Two-Dimensional Wave Interaction with a Rigid Body Floating near the Marginal Ice Zone
Abstract
1. Introduction
2. Numerical Method
3. Solution Procedures
3.1. Solution of Velocity Potential of Each Sub-Domain
3.2. Solution of Hydrodynamic Force Acting on the Body
4. Numerical Results
4.1. The Wave Dispersion Relation Beneath the Floating Ice Array
4.2. Equivalent Flexural Stiffness of the Floating Ice Array
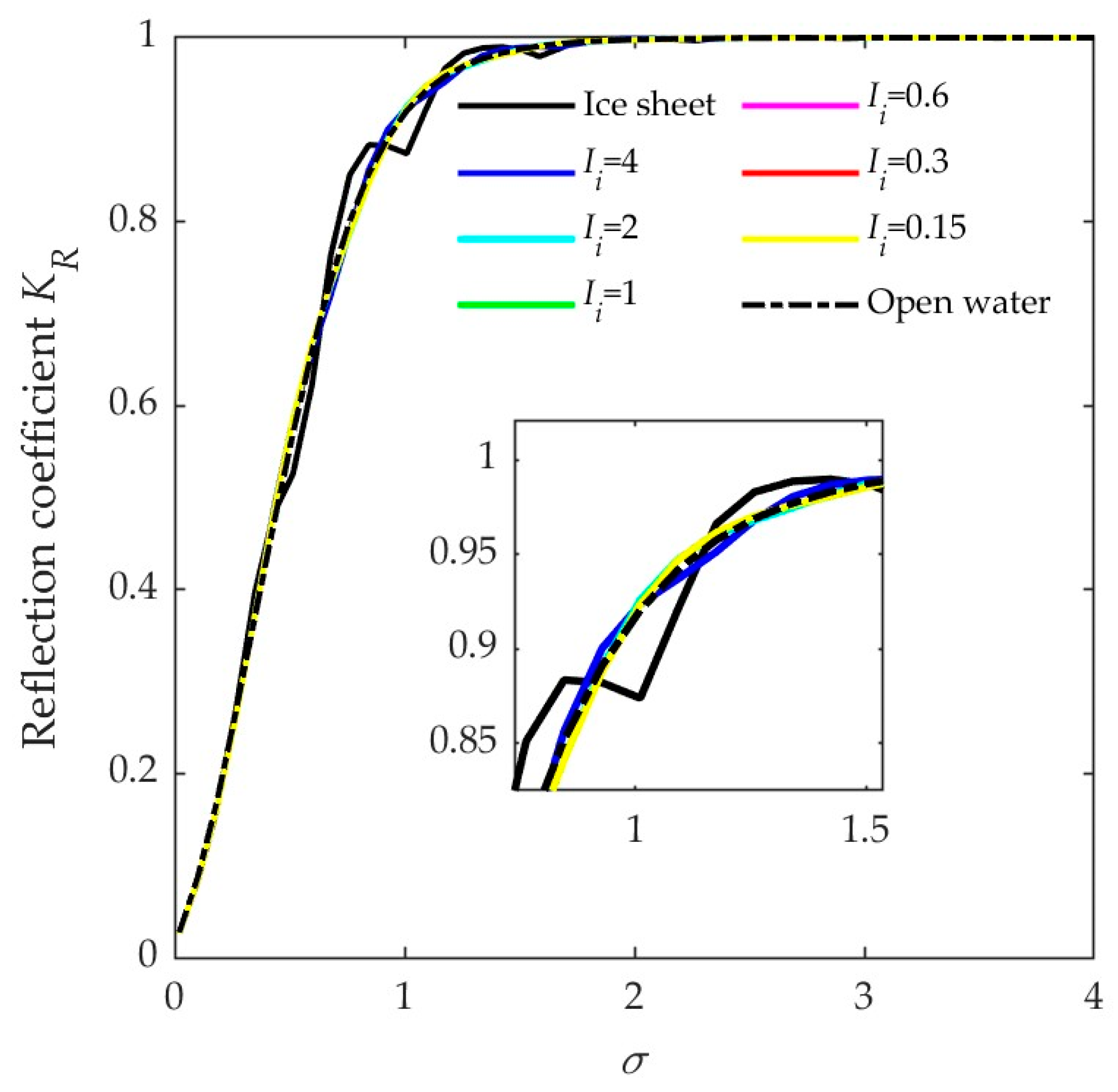
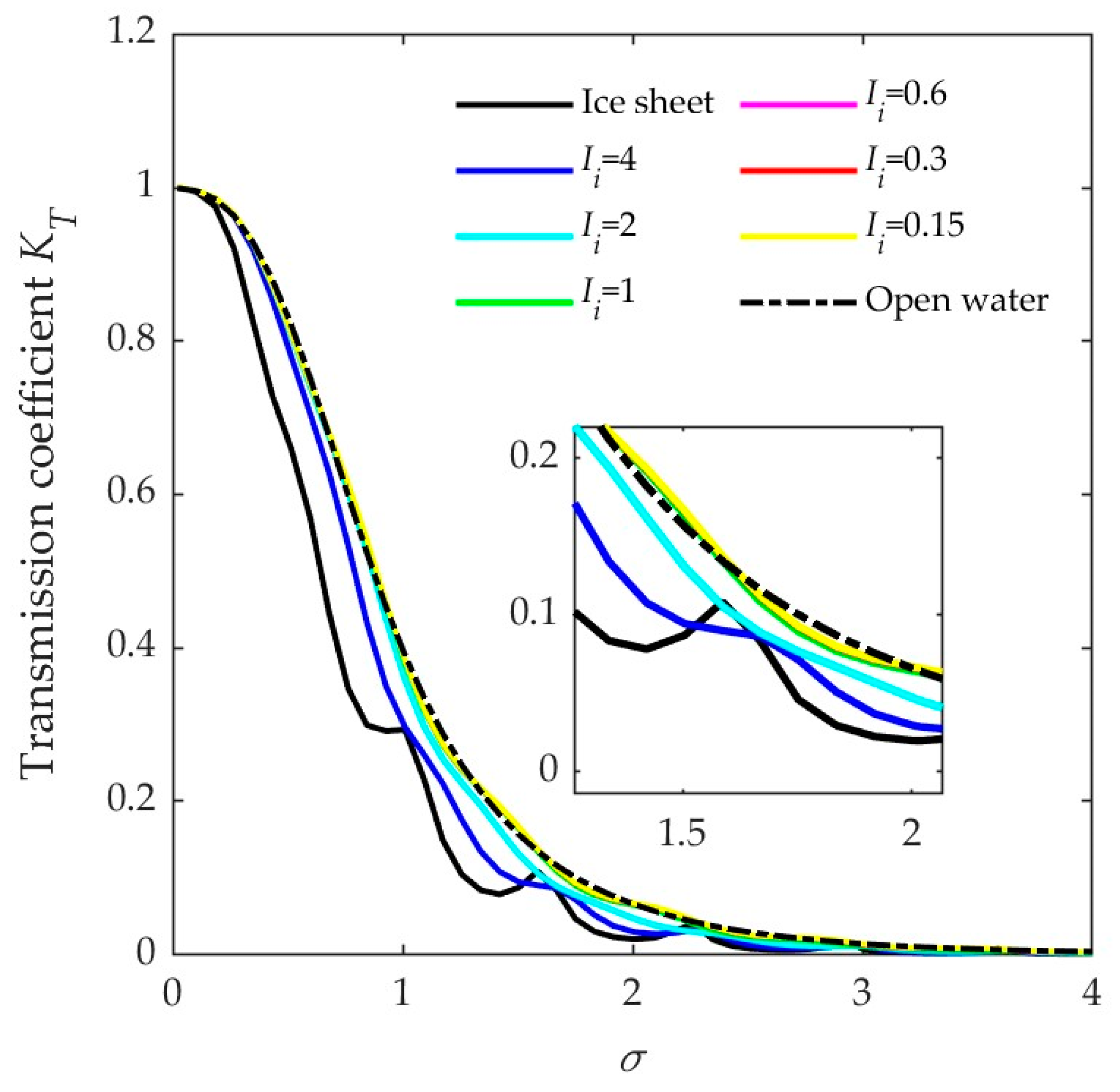
4.3. Wave Transmission and Reflection by the Floating Ice Arrays
4.4. The Features of Hydrodynamic Forces on the Body near the Floating Ice Array
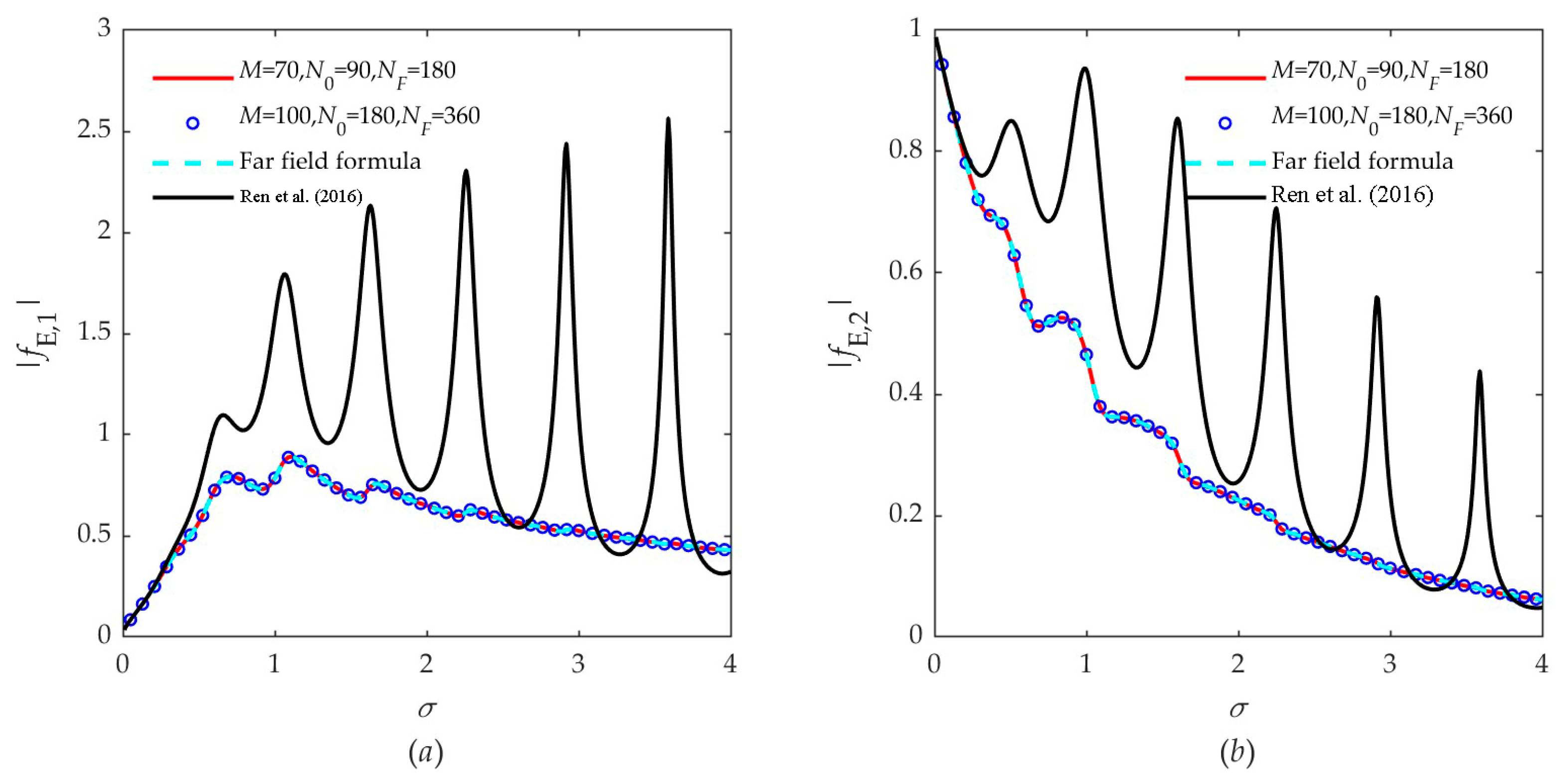
4.4.1. Verification of Hydrodynamic of a Body Floating near the MIZ




4.4.2. The Influence of the Sizes of Individual Ice Sheets
4.4.3. The Influence of the Individual Ice Thickness
4.4.4. The Influence of the Ice Array Draft
4.4.5. The Impact of an Individual Ice Sheet on Wave Elevation
5. Conclusions
- (1)
- The flexural stiffness of floating ice arrays consisting of large-sized individual ice sheets decrease with the increase of wavelength, while for that of small-sized individual ice sheets, they gradually increase.
- (2)
- The equivalent elastic modulus of the floating array is minimally impacted by the wavelength of the incident wave. However, the change in the equivalent elastic modulus of the floating ice array mainly depends on the length of the individual ice sheet in the arrays.
- (3)
- Due to the reflection of waves by the floating ice arrays, the hydrodynamic forces of the floating body will oscillate, and the amplitude of the oscillation is affected by the length of the individual ice sheet, approaching the result of a continuous ice sheet as the wave frequency increases.
- (4)
- As the average thickness of ice increases, its stiffness also increases. It can weaken the ability of smaller waves to penetrate the ice surface. Then, it can induce that the hydrodynamic effect in the case of a thicker individual ice sheet for a large-sized or small-sized floating ice array is significant. Plus, at a high frequency, the changes in thickness are more sensitive to hydrodynamic effects.
- (5)
- Considering the different drafts of the floating ice arrays, the hydrodynamic forces of a square box in the case of a large-sized floating ice array with a draft are larger than that in the case of without a draft. However, for the small-sized floating ice array, the results in the case of a draft or no draft have no differences.
- (6)
- In the high-frequency stage, compared to large-sized floating ice arrays, small-sized floating ice arrays have a weaker ability to reflect waves, which further leads to an increase in the hydrodynamic coefficient of the rigid body.
Author Contributions
Funding
Institutional Review Board Statement
Informed Consent Statement
Data Availability Statement
Conflicts of Interest
References
- Liu, A.K.; Holt, B.; Vachon, P.W. Wave propagation in the marginal ice zone: Model predictions and comparisons with buoy and synthetic aperture radar data. J. Geophys. Res. Oceans 1991, 96, 4605–4621. [Google Scholar] [CrossRef]
- Sakai, S.; Hanai, K. Empirical formula of dispersion relation of waves in sea ice. In Ice in the Environment: Proceedings of the 16th IAHR International Symposium on Ice, Dunedin, New Zealand, 2–6 December 2002; International Association of Hydraulic Engineering and Research: Singapore, 2002; Volume 2. [Google Scholar]
- Williams, T.D.; Squire, V.A. The effect of submergence on wave scattering across a transition between two floating flexible plates. Wave Motion 2008, 45, 361–379. [Google Scholar] [CrossRef]
- Vaughan, G.L.; Williams, T.D.; Squire, V.A. Perfect transmission and asymptotic solutions for reflection of ice-coupled waves by inhomogeneities. Wave Motion 2007, 44, 371–384. [Google Scholar] [CrossRef]
- Squire, V.A.; Williams, T.D. Wave propagation across sea-ice thickness changes. Ocean Model. 2008, 21, 1–11. [Google Scholar] [CrossRef]
- Lin, Q.; Lu, D.Q. Hydroelastic interaction between obliquely incident waves and a semi-infinite elastic plate on a two-layer fluid. Appl. Ocean Res. 2013, 43, 71–79. [Google Scholar] [CrossRef]
- Porter, R. Surface wave interaction with rigid plates lying on water. Wave Motion 2016, 66, 118–131. [Google Scholar] [CrossRef]
- Mosig, J.E.M.; Montiel, F.; Squire, V.A. A transport equation for flexural-gravity wave propagation under a sea ice cover of variable thickness. Wave Motion 2019, 88, 153–166. [Google Scholar] [CrossRef]
- Linton, C.M.; Chung, H. Reflection and transmission at the ocean/sea-ice boundary. Wave Motion 2003, 38, 43–52. [Google Scholar] [CrossRef]
- Meylan, M.H.; Masson, D. A linear Boltzmann equation to model wave scattering in the marginal ice zone. Ocean Model. 2006, 11, 417–427. [Google Scholar] [CrossRef]
- Smith, M.J.A.; Meylan, M.H. Wave scattering by an ice floe of variable thickness. Cold Reg. Sci. Technol. 2011, 67, 24–30. [Google Scholar] [CrossRef]
- Bennetts, L.G.; Squire, V.A. Model sensitivity analysis of scattering-induced attenuation of ice-coupled waves. Ocean Model. 2012, 45–46, 1–13. [Google Scholar] [CrossRef]
- Zhao, X.; Shen, H. A diffusion approximation for ocean wave scatterings by randomly distributed ice floes. Ocean Model. 2016, 107, 21–27. [Google Scholar] [CrossRef]
- Meylan, M.H.; Horvat, C.; Bitz, C.M.; Bennetts, L.G. A floe size dependent scattering model in two- and three-dimensions for wave attenuation by ice floes. Ocean Model. 2021, 161, 101779. [Google Scholar] [CrossRef]
- Yu, J.; Rogers, W.E.; Wang, D.W. A new method for parameterization of wave dissipation by sea ice. Cold Reg. Sci. Technol. 2022, 199, 103582. [Google Scholar] [CrossRef]
- Xu, B.; Guyenne, P. Nonlinear simulation of wave group attenuation due to scattering in broken floe fields. Ocean Model. 2023, 181, 102139. [Google Scholar] [CrossRef]
- Wang, R.; Shen, H.H. Experimental study on surface wave propagating through a grease–pancake ice mixture. Cold Reg. Sci. Technol. 2010, 61, 90–96. [Google Scholar] [CrossRef]
- McGovern, D.J.; Bai, W. Experimental study of wave-driven impact of sea ice floes on a circular cylinder. Cold Reg. Sci. Technol. 2014, 108, 36–48. [Google Scholar] [CrossRef]
- Zhao, X.; Shen, H.H. Wave propagation in frazil/pancake, pancake, and fragmented ice covers. Cold Reg. Sci. Technol. 2015, 113, 71–80. [Google Scholar] [CrossRef]
- Bennetts, L.G.; Alberello, A.; Meylan, M.H.; Cavaliere, C.; Babanin, A.V.; Toffoli, A. An idealised experimental model of ocean surface wave transmission by an ice floe. Ocean Model. 2015, 96, 85–92. [Google Scholar] [CrossRef]
- Nelli, F.; Bennetts, L.G.; Skene, D.M.; Monty, J.P.; Lee, J.H.; Meylan, M.H.; Toffoli, A. Reflection and transmission of regular water waves by a thin, floating plate. Wave Motion 2017, 70, 209–221. [Google Scholar] [CrossRef]
- Yiew, L.J.; Parra, S.M.; Wang, D.; Sree, D.K.K.; Babanin, A.V.; Law, A.W.K. Wave attenuation and dispersion due to floating ice covers. Appl. Ocean Res. 2019, 87, 256–263. [Google Scholar] [CrossRef]
- Cheng, S.; Tsarau, A.; Evers, K.U.; Shen, H. Floe Size Effect on Gravity Wave Propagation Through Ice Covers. J. Geophys. Res. Oceans 2019, 124, 320–334. [Google Scholar] [CrossRef]
- Parra, S.M.; Sree, D.K.K.; Wang, D.; Rogers, E.; Lee, J.H.; Collins, C.O.; Law, A.W.-K.; Babanin, A.V. Experimental study on surface wave modifications by different ice covers. Cold Reg. Sci. Technol. 2020, 174, 103042. [Google Scholar] [CrossRef]
- Ren, K.; Wu, G.X.; Thomas, G.A. Wave excited motion of a body floating on water confined between two semi-infinite ice sheets. Phys. Fluids 2016, 28, 127101. [Google Scholar] [CrossRef]
- Li, Z.F.; Shi, Y.Y.; Wu, G.X. Large amplitude motions of a submerged circular cylinder in water with an ice cover. Eur. J. Mech. B/Fluids 2017, 65, 141–159. [Google Scholar] [CrossRef]
- Ren, K.; Wu, G.X.; Ji, C.Y. Wave diffraction and radiation by a vertical circular cylinder standing in a three-dimensional polynya. J. Fluids Struct. 2018, 82, 287–307. [Google Scholar] [CrossRef]
- Li, Z.F.; Shi, Y.Y.; Wu, G.X. A hybrid method for linearized wave radiation and diffraction problem by a three dimensional floating structure in a polynya. J. Comput. Phys. 2020, 412, 109445. [Google Scholar] [CrossRef]
- Wehausen, J.V.; Laitone, E.V. Surface Waves. In Fluid Dynamics/Strömungsmechanik; Truesdell, C., Ed.; Springer: Berlin/Heidelberg, Germany, 1960; pp. 446–778. [Google Scholar] [CrossRef]
- Squire, V.A.; Dugan, J.P.; Wadhams, P.; Rottier, P.J.; Liu, A.K. Of Ocean Waves and Sea Ice. Annu. Rev. Fluid Mech. 1995, 27, 115–168. [Google Scholar] [CrossRef]
- Li, Z.F.; Shi, Y.Y.; Wu, G.X. Interaction of waves with a body floating on polynya between two semi-infinite ice sheets. J. Fluids Struct. 2018, 78, 86–108. [Google Scholar] [CrossRef]
- Newman, J.N. Marine Hydrodynamics; The MIT Press: Cambridge, MA, USA, 1977. [Google Scholar] [CrossRef]
- Li, Z.F.; Shi, Y.Y.; Wu, G.X. Interaction of wave with a body floating on a wide polynya. Phys. Fluids 2017, 29, 097104. [Google Scholar] [CrossRef]





















Disclaimer/Publisher’s Note: The statements, opinions and data contained in all publications are solely those of the individual author(s) and contributor(s) and not of MDPI and/or the editor(s). MDPI and/or the editor(s) disclaim responsibility for any injury to people or property resulting from any ideas, methods, instructions or products referred to in the content. |
© 2024 by the authors. Licensee MDPI, Basel, Switzerland. This article is an open access article distributed under the terms and conditions of the Creative Commons Attribution (CC BY) license (https://creativecommons.org/licenses/by/4.0/).
Share and Cite
Wan, B.; Shi, Y.; Li, Z. Two-Dimensional Wave Interaction with a Rigid Body Floating near the Marginal Ice Zone. J. Mar. Sci. Eng. 2024, 12, 272. https://doi.org/10.3390/jmse12020272
Wan B, Shi Y, Li Z. Two-Dimensional Wave Interaction with a Rigid Body Floating near the Marginal Ice Zone. Journal of Marine Science and Engineering. 2024; 12(2):272. https://doi.org/10.3390/jmse12020272
Chicago/Turabian StyleWan, Bingbing, Yuyun Shi, and Zhifu Li. 2024. "Two-Dimensional Wave Interaction with a Rigid Body Floating near the Marginal Ice Zone" Journal of Marine Science and Engineering 12, no. 2: 272. https://doi.org/10.3390/jmse12020272
APA StyleWan, B., Shi, Y., & Li, Z. (2024). Two-Dimensional Wave Interaction with a Rigid Body Floating near the Marginal Ice Zone. Journal of Marine Science and Engineering, 12(2), 272. https://doi.org/10.3390/jmse12020272
