Experimental Study on Porpoising of a High-Speed Planing Trimaran
Abstract
1. Introduction
2. Towing Tank Tests
2.1. Physical Description of the Model
2.2. Experimental Setup and Data Processing
3. Experimental Results and Analysis
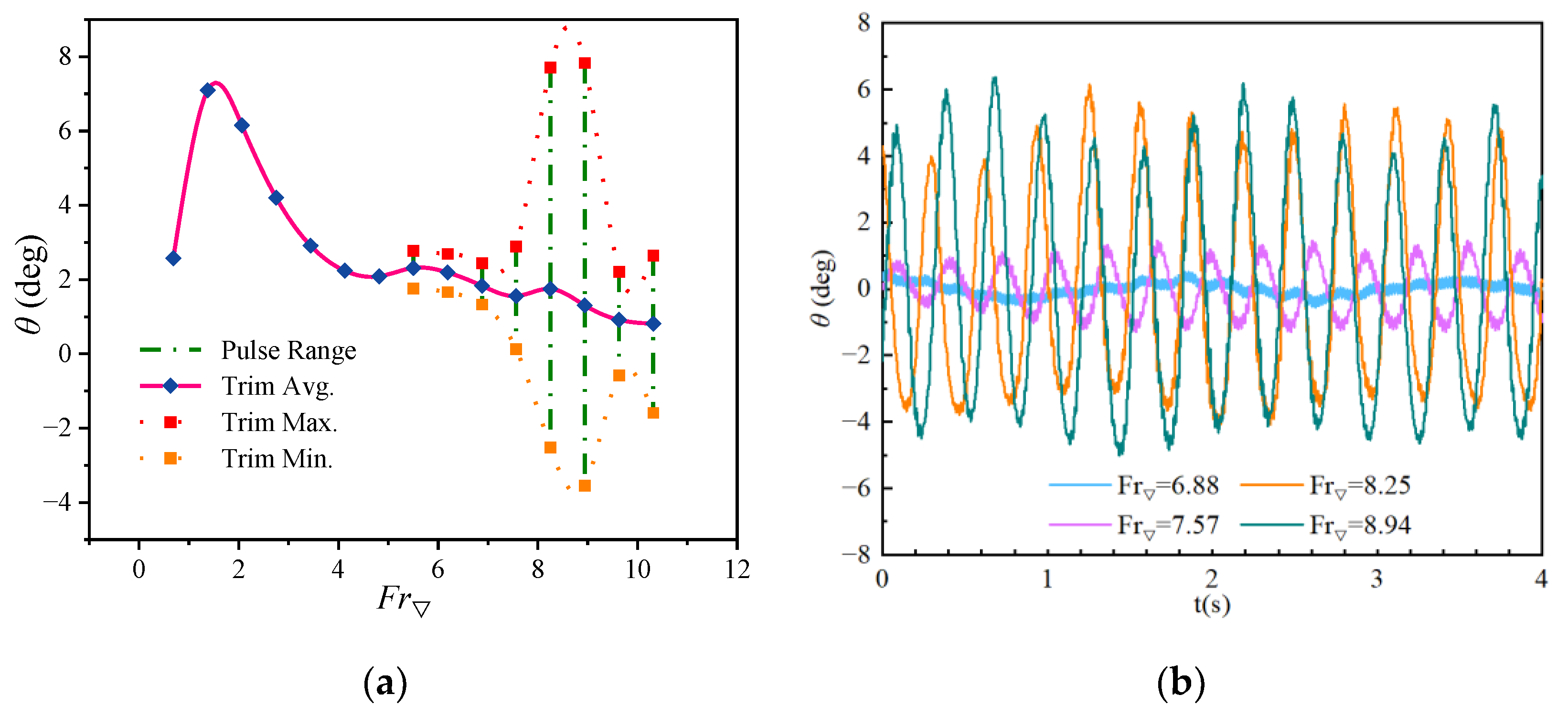
3.1. Hull Motion Behavior Evolution Process with Increasing Speed
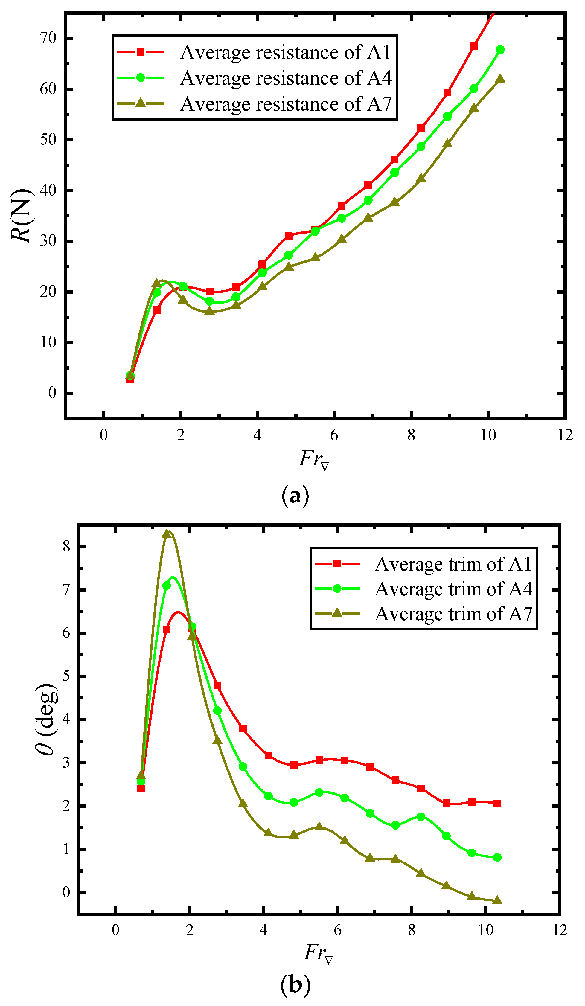
3.2. Effects of the Position of the Center of Gravity on the Porpoising of the Planing Trimaran
3.3. Effects of the Moment of Inertia on the Porpoising of the Planing Trimaran
4. Analysis and Prediction of Porpoising of Planing Trimaran
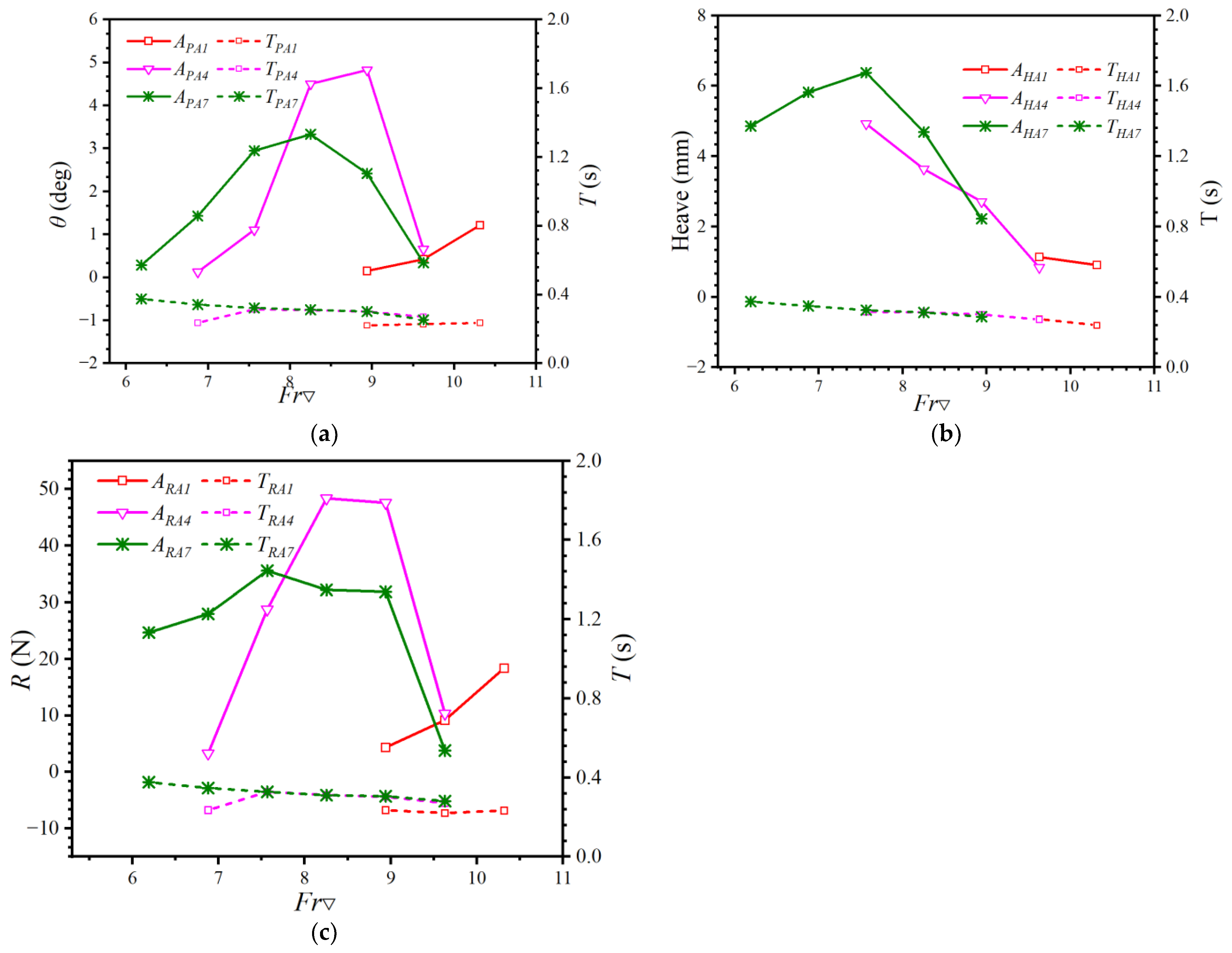
4.1. Analysis of Secondary Porpoising of Planing Trimaran
4.2. Limit Curve Method for Predicting Porpoising of the Planing Trimaran
5. Conclusions
- (1)
- Previous studies have indicated that moving the center of gravity forward increases the lower speed limit for porpoising in planing trimarans. However, this maneuver may also cause increased resistance [5,33]. In this experiment, it was found that moving the center of gravity forward not only increased the resistance of the planing trimaran, but also increased the amplitude of the porpoising. The position of the center of gravity of A4 moved forward by 16% compared to A7 and the lower speed limit for porpoising increased from to , but the maximum pitch oscillation amplitude increased by 45%. Since the amplitude of the porpoising is one of the important factors in evaluating the safety performance of a planing trimaran, this finding is very important for the future design of planing trimarans. In the future research of porpoising and the design process of planing trimarans, attention needs to be paid to the increase in the oscillation amplitude caused by the center of gravity adjustment.
- (2)
- In this experiment, after comparing the changes in the trim and resistance of the planing trimaran at different moments of inertia, it was found that although the moment of inertia had little effect on the time-domain mean of parameters, such as the trim and resistance, it had a significant effect on porpoising. The moment of inertia of A5 was reduced by 15% compared to A3, and the amplitude of the maximum pitch oscillation during porpoising was reduced by 60%. With the increase in the moment of inertia, the hull oscillation was intensified, the oscillation amplitude peak increased rapidly, and the speed point of the amplitude pulsation peak also moved slightly backward. This finding provides valuable insights and references for researching porpoising in planing trimarans. Future studies can investigate the effects of the moment of inertia on porpoising to explore the underlying mechanisms of this phenomenon in planing trimarans, and ultimately drive innovation and advancement in planing trimaran design.
- (3)
- In the towing tests of the planing trimaran, the phenomena of secondary stability and secondary porpoising were observed. That is, when the planing trimaran experienced porpoising and the speed continued to increase, the planing trimaran gradually returned to stable motion, but it eventually experienced porpoising again. Currently, to avoid damage to the hull and passenger, it is usually necessary to reduce speed to eliminate porpoising when it occurs. The discovery of secondary stability and secondary porpoising provides new ideas and methods for improving the maximum speed of planing trimarans, which is of great significance to improve the porpoising stability of planing trimarans.
- (4)
- Planing hull porpoising is caused by the dynamic imbalance of force and momentum acting on the hull. To study the porpoising of planing trimarans, accurate time–history force analysis should be conducted in a future study. Therefore, the mechanism of porpoising of the planing trimaran base in the current and other towing test results using the CFD method was proposed to analyze the force change process to investigate the porpoising mechanism. Furthermore, numerical simulations can be used to evaluate the relationship between the parametrization design of the planing trimaran (e.g., the main-hull design parameters and the tunnel and demi-hull design parameters) and porpoising. These results may provide a design reference for planing trimarans.
Author Contributions
Funding
Institutional Review Board Statement
Informed Consent Statement
Data Availability Statement
Conflicts of Interest
Nomenclature
| LOA | Length overall |
| BOA | Breadth moulded |
| B | Main-hull beam |
| β | Deadrise angle |
| HT | Tunnel height |
| BT | Tunnel beam |
| LT | Tunnel length |
| LDOA | Demi-hull length |
| HD | Demi-hull height |
| BD | Demi-hull beam |
| HS | Step height |
| An (n = 1, 2, 3, 4, 5, 6, 7) | Test Conditions |
| Time-domain mean | |
| Pulsation value | |
| T | Time |
| A | Amplitude |
| f | Frequency |
| P | Pitch |
| H | Heave |
| R | Resistance |
| S | Steady |
| Semi-U | Slight vibration of hull |
| U | Unsteady (porpoising) |
| CB | Dynamic load coefficients |
| xg | Longitudinal center of gravity position |
| Fr∇stb | Maximum sustainable Froude number |
| Fr∇ust | Critical Froude number of porpoising |
| CBstb | Maximum sustainable dynamic load coefficients |
| CBust | Critical dynamic load coefficients of porpoising |
References
- Zou, J.; Wang, Q.X.; Shi, S.Z.; Zhou, J. The brief introduction of high-speed trimaran planing hull and the preliminary study of the longitudinal stability. In Applied Mechanics and Materials; Trans Tech Publications Ltd.: Zurich, Switzerland, 2012; pp. 559–564. [Google Scholar]
- Jiang, Y.; Sun, H.; Zou, J.; Hu, A.; Yang, J. Analysis of tunnel hydrodynamic characteristics for planing trimaran by model tests and numerical simulations. Ocean Eng. 2016, 113, 101–110. [Google Scholar] [CrossRef]
- Mahdi Sajedi, S.; Ghadimi, P.; Sheikholeslami, M.; Ghassemi, M.A. Experimental and numerical analyses of wedge effects on the rooster tail and porpoising phenomenon of a high-speed planing craft in calm water. Proc. Inst. Mech. Eng. Part C J. Mech. Eng. Sci. 2019, 233, 4637–4652. [Google Scholar] [CrossRef]
- Roshan, F.; Dashtimanesh, A.; Bilandi, R.N. Hydrodynamic characteristics of tunneled planing hulls in calm water. Brodogr. Teor. Praksa Brodogr. Pomor. Teh. 2020, 71, 19–38. [Google Scholar] [CrossRef]
- Faltinsen, O.M. Hydrodynamics of High-Speed Marine Vehicles; Cambridge University Press: Cambridge, UK, 2005. [Google Scholar]
- Blount, D.L.; Codega, L.T. Dynamic stability of planing boats. Mar. Technol. SNAME News 1992, 29, 4–12. [Google Scholar] [CrossRef]
- Savitsky, D. Hydrodynamic design of planing hulls. Mar. Technol. SNAME News 1964, 1, 71–95. [Google Scholar] [CrossRef]
- Katayama, T.; Ikeda, Y. Development of Experimental Performance Estimation Methods for High-Speed Planing Hulls. In Proceedings of the Fifth International Forum on Aluminum Ships, Tokyo, Japan, 11–13 October 2005. [Google Scholar]
- Katayama, T.; Ikeda, Y. Hydrodynamic forces acting on porpoising craft at high-speed. J. Ship Ocean Technol. 1999, 3, 17–26. [Google Scholar]
- Celano, T. The prediction of porpoising inception for modern planing craft. SNAME Trans. 1998, 106, 269–292. [Google Scholar]
- Faltinsen, O.; Sun, H. Dynamic Behaviour of Semi-Displacement and Planning Vessels in Calm Water and Waves. In Proceedings of the IX High Speed Marine Vehicles, Naples, Italy, 5–27 May 2011. [Google Scholar]
- Ghadimi, P.; Sajedi, S.M.; Tavakoli, S. Experimental study of the wedge effects on the performance of a hard-chine planing craft in calm water. Sci. Iran. 2019, 26, 1316–1334. [Google Scholar] [CrossRef]
- Zou, J.; Lu, S.; Sun, H.; Zan, L.; Cang, J. Experimental Study on Motion Behavior and Longitudinal Stability Assessment of a Trimaran Planing Hull Model in Calm Water. J. Mar. Sci. Eng. 2021, 9, 164. [Google Scholar] [CrossRef]
- Yuan, Y.; Wang, C. Study on the Porpoising Phenomenon of High-Speed Trimaran Planing Craft. In Proceedings of the International Conference on Offshore Mechanics and Arctic Engineering, Madrid, Spain, 17–22 June 2018; p. V002T08A034. [Google Scholar]
- Kazemi, H.; Doustdar, M.M.; Najafi, A.; Nowruzi, H.; Ameri, M.J. Hydrodynamic performance prediction of stepped planing craft using CFD and ANNs. J. Mar. Sci. Appl. 2021, 20, 67–84. [Google Scholar] [CrossRef]
- Yi, J.; Hanbing, S.; Jing, Z.; Dongmei, Y.; Ankang, H. Influence of Angle Variable Stern Flap on# br# Resistance Performance of Stepped Planing Hull. J. Shanghai Jiaotong Univ. 2017, 51, 320. [Google Scholar]
- Zou, J.; Lu, S.; Jiang, Y.; Sun, H.; Li, Z. Experimental and numerical research on the influence of stern flap mounting angle on double-stepped planing hull hydrodynamic performance. J. Mar. Sci. Eng. 2019, 7, 346. [Google Scholar] [CrossRef]
- Mansoori, M.; Fernandes, A.C. The interceptor hydrodynamic analysis for controlling the porpoising instability in high speed crafts. Appl. Ocean Res. 2016, 57, 40–51. [Google Scholar] [CrossRef]
- Avci, A.G.; Barlas, B. An experimental investigation of interceptors for a high speed hull. Int. J. Nav. Archit. Ocean Eng. 2019, 11, 256–273. [Google Scholar] [CrossRef]
- Karimi, M.H.; Seif, M.S.; Abbaspoor, M. An experimental study of interceptor’s effectiveness on hydrodynamic performance of high-speed planing crafts. Pol. Marit. Res. 2013, 20, 21–29. [Google Scholar] [CrossRef]
- Masumi, Y.; Nikseresht, A.H. Comparison of numerical solution and semi-empirical formulas to predict the effects of important design parameters on porpoising region of a planing vessel. Appl. Ocean Res. 2017, 68, 228–236. [Google Scholar] [CrossRef]
- Samuel, S.; Mursid, O.; Yulianti, S.; Kiryanto, K.; Iqbal, M. Evaluation of interceptor design to reduce drag on planing hull. Brodogr. Teor. Praksa Brodogr. Pomor. Teh. 2022, 73, 93–110. [Google Scholar] [CrossRef]
- Suneela, J.; Sahoo, P. Numerical investigation of interceptor effect on seakeeping behaviour of planing hull advancing in regular head waves. Brodogr. Teor. Praksa Brodogr. Pomor. Teh. 2021, 72, 73–92. [Google Scholar]
- Sahin, O.S.; Kahramanoglu, E.; Cakici, F.; Pesman, E. Control of dynamic trim for planing vessels with interceptors in terms of comfort and minimum drag. Brodogr. Teor. Praksa Brodogr. Pomor. Teh. 2023, 74, 1–17. [Google Scholar] [CrossRef]
- Martin, M. Theoretical determination of porpoising instability of high-speed planing boats. J. Ship Res. 1978, 22, 32–53. [Google Scholar] [CrossRef]
- Sun, H.; Faltinsen, O.M. Predictions of porpoising inception for planing vessels. J. Mar. Sci. Technol. 2011, 16, 270–282. [Google Scholar] [CrossRef]
- Day, J.P. Planing Boat Porpoising-A Study of the Critical Boundries for a Series of Prismatic Hulls. Bachelor’s Thesis, Webb Institute of Naval Architecture, Glen Cove, NY, USA, 1952. [Google Scholar]
- Katayama, T. Mechanism of porpoising instabilities for high-speed planing craft. In Proceedings of the The Sixth ISOPE Pacific/Asia Offshore Mechanics Symposium, Vladivostok, Russia, 12–16 September 2004. [Google Scholar]
- Ikeda, Y.; Katayama, T. Porpoising oscillations of very-high-speed marine craft. Philos. Trans. R. Soc. London. Ser. A Math. Phys. Eng. Sci. 2000, 358, 1905–1915. [Google Scholar] [CrossRef]
- Hong, L. Real-Time Numerical Prediction Method of “Dolphin Motion” High Speed Planning Craft. J. Shanghai Jiaotong Univ. 2014, 48, 106. [Google Scholar]
- Clement, E.P.; Blount, D.L. Resistance tests of a systematic series of planing hull forms. Trans. Sname 1963, 71, 491–579. [Google Scholar]
- Almeter, J.M. Resistance prediction of planing hulls: State of the art. Mar. Technol. SNAME News 1993, 30, 297–307. [Google Scholar] [CrossRef]
- Ma, W.; Sun, H.; Sun, H.; Zou, J.; Zhuang, J. Test studies of the resistance and seakeeping performance of a trimaran planing hull. Pol. Marit. Res. 2015, 22, 22–27. [Google Scholar] [CrossRef]














| Main Size | Parameter Notation | Parameter Value |
|---|---|---|
| Length overall | LOA (mm) | 1300.00 |
| Breadth moulded | BOA (mm) | 470.00 |
| Main-hull beam | B (mm) | 230.00 |
| Deadrise angle | β (deg) | 17.00 |
| Tunnel height | HT (mm) | 34.00 |
| Tunnel beam | BT (mm) | 93.21 |
| Tunnel length | LT (mm) | 370.00 |
| Demi-hull length | LDOA (mm) | 320.00 |
| Demi-hull height | HD (mm) | 22.80 |
| Demi-hull beam | BD (mm) | 8.80 |
| Step height | HS (mm) | 5.00 |
| Model scale | λ | 10 |
| Main Feature | Unit Type | Value (Range) | Accuracy |
|---|---|---|---|
| Length of the tank (m) | -- | 510 | -- |
| Width of the tank (m) | -- | 6.5 | -- |
| Water depth of the tank (m) | -- | 5 | -- |
| Density of towing tank water (kg/m3) | -- | 12.07 | -- |
| Kinematic viscosity (10−7 m2/s) | -- | 999.38 | -- |
| Temperature of water (°C) | -- | 13℃ | -- |
| Carriage system (m/s) | non-standard | 0~25 | 0.1% |
| Dynamometry sensor | U3B1-50K-B | 50 kg | 0.01 kg |
| Electronic angle sensor | 02111102-000 | ±60° | 0.02° |
| Cable-extension displacement sensor | CLMD2-AJ1A8P01500 | 500 mm | 0.1% |
| Inertial measurement units (IMU) | IMV610H | Pith: ±60° Roll: ±180° | dynamic accuracy <0.3° |
| Electronic hoist scale | DR150 | 0~150 kg | 0.02 kg |
| Rotational inertia measurement instrument | ZGT-2000 | <500 kg | <1% |
| Cases | Displacement | Gravity Center (GX, GY, GZ) | Moment of Inertia (Iyy) |
|---|---|---|---|
| A1 | 10.04 kg | (400, 0, 90) mm | 1.200 kg·m2 |
| A2 | (400, 0, 90) mm | 0.987 kg·m2 | |
| A3 | (350, 0, 90) mm | 1.064 kg·m2 | |
| A4 | (350, 0, 90) mm | 1.198 kg·m2 | |
| A5 | (350, 0, 90) mm | 0.903 kg·m2 | |
| A6 | (300, 0, 90) mm | 1.020 kg·m2 | |
| A7 | (300, 0, 90) mm | 1.190 kg·m2 |
| Prefix and Subscript | Value Definition | Representational Meaning |
|---|---|---|
| M | T | Time |
| A | Amplitude | |
| f | Frequency | |
| X | P | Pitch |
| H | Heave | |
| R | Resistance | |
| Y | A1, A2, …, A7 | Cases no. |
| Z | 01, 02, …, 15 | Speed (m/s) |
| Speed (m/s) | Fr∇ | A1 | A2 | A5 | A3 | A4 | A6 | A7 |
|---|---|---|---|---|---|---|---|---|
| 8 | 5.47 | S | S | S | S | S | S | S |
| 9 | 6.15 | S | S | S | S | S | S | S |
| 10 | 6.83 | S | S | S | S | S | U | U |
| 11 | 7.52 | S | S | Semi-U | U | U | U | U |
| 12 | 8.20 | S | S | S | U | U | U | U |
| 13 | 8.88 | U | S | S | S | U | U | U |
| 14 | 9.57 | U | S | U | S | S | S | S |
| 15 | 10.25 | U | Semi-U | U | U | S | S | S |
| Cases | B(m) | xg | CLBstb | CLBust | ||||
|---|---|---|---|---|---|---|---|---|
| A2 | 0.23 | 0.40 | 8.88 | 9.57 | 0.022461 | 0.019367 | 0.012915 | 0.011136 |
| A3 | 0.23 | 0.35 | 6.83 | 7.52 | 0.037958 | 0.031371 | 0.024944 | 0.020615 |
| A6 | 0.23 | 0.30 | 6.15 | 6.83 | 0.046862 | 0.037958 | 0.035927 | 0.029101 |
Disclaimer/Publisher’s Note: The statements, opinions and data contained in all publications are solely those of the individual author(s) and contributor(s) and not of MDPI and/or the editor(s). MDPI and/or the editor(s) disclaim responsibility for any injury to people or property resulting from any ideas, methods, instructions or products referred to in the content. |
© 2023 by the authors. Licensee MDPI, Basel, Switzerland. This article is an open access article distributed under the terms and conditions of the Creative Commons Attribution (CC BY) license (https://creativecommons.org/licenses/by/4.0/).
Share and Cite
Zan, L.; Sun, H.; Lu, S.; Zou, J.; Wan, L. Experimental Study on Porpoising of a High-Speed Planing Trimaran. J. Mar. Sci. Eng. 2023, 11, 769. https://doi.org/10.3390/jmse11040769
Zan L, Sun H, Lu S, Zou J, Wan L. Experimental Study on Porpoising of a High-Speed Planing Trimaran. Journal of Marine Science and Engineering. 2023; 11(4):769. https://doi.org/10.3390/jmse11040769
Chicago/Turabian StyleZan, Liru, Hanbing Sun, Shijie Lu, Jin Zou, and Lei Wan. 2023. "Experimental Study on Porpoising of a High-Speed Planing Trimaran" Journal of Marine Science and Engineering 11, no. 4: 769. https://doi.org/10.3390/jmse11040769
APA StyleZan, L., Sun, H., Lu, S., Zou, J., & Wan, L. (2023). Experimental Study on Porpoising of a High-Speed Planing Trimaran. Journal of Marine Science and Engineering, 11(4), 769. https://doi.org/10.3390/jmse11040769

