the total number of strain sensors within the element. The symbols “+” and “−” correspond to the upper and lower surfaces of the structure, respectively, and 2 h denotes the thickness of the box girder plate. The strains on these surfaces can be represented by Equations (10) and (11). The virtual strain sensors refer to techniques that employ numerical analysis to simulate strain responses at specific structural locations under diverse loading conditions, serving as an alternative to traditional physical sensors.
Figure 2. Discrete surface strain measured by a strain flower in the iQS4 element.
Figure 2. Discrete surface strain measured by a strain flower in the iQS4 element.
Jmse 13 00350 g002
e j c = 1 2 ( ε j + + ε j ) j = 1 , 2 , 3 n
k j c = 1 2 h ( ε j + ε j ) j = 1 , 2 , 3 n
ε j + = [ ε x x + ε y y + s x y + ] j T ε j = [ ε x x ε y y s x y ] j T
where
  • the superscript c signifies the discrete strain observed during the experiment;
  • the superscript e j c refers to the tensile and compressive strains experienced by the plate’s neutral surface over the course of the test;
  • the superscript k j c denotes the bending strain on the plate’s neutral surface.
Since the shear strain s j c is considerably smaller than the tensile–compressive strain e j c , it is omitted for simplicity in measurements and later determined using a proportional relationship.
A least square error function is established between the measured strain and the theoretical strain. The theoretical displacement value of each element node is obtained when the partial derivative of the error function with respect to the node displacement equals zero. It is assumed that this displacement distribution corresponds to the actual displacement distribution under the measured strain state at that time.
φ e ( u e ) = w e e ( u e ) e c 2 + w k k ( u e ) k c 2 + w s s ( u e ) s c 2
In this context, e ( u e ) , k ( u e ) , and s ( u e ) denote the theoretical tensile and compressive, bending, and shear strains of the element based on the neutral surface displacement field, respectively; e c , k c , and s c represent the tensile and compressive, bending, and shear strains of the neutral surface derived from surface strain data obtained via simulation testing or strain gauge measurement, respectively; and w e , w k , and w s are dimensionless weighting factors that influence the strain distribution across different sections and modulate the relationship between the theoretical and measured neutral surface strains, respectively. When the strains e c , k c , and s c are available, the weighting factors can be set to w e = w k = w s = 1. For scenarios lacking specific strain data, such as shear strain, the precision and validity of the results can be ensured by adjusting the relevant coefficients [13,14]. Following an in-depth analysis of the box girder’s structural and material properties, it has been determined that w s = λ = 10 4 ( 0 < λ 1 , with Q being the penalty factor) [15,16,17].
e ( u e ) e c 2 = 1 n A e i = 1 n ( e ( u e ) i e i c ) 2 d x d y
k ( u e ) k c 2 = ( 2 h ) 2 n A e i = 1 n ( k ( u e ) i k i c ) 2 d x d y
s ( u e ) s c 2 = 1 n A e i = 1 n ( s ( u e ) i s i c ) 2 d x d y
where
  • A e signifies the area covered by the plate element;
  • n indicates the total number of sensors within the element.
φ e ( u e ) u e = k e u e f e = 0
Finishing the Formula (16) can obtained the following:
k e u e = f e
k e = A e [ ( B m ) T B m + ( 2 h ) 2 ( B k ) T ( B k ) + λ ( B s ) T ( B s ) ] d x d y
The f e matrix is composed of the B m , B k , and B s matrices, together with their respective weighting factors w e , w k , and w s . These factors are linked to the number of strain sensors n and the thickness h of the cell plate. For the conditions where w e = w k = 1 and w s = λ = 10 4 , the matrix takes the following form:
f e = 1 n A e [ ( B m ) T e i c + ( 2 h ) 2 ( B k ) T k i c + λ ( B s ) T s i c ] d x d y
The assembly of individual element matrices into the global matrix involves transforming the stiffness matrix equation from the local coordinate system to the global one using a coordinate transformation matrix. Following this transformation, the stiffness matrix equations of the discretized structure are combined to derive the overall stiffness matrix equation for the complete structure. This approach follows the principles of the finite element method [15].
K U = F
The specific solution and form are as follows:
K = e = 1 n e l ( T e ) T k e T e
F = e = 1 n e l ( T e ) T f e
U = e = 1 n e l ( T e ) T u e
where K refers to the overall stiffness matrix, which is determined by the placement and quantity of discrete elements within the structure; n e l indicates the total count of inverse finite elements; U represents the global structural displacement vector; F is the overall load matrix, which is influenced by the mid-plane strains of the discrete elements within the structure; and T e is the coordinate transformation matrix. The k matrix is a symmetric matrix that does not depend on strain measurement values but is associated with the positions of cell nodes and strain measurement points within the inverse cells. By incorporating cell boundary conditions, the coefficient matrix k becomes a positive definite matrix, enabling the determination of the global displacement U of the cell nodes following inversion.
Ignoring the shear deformation in the plate element allows for its description using the partial derivative matrix of the shape function and the nodal displacement matrix of the element.
ε b = e ( u e ) + z k ( u e ) = B m u e + z B k u e = ( B m + z B k ) u e
When accounting for the structural shear strain within the plate element, suitable penalty factors can be chosen according to the relationship between the shear strain and tensile–compressive strain, λ .
ε = e ( u e ) + z k ( u e ) + λ e ( u e ) = B m u e + z B k u e + λ B s u e = ( B m + z B k + λ B s ) u e
ε ( x , y ) = ε x x ε y y γ x y = u = N q e = B q e
In assembling discrete strain elements, the global strain ε is derived by multiplying the partial derivative matrix of the shape function with the nodal displacement matrix of the element.

3. Reconstruction of Multi-Condition Strain Field of Ship Stiffened Plate

At present, some scholars have studied the iFEM reconstruction of ship stiffened plates, and have used different types of stiffened plates, and they have not adopted the stiffened plate model recommended in the industry specification. ISSC2012 conducted a series of benchmark studies on the ultimate strength of stiffened plates, which pointed out that the boundary conditions of the structural model, model expansion, and grid size all have important influences on the accuracy of the ultimate strength calculation results [18]. In order to make the research on strain field reconstruction of a stiffened plate more standardized, based on the ISSC analysis report, the longitudinal double-span 1/2 + 1 + 1/2 model is selected for the stiffened plate model, and the relevant research is carried out. The stiffened plate model is shown in Figure 3. The detailed model parameters are provided in Table 1. The finite element model of the reinforced plate is discretized into 27,270 elements and 27,528 nodes, with an approximate global element size of 15 mm. The model primarily employs quadrilateral elements (S4R), along with a limited number of triangular elements (S3R). All elements are structural elements designed to accurately represent the mechanical behavior of the structure.
In this part, the stiffened plate of the typical ship structure is taken as the research object, and the structural strain field reconstruction by the iFEM method is carried out by using the numerical simulation results of the finite element software ABAQUS 2022. The strain field reconstruction of stiffened plates is carried out under five different working conditions: axial compression, non-uniformly distributed load, torsion, coupling between axial compression and non-uniformly distributed load, and coupling between axial compression and symmetrical uniform distribution. According to the reconstruction results, a Bland–Altman diagram is used to represent the overall system error between the input and output (i.e., reconstruction results) of the iFEM algorithm, and an error diagram is used to represent the error and variability between the measured values and reconstruction values of each measuring point. According to the numerical simulation results, 20 measuring points are selected to reconstruct the strain field of the stiffened plate, the reconstruction results of the ship stiffened plate under five working conditions are analyzed, and the factors influencing the reconstruction accuracy are studied. The layout scheme of measuring points is shown in Figure 4.

3.1. Reconstruction of Strain Field Under the Axial Compression Condition

The loading schematic diagram of the stiffened plate under axial compression is shown in Figure 5. At one end of the plate, all nodes are coupled to RP-2 and set with full constraints, while at the other end, all nodes are coupled to RP-1 and a concentrated load of 600 kN is applied. This is equivalent to applying a uniform load of 600 kN in the X direction. In the following sections, any mention of constrained ends and axial loading conditions refers to the same setup described here. The strain along the load application direction is the largest, that is, ε 11 is the main strain direction, and the strain values in the other two directions ( ε 12 , ε 22 ) are small, so the strain in the load application direction is focused on. This working condition can be used to simulate the axial compression when the ship collides and the deck above the shaft in the hull beam is compressed when the hull is subjected to total longitudinal bending.
In this part, the numerical simulation results are taken as “virtual measured values” and used as the iFEM input to carry out the research on strain field reconstruction of stiffened plates. The average difference between the reconstructed value and the measured value of 20 measuring points under axial compression is −0.088 µε, and the standard deviation of the difference is 1.807 µε. The specific result is shown in Figure 6, in which the measuring point 12 has the largest error, which is located in the middle of the rightmost position of the stiffened plate, and is in the middle of the constrained boundary, which is most obviously affected by the boundary conditions, so the reconstruction error is the largest. The reconstructed strain field is in good agreement with the measured strain field, as shown in Figure 7.

3.2. Reconstruction of Strain Field Under Non-Uniform Loading Conditions

For the stiffened plate with both ends clamped, a non-uniform load with a gradient variation was applied to the upper surface. The load gradient along the Z direction is defined as P = 10−4 × Z + 10−5, with units in MPa, as illustrated in Figure 8. This non-uniform loading simulates the impact of varying pressure gradients on the strain fields of marine structures, such as hydrostatic pressure affecting the sides and bilge structures below the waterline of large vessels.
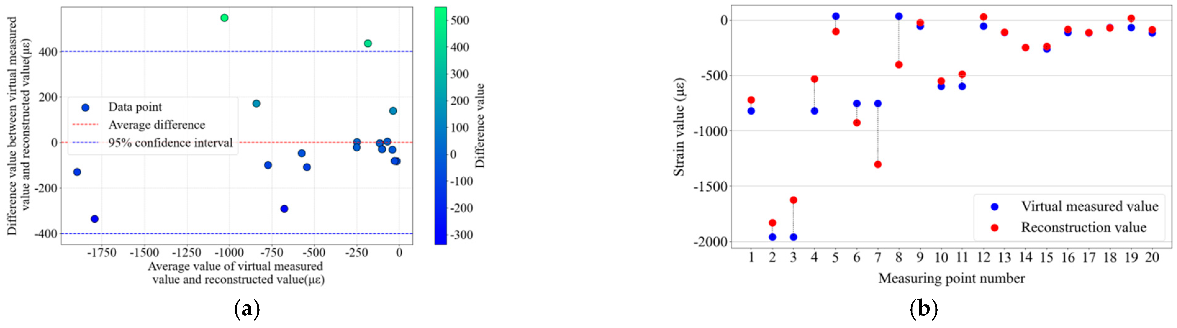
Under this non-uniform loading condition, the average difference between the reconstructed and measured strains at 20 measurement points is −0.03 µε, with a standard deviation of 186.94 µε, as shown in Figure 9. The measurement points 3, 4, 7, and 8 exhibit relatively larger reconstruction errors. These points are concentrated near the edges of the stiffened plate, close to the clamped ends. Based on the comprehensive analysis of the measured strain field, it is evident that the strain gradient in this region sharply changes from 0 to 1750 µε and is located near the boundary. This sharp gradient and proximity to the boundary jointly contribute to the reduced reconstruction accuracy in this area. Additionally, localized discrepancies between the reconstructed and measured strain fields are observed, as depicted in Figure 10.

3.3. Reconstruction of Strain Field Under the Torsion Condition

For the stiffened plate, one end is constrained while the other end has two adjacent plate surfaces near reference point RP-3 coupled to RP-3, with a downward load of 30 kN applied. Similarly, an upward load of 30 kN is applied at reference point RP-4 using the same coupling method, as illustrated in Figure 11. This loading condition simulates the loading characteristics experienced by a ship when subjected to lateral or asymmetric loads. In real-world scenarios, such loads can arise from various conditions, including the following: (1) side wind forces or lateral wave impacts on the vessel; (2) uneven cargo distribution, particularly between the port and starboard sides of the ship.
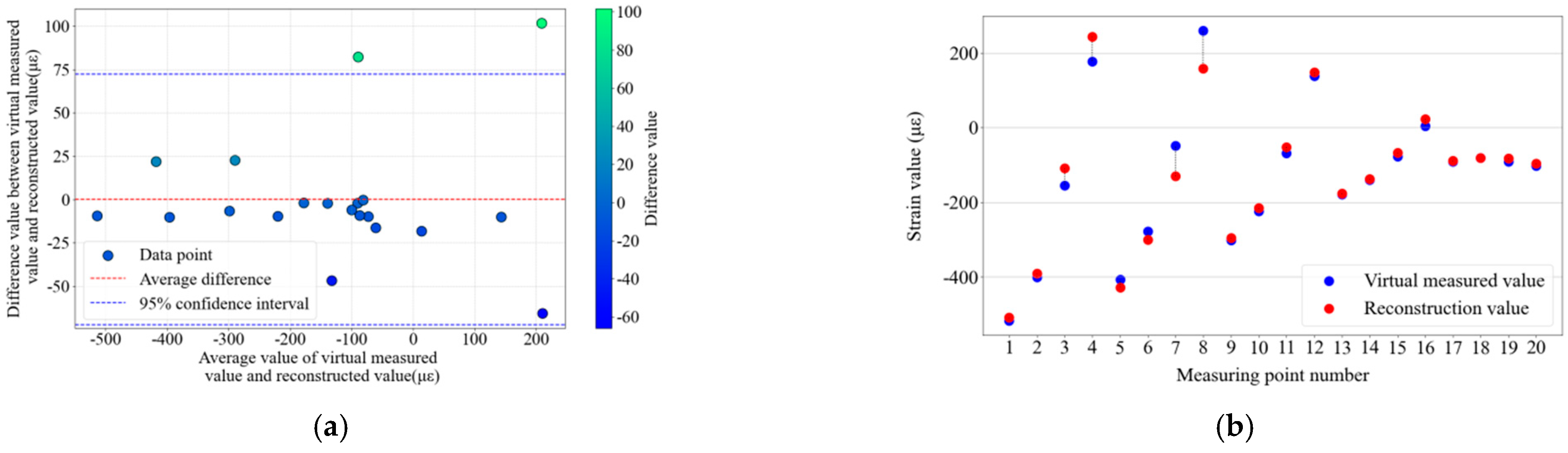
Under this torsional loading condition, the average difference between the reconstructed and measured strains at 20 measurement points is 0.0436 µε, with a standard deviation of 24.2 µε, as shown in Figure 12. Overall, the reconstruction results are quite satisfactory under this condition. However, measurement points 8 and 16 exhibit relatively larger reconstruction errors due to boundary effects. The reconstructed strain field shows high agreement with the measured strain field, as depicted in Figure 13.

3.4. Reconstruction of Strain Field Under the Coupling Condition of Axial Compression and Non-Uniform Load

For the stiffened plate, one end is constrained while the other end is subjected to a horizontal axial force, and non-uniform loads are applied on the plate surface. The load gradient along the Z direction is defined as P = 10−4 × Z + 10−5, with units in MPa. Additionally, a horizontal axial compressive force of 600 kN is applied along the X direction, as illustrated in Figure 14. This loading condition simulates the local strain field changes experienced by the underwater portion of a ship when it encounters an impact during navigation.
Under the combined axial compression and non-uniform loading condition, the average difference between the reconstructed and measured strains at 20 measurement points is 1.464 µε, with a standard deviation of 340.723 µε, as shown in Figure 15. In this condition, measurement points 3, 4, 7, and 8 still exhibit relatively larger reconstruction errors, similar to those observed under the non-uniform loading condition alone. The reasons for these larger errors are likely due to the sharp strain gradients and proximity to boundaries, as depicted in Figure 16. Additionally, localized discrepancies between the reconstructed and measured strain fields are observed.

3.5. Reconstruction of Strain Field Under the Coupling Condition of Axial Compression and Symmetrical Uniform Distribution

For the stiffened plate, one end is constrained while the other end is subjected to a horizontal axial force, and uniform symmetric loads are applied on the plate surface. The magnitude of the load is 0.1 MPa, with an additional compressive force of 600 kN applied along the X direction, as illustrated in Figure 17. This loading condition simulates the strain field changes experienced by a ship’s deck when subjected to external impacts during cargo or equipment loading.
Under the combined axial compression and symmetric uniform loading condition, the average difference between the reconstructed and measured strains at 20 measurement points is −0.0844 µε, with a standard deviation of 2.609 µε. Detailed results are shown in Figure 18. Measurement point 12 exhibits the largest relative error, located at the boundary and within the region of concentrated loading. The axial pressure further affects this area, leading to reduced reconstruction accuracy. As depicted in Figure 19, localized discrepancies between the reconstructed and measured strain fields are observed; however, the overall trend shows good agreement.
After analyzing the strain field reconstructions under five different loading conditions, it was found that among the 20 measurement points, those with larger errors are points 3, 4, 7, 8, 12, and 16. These points have a negative impact on the overall reconstruction accuracy. Notably, points 4, 8, 12, and 16 are located at the boundaries of the stiffened plate, as shown in Figure 20. This observation leads to the hypothesis that boundary effects may significantly influence reconstruction accuracy.

4. Analysis of the Influence of the Model Boundary on Reconstruction Accuracy and Method Verification

Through comparative analysis of the aforementioned reconstruction results, it was found that the reconstruction accuracy is less satisfactory when non-uniform loads are present. Therefore, an extended stiffened plate design, as shown in Figure 21, has been developed to conduct strain field reconstruction analysis under non-uniform loading conditions. During reconstruction, only the middle portion of the extended stiffened plate is used for strain field reconstruction. This approach aims to reduce strain gradient changes and mitigate the effects of boundary conditions on the structure.
The material properties of the extended stiffened plate remain identical to those of the original stiffened plate. The key differences lie in the dimensions: the extended plate is three times the size of the original and includes five additional transverse beams, while maintaining the same number of longitudinal stiffeners. A detailed size comparison is provided in Table 2.

4.1. Analysis of Model Boundary Influence Under Single Load

The boundary conditions applied to the extended stiffened plate are consistent with those of the original stiffened plate, with both ends clamped. Non-uniform loads are applied to the upper surface of the stiffened plate, with the load gradient along the Y direction defined as P = 10−4 × Y + 10−5, in units of MPa, as shown in Figure 22.
The middle portion of the extended stiffened plate is used for axial strain field reconstruction and error analysis, as shown in Figure 23. Under non-uniform loading conditions, the average reconstruction error for the extended stiffened plate is 4.67%, representing a 35.82% improvement in reconstruction accuracy compared to the original stiffened plate.
By reconstructing the strain field using the middle portion of the lengthened stiffened plate under non-uniform loading conditions, there is a noticeable improvement in reconstruction quality compared to the original stiffened plate under the same conditions. The measured and reconstructed strain fields are illustrated in Figure 24, highlighting the enhanced performance of the extended plate.

4.2. Analysis of Model Boundary Influence Under Coupled Load

As shown in Figure 25, the boundary conditions applied to the extended stiffened plate are consistent with those of the original stiffened plate, with one end clamped and the other end subjected to a horizontal axial force. Non-uniform loads are applied to the upper surface of the stiffened plate, with the load gradient along the Y direction defined as P = 10−4 × Y + 10−5, in units of MPa. Additionally, a horizontal axial compressive force of 600 kN is applied along the X direction.
Similarly, the middle portion of the extended stiffened plate is used for axial strain field reconstruction and error analysis, as illustrated in Figure 26. Under the combined axial compression and non-uniform loading condition, the average reconstruction error for the extended stiffened plate is 6.77%, representing an 11.25% improvement in reconstruction accuracy compared to the original stiffened plate. The reconstruction effect is still good, as shown in Figure 27.
When only the length of the stiffened plate is changed while keeping other variables constant, the strain values in the target region of the extended stiffened plate increase by an average factor of 7.07 and 1.48 times under the two loading conditions, respectively. This indicates that the model design and boundary effects significantly influence the strain distribution.
The design of the extended stiffened plate verifies that mitigating boundary effects can substantially improve reconstruction accuracy. The reconstruction error of the extended stiffened plate is notably lower than that of the original stiffened plate, and the overall reconstruction quality shows significant improvement.

5. Experimental Validation of the iFEM Algorithm

5.1. Introduction to the Experimental Model

Due to the multiple loading conditions involved in this study, conducting physical experiments for all conditions would be challenging. Therefore, based on the numerical simulations discussed earlier, this section focuses on experimental tests for a typical axial compression condition. Through these model experiments, we can investigate the load-bearing characteristics of stiffened plates under axial compression and verify the feasibility and accuracy of the iFEM algorithm in reconstructing strain fields in actual structures. The dimensions and material properties of the stiffened plate test model are identical to those described in Section 3, and the influence of model boundaries on strain reconstruction accuracy, as discussed in Section 4, is fully considered. The test model is divided into three parts: the model body, the fixed end, and the loaded end. The stiffened plate test model is shown in Figure 28, with the parameters of the model body provided in Table 3.

5.2. Design of the Experimental Scheme

The objective of this experiment is to verify the feasibility of the iFEM method in practical structures. Therefore, the placement of measurement points should meet both the requirements for strain reconstruction and algorithm validation. This experiment primarily uses triaxial strain gauges, with the specific placement of measurement points shown in Figure 29. The strain measurement points P2-1 to P2-24 are used for the strain reconstruction of the stiffened plate. Given the symmetry of structural strain along the centerline in the loading direction during the loading process, a total of 24 measurement points were placed along the centerline and on one side of it. The loading process gradually increases from 0 to 80 kN, with reconstruction analyses performed at 20 kN, 40 kN, 60 kN, and 80 kN. The reconstruction results are summarized in the table. The measurement points Y-1 to Y-10 are used for reconstruction validation to ensure the accuracy of the iFEM strain reconstruction algorithm. Therefore, the sensor placement positions must be randomly distributed along the length and width of the stiffened plate to avoid any accidental results.

5.3. Analysis of Experimental Results

As the load increases, the accuracy of strain reconstruction also improves. At a lower load (20 kN), the maximum reconstruction error for Y-7 is 17.52%, with an average reconstruction error of 9.36%. This is because the structural response amplitude is small, and most of the structure is in a low-strain state, making the influence of noise interference more significant. In practical applications, it is necessary to consider the impact of noise on strain measurements to improve accuracy. When the load on a single hydraulic jack reaches 40 kN, the maximum error decreases to 14.7%, with an average error of 6.2%. At this point, the strain level at Y-5 is relatively low, resulting in a higher reconstruction error, but overall, the reconstruction errors have improved. When the load on a single hydraulic jack reaches 80 kN, the maximum error further decreases to 10.8%, with an average reconstruction error of 4.6%. The largest reconstruction error remains at Y-5. Upon inspecting the model, it was found that there is a noticeable welding defect at this point, leading to a significant change in strain gradient compared to the surrounding areas. Additionally, its proximity to the longitudinal stiffener and boundary effects contribute to the lower reconstruction accuracy at Y-5.
In Table 4, MV represents the measured values from the experiment, RV represents the reconstructed values based on experimental results, AE denotes the average error, and MX denotes the maximum error.
Through axial compression tests, the feasibility of the iFEM algorithm in engineering applications was examined. However, for various coupled loading conditions, effective experimental methods still need to be explored for further research.

6. Conclusions

This paper successfully explores the strain field reconstruction of ship stiffened plates under various loading conditions using the iFEM. The key conclusions are as follows:
  • Analysis of factors influencing reconstruction accuracy: Load distribution and boundary effects significantly impact the reconstruction accuracy of iFEM. In practical engineering scenarios with limited measurement points, iFEM struggles to achieve high-precision reconstructions for concentrated large loads or high-gradient loads. This study provides insights into optimizing these factors to improve reconstruction outcomes.
  • Boundary effect mitigation: By designing an extended stiffened plate, the study effectively mitigates boundary effects. This design significantly enhances reconstruction accuracy, reducing average errors by 35.82% under non-uniform loading conditions and 11.25% under combined axial compression and non-uniform loading conditions.
  • Versatility of iFEM: This research demonstrates the adaptability of iFEM in handling different types of loading conditions and structural characteristics. Future work can explore simulating more realistic engineering loads to further investigate the applicability of the iFEM method.
While this study has demonstrated significant improvements in reconstruction accuracy through innovative designs and methodologies, several limitations warrant attention. First, the current study primarily focuses on idealized loading conditions, which may not fully represent the complexities encountered in actual marine environments. Future research should incorporate more realistic and dynamic loading scenarios to enhance the practical applicability of iFEM. Second, although the extended stiffened plate design mitigates boundary effects, it introduces additional complexity in terms of structural design and implementation. Balancing accuracy and practicality remains a critical challenge for future developments.
Overall, this study contributes to advancing the use of iFEM in structural health monitoring within marine environments. Future research could focus on optimizing sensor placement strategies and exploring the applicability of iFEM to other marine structures and scenarios.

Author Contributions

Methodology, G.C.; validation, Q.Z. and H.Y.; formal analysis, Z.J. and H.C.; investigation, H.X. and W.C.; data curation, M.S. and T.Z.; Validation, G.C. and Z.Z.; writing—original draft, G.C.; writing—review and editing, G.C. and X.W.; supervision, X.W.; funding acquisition, X.W. All authors have read and agreed to the published version of the manuscript.

Funding

This project is funded by the National Key Research and Development Program of China, and the project number is 2024YFE0104300.

Institutional Review Board Statement

Not applicable.

Informed Consent Statement

Informed consent was obtained from all subjects involved in the study.

Data Availability Statement

The relevant research data have been mostly displayed in the paper. If you need other data, you can contact the author by email (except private data).

Acknowledgments

Thanks to all the experimenters and participants in the research content of this paper.

Conflicts of Interest

The authors declare no conflicts of interest.

References

  1. Bogert, P.; Haugse, E.; Gehrki, R. Structural shape identification from experimental strains using a modal transformation technique. In Proceedings of the 44th AIAA/ASME/ASCE/AHS/ASC Structures, Structural Dynamics, and Materials Conference, Norfolk, VA, USA, 7–10 April 2003; p. 1626. [Google Scholar]
  2. Kefal, A.; Oterkus, E. Structural health monitoring of marine structures by using inverse finite element method. In Analysis and Design of Marine Structures V; Taylor & Francis: Abingdon, UK, 2015; pp. 341–349. [Google Scholar]
  3. Kefal, A.; Oterkus, E. Displacement and stress monitoring of a Panamax containership using inverse finite element method. Ocean Eng. 2016, 119, 16–29. [Google Scholar] [CrossRef]
  4. Kefal, A.; Mayang, J.B.; Oterkus, E.; Yildiz, M. Three dimensional shape and stress monitoring of bulk carriers based on iFEM methodology. Ocean Eng. 2017, 147, 256–267. [Google Scholar] [CrossRef]
  5. Abdollahzadeh, M.; Tabrizi, I.; Kefal, A.; Yildiz, M. A combined experimental/numerical study on deformation sensing of sandwich structures through inverse analysis of pre-extrapolated strain measurements. Measurement 2021, 185, 110031. [Google Scholar] [CrossRef]
  6. Zhu, Q.; Wu, G.; Zeng, J.; Jiang, Z.; Yue, Y.; Xiang, C.; Zhan, J.; Zhao, B. Enhanced Strain Field Reconstruction in Ship Stiffened Panels Using Optical Fiber Sensors and the Strain Function-Inverse Finite Element Method. Appl. Sci. 2023, 14, 370. [Google Scholar] [CrossRef]
  7. Wei, P.; Li, C.; Jiang, Z.; Wang, D. Real-Time Digital Twin of Ship Structure Deformation Field Based on the Inverse Finite Element Method. J. Mar. Sci. Eng. 2024, 12, 257. [Google Scholar] [CrossRef]
  8. Chen, G.; Wang, X.; Zhao, N.; Jiang, Z.; Li, F.; Chen, H.; Wei, P.; Zhang, T. Study on Strain Field Reconstruction Method of Long-Span Hull Box Girder Based on iFEM. J. Mar. Sci. Eng. 2024, 12, 1482. [Google Scholar] [CrossRef]
  9. Yan, H.; Tang, J. A High-Precision Inverse Finite Element Method for Shape Sensing and Structural Health Monitoring. Sensors 2024, 24, 6338. [Google Scholar] [CrossRef] [PubMed]
  10. Dirik, Y.; Oterkus, S.; Oterkus, E. Isogeometric mindlin-reissner inverse-shell element formulation for complex stiffened shell structures. Ocean Eng. 2024, 305, 118028. [Google Scholar] [CrossRef]
  11. Kefal, A. An efficient curved inverse-shell element for shape sensing and structural health monitoring of cylindrical marine structures. Ocean Eng. 2019, 188, 106262. [Google Scholar] [CrossRef]
  12. Kefal, A.; Oterkus, E. Displacement and stress monitoring of a chemical tanker based on inverse finite element method. Ocean Eng. 2016, 112, 33–46. [Google Scholar] [CrossRef]
  13. Hui, H. Research on Deformation Reconstruction of Plate and Girder Structure Based on iFEM; Huazhong University of Science and Technology: Wuhan, China, 2021. [Google Scholar]
  14. Vazquez, S.L.; Tessler, A.; Quach, C.C.; Cooper, E.G.; Parks, J. Spangler Structural Health Monitoring Using High-Density Fiber Optic Strain Sensor and Inverse Finite Element Methods; NASA: Washington, DC, USA, 2005. [Google Scholar]
  15. Tessler, A.; Spangler, J.L. Inverse FEM for full-field reconstruction of elastic deformations in shear deformable plates and shells. In Proceedings of the 2nd European Workshop on Structural Health Monitoring, Munich, Germany, 7–9 July 2004. [Google Scholar]
  16. Kefal, A.; Oterkus, E.; Tessler, A.; Spangler, J.L. A quadrilateral inverse-shell element with drilling degrees of freedom for shape sensing and structural health monitoring. Eng. Sci. Technol. Int. J. 2016, 19, 1299–1313. [Google Scholar] [CrossRef]
  17. Cao, Z.; Fei, Q.; Jiang, D.; Zhang, D.; Jin, H.; Zhu, R. Dynamic sensitivity-based finite element model updating for nonlinear structures using time-domain responses. Int. J. Mech. Sci. 2020, 184, 105788. [Google Scholar] [CrossRef]
  18. Fricke, W.; Bronsart, R. ISSC 2012 Section 6 Benchmark Studies. In Proceedings of the 18th International Ship and Offshore Structures Congress; Schiffbautechnische Gesellschaft: Hamburg, Germany, 2012; pp. 308–327. ISBN 978-3-87700-131-{5,8}. [Google Scholar]
Figure 1. Four-node inverse shell element iQS4; (a) iQS4 element showing global and local coordinate systems; (b) nodal DOF in the local coordinate system xyz.
Figure 1. Four-node inverse shell element iQS4; (a) iQS4 element showing global and local coordinate systems; (b) nodal DOF in the local coordinate system xyz.
Jmse 13 00350 g001
Figure 3. The stiffened plate model. (a) Stiffened plate model (without mesh). (b) Finite element mesh model.
Figure 3. The stiffened plate model. (a) Stiffened plate model (without mesh). (b) Finite element mesh model.
Jmse 13 00350 g003
Figure 4. Layout scheme of measuring points.
Figure 4. Layout scheme of measuring points.
Jmse 13 00350 g004
Figure 5. Schematic diagram of loading under the axial compression condition.
Figure 5. Schematic diagram of loading under the axial compression condition.
Jmse 13 00350 g005
Figure 6. Analysis of the reconstruction error under the axial compression condition. (a) Axial compression condition—Bland–Altman plot for strain in direction ε 11 ; (b) schematic diagram of the axial compression condition— ε 11 direction error.
Figure 6. Analysis of the reconstruction error under the axial compression condition. (a) Axial compression condition—Bland–Altman plot for strain in direction ε 11 ; (b) schematic diagram of the axial compression condition— ε 11 direction error.
Jmse 13 00350 g006
Figure 7. Axial compression condition—the measured and reconstructed strain field in the ε 11 direction. (a) Axial compression condition—the measured strain field in direction ε 11 ; (b) schematic diagram of the axial compression condition— ε 11 direction error.
Figure 7. Axial compression condition—the measured and reconstructed strain field in the ε 11 direction. (a) Axial compression condition—the measured strain field in direction ε 11 ; (b) schematic diagram of the axial compression condition— ε 11 direction error.
Jmse 13 00350 g007
Figure 8. Schematic diagram of loading under non-uniform loading conditions.
Figure 8. Schematic diagram of loading under non-uniform loading conditions.
Jmse 13 00350 g008
Figure 9. Analysis of the reconstruction error under non-uniform loading conditions. (a) Non-uniform loading conditions—Bland-Altman plot for strain in direction ε 11 ; (b) schematic diagram of non-uniform loading conditions— ε 11 direction error.
Figure 9. Analysis of the reconstruction error under non-uniform loading conditions. (a) Non-uniform loading conditions—Bland-Altman plot for strain in direction ε 11 ; (b) schematic diagram of non-uniform loading conditions— ε 11 direction error.
Jmse 13 00350 g009
Figure 10. Non-uniform loading conditions—measured and reconstructed strain field in the ε 11 direction. (a) Non-uniform loading conditions—measured strain field in direction ε 11 ; (b) non-uniform loading conditions—reconstructed strain field in direction ε 11 .
Figure 10. Non-uniform loading conditions—measured and reconstructed strain field in the ε 11 direction. (a) Non-uniform loading conditions—measured strain field in direction ε 11 ; (b) non-uniform loading conditions—reconstructed strain field in direction ε 11 .
Jmse 13 00350 g010
Figure 11. Schematic diagram of loading under the torsion condition.
Figure 11. Schematic diagram of loading under the torsion condition.
Jmse 13 00350 g011
Figure 12. Analysis of the reconstruction error under the torsion condition. (a) Torsion condition—Bland–Altman plot for strain in direction ε 11 ; (b) schematic diagram of torsion condition— ε 11 direction error.
Figure 12. Analysis of the reconstruction error under the torsion condition. (a) Torsion condition—Bland–Altman plot for strain in direction ε 11 ; (b) schematic diagram of torsion condition— ε 11 direction error.
Jmse 13 00350 g012
Figure 13. Torsion condition—measured and reconstructed strain field in the ε 11 direction. (a) Torsion condition—measured strain field in direction ε 11 ; (b) torsion condition—reconstructed strain field in direction ε 11 .
Figure 13. Torsion condition—measured and reconstructed strain field in the ε 11 direction. (a) Torsion condition—measured strain field in direction ε 11 ; (b) torsion condition—reconstructed strain field in direction ε 11 .
Jmse 13 00350 g013
Figure 14. Schematic diagram of loading for the combined axial compression and non-uniform load condition.
Figure 14. Schematic diagram of loading for the combined axial compression and non-uniform load condition.
Jmse 13 00350 g014
Figure 15. Analysis of the reconstruction error under the axial compression condition. (a) Coupling condition of axial compression and non-uniform load—Bland-Altman plot for strain in direction ε 11 ; (b) schematic diagram of the coupling condition of axial compression and non-uniform load— ε 11 direction error.
Figure 15. Analysis of the reconstruction error under the axial compression condition. (a) Coupling condition of axial compression and non-uniform load—Bland-Altman plot for strain in direction ε 11 ; (b) schematic diagram of the coupling condition of axial compression and non-uniform load— ε 11 direction error.
Jmse 13 00350 g015
Figure 16. Coupling condition of axial compression and non-uniform load—measured and reconstructed strain field in the ε 11 direction. (a) Coupling condition of axial compression and non-uniform load—measured strain field in direction ε 11 ; (b) coupling condition of axial compression and non-uniform load—reconstructed strain field in direction ε 11 .
Figure 16. Coupling condition of axial compression and non-uniform load—measured and reconstructed strain field in the ε 11 direction. (a) Coupling condition of axial compression and non-uniform load—measured strain field in direction ε 11 ; (b) coupling condition of axial compression and non-uniform load—reconstructed strain field in direction ε 11 .
Jmse 13 00350 g016
Figure 17. Schematic diagram of loading for the combined axial compression and symmetrical uniform load condition.
Figure 17. Schematic diagram of loading for the combined axial compression and symmetrical uniform load condition.
Jmse 13 00350 g017
Figure 18. Analysis of the reconstruction error under the axial compression condition. (a) Coupling condition of axial compression and symmetrical uniform distribution—Bland–Altman plot for strain in direction ε 11 ; (b) schematic diagram of coupling condition of axial compression and symmetrical uniform distribution— ε 11 direction error.
Figure 18. Analysis of the reconstruction error under the axial compression condition. (a) Coupling condition of axial compression and symmetrical uniform distribution—Bland–Altman plot for strain in direction ε 11 ; (b) schematic diagram of coupling condition of axial compression and symmetrical uniform distribution— ε 11 direction error.
Jmse 13 00350 g018
Figure 19. Coupling condition of axial compression and symmetrical uniform distribution—measured and reconstructed strain field in the ε 11 direction. (a) Coupling condition of axial compression and symmetrical uniform distribution—measured strain field in direction ε 11 ; (b) coupling condition of axial compression and symmetrical uniform distribution—reconstructed strain field in direction ε 11 .
Figure 19. Coupling condition of axial compression and symmetrical uniform distribution—measured and reconstructed strain field in the ε 11 direction. (a) Coupling condition of axial compression and symmetrical uniform distribution—measured strain field in direction ε 11 ; (b) coupling condition of axial compression and symmetrical uniform distribution—reconstructed strain field in direction ε 11 .
Jmse 13 00350 g019
Figure 20. Map of measurement points with larger reconstruction errors.
Figure 20. Map of measurement points with larger reconstruction errors.
Jmse 13 00350 g020
Figure 21. Extended stiffened plate model.
Figure 21. Extended stiffened plate model.
Jmse 13 00350 g021
Figure 22. Schematic diagram of the extended stiffened plate under the non-uniform load condition.
Figure 22. Schematic diagram of the extended stiffened plate under the non-uniform load condition.
Jmse 13 00350 g022
Figure 23. Error comparison between the normal stiffened plate and lengthened stiffened plate under the non-uniform load condition.
Figure 23. Error comparison between the normal stiffened plate and lengthened stiffened plate under the non-uniform load condition.
Jmse 13 00350 g023
Figure 24. Non-uniform load—axial measurement and reconstruction strain field of the lengthened stiffened plate. (a) Non-uniform load—axial reconstruction strain field of the lengthened stiffened plate; (b) non-uniform load—axial measurement strain field of the lengthened stiffened plate.
Figure 24. Non-uniform load—axial measurement and reconstruction strain field of the lengthened stiffened plate. (a) Non-uniform load—axial reconstruction strain field of the lengthened stiffened plate; (b) non-uniform load—axial measurement strain field of the lengthened stiffened plate.
Jmse 13 00350 g024
Figure 25. Schematic diagram of loading under the coupling condition of axial compression and non-uniform load of the lengthened stiffened plate.
Figure 25. Schematic diagram of loading under the coupling condition of axial compression and non-uniform load of the lengthened stiffened plate.
Jmse 13 00350 g025
Figure 26. Error comparison between the normal stiffened plate and extended stiffened plate under the coupling condition of axial compression and non-uniform load.
Figure 26. Error comparison between the normal stiffened plate and extended stiffened plate under the coupling condition of axial compression and non-uniform load.
Jmse 13 00350 g026
Figure 27. Coupling condition of axial compression and non-uniform load—axial measurement and reconstruction strain field of the lengthened stiffened plate. (a) Coupling condition of axial compression and non-uniform load—axial reconstruction strain field of the lengthened stiffened plate; (b) coupling condition of axial compression and non-uniform load—axial measurement strain field of the lengthened stiffened plate.
Figure 27. Coupling condition of axial compression and non-uniform load—axial measurement and reconstruction strain field of the lengthened stiffened plate. (a) Coupling condition of axial compression and non-uniform load—axial reconstruction strain field of the lengthened stiffened plate; (b) coupling condition of axial compression and non-uniform load—axial measurement strain field of the lengthened stiffened plate.
Jmse 13 00350 g027
Figure 28. Stiffened plate test model.
Figure 28. Stiffened plate test model.
Jmse 13 00350 g028
Figure 29. Measurement point placement scheme.
Figure 29. Measurement point placement scheme.
Jmse 13 00350 g029
Table 1. Stiffened plate model size.
Table 1. Stiffened plate model size.
Component PartSize (mm)Elastic Modulus
(GPa)
Poisson’s Ratio
Deck surface2200 × 1980 × 52050.3
Longitudinal bone90 × 42050.3
Crossbeam T 100 × 6 150 × 8 2050.3
Table 2. Comparison table of the dimensions of a normal stiffened plate and extended stiffened plate.
Table 2. Comparison table of the dimensions of a normal stiffened plate and extended stiffened plate.
Component PartNormal Stiffened Plate Size (mm)Lengthened Stiffened Plate Size (mm)
Deck surface2200 × 1980 × 52200 × 7920 × 5
Longitudinal bone90 × 490 × 4
Crossbeam T 100 × 6 150 × 8 T 100 × 6 150 × 8
Table 3. Test model parameters.
Table 3. Test model parameters.
Component PartSize (mm)
Deck surface2200 × 1980 × 5
Longitudinal bone90 × 4
Crossbeam T 100 × 6 150 × 8
Thickness of the constrained end/loaded end plate15
Table 4. Reconstruction results of validation points under different loads (µε).
Table 4. Reconstruction results of validation points under different loads (µε).
NumberY-1Y-2Y-3Y-4Y-5Y-6Y-7Y-8Y-9Y-10AEME
20 kNMV53.043.237.254.320.695.114.486.766.9122.39.3%17.4%
(Y-7)
RV49.646.543.160.524.190.016.981.765.1117.6
40 kNMV95.592.088.9114.142.1166.730.0176.6131.9245.86.2%14.7%
(Y-5)
RV99.393.086.2121.048.3180.033.8163.5130.3235.2
60 kNMV153.4132.8131.5177.164.7262.453.5263.9201.5373.94.8%11.9%
(Y-5)
RV148.9139.6129.3181.672.4270.050.7245.2195.4352.9
80 kNMV201.8178.7175.5242.187.2348.265.2362.0267.4497.04.6%10.7%
(Y-5)
RV198.6186.1172.5234.296.6360.067.6327.0260.6470.5
Disclaimer/Publisher’s Note: The statements, opinions and data contained in all publications are solely those of the individual author(s) and contributor(s) and not of MDPI and/or the editor(s). MDPI and/or the editor(s) disclaim responsibility for any injury to people or property resulting from any ideas, methods, instructions or products referred to in the content.

Share and Cite

MDPI and ACS Style

Chen, G.; Wang, X.; Zhu, Q.; Yang, H.; Jiang, Z.; Xu, H.; Sun, M.; Chen, W.; Chen, H.; Zhang, T.; et al. Reconstruction of Multi-Load Strain Field of Ship Stiffened Plate Based on iFEM and Analysis of Influencing Factors of Reconstruction Accuracy. J. Mar. Sci. Eng. 2025, 13, 350. https://doi.org/10.3390/jmse13020350

AMA Style

Chen G, Wang X, Zhu Q, Yang H, Jiang Z, Xu H, Sun M, Chen W, Chen H, Zhang T, et al. Reconstruction of Multi-Load Strain Field of Ship Stiffened Plate Based on iFEM and Analysis of Influencing Factors of Reconstruction Accuracy. Journal of Marine Science and Engineering. 2025; 13(2):350. https://doi.org/10.3390/jmse13020350

Chicago/Turabian Style

Chen, Guocai, Xueliang Wang, Quanhua Zhu, Huawei Yang, Zhentao Jiang, Hao Xu, Mengdan Sun, Wei Chen, Haozheng Chen, Tao Zhang, and et al. 2025. "Reconstruction of Multi-Load Strain Field of Ship Stiffened Plate Based on iFEM and Analysis of Influencing Factors of Reconstruction Accuracy" Journal of Marine Science and Engineering 13, no. 2: 350. https://doi.org/10.3390/jmse13020350

APA Style

Chen, G., Wang, X., Zhu, Q., Yang, H., Jiang, Z., Xu, H., Sun, M., Chen, W., Chen, H., Zhang, T., & Zhang, Z. (2025). Reconstruction of Multi-Load Strain Field of Ship Stiffened Plate Based on iFEM and Analysis of Influencing Factors of Reconstruction Accuracy. Journal of Marine Science and Engineering, 13(2), 350. https://doi.org/10.3390/jmse13020350

Note that from the first issue of 2016, this journal uses article numbers instead of page numbers. See further details here.

Article Metrics

Back to TopTop