You are currently viewing a new version of our website. To view the old version click .
Journal of Marine Science and Engineering
  • Article
  • Open Access

14 February 2025

The Influence of the East Australian Current on the Regional Distribution of Humpback Whales (Megaptera novaeangliae)

and
1
School of Environment and Science, Griffith University, Gold Coast, QLD 4222, Australia
2
Centre for Coastal and Marine Research, Griffith University, Gold Coast, QLD 4222, Australia
3
Humpbacks & High-Rises Inc., Gold Coast, QLD 4222, Australia
4
Whales and Climate Research Program, Griffith University, Gold Coast, QLD 4222, Australia
This article belongs to the Section Marine Ecology

Abstract

Humpback whales (Megaptera novaeangliae) migrate annually along the east coast of Australia, utilizing various habitats, including open embayments such as the Gold Coast bay (GCB) in southeast Queensland, for resting and social behaviors. While their migration is well-documented, the influence of oceanographic factors such as the East Australian Current (EAC)—a warm ocean current near the GCB—on humpback whale counts nearshore is not well understood. This study aims to assess the regional distribution of humpback whales in the GCB over consecutive years and investigate how dynamic environmental factors, such as the proximity of the EAC’s inner edge to shore and sea surface temperature (SST), affect the distribution and migration patterns of humpback whales. We employed citizen science data to obtain humpback whale sightings and applied generalized additive models (GAM) to evaluate the effects of environmental variables on humpback whale counts. Results suggested that shifts in EAC proximity and SST significantly influence humpback whale presence in the GCB, indicating that oceanographic features may guide migratory pathways and aggregation patterns. These findings improve our understanding of how climatic factors affect coastal humpback whale distributions, providing insights relevant to management and abundance estimates.

1. Introduction

Humpback whales (Megaptera novaeangliae BOROWSKI, 1781) undertake one of the longest migrations among mammals from polar feeding to tropical breeding grounds each year [1,2]. Giving birth in warm, tropical waters is thought to reduce the energetic costs associated with thermoregulation, thereby promoting faster growth rates for calves [3] and also providing calves with protection from harsh environmental conditions [4] and potential predators [5]. The east coast of Australia’s humpback whale population (breeding stock E1) migrates annually between low-latitude breeding areas in the Great Barrier Reef and high-latitude feeding grounds in Antarctic waters [6,7]. During this migration, humpback whales utilize a variety of habitats, each offering favorable environmental conditions suited for breeding, feeding, migrating, or resting.
As part of their coastal migration, humpback whales often travel close to shore [8]. Aerial surveys along the east coast of Australia have shown that 96% of migrating humpback whales pass within 10 km of the coast [9]. This proximity to shore is particularly important for mother-calf pairs, which prefer shallow, calm waters for resting [10]. Migration timing and behavior in humpback whales can shift in response to various oceanographic and environmental conditions [11,12,13]. Large-scale factors, such as the Southern Oscillation Index (SOI) [14] and the Southern Annual Mode (SAM) [15], have been linked to changes in migration timing, e.g., humpback whales spend more time in foraging areas following El Niño years that are affecting the availability of prey in Antarctic feeding grounds and, consequently, changing migration schedules [14,16]. Similarly, fluctuations in ice cover at high-latitude feeding grounds can alter the timing of resource availability, impacting the humpback whales’ readiness to migrate and their energy reserves for their journey [17]. These large-scale influences highlight the interconnectedness of global climate patterns and migration dynamics.
At smaller scales, localized environmental conditions such as wind speed and sea surface temperature (SST) can influence specific surface behaviors during migration [18]. For example, increasing wind speeds have been associated with changes in surface activity [18]. Kavanagh et al. [18] found that wind speed significantly affected the movement and diving behaviors of humpback whales, with slower travel speeds and longer dive durations observed under increasing wind conditions [18]. These findings suggest that wind can influence humpback whales’ energy expenditure during migration. Similarly, water depth was found to influence diving behavior, with humpback whales diving for longer durations in deeper waters, indicating that environmental conditions can dictate humpback whales’ use of certain areas [18]. Additionally, lower SST in comparison to adjacent warmer waters was found to be preferred for resting behavior during migration [19,20]. There is a complex interplay between immediate environmental conditions and larger-scale climate drivers in shaping humpback whale behavior and their habitat use.
Given the influence of environmental conditions like wind speed and sea surface temperature on humpback whale migration, it is likely that the warm water current on the east coast of Australia (East Australian Current, EAC) influences humpback whale behavior and distribution [21]. The EAC is the western boundary current of the Southern Hemisphere’s western Pacific Ocean. While the core of the EAC generally follows the continental slope, its inner and outer edges often shift and meander [22]. The proximity of the EAC to the coast has been linked to entanglements in fishing gear. For instance, studies on humpback whale entanglements in fixed shark nets have shown that entanglements increase when the EAC’s western edge is closer to shore [23,24,25]. This increase in entanglements is likely associated with higher humpback whale abundance in nearshore waters, where cooler waters and strong temperature gradients created by the EAC may act as navigational aids [19]. Understanding how the EAC influences humpback whale distribution helps explain their preferences for certain coastal areas, which is crucial for assessing migration and potential risks such as entanglements.
The Gold Coast bay (GCB), located in southeast Queensland, has been recognized as an important habitat for humpback whales during their annual migration along the east coast of Australia [26,27,28]. The bay serves as a resting and social area, which includes mother-calf pairs, mature males, and immature whales engaging in diverse behaviors. Citizen science initiatives that collected data from whale-watching vessels have provided valuable insights into the habitat use and behavior of humpback whales in this region previously. Meynecke et al. [26] observed that the GCB supports a variety of humpback whale activities, including resting and feeding, with peaks in mother-calf pair sightings during September and October. Similarly, Valani et al. [27] reported that approximately a quarter of all sighted whales in the GCB were mother-calf pairs, which were observed closer to shore compared to other pods. Dive times in the bay were also shorter than those in migratory corridors, further highlighting the area’s role as a resting site. McCulloch et al. [28] confirmed that the GCB provides habitat for a wide range of critical activities, such as resting for mother-calf pairs, socializing for immature whales, and seeking copulation for mature males, establishing its significance alongside other key aggregation sites like Hervey Bay [29]. Despite these findings, the absolute numbers of humpback whales entering GCB remain unknown, and how their distribution is linked to environmental factors leaves a critical gap in understanding the region’s overall contribution to the recovery and conservation of this population. Citizen science has already contributed to studies examining humpback whale surface behaviors [28], distributions [10], abundance [30,31], and population dynamics [32] and may be applied to study the species distribution.
While previous estimates indicated an annual increase in humpback whale numbers of about 11% along the east coast of Australia [30,33,34,35], little is known about how dynamic environmental factors such as currents influence their regional distribution and interannual fluctuations. Our study aims to investigate the regional distribution of humpback whales in the GCB over consecutive years and investigate how dynamic environmental factors, such as the proximity of the EAC’s inner edge to shore and sea surface temperature (SST), affect the distribution and migration patterns of humpback whales.

2. Materials and Methods

2.1. Study Area

The Gold Coast bay (GCB) is a shallow, sickle-shaped, open embayment located on the east coast of Australia stretching 80 km between Point Lookout, North Stradbroke Island (27°25′47″ S, 153°32′24″ E), and Tweed Heads (28°10′33.5820″ S, 153°32′30.0192″ E) (Figure 1). Land-based counts were conducted from Tumgun Lookout (ca. 65 m above sea level) at Burleigh Hill (28°05′31.138″ S, 153°27′33.324″ E) and encompassed around 800 km2 or about 30% of the area. The area is easily accessible for migrating humpback whales and other marine species and provides some shelter with calm waters from the dominant southeast trade winds.
Figure 1. East Australian Current (EAC) location in the study area Gold Coast, Australia. Dashed lines indicate the most easterly (92.96 km from shore) and most westerly (14.35 km from shore) positions of the inner edge of the EAC during the observation period. The solid, black line outlines the study area of land-based observations.

2.2. Land-Based Observations

Three to four trained volunteers from Humpbacks and High-Rises (HHR), a citizen science organization on the Gold Coast, counted the number of humpback whales passing the lookout and entering the area from Tumgun Lookout (65 m above sea level) (28°05′31.138′ S, 153°27′33.324′ E) during the humpback whale season (June to November) between 2020 and 2023. During their annual migration, humpback whales travel north from their feeding grounds in Antarctica to their breeding grounds in the Great Barrier Reef, following the east coast of Australia. As part of this journey, they pass the Gold Coast between June and September each year. Our study focused on the northward migration, as humpback whales exhibit different migration behaviors between their northward and southward journeys, with mothers and calves tending to stay in shallower waters [36]. The surveys were conducted daily between 10:00 am and 12:00 pm, except on days with poor visibility. Visibility conditions were classified using a standardized system, including cloud cover (0–8), rain (yes/no), the Beaufort scale for sea state, glare (0–2), and a visibility scale (0–4). This classification ensures consistency in data collection and allows for comparison across years. At least one of the volunteers was trained and experienced as a team leader. The volunteers scanned their allocated section with binoculars (8 × 42) at all times. For the final humpback whale counts for the northward migration, we followed Paterson’s [35] and Noad’s [34] approach by using the stratified random sampling approach by Cochran (1977) [37]. The transition between northward and southward migration was defined by the travel direction of the humpback whales. The start of the southern migration was determined by comparing the weekly humpback whale counts, with the shift occurring when more humpback whales migrated southwards than northwards. The two-hour counts of the northward migration were multiplied by 5 to obtain a 10 h period, representing the approximate number of daylight hours during which humpback whale movement would be visible. Each 10 h period was considered as one sample unit to reduce variability. For each year, the sample period was split into strata h with ca. the same number of survey days n to account for the different distribution of humpback whales and the daily fluctuations during the season. We treated a 10 h observation period as a sampling unit, meaning that the total 89-day period consists of approximately 213.60 equivalent 10 h units in 2023. For 2023, there were 213.60 equivalent 10 h units N over 89 survey days. For 2022, there were 172.8 equivalent 10 h units over 72 survey days. For 2021, there were 158.4 equivalent 10 h units over 66 survey days. For 2020, there were 163.2 equivalent 10 h units over 68 survey days. The survey days were divided into strata with approximately an equal number of days (n). For 2023, there were six strata ((1) 14 days; (2)–(6) 15 days). For 2022, there were three strata ((1) 23 days; (2) 24 days; (3) 26 days). For 2021, there were five strata ((1)–(4) 13 days; (5) 15 days). For 2020, there were five strata ((1)–(4) 14 days; (5) 13 days). Annual humpback whale counts and variances were calculated utilizing the theory of random sampling [37] as follows:
N y ¯ s t   ±   t N s y ¯ s t .
N is the number of equivalent ten-hour units in the period of the total survey days per season and y ¯ s t   the weighted sample mean. The 95% CI was calculated using Student’s t for the effective number of degrees of freedom according to Cochran’s equation ( t ), N , and the estimate of the variance of y ¯ s t   ( s y ¯ s t ). According to Cochran [37], the weighted mean is defined as follows:
y ¯ s t = h = 1 L N h y ¯ h / N ,
where y ¯ h is the sample mean, N h the total number of units per stratum h , and L is the total number of strata. Also, Cochran’s equation of the variance y ¯ s t is
s 2 y ¯ s t = h = 1 L N h N h n h s h 2 / ( N 2 n h ) ,
where s 2 y ¯ s t is the variance of y ¯ s t , n h is the number of sample units in stratum h , and s h 2 is the sample variance in stratum h . L refers to the total number of strata.

2.3. East Australian Current

To determine the distance of the EAC to the coast in Gold Coast bay, we followed the approach by Bolin et al. (2020) [24] using the updated version of the BLUElink Ocean Reanalysis model (BRAN2020). BRAN2020 provides a 3D record of the global ocean and is a dataset that includes temperature [°C], meridional velocity (VCUR), and current speed [m/s]. This approach involves selecting specific latitudes of the study area (27° S and 28.5° S) and performing a principal component analysis (PCA) on the longitudinal gradients of sea surface temperature (SST), southward velocity, and current velocity to identify the inner edge of the East Australian Current. Therefore, we mapped the latitudinal gradients of daily variables, including temperature, VCUR, and current speed, at a resolution of 10 km by calculating the difference between each focal cell and the cell immediately to the east of it for all cells in the grid. To eliminate interfering (sub-) mesoscale processes such as eddies, which are not the focus of this study, a 30 km moving average was applied to each daily gradient map. VCUR was reversed by multiplying it by −1, making the southerly flow positive, to make sure that the gradients for all variables increased at the inner edge of the EAC. A principal component analysis (PCA) was performed to capture the patterns in all these variables at once. Before the analysis, the variables were scaled to cover the same range of values. The first principal component (PC1) was extracted from the daily PCAs to visualize the multivariate patterns of the EAC oceanography. The inner edge of the EAC is defined by strong on-offshore gradients in temperature, VCUR, and velocity. Hence, the maximum value of PC1 at each latitude was used, which represents the highest rate of on-offshore change in the combined variables, as a proxy for the location of the inner edge of the EAC at that latitude. Since it is assumed that the inner edge of the EAC generally follows the continental shelf, the search for the maximum value of PC1 was limited to the area between 153.45° E and 154.25° E. This range excludes potential disturbances from estuaries and inlets on the nearshore side as well as from offshore oceanic waters. Within this longitude range, the maximum value of PC1 at the latitude of Burleigh Heads 28.0763° S was determined, allowing an estimate of the location of the inner edge of the EAC. This point was then used to calculate the distance between the inner edge of the EAC and Burleigh Heads. The statistical software R (v4.3.1 [38]) was used for spatial extractions and manipulation with the package raster [39].

2.4. Other Environmental Data

To investigate the impact of dynamic environmental factors on daily humpback whale counts, cloud cover, swell, and wind speed were recorded at the beginning of each survey, but changing conditions throughout the survey were not documented. Moreover, daily mean salinity and sea surface temperature values were retrieved from the 1 km hydro model from eReefs data from the Australian Institute of Marine Science (AIMS) server using the Palm Beach waverider buoy coordinates (28°05.956′ S, 153°29.073′ E) (https://www.ereefs.org.au/). The software R (v4.3.1; [38]) was used for data handling and manipulation with the package tidyverse [40].

2.5. Statistical Analysis

Generalized additive models (GAM) were used to assess the relationship between the daily presence/absence of humpback whale data and the distance of the inner edge of the EAC to shore, as well as the influence of other dynamic environmental factors. For the inner edge of the EAC, all models included the sum of daily humpback whale counts divided by the daily effort (observation time) as the response variable. The distance to the inner edge of the EAC was used as a predictor variable. For the other dynamic environmental factors, daily humpback whale counts per effort were used as the response variable, and the combination of cloud cover, salinity, sea surface temperature, swell, and wind speed as predictor variables. Due to the overdispersed count data, the models were parameterized with a negative binomial error distribution. The models were fitted with a logarithmic link function and REML method (restricted maximum likelihood). The structure of the final EAC model was as follows:
  S u m   o f   d a i l y   w h a l e   c o u n t s   p e r   e f f o r t   ~   s   ( d i s t a n c e   t o   t h e   i n n e r   e d g e   o f   t h e   E A C , k = 6 ) ,
where s (distance to the inner edge of the EAC) represents the distance to the shore of the inner edge of the EAC (km). The best-fitted model for the other dynamic environmental factors was as follows:
D a i l y   w h a l e   c o u n t s   p e r   e f f o r t   ~   s   ( s e a   s u r f a c e   t e m p e r a t u r e , k = 3 ) + s ( c l o u d   c o v e r , k = 4 ) ,
where s (sea surface temperature) represents the sea surface temperature in °C and s (cloud cover) the cloud cover on a scale from zero to eight.
The non-included factors (salinity, swell, and wind speed) were tested but did not appear to significantly affect humpback whale counts in this context. Therefore, these variables were not retained in the final model. The final models were smoothed by penalized thin plate regression splines. The number of knots in each smooth term is represented by k, which defines the number of basic functions used to create a smooth function. The GAM function of the R package mgcv was used for model fitting and predictions [41]. Visualization was achieved with the packages gratia and ggplot2 [42,43]. To evaluate model fits, a simulation method from the DHARMa package was used [44]. Tests for uniformity ((i.) p = 0.14; (ii.) p = 0.665), dispersion ((i.) p = 0.104; (ii.) p = 0.656), and outliers ((i.) p = 1; (ii.) p = 1) of the final models were not significant, which indicates that the models performed well. To investigate the effects of the location of the inner edge of the EAC on our humpback whale counts, we plotted the number of humpback whales sighted on days when the EAC was at its minimum distance from the coast and the humpback whale counts for each year of observation (2020–2023). To determine the number of humpback whales and sea surface temperature in the study area, the daily mean humpback whale count adjusted by survey effort (time) and sea surface temperature was plotted over the three months (June-August) of the northward migration during the observation period (2020–2023).

3. Results

3.1. Stratified Random Sampling

In 2023, 196 pods with a total of 499 humpback whales passed the observation point at Burleigh Hill. The mean group size was 2.55 ± 1.33. In 2022, 109 pods were counted, comprising a total of 262 individuals, with a mean pod size of 2.40 ± 1.40. In 2021, 164 pods were observed, including 300 individuals and a mean pod size of 1.83 ± 1.11. During the 2020 humpback whale season, 278 pods totaling 563 humpback whales were recorded with a mean pod size of 2.03 ± 1.15. Based on the stratified random sampling theory, the total number of humpback whales passing Tumgun Lookout during the northward migration was 13,660 (95% CI 12,315–15,004) in 2023, 10,110 (95% CI 10,972–9248) in 2022, 10,350 (95% CI 8993–11,707) in 2021, and 8160 (95% CI 6788–9531) in 2020 (Figure 2).
Figure 2. Annual humpback whale counts in Gold Coast bay between 2020 and 2023 using stratified random sampling. Error bars represent the 95% confidence interval.

3.2. Sea Surface Temperature

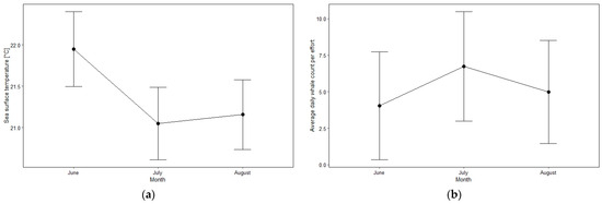
During the observation period (2020–2023), the mean sea surface temperature in June was 21.95 ± 0.45 °C, which is slightly higher than in the following months of July (21.05 ± 0.44 °C) and August (21.16 ± 0.42 °C) (Figure 3). The average daily humpback whale count per effort was 4.04 ± 3.70 in June, 6.74 ± 3.75 in July, and 4.98 ± 3.54 in August (Figure 3).
Figure 3. (a) Monthly average sea surface temperature [°C] in the Gold Coast bay, Australia, from June to August during the observation period (2020–2023). (b) Average daily humpback whale counts per effort in the Gold Coast bay, Australia, from June to August during the observation period (2020–2023). Error bars represent the standard deviation.
The GAM suggested a nonlinear relationship between sea surface temperature and daily humpback whale counts (edf = 1.961, χ2 = 46.62, p < 0.001, Figure 4).
Figure 4. Predicted daily humpback whale counts based on sea surface temperature [°C]. The black line shows the mean prediction. The gray ribbon indicates the 95% confidence interval.

3.3. Relationship Between Whale Counts and East Australian Current

The mean distance of the inner edge of the EAC during the observation period was 28.83 ± 22.42 km in 2020, 21.95 ± 12.53 km in 2021, 26.53 ± 22.10 km in 2022, and 25.49 ± 21.35 km in 2023 (mean ± SD). The most easterly position of the EAC was recorded at 92.96 km from shore, while the most westerly position was 14.35 km from shore during the study period. The GAM showed strong evidence that the distance of the inner edge of the EAC from the coast affects the number of humpback whales sighted from Tumgun Lookout on the Gold Coast during the northward migration (edf = 2.914, χ2  = 44.67, p < 0.001, Figure A1). The number of humpback whales sighted increases when they are close to the inner edge of the EAC, but as the distance from the edge grows, sightings decrease and eventually become less frequent.
The predicted number of humpback whales was higher when the inner edge of the EAC was closer to the coast, meaning humpback whale sightings decreased as the distance from the EAC edge to the coast increased (Figure 5).
Figure 5. Predicted humpback whale counts based on the distance of the inner edge of the EAC [km]. The black line shows the mean prediction. The gray ribbon indicates the 95% confidence interval.
The relationship between the number of humpback whales sighted on days when the EAC was at its minimum distance from the coast and the estimated humpback whale counts showed a positive trend. In 2020, 78 humpback whales were sighted, with an estimated number of 8160 individuals (95% CI 6788–9531). In 2021, 121 humpback whales were sighted, and the estimated number of humpback whales increased to 10,350 (95% CI 8993–11,707). The following year, 93 humpback whales were sighted, resulting in an annual count of 10,110 (95% CI 9248–10,972). In 2023, 170 humpback whales were sighted, with the highest number of humpback whales estimated at 13,660 (95% CI 12,315–15,004) (Figure A2).

4. Discussion

Our results demonstrate that the location of the inner edge of the East Australian Current (EAC) influences the number of humpback whales observed from shore during the observation period of this study: the closer the inner edge of the EAC, the higher the number of humpback whales spotted from shore. Our findings support the hypothesis that the distribution of humpback whales is influenced by an inshore encroachment of the EAC edge, driving them into shallow waters and closer to shore [45]. This is similar to the EAC influencing the entanglement rates of humpback whales [23,24,25], with the probability of entanglement likely increasing with a higher number of humpback whales occurring nearshore.
The results of our study are also consistent with findings by Reinke et al. [19], who reported that humpback whales prefer areas with distinct temperature gradients, which are often associated with the EAC in the GCB [46]. Their study also highlighted the role of the EAC as a potential navigational aid, and our findings further support this hypothesis, showing that humpback whales tend to congregate in regions where the EAC creates these distinct environmental boundaries. Bolin et al.’s [24] study on the migratory patterns of humpback whales on the east coast of Australia also suggested that humpback whales exhibit specific habitat preferences based on environmental cues. However, unlike our findings, Bolin et al. [24] did not investigate temperature gradient as a factor. The differences between the findings of Bolin et al. [24] and the results presented in our study may be attributed to variations in study methodology, location, and temporal scale. While Bolin et al. [24] focused on entanglement data from shark-control nets, which may not be a reliable representation of nearshore humpback whale abundance due to their variability and reliance on incidental captures, our study utilized direct shore-based observations, offering a higher level of consistency and a larger number of observation points to document humpback whale presence. Additionally, Bolin et al. [24] found that the maximum environmental gradient at the EAC edge, the distance from the EAC inner edge to the shark-control net, and variance explained by PC1 were significant predictors of humpback whale entanglements. However, their study did not report a significant relationship between sea surface temperature (SST) and humpback whale entanglements, which contrasts with our findings, where SST was significantly associated with humpback whale counts.
Recent studies on fishing gear entanglements have also examined the impact of the EAC on humpback whale distribution [25]. Findings indicate that the proximity of the EAC to shore may increase the risk of humpback whale entanglements in fishing gear, particularly in areas where humpback whales are more likely to congregate in shallow, nearshore waters [25]. Our findings contribute to this understanding by suggesting that areas with a strong EAC influence may be of particular concern for entanglements, as these are also areas where humpback whale counts are higher. Additionally, the annual variation in the EAC’s position and strength is likely to influence the risk of entanglements, emphasizing the need for dynamic management strategies that account for these fluctuations. In addition to influencing migration and distribution, cooler waters associated with upwelling events may serve as feeding hotspots for humpback whales. Such a feeding hotspot is found in southeast New South Wales, Australia [47], where the cooler, nutrient-rich waters influenced by the East Australian Current (EAC) tend to be more productive than the surrounding warmer, nutrient-poor waters. This enhanced productivity provides an additional incentive for humpback whales to aggregate in these regions [19].
While SST and the EAC’s position emerge as critical factors due to their direct relevance to humpback whale habitat preferences and migration behavior, other variables, such as visibility and wave height, might play more nuanced roles in influencing detection probabilities. We tested for the effects of multiple environmental variables (e.g., wind speed, visibility) by including them in the GAM; many of these factors showed no significant impact on humpback whale counts. This might be due to the limitations of the data resolution or the complexity of humpback whale behavior, which may not always correlate directly with these environmental variables. Future studies could benefit from higher-resolution data, such as conducting longer daily surveys (e.g., 8 h observation periods), incorporating acoustic data, and aerial surveys to capture finer temporal variability in humpback whale distribution. The extrapolation in our study likely limited the variability linked to environmental factors.
It is important to note that humpback whales do not migrate in equal numbers each year [48]. Migration counts can vary due to factors such as breeding success, environmental conditions in the feeding areas, and differences in migration behavior between age classes and sexes. For instance, Brown et al. [48] reported a male-to-female ratio of 2.4:1 during migration, hypothesizing that this imbalance could be attributed to the non-migration of immature females. If this is the case, the use of habitats such as GCB may vary across seasons, with differing proportions of males, females, and immature individuals. The size of migrating groups therefore also varies over time for the abovementioned reasons and can influence fluctuations in the counts observed in this study.
We suggest that the inclusion of environmental factors such as SST and the EAC’s proximity into population models can improve the accuracy of humpback whale count estimates and enhance understanding of the temporal and spatial dynamics of humpback whale populations. This is particularly relevant in areas where large-scale aerial or boat-based surveys are challenging, as refined models can help account for variability and provide more reliable population estimates.

5. Conclusions

This study demonstrates that the proximity of the Eastern Australian Current (EAC) to the coast plays a significant role in influencing humpback whale counts in Gold Coast bay (GCB). These findings underscore the importance of incorporating annual environmental variations, such as EAC position and sea surface temperature (SST), into humpback whale survey designs. Future research should prioritize the integration of high-resolution environmental datasets, including additional variables such as prey availability and acoustic monitoring, to better elucidate the drivers of humpback whale distribution.
Moreover, the observed link between humpback whale counts and EAC proximity highlights the need for adaptive survey methodologies that account for interannual variability in environmental conditions. This approach can enhance the accuracy of population estimates and inform targeted conservation strategies, such as mitigating entanglement risks in regions influenced by the EAC. Overall, these results provide critical insights to support dynamic management strategies and strengthen conservation efforts for humpback whales in GCB and other coastal regions.

Author Contributions

Conceptualization, P.W. and J.-O.M.; methodology, P.W. and J.-O.M.; validation, P.W. and J.-O.M.; formal analysis, P.W.; investigation, P.W.; resources, J.-O.M.; data curation, P.W. and J.-O.M.; writing—original draft preparation, P.W.; writing—review and editing, P.W. and J.-O.M.; visualization, P.W.; supervision, J.-O.M.; project administration, J.-O.M.; funding acquisition, P.W. and J.-O.M. All authors have read and agreed to the published version of the manuscript.

Funding

This work was supported by a grant to Griffith University from a private charitable trust as part of the Whales and Climate Research Program (www.whalesandclimate.org, accessed on 15 May 2024). This work was supported by a fellowship of the German Academic Exchange Service (DAAD).

Institutional Review Board Statement

Not applicable.

Data Availability Statement

Data are available on request.

Acknowledgments

The authors would like to thank Humpbacks and High-Rises Inc. for their valuable contribution of data to this study and for their ongoing support of whale research and conservation. The authors thank all the volunteers who were involved in the whale surveys. We would also like to thank Jasper de Bie for advice on earlier versions of this study. The authors want to acknowledge the people who are the Traditional Custodians of the land, the Yugambeh/Kombumerri peoples, on whose land this work was created. We pay respect to the Elders, past, present, and emerging, and extend that respect to all Aboriginal and Torres Strait Islander peoples. BRAN data has been used in this study. BRAN is made freely available by CSIRO Bluelink and is supported by the Bluelink Partnership: a collaboration between the Australian Department of Defence, Bureau of Meteorology and CSIRO.

Conflicts of Interest

The authors declare that the research was conducted in the absence of any commercial or financial relationships that could be construed as a potential conflict of interest.

Appendix A

Figure A1. Effect of the distance of the inner edge of the EAC [km] on the number of humpback whales sighted on the Gold Coast, Australia. Effect derived from the final GAM. The black line shows the mean effect. The gray ribbon indicates the 95% confidence interval.
Figure A2. Total humpback whale counts on days when the inner edge of EAC was closest to shore in the Gold Coast bay, Australia, between 2020 and 2023. Annual humpback whale counts were derived from stratified random sampling.

References

  1. Acevedo, J.; Aguayo-Lobo, A.; Beeman, P.; Cheeseman, T.; Olavarría, C. From the Antarctic Peninsula to eastern Australia: The longest migration of a humpback whale through the South Pacific Ocean. Mamm. Biol. 2022, 102, 1463–1468. [Google Scholar] [CrossRef]
  2. Rasmussen, K.; Palacios, D.M.; Calambokidis, J.; Saborío, M.T.; Dalla Rosa, L.; Secchi, E.R.; Steiger, G.H.; Allen, J.M.; Stone, G.S. Southern Hemisphere humpback whales wintering off Central America: Insights from water temperature into the longest mammalian migration. Biol. Lett. 2007, 3, 302–305. [Google Scholar] [CrossRef] [PubMed]
  3. Clapham, P.J. The social and reproductive biology of Humpback Whales: An ecological perspective. Mammal Rev. 1996, 26, 27–49. [Google Scholar] [CrossRef]
  4. Jenner, K.C.S.; Jenner, M.-N.M.; McCabe, K.A. Geographical and temporal movements of humpback whales in western Australian waters. APPEA J. 2001, 41, 749–765. [Google Scholar] [CrossRef]
  5. Naessig, P.J.; Lanyon, J.M. Levels and probable origin of predatory scarring on humpback whales (Megaptera novaeangliae) in east Australian waters. Wildl. Res. 2004, 31, 163–170. [Google Scholar] [CrossRef]
  6. Dawbin, W. The seasonal migratory cycle of humpback whales. In Whales, Dolphins and Porpoises; University of California Press: Berkeley, CA, USA, 1966. [Google Scholar]
  7. Chittleborough, R. Dynamics of two populations of the humpback whale, Megaptera novaeangliae (Borowski). Mar. Freshw. Res. 1965, 16, 33–128. [Google Scholar] [CrossRef]
  8. Andrews-Goff, V.; Bestley, S.; Gales, N.; Laverick, S.; Paton, D.; Polanowski, A.; Schmitt, N.; Double, M. Humpback whale migrations to Antarctic summer foraging grounds through the southwest Pacific Ocean. Sci. Rep. 2018, 8, 12333. [Google Scholar] [CrossRef]
  9. Bryden, M. Studies of humpback whales (Megaptera novaeangliae), Area V. In Studies of Sea Mammals in South Latitudes; South Australian Museum: Adelaide, Australia, 1985; pp. 115–123. [Google Scholar]
  10. Bruce, E.; Albright, L.; Sheehan, S.; Blewitt, M. Distribution patterns of migrating humpback whales (Megaptera novaeangliae) in Jervis Bay, Australia: A spatial analysis using geographical citizen science data. Appl. Geogr. 2014, 54, 83–95. [Google Scholar] [CrossRef]
  11. Ramp, C.; Delarue, J.; Palsbøll, P.J.; Sears, R.; Hammond, P.S. Adapting to a warmer ocean—Seasonal shift of baleen whale movements over three decades. PLoS ONE 2015, 10, e0121374. [Google Scholar] [CrossRef]
  12. Avila, I.C.; Dormann, C.F.; García, C.; Payán, L.F.; Zorrilla, M.X. Humpback whales extend their stay in a breeding ground in the Tropical Eastern Pacific. ICES J. Mar. Sci. 2019, 77, 109–118. [Google Scholar] [CrossRef]
  13. Kershaw, J.L.; Ramp, C.A.; Sears, R.; Plourde, S.; Brosset, P.; Miller, P.J.O.; Hall, A.J. Declining reproductive success in the Gulf of St. Lawrence’s humpback whales (Megaptera novaeangliae) reflects ecosystem shifts on their feeding grounds. Glob. Chang. Biol. 2021, 27, 1027–1041. [Google Scholar] [CrossRef] [PubMed]
  14. Dedden, A.V.; Rogers, T.L. Stable Isotope Oscillations in Whale Baleen Are Linked to Climate Cycles, Which May Reflect Changes in Feeding for Humpback and Southern Right Whales in the Southern Hemisphere. Front. Mar. Sci. 2022, 9, 832075. [Google Scholar] [CrossRef]
  15. Groß, J.; Virtue, P.; Nichols, P.D.; Eisenmann, P.; Waugh, C.A.; Bengtson Nash, S. Interannual variability in the lipid and fatty acid profiles of east Australia-migrating humpback whales (Megaptera novaeangliae) across a 10-year timeline. Sci. Rep. 2020, 10, 18274. [Google Scholar] [CrossRef] [PubMed]
  16. Corkeron, P.; Brown, M. Pod Characteristics of Migrating Humpback Whales (Megaptera Novaeangliae) Off the East Australian Coast. Behaviour 1995, 132, 163–179. [Google Scholar] [CrossRef]
  17. Riekkola, L.; Andrews-Goff, V.; Friedlaender, A.; Constantine, R.; Zerbini, A.N. Environmental drivers of humpback whale foraging behavior in the remote Southern Ocean. J. Exp. Mar. Biol. Ecol. 2019, 517, 1–12. [Google Scholar] [CrossRef]
  18. Kavanagh, A.S.; Noad, M.J.; Blomberg, S.P.; Goldizen, A.W.; Kniest, E.; Cato, D.H.; Dunlop, R.A. Factors driving the variability in diving and movement behavior of migrating humpback whales (Megaptera novaeangliae): Implications for anthropogenic disturbance studies. Mar. Mammal Sci. 2017, 33, 413–439. [Google Scholar] [CrossRef]
  19. Reinke, J.; Lemckert, C.; Meynecke, J.-O. Coastal Fronts Utilized by Migrating Humpback Whales, Megaptera novaeangliae, on the Gold Coast, Australia. J. Coast. Res. 2016, 75, 552–556. [Google Scholar] [CrossRef]
  20. Tardin, R.H.; Chun, Y.; Jenkins, C.N.; Maciel, I.S.; Simão, S.M.; Alves, M.A.S. Environment and anthropogenic activities influence cetacean habitat use in southeastern Brazil. Mar. Ecol. Prog. Ser. 2019, 616, 197–210. [Google Scholar] [CrossRef]
  21. Ridgway, K.R.; Dunn, J.R. Mesoscale structure of the mean East Australian Current System and its relationship with topography. Prog. Oceanogr. 2003, 56, 189–222. [Google Scholar] [CrossRef]
  22. Bull, C.Y.S.; Kiss, A.E.; Jourdain, N.C.; England, M.H.; van Sebille, E. Wind Forced Variability in Eddy Formation, Eddy Shedding, and the Separation of the East Australian Current. J. Geophys. Res.-Ocean. 2017, 122, 9980–9998. [Google Scholar] [CrossRef]
  23. Volep, E.; Carroll, A.R.; Strauss, D.; Meynecke, J.-O.; Kobashi, D. Effect of environmental conditions on cetacean entanglements: A case study from the Gold Coast, Australia. Mar. Freshw. Res. 2017, 68, 1977–1987. [Google Scholar] [CrossRef]
  24. Bolin, J.A.; Schoeman, D.S.; Pizà-Roca, C.; Scales, K.L. A current affair: Entanglement of humpback whales in coastal shark-control nets. Remote Sens. Ecol. Conserv. 2020, 6, 119–128. [Google Scholar] [CrossRef]
  25. Schilling, H.T.; Dedden, A.V.; Crocetti, S.; Liggins, G.; Lorigan, S.; Marshall, A.; Rogers, T.L.; Schaeffer, A.; Suthers, I.M.; Johnson, D.D. Regional oceanography affects humpback whale entanglements in set fishing gear. Conserv. Sci. Pract. 2023, 5, e13034. [Google Scholar] [CrossRef]
  26. Meynecke, J.-O.; Vindenes, S.; Teixeira, D. Monitoring Humpback Whale (Megaptera novaeangliae) Behaviour in a Highly Urbanised Coastline: Gold Coast, Australia. In Global Challenges in Integrated Coastal Zone Management; Wiley-Blackwell: Hoboken, NJ, USA, 2013; pp. 101–113. [Google Scholar]
  27. Valani, R.; Meynecke, J.O.; Olsen, M.T. Presence and movement of humpback whale (Megaptera novaeangliae) mother-calf pairs in the Gold Coast, Australia. Mar. Freshw. Behav. Physiol. 2020, 53, 251–263. [Google Scholar] [CrossRef]
  28. McCulloch, S.; Meynecke, J.-O.; Franklin, T.; Franklin, W.; Chauvenet, A.L.M. Humpback whale (Megaptera novaeangliae) behaviour determines habitat use in two Australian bays. Mar. Freshw. Res. 2021, 72, 1251–1267. [Google Scholar] [CrossRef]
  29. Franklin, T.; Franklin, W.; Brooks, L.; Harrison, P.; Pack, A.A.; Clapham, P.J. Social Behaviour of Humpback Whales (Megaptera novaeangliae) in Hervey Bay, Eastern Australia, a Preferential Female Stopover During the Southern Migration. Front. Mar. Sci. 2021, 8, 652147. [Google Scholar] [CrossRef]
  30. Pirotta, V.; Reynolds, W.; Ross, G.; Jonsen, I.; Grech, A.; Slip, D.; Harcourt, R. A citizen science approach to long-term monitoring of humpback whales (Megaptera novaeangliae) off Sydney, Australia. Mar. Mammal Sci. 2020, 36, 472–485. [Google Scholar] [CrossRef]
  31. Bertulli, C.G.; Guéry, L.; McGinty, N.; Suzuki, A.; Brannan, N.; Marques, T.; Rasmussen, M.H.; Gimenez, O. Capture-recapture abundance and survival estimates of three cetacean species in Icelandic coastal waters using trained scientist-volunteers. J. Sea Res. 2018, 131, 22–31. [Google Scholar] [CrossRef]
  32. Franklin, T.; Franklin, W.; Brooks, L.; Harrison, P. Site-specific female-biased sex ratio of humpback whales (Megaptera novaeangliae) during a stopover early in the southern migration. Can. J. Zool. 2018, 96, 533–544. [Google Scholar] [CrossRef]
  33. Noad, M.J.; Kniest, E.; Dunlop, R.A. Boom to bust? Implications for the continued rapid growth of the eastern Australian humpback whale population despite recovery. Popul. Ecol. 2019, 61, 198–209. [Google Scholar] [CrossRef]
  34. Noad, M.J.; Dunlop, R.A.; Paton, D.; Cato, D.H. An Update of the East Australian Humpback Whale Population (E1) Rate of Increase; International Whaling Commission Scientific Committee: Cambridge, UK, 2008; pp. 1–13. [Google Scholar]
  35. Paterson, R.; Paterson, P.; Cato, D.H. The status of humpback whales Megaptera novaeangliae in east Australia thirty years after whaling. Biol. Conserv. 1994, 70, 135–142. [Google Scholar] [CrossRef]
  36. Smith, J.N.; Kelly, N.; Childerhouse, S.; Redfern, J.V.; Moore, T.J.; Peel, D. Quantifying Ship Strike Risk to Breeding Whales in a Multiple-Use Marine Park: The Great Barrier Reef. Front. Mar. Sci. 2020, 7, 67. [Google Scholar] [CrossRef]
  37. Cochran, W.G. Sampling Techniques, 3rd ed.; John Wiley & Sons: Hoboken, NJ, USA, 1977. [Google Scholar]
  38. R Core Team. R: A Language and Environment for Statistical Computing; R Foundation for Statistical Computing: Vienna, Austria, 2023. [Google Scholar]
  39. Hijmans, R.J. Raster: Geographic data analysis and modeling. R Package Version 2018, 2, 8. [Google Scholar]
  40. Wickham, H.; Averick, M.; Bryan, J.; Chang, W.; McGowan, L.D.A.; François, R.; Grolemund, G.; Hayes, A.; Henry, L.; Hester, J. Welcome to the Tidyverse. J. Open Source Softw. 2019, 4, 1686. [Google Scholar] [CrossRef]
  41. Wood, S.N. Stable and efficient multiple smoothing parameter estimation for generalized additive models. J. Am. Stat. Assoc. 2004, 99, 673–686. [Google Scholar] [CrossRef]
  42. Wickham, H. ggplot2: Elegant Graphics for Data Analysis; Springer: New York, NY, USA, 2016. [Google Scholar]
  43. Simpson, G.L.; Singmann, H. Package Gratia; Ggplot-Based Graph. Other Useful Funct. GAMs Fitted Using Mgcv 0.1-0 (Ggplot-Based Graph. Util. Funct. Work. GAMs Fitted Using Mgcv Package). 2018. Available online: https://gavinsimpson.github.io/gratia/ (accessed on 13 December 2024).
  44. Hartig, F. DHARMa: Residual Diagnostics for Hierarchical (Multi-Level/Mixed) Regression Models; R Packag Version 020; R Foundation for Statistical Computing: Vienna, Austria, 2018. [Google Scholar]
  45. Meynecke, J.O.; Meager, J.J. Understanding Strandings: 25 years of Humpback Whale (Megaptera novaeangliae) Strandings in Queensland, Australia. J. Coast. Res. 2016, 75, 897–901. [Google Scholar] [CrossRef]
  46. Belkin, I.; Cornillon, P. Fronts in the World Ocean’s Large Marine Ecosystems; International Council for the Exploration of the Sea: Copenhagen, Denmark, 2007. [Google Scholar]
  47. Stamation, K.A.; Croft, D.B.; Shaughnessy, P.D.; Waples, K.A. Observations of humpback whales (Megaptera novaeangliae) feeding during their southward migration along the coast of southeastern New South Wales, Australia: Identification of a possible supplemental feeding ground. Aquat. Mamm. 2007, 33, 165. [Google Scholar] [CrossRef]
  48. Brown, M.R.; Corkeron, P.J.; Hale, P.T.; Schultz, K.W.; Bryden, M.M. Evidence for a sex-segregated migration in the humpback whale (Megaptera novaeangliae). Proc. R. Soc. Lond. Ser. B Biol. Sci. 1995, 259, 229–234. [Google Scholar] [CrossRef]
Disclaimer/Publisher’s Note: The statements, opinions and data contained in all publications are solely those of the individual author(s) and contributor(s) and not of MDPI and/or the editor(s). MDPI and/or the editor(s) disclaim responsibility for any injury to people or property resulting from any ideas, methods, instructions or products referred to in the content.

Article Metrics

Citations

Article Access Statistics

Multiple requests from the same IP address are counted as one view.