Safety-Guaranteed, Robust, Nonlinear, Path-Following Control of the Underactuated Hovercraft Based on FTESO
Abstract
1. Introduction
2. Preliminaries and Problem Formation
2.1. Preliminaries
2.2. Model of Underactuated Hovercraft
2.3. The Hovercraft Dynamics of Tracking Error
2.4. Actuator Saturation Nonlinearity and State Constraints
3. Safety-Guaranteed, Robust, Nonlinear, Path-Following Control Strategy
3.1. Design of Finite-Time Extended State Observer
3.2. Design of LOS
3.3. Safety-Guaranteed, Robust, Nonlinear, Path-Following Controller
3.3.1. Safety-Guaranteed Auxiliary System Subject to Constraints
3.3.2. FTESO-Based Safety-Guaranteed Heading-Tracking Control Strategy
3.3.3. FTESO-Based Safety-Guaranteed, Robust, Nonlinear, Tracking Control Design
4. Stability Analysis
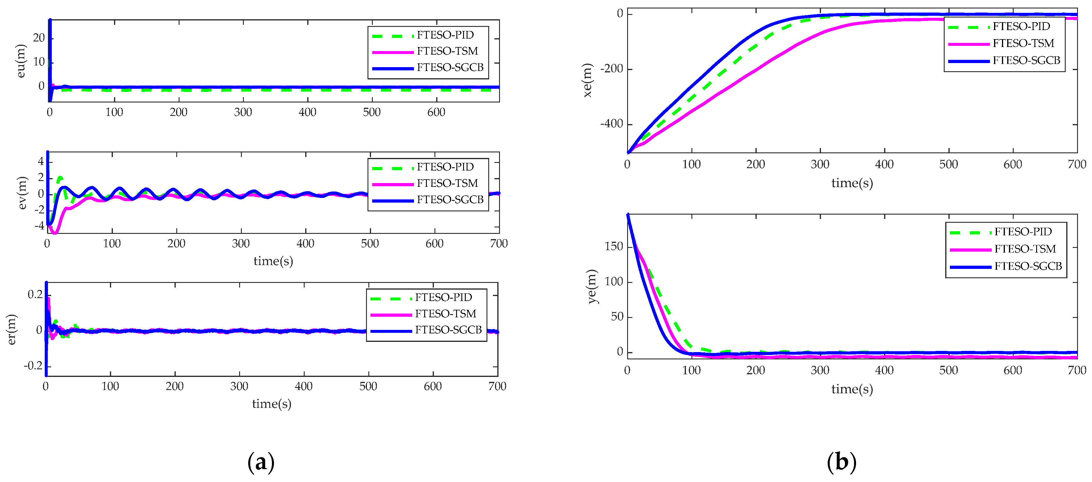
5. Numerical Simulations
6. Conclusions
Author Contributions
Funding
Institutional Review Board Statement
Informed Consent Statement
Data Availability Statement
Conflicts of Interest
References
- Fu, M.; Zhang, T.; Ding, F.; Wang, D. Safety-guaranteed adaptive neural motion control for a hovercraft with multiple constraints. Ocean Eng. 2020, 220, 108401. [Google Scholar] [CrossRef]
- Hua, F. Analysis and consideration on safety of all-lift hovercraft. Ship Boat 2008, 6, 1–3. [Google Scholar]
- Fu, M.; Gao, S.; Wang, C.; Li, M. Design of driver assistance system for air cushion vehicle with uncertainty based on model knowledge neural network. Ocean Eng. 2019, 172, 296–307. [Google Scholar] [CrossRef]
- Rigatos, G.G.; Raffo, G.V. Input–Output Linearizing Control of the Underactuated Hovercraft Using the Derivative-Free Nonlinear Kalman Filter. Unmanned Syst. 2015, 3, 127–142. [Google Scholar] [CrossRef]
- Morales, R.; Sira-Ramírez, H.; Somolinos, J.A. Linear active disturbance rejection control of the hovercraft vessel model. Ocean Eng. 2015, 96, 100–108. [Google Scholar] [CrossRef]
- Shojaei, K. Neural adaptive robust control of underactuated marine surface vehicles with input saturation. Appl. Ocean Res. 2015, 53, 267–278. [Google Scholar] [CrossRef]
- Fu, M.; Zhang, T.; Ding, F. Adaptive Safety Motion Control for Underactuated Hovercraft Using Improved Integral Barrier Lyapunov Function. Int. J. Control Autom. Syst. 2021, 19, 2784–2796. [Google Scholar] [CrossRef]
- Gao, S.; Xue, J. Nonlinear vector model control of underactuated air cushion vehicle based on parameter reduction algorithm. Trans. Inst. Meas. Control 2020, 43, 1202–1211. [Google Scholar] [CrossRef]
- Sun, Z.; Zhang, G.; Yang, J.; Zhang, W. Research on the sliding mode control for underactuated surface vessels via parameter estimation. Nonlinear Dyn. 2018, 91, 1163–1175. [Google Scholar] [CrossRef]
- Lu, Y.; Zhang, G.; Sun, Z.; Zhang, W. Robust adaptive formation control of underactuated autonomous surface vessels based on MLP and DOB. Nonlinear Dyn. 2018, 94, 1–17. [Google Scholar] [CrossRef]
- Wu, M.; Liu, L.; Yu, Z. Augmented safety guarantee-based area keeping control for an underactuated USV with environmental disturbances. ISA Trans. 2021, 127, 415–422. [Google Scholar] [CrossRef]
- Gao, S.; Peng, Z.; Liu, L.; Wang, H.; Wang, D. Coordinated target tracking by multiple unmanned surface vehicles with communication delays based on a distributed event-triggered extended state observer. Ocean Eng. 2021, 227, 108283. [Google Scholar] [CrossRef]
- Woo, J.; Yu, C.; Kim, N. Deep reinforcement learning-based controller for path following of an unmanned surface vehicle. Ocean Eng. 2019, 183, 155–166. [Google Scholar] [CrossRef]
- Harshavarthini, S.; Sakthivel, R.; Ahn, C.K. Finite-time reliable attitude tracking control design for nonlinear quadrotor model with actuator faults. Nonlinear Dyn. 2019, 96, 2681–2692. [Google Scholar] [CrossRef]
- Zong, G.; Ren, H.; Karimi, H.R. Event-Triggered Communication and Annular Finite-Time H ∞ Filtering for Networked Switched Systems. IEEE Trans. Cybern. 2020, 51, 309–317. [Google Scholar]
- Sun, K.; Qiu, J.; Karimi, H.R.; Fu, Y. Event-Triggered Robust Fuzzy Adaptive Finite-Time Control of Nonlinear Systems With Prescribed Performance. IEEE Trans. Fuzzy Syst. 2020, 29, 1460–1471. [Google Scholar] [CrossRef]
- Nie, J.; Lin, X. FAILOS guidance law based adaptive fuzzy finite-time path following control for underactuated MSV. Ocean Eng. 2019, 195, 106726. [Google Scholar] [CrossRef]
- Wang, N.; Sun, Z.; Jiao, Y.; Han, G. Surge-Heading Guidance Based Finite-Time Path-Following of Underactuated Marine Vehicles. IEEE Trans. Veh. Technol. 2019, 68, 8523–8532. [Google Scholar] [CrossRef]
- Wang, N.; Ahn, C.K. Hyperbolic-Tangent LOS Guidance-Based Finite-Time Path Following of Underactuated Marine Vehicles. IEEE Trans. Ind. Electron. 2019, 67, 8566–8575. [Google Scholar] [CrossRef]
- Nie, J.; Wang, H.; Lu, X.; Lin, X.; Sheng, C.; Zhang, Z.; Song, S. Finite-time output feedback path following control of underactuated MSV based on FTESO. Ocean Eng. 2021, 224, 108660. [Google Scholar] [CrossRef]
- Wang, Y.; Tong, H.; Fu, M. Line-of-sight guidance law for path following of amphibious hovercrafts with big and time-varying sideslip compensation. Ocean Eng. 2019, 172, 531–540. [Google Scholar] [CrossRef]
- Nakamura, H.; Yamashita, Y.; Nishitani, H. Smooth Lyapunov functions for homogeneous differential inclusions. In Proceedings of the 41st SICE Annual Conference, Osaka, Japan, 5–7 August 2002; pp. 1974–1979. [Google Scholar]
- Song, Z.; Li, H.; Sun, K. Finite-time control for nonlinear spacecraft attitude based on terminal sliding mode technique. ISA Trans. 2013, 53, 117–124. [Google Scholar] [CrossRef] [PubMed]
- Hardy, G.H.; Littlewood, J.E.; Pólya, G. Inequalities (Cambridge Mathematical Library); Cambridge University Press: Cambridge, UK, 1934. [Google Scholar]
- Zou, A.M.; De Ruiter, A.H.J.; Kumar, K.D. Distributed finite-time velocity-free attitude coordination control for spacecraft formations. Automatica 2016, 67, 46–53. [Google Scholar] [CrossRef]
- Cohen, M.; Miloh, T.; Zilman, G. Wave resistance of a hovercraft moving in water with nonrigid bottom. Ocean Eng. 2001, 28, 1461–1478. [Google Scholar] [CrossRef]
- Tao, M.; Chengjie, W. Hovorcraft Performance and Skirt-Cushion System Dynamics Design; National Defense Industry Press: Beijing, China, 2012. [Google Scholar]
- Peng, Z.; Wang, D.; Chen, Z.; Hu, X.; Lan, W. Adaptive Dynamic Surface Control for Formations of Autonomous Surface Vehicles With Uncertain Dynamics. IEEE Trans. Control Syst. Technol. 2013, 21, 513–520. [Google Scholar] [CrossRef]
- Perruquetti, W.; Floquet, T.; Moulay, E. Finite-Time Observers: Application to Secure Communication. IEEE Trans. Autom. Control 2008, 53, 356–360. [Google Scholar] [CrossRef]
- Adetola, V.; Guay, M. Performance improvement in adaptive control of linearly parameterized nonlinear systems. IEEE Trans. Autom. Control 2010, 55, 2182–2186. [Google Scholar] [CrossRef]
- Dhaliwal, S.; Guay, M. Set-based adaptive estimation for a class of nonlinear systems with time-varying parameters. Adv. Control Chem. Process. 2012, 45, 391–395. [Google Scholar] [CrossRef]
- Adetola, V.; Guay, M. Robust adaptive MPC for systems with exogeneous disturbances. IFAC Int. Symp. Adv. Control Chem. Process. 2009, 42, 249–254. [Google Scholar]
- Pomet, J.-B.; Praly, L. Adaptive nonlinear regulation: Estimation from the Lyapunov equation. IEEE Trans. Autom. Control 1992, 37, 729–740. [Google Scholar] [CrossRef]
- Liu, L.; Wang, D.; Peng, Z. ESO-based line-of-sight guidance law for path following of underactuated marine surface vehicles with exact sideslip compensation. IEEE J. Ocean. Eng. 2017, 42, 477–487. [Google Scholar] [CrossRef]
- Chen, M.; Ge, S.S.; Ren, B. Adaptive tracking control of uncertain MIMO nonlinear systems with input constraints. Automatica 2011, 47, 452–465. [Google Scholar] [CrossRef]
- Fu, M.; Gao, S.; Wang, C.; Li, M. Human-centered Automatic Tracking System for Underactuated Hovercraft Based on Adaptive Chattering-free Full-order Terminal Sliding Mode Control. IEEE Access 2018, 6, 37883–37892. [Google Scholar] [CrossRef]
- Du, J.; Hu, X.; Krstić, M.; Sun, Y. Robust dynamic positioning of ships with disturbances under input saturation. Automatica 2016, 73, 207–214. [Google Scholar] [CrossRef]








| Parameter | Value | Unit | Parameter | Value | Unit |
|---|---|---|---|---|---|
| 40,000 | |||||
| Controller | |||||
|---|---|---|---|---|---|
| FTESO-PID | |||||
| FTESO-TSM | |||||
| FTESO-SGCB |
Disclaimer/Publisher’s Note: The statements, opinions and data contained in all publications are solely those of the individual author(s) and contributor(s) and not of MDPI and/or the editor(s). MDPI and/or the editor(s) disclaim responsibility for any injury to people or property resulting from any ideas, methods, instructions or products referred to in the content. |
© 2023 by the authors. Licensee MDPI, Basel, Switzerland. This article is an open access article distributed under the terms and conditions of the Creative Commons Attribution (CC BY) license (https://creativecommons.org/licenses/by/4.0/).
Share and Cite
Fu, M.; Wang, Q. Safety-Guaranteed, Robust, Nonlinear, Path-Following Control of the Underactuated Hovercraft Based on FTESO. J. Mar. Sci. Eng. 2023, 11, 1235. https://doi.org/10.3390/jmse11061235
Fu M, Wang Q. Safety-Guaranteed, Robust, Nonlinear, Path-Following Control of the Underactuated Hovercraft Based on FTESO. Journal of Marine Science and Engineering. 2023; 11(6):1235. https://doi.org/10.3390/jmse11061235
Chicago/Turabian StyleFu, Mingyu, and Qiusu Wang. 2023. "Safety-Guaranteed, Robust, Nonlinear, Path-Following Control of the Underactuated Hovercraft Based on FTESO" Journal of Marine Science and Engineering 11, no. 6: 1235. https://doi.org/10.3390/jmse11061235
APA StyleFu, M., & Wang, Q. (2023). Safety-Guaranteed, Robust, Nonlinear, Path-Following Control of the Underactuated Hovercraft Based on FTESO. Journal of Marine Science and Engineering, 11(6), 1235. https://doi.org/10.3390/jmse11061235
