Next Article in Journal
Benthic Species and Habitats
Next Article in Special Issue
A New Coastal Crawler Prototype to Expand the Ecological Monitoring Radius of OBSEA Cabled Observatory
Previous Article in Journal
Atmosphere-Ocean Processes Governing Inflow to the Northern Caribbean Sea
Previous Article in Special Issue
Lightweight Underwater Target Detection Algorithm Based on Dynamic Sampling Transformer and Knowledge-Distillation Optimization
 
 
Font Type:
Arial Georgia Verdana
Font Size:
Aa Aa Aa
Line Spacing:
Column Width:
Background:
Article

Path Planning in the Case of Swarm Unmanned Surface Vehicles for Visiting Multiple Targets

by
Charis Ntakolia
1,2,* and
Dimitrios V. Lyridis
2
1
Department of Aeronautical Studies, Sector of Materials Engineering, Machining Technology and Production Management, Hellenic Air Force Academy, Dekeleia Base, 13672 Acharnes, Greece
2
Laboratory for Maritime Transport, National Technical University of Athens, 15780 Athens, Greece
*
Author to whom correspondence should be addressed.
J. Mar. Sci. Eng. 2023, 11(4), 719; https://doi.org/10.3390/jmse11040719
Submission received: 10 February 2023 / Revised: 24 March 2023 / Accepted: 25 March 2023 / Published: 26 March 2023
(This article belongs to the Special Issue Applications of Marine Vehicles in Maritime Environments)

Abstract

In this study, we present a hybrid approach of Ant Colony Optimization algorithm (ACO) with fuzzy logic and clustering methods to solve multiobjective path planning problems in the case of swarm Unmanned Surface Vehicles (USVs). This study aims to further explore the performance of the ACO algorithm by integrating fuzzy logic in order to cope with the multiple contradicting objectives and generate quality solutions by in-parallel identifying the mission areas of each USV to reach the desired targets. The design of the operational areas for each USV in the swarm is performed by a comparative evaluation of three popular clustering algorithms: Mini Batch K-Means, Ward Clustering and Birch. Following the identification of the operational areas, the design of each USV path to perform the operation is performed based on the minimization of traveled distance and energy consumption, as well as the maximization of path smoothness. To solve this multiobjective path planning problem, a comparative evaluation is conducted among ACO and fuzzy inference systems, Mamdani (ACO-Mamdani) and Takagi–Sugeno–Kang (ACO-TSK). The results show that depending on the needs of the application, each methodology can contribute, respectively. ACO-Mamdani generates better paths, but ACO-TSK presents higher computation efficiency.

1. Introduction

Robotic vehicles are integrated into the modern style of life to undertake challenging tasks, such as monitoring or navigation assistance [1]. An Unmanned Surface Vehicle (USV) is a type of autonomous robotic vehicle with various applications, including ocean monitoring [2,3], safety and rescuing [4] and swarm approaches combined with Unmanned Aircraft Vehicles (UAVs) and/or Unmanned Ground Vehicles (UGVs) for monitoring. The increased use and application of USVs impose the need for more autonomous functions/decisions in dynamic and complex environments without any human interference, such as the ability to find an optimal route and to avoid detected obstacles in real time [5].
Path planning problems can be found in various domains, such as air transportation and UAVs [6,7,8,9], robotic vehicles and USVs [5] and even for smart assistive systems for individuals with disabilities [1,10,11]. To address the USV path planning problem in complex and dynamic environments, multiple factors/objectives should be considered for generating an optimal path. Traditional approaches for path planning are based on single-objective metaheuristics for finding the shortest path or the most energy efficient or safest path, among others. For instance, A* [12,13], Dijkstra [14] and Ant Colony Optimization (ACO) [15,16], among others, have been used to address the aforementioned single-objective path planning problems.
The path planning of unmanned or autonomous surface vehicles (USVs/ASVs) aims to use optimization algorithms to determine optimal paths/trajectories for a specific operation. The problem can be defined as a route identification between two positions in a dynamic space. The target is to find a collision-free route, physically feasible within spatial constraints and certain optimization criteria/objectives [17]. The path planning approaches can be categorized to global and local path planning and to single- or multiobjective optimization. In general, classical approaches include visibility graphs and Voronoi diagrams [18], graph-based algorithms, such as Dijkstra and A*, or Potential Fields [19]. On the other hand, intelligent path planning is based on Deep Reinforcement Learning [20], evolutionary algorithms, artificial intelligence or fuzzy logic [17,19,21].
In the case of single-objective unmanned or autonomous surface vehicles’ path planning, commonly used objectives include the minimization of traveled distance, traveled time and energy consumption or the maximization of safety [17]. ACO has been applied for obstacle avoidance [22], hybridized with artificial potential field for adaptive early warning [23]; for global path planning combined with quantum computing [24], with Bayesian network [25] and with immune algorithm [26]; and for collision avoidance [16]. A* was used as a stand-alone or hybrid approach in maritime environments with dynamic obstacles and ocean currents [13], as well as for path smoothing [12,27]. Other studies propose the use of a multilayer path planner for obstacle avoidance [28] and Voronoi diagram [29] or Particle Swarm Optimization algorithm (PSO) [30] for finding energy efficient paths.
When it comes to path planning with multiple objectives of unmanned or autonomous surface vehicles, limited studies have been proposed. The majority of them are based on common approaches, such as scalarization and Pareto optimality [31]. On the other hand, few methodologies employ fuzzy logic (FL) or develop novel approaches to address efficiently in terms of computational effort in the multiobjective path planning problem [32]. In the literature, the scalarization of the objective terms by using mostly the weighted sum has been proposed for multiobjective USV path planning to combine time, distance and energy consumption. To solve the aforementioned modeling, a hybrid A* algorithm was developed [33]. In another study [34], the Pareto optimality was adopted with a particle swarm optimization algorithm for path planning of USVs with current effects. The Convention on the International Regulations for Preventing Collisions at Sea (COLREGs) with a hierarchical inclusion of constraints were integrated to form a multiobjective optimization framework. To solve this problem, a hierarchical multiobjective particle swarm optimization (H-MOPSO) algorithm was proposed for ASVs [35]. In ref. [36], FL has been integrated to the ACO algorithm for finding an optimal path among multiple objectives, distance, energy consumption and path smoothness. Another study on ASVs employs fuzzy decision making in a hybrid global–local path planning for collision avoidance by using the Theta*-like heuristic [37]. A comparative study [32] among FL and Root Mean Square Error evaluation criterion was conducted for the novel swarm intelligence algorithm (SIGPA) [38]. Another comparative study for ASVs focuses on local path planners for monitoring applications including A*, Potential Fields (PF), Rapidly Exploring Random Trees* (RRT*) and variations of the Fast Marching Method (FMM) [39].
The current literature on path planning for a swarm of USVs includes the use of the improved adaptive adjustable fast marching square method to meet the COLREGs requirements [40] and for collision avoidance in restricted waters [41]; the B-spline data framing approach for smooth operational area design [42]; a negotiation protocol based on ad hoc networks to solve the collision avoidance problem in the case of a swarm of USVs [43]; the particle swarm optimization based on obstacle dimension to optimize defense paths of USVs to intercept intruders in the context of a collaborative defense with USVs and UAVs [44]; and the Improved Salp Swarm Algorithm for a cooperative path planning of multiple USVs in the case of search and coverage in water environments [45]. Most approaches of swarm unmanned surface vessels for search and hunting are based on swarm intelligence, such as the PSO algorithm, ABC algorithm and ACO algorithm [46]. Based on ref. [46], ACO, over the other compared algorithms, has faster convergence and higher robustness and parallelism, with simple mathematical operations. However, it can easily fall to local optima.
This study focuses on the problem of multiobjective path planning of a USV swarm in the case of covering an operational area and visiting multiple points of interests. The proposed methodology consists of hierarchical steps (Figure 1). The problem is divided into two subproblems: (i) The management of the swarm by identifying collision-free suboperational areas for each USV in the swarm. This is implemented through a comparative evaluation of popular clustering algorithms. (ii) The design of the optimal path for each USV to implement the operation with respect to multiple objectives. To address this problem, a comparative evaluation of ACO enhanced with fuzzy logic is conducted.
Specifically, this study takes advantage of the state-of-the-art ACO-FS algorithm proposed in [36], enhanced with fuzzy logic to address the multiobjective path planning problem. To overcome the limitations of [36] and expand the methodology to a swarm of USVs to cover a certain area and visit multiple targets, this study employs a clustering approach to group the targets based on weather and geolocation data. For the clustering, three popular clustering methods, namely the Mini Batch K-Means, Ward’s Hierarchical Agglomerative Clustering and Birch, were compared and evaluated based on the aggregation of three clustering evaluation methods. Then, a comparative evaluation of two popular fuzzy inference systems (FIS), Mamdani and Takagi–Sugeno–Kang (TSK), follows. Therefore, through a comparative evaluation process, the best suitable FIS and clustering algorithm for this application is identified (Figure 1).

2. Materials and Methods

In this section, the proposed methodology is presented. Following the hierarchy of the methodological steps in Figure 1, Section 2.1 is dedicated to the presentation of the swarm problem and the clustering approach used to address it. The multiobjective path planning problem is presented in Section 2.2. Specifically, the objective terms are described with their formulation. Then, in Section 2.3, the proposed optimization algorithm ACO is presented, followed by the presentation of the FISs that are employed for generating balancing paths among the objective terms.

2.1. Swarm Approach of USV Path Planning Problem

To solve the swarm USV path planning problem, various clustering methods, namely Mini Batch K-Means, Ward’s Hierarchical Agglomerative Clustering (Ward) and Birch, are tested and evaluated through a comparative evaluation process (described in Section 3) in order to identify the most effective one for this application. Mini Batch K-Means is an alternative clustering method to the K-Means algorithm. The advantages of this method include a reduction in the computational effort by using small random batches of a fixed size instead of all of the dataset in each iteration [47]. Ward’s Hierarchical Agglomerative Clustering Method belongs to the family of hierarchical agglomerative clustering. It is based on the criterion of the sum of squares to produce groups that minimize within-group dispersion at each binary fusion [48]. Balanced Iterative Reducing and Clustering using Hierarchies (Birch) is an unsupervised data mining algorithm used to perform hierarchical clustering. It generates a compact summary that retains as much distribution information as possible, and then clusters the data summary instead of the original dataset [49,50].
The clustering of the targets that need to be visited in an area by the swarm of the USVs is performed based on the geospatial coordinates and the wind information (velocity and direction). To this end, targets with similar characteristics are grouped. The number of clusters is defined by the number of the USVs that form the swarm, so that each USV will perform a mission.

2.2. Objective Terms of the USV Path Planning Problem

In this study, the multiobjective path planning problem with multiple targets is addressed in the case of a swarm of USVs. The formulation of the problem is based on [32,36]. The goal is to find the optimal path to cover the specified areas by minimizing (i) the distance (1); (ii) the brut turns along the route (2); and (iii) the energy consumption due to current velocity and direction (3).
-
Term 1 for the minimization of traveled distance.
m i n D = i N j N : ( i , j ) ε d i j = i N j N : ( i , j ) ε ( ( j x i x ) 2 + ( j y i y ) 2 )      
where N and ε are the sets of nodes and the edges of the graph, respectively; d i j is the Euclidean distance metric between node i and node j . i x ,   j x and i y ,   j y are the geographical coordinates of nodes i and j on horizontal and vertical axes, respectively.
-
Term 2 for the minimization of brute changes along the path (Figure 2).
m i n θ = i N j N : ( i , j ) ε k N : ( j , k ) ε θ i j k
where θ i j k is the angle that is formed from the edges ( i , j ) and ( j , k ) .
-
Term 3 for the minimization of the fuel consumption of the USV.
m i n F C = i N j N : ( i , j ) ε d i j V + v c f
where f is the fuel consumption per unit time ( k g / h ) , and V and v c are the velocities of the USV and of the currents, respectively. The term is included in the model, since if a USV is moving against the currents, more energy is needed to retain a certain velocity during a route [24,32,34,36,51,52].

2.3. Ant Colony Optimization Algorithm with Fuzzy Logic

The ACO algorithm is one of the most popular heuristic algorithms used to solve path planning problems formed as graphs for finding the shortest path [15]. To adapt the ACO algorithm to solve the above-defined multiobjective path planning problem for USVs, ACO is enhanced with fuzzy logic. This enables the ability to evaluate the impact of multiple objectives and identify the optimal solution. ACO is inspired by the operation of ants to trace their food by depositing pheromones along the path [53]. ACO operation consists of two main steps: in the first step, the transition probability, p i j , of each edge in the graph is calculated based on (4), and in the second step, the equation (5) is used to update the pheromones. This is achieved by recalculating the pheromone deposit, τ i j , on each edge for the ant population P :
p i j = ( τ i j ) γ ( η i j ) β ( k , l ) ε τ k l
τ i j = ( 1 ρ ) τ i j + ρ a P Q L a
where ρ [ 0 , 1 ] is the evaporation coefficient, η i j = 1 d i j where d i j is α distance metric, γ 0 and β 1 are the parameters to control the influence of τ i j ( t ) and η i j , respectively. L a is the cost of the path of ant a and Q is a constant that is associated with the remaining pheromone amount [53]. In the literature, in the case of single-objective optimization problems, the L a corresponds to the objective cost/value. For example, in shortest distance problems, the cost is the length of the path found by the ant a . Bellow, more details are given for the calculation of this cost in our study.
The pseudocode of the ACO algorithm is shown below in Algorithm 1. In the initialization phase I n i t i a l i z e P h e r o m o n e V a l u e s ( τ ) , the pheromone values ( τ i j ) are all initialized to a constant value c > 0 at the start of the algorithm. In the phase of the solution construction, C o n s t r u c t S o l u t i o n ( τ ) , the construction of a solution starts with an empty partial solution s p =   . Then, at each construction step, the current partial solution s p is extended by adding a feasible solution component based on the transition probabilities and the heuristic information (4). Moreover, the pheromone update process follows A p p l y P h e r o m o n e U p d a t e ( τ ,   G i t e r ,   s * ) , based on ( 5 ).
Algorithm 1: ACO pseudoalgorithm
Input: variables of ACO
I n i t i a l i z e P h e r o m o n e V a l u e s ( τ )
s * N U L L // current best solution does not exist
while termination criteria are not met do
G i t e r // the set of the path at the current iteration is empty
for  j = 1 , ,   n a  do
   s C o n s t r u c t S o l u t i o n ( τ )
  if  ( f ( s ) < f ( s * ) ) or s * i s   N U L L  then s * s
   G i t e r G i t e r { s * }
end for
A p p l y P h e r o m o n e U p d a t e ( τ ,   G i t e r ,   s * )
end while
Output: current best solution s *
In this study, a path planning problem formulated as a multiobjective optimization problem is investigated. To this end, the cost of the path, L a , used in (5), is defined in a way to reflect the objective cost derived from all the objectives ((1), (2) and (3)) of the problem presented in Section 2.1. Therefore, to calculate the L a cost of the path of each ant, two popular FIS systems are employed. The FISs are used to aggregate the impact of the objective terms into a single value derived from the defuzzification process. The hybridization of ACO with Mamdani or TSK FISs has been successfully implemented in our previous studies, where more details on this process can be found [32,52].

2.3.1. FIS1 1: Mamdani Fuzzy Inference System (ACO-Mamdani)

In the hybridization of ACO with Mamdani FIS, the defuzzification value of the Mamdani FIS is used as the cost of the path ( L a ). This is because the defuzzification value denotes the optimality of the generated path after the aggregation of the objective terms and the defined fuzzy sets and rules. For this study, the following fuzzy membership functions (Figure 2) corresponding to each objective term and fuzzy rules (Table 1) are defined and used for the Mamdani FIS.

2.3.2. FIS 2: Takagi–Sugeno–Kang Fuzzy Inference System (ACO-TSK)

In the second approach, where the ACO is hybridized with TSK FIS as the path cost ( L a ), the value of the TSK FIS is used. Similarly to Mamdani FIS, this value denotes the optimality of the generated path. TSK FIS calculates a crisp output value by using a weighted average of the fuzzy rules’ consequent [54]. This makes the TSK FIS a less computationally demanding approach compared with Mamdani. For the TSK FIS, the same membership functions and rules (Figure 3, Table 1) are adopted.

3. Evaluation Methodology

3.1. Experimental Setup

Two case studies (CSs) in a simulation environment are performed to evaluate the presented methodology for a swarm of 3 USVs with the same characteristics by comparing the effectiveness of the clustering algorithms and the selected FISs in the specific application. To this end, a fully connected graph was randomly generated with 25 nodes. For each node, the values of current velocity and direction were set based on Gaussian distribution, a common approach to develop data in simulated environments [55]. The current velocity was set from 1 and 3 m/s. Moreover, the direction was set from 0 to 360 degrees clockwise. Nodes with yellow correspond to lower values of current velocity (close to 1 m/s), while dark blue nodes correspond to higher values of current velocity (close to 3 m/s). It is assumed that all the USVs have the necessary fuel and energy to perform the tasks. Regarding the parameter settings of ACO, the iterations were set to 20 with 5 size population. The evaporation coefficient was set to 0.5, and Q was set to 1. Regarding the USV characteristics, F was set to 2 kg / h and V to 3 m/s. The experiments were implemented in Python using Microsoft Windows 10 Environment operational system, with AMD Ryzen 7 3800X 8-Core Processor at 3.89 GHz and 32GB RAM. Figure 4 illustrates the evaluation steps followed in this study.

3.2. Comparative Evaluation of Clustering Algorithms

The evaluation of the clustering methods is performed based on the aggregation of 3 evaluation methods, adopted from [56]. The chosen clustering evaluation criteria are the Silhouette Coefficient, the Calinski–Harabasz Index (CHI) and the Davies–Bouldin Index. The normalized scores of the evaluation criteria are summed for calculating a cumulative evaluation score (Figure 5).
Silhouette Coefficient is an evaluation metric that calculates the goodness of a clustering technique, and its value ranges from −1 to 1. The higher value 1 shows that the means clusters are well apart from each other and clearly distinguished. The lower value −1 shows that the means clusters are wrongly assigned, while the value 0 shows that the distance between the means clusters is not significant. For each point i, the distance to its own cluster centroid a i and the distance to the nearest neighboring centroid b i are calculated. The Silhouette score for the point i is calculated based on (6):
silhouette   score = ( b i a i ) m a x ( a i ,   b i )
The Calinski–Harabasz Index, also known as the Variance Ratio Criterion, measures the similarity of a point i with its own cluster (cohesion) compared with other clusters (separation). The cohesion is calculated based on the distances from the data points within the cluster to their cluster centroid, while the separation is calculated based on the distance of the cluster centroids from the global centroid. A high score indicates better cluster compactness.
The cohesion, instracluster dispersion, or within-group sum of squares (WGSS) is calculated by the following expression (7), where n i is the number of data points/elements in cluster i, X j i is the j-th element of the cluster I and C i the centroid of cluster i, and K is the number of clusters:
WGSS = i = 1 K j = 1 n i || X j i C i || 2
The separation, intercluster dispersion, or between-group sum of squares (BGSS) is calculated by the following expression (8), where C is the centroid of the dataset (barycenter):
BGSS = i = 1 K n i × || C i C ||
The Calinski–Harabasz Index is defined as shown in (9), where N is the total number of data points/elements in the dataset:
CHI = B G S S K 1 W G S S N K = B G S S W G S S × N K K 1  
The Davies–Bouldin Index shows the average similarity of clusters, where similarity is a measure that relates cluster distance to cluster size. Comparing clustering algorithms, lower values of DBI means that a better separation between the clusters has been achieved. This reflects a function of intracluster dispersion and separation between the clusters.
The intracluster dispersion of cluster i is calculated by (10), where T i is the number of elements in cluster i, X j is the j-th element in the cluster i, C i is the centroid of cluster i and q is a predefined value, usually set to 2 to calculate the Euclidean distance:
S i = [ 1 T i j = 1 T i | X j C i | q ] 1 q
The separation measure is calculated based on (11), where K is the total number of clusters, c k i and c k j are the k-th component of n-dimensional centroid C i of cluster i and C j of cluster j, respectively, and p, similarly to q in (10), is a predefined value, usually set to 2 to calculate the Euclidean distance:
M i j = [ k = 1 K | c k i c k j | p ] 1 p
The DBI is calculated based on the following Equation (12), where
D ¯ = 1 K i = 1 K j = 1 j i K m a x { S i + S j M i j }

3.3. Comparative Evaluation of Path Planning Algorithms

For the evaluation of the path planning of the swarm of USVs, the evaluation criteria are the objective terms.
The evaluation criteria among the solutions are as follows:
  • The objective criteria: (i) distance; (ii) brute turns; and (iii) fuel consumption;
  • Path quality based on the defuzzification value of Mamdani and TSK FISs;
  • The computing time;
  • The relative percentage deviation (RPD) adopted by [57,58]:
    R P D = | B e s t s o l A l g s o l | B e s t s o l 100 %
  • The relative deviation index (RDI) adopted by [57,58]:
    R D I = | B e s t s o l A l g s o l | | B e s t s o l W o r s t s o l | 100 %
where B e s t s o l and W o r s t s o l are the best and the worst solutions, respectively; A l g o s o l is the path quality value of the examined solution. Based on Equations (13) and (14), it is obvious that the lowest values of RPD and RDI indicate the preferable solution based on the satisfaction of objective criteria.
Each case study was run 20 times. For the proposed ACO variations, the population size was set to 10 ants and the number of iterations to 20. Moreover, the evaporation coefficient ρ was set to 0.5, and Q was set to 1. The case studies were designed based on the evaluation methodology adopted in related works [13,22,38,59]. The experiments and the algorithms were implemented in Python 3.10, on Microsoft Windows 10 Environment operational system, with AMD Ryzen 7 3800X 8-Core Processor at 3.89 GHz and 32GB RAM.

4. Results and Discussion

4.1. Results

The clustering results of the two case studies (CSs) are illustrated bellow in Figure 6 and Figure 7. In these figures, the color of the points of interest represents the velocity of the currents in this node. The lighter color (e.g., yellow) indicates a lower velocity value. For better visualization, the edges are not depicted, and each cluster is shown in different color and represents the operational area for each USV. In the CS1, all the clustering algorithms achieved the same result (Figure 6), since the nodes were scattered and the areas based on the clustering features were discrete enough. For this reason, a clustering evaluation was not performed. On the other hand, for more complex areas, such as the one of case study 2, the Mini Batch K-Means and Ward’s Hierarchical Agglomerative Clustering generated the same clusters with a better evaluation score compared with Birch (Figure 7, Table 2). It can be observed that the clusters constructed by Mini Batch K-Means and Ward are more balanced in terms of distance, current velocity and number of targets that each USV has to visit in its operational area compared with Birch’s clusters.
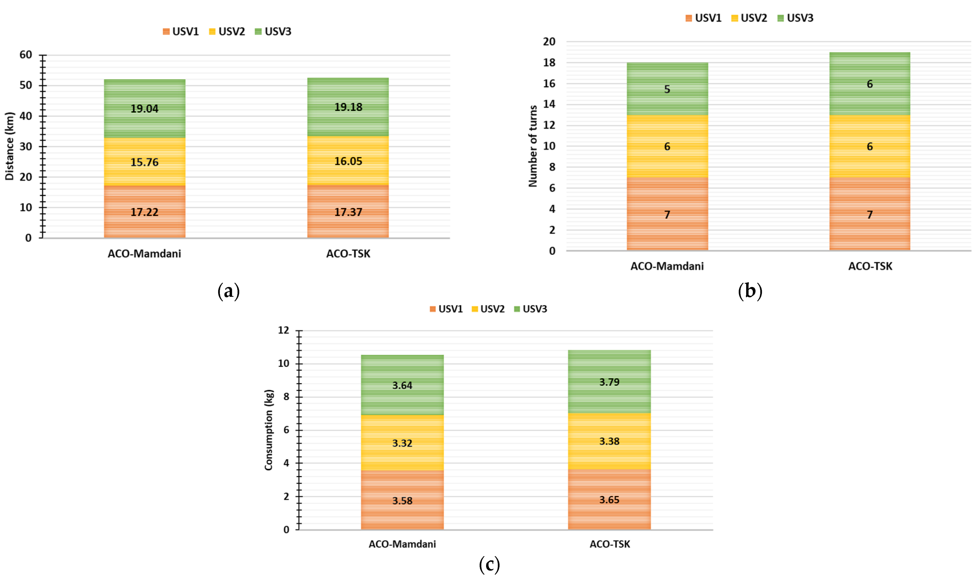
For the presented case studies, we evaluated the proposed hybrid ACO-FIS schemes. The best clustering results were used to determine the operational area of each USV. Table 3 and Table 4 show the multiobjective path planning mean results with the standard deviation for the case studies after 20 runs solved with ACO-Mamdani and ACO-TSK approaches for the swarm of USVs and the selected operational areas for each USV. We should note that all the USVs have the same characteristics and, therefore, it is not important to identify which USV will perform a certain operation. The three operational areas are declared with different colors in the Figure 6 and Figure 7. The mean results show that ACO-Mamdani is capable of generating more balanced paths (better overall path optimality in both cases, Table 4 with respect to the objective terms, while on the other hand, ACO-TSK, due to the lack of the defuzzification step, achieves lower computing times, an important factor in real-time applications. Moreover, the cumulative results over the swarm of USVs for each objective criterion and case study are depicted in Figure 8 and Figure 9, respectively. The results show the different performance of each comparative algorithm. Indeed, based on the evaluation criteria, RPD and RDI for distance (Table 5), number of turns (Table 6) and consumption (Table 7), we observe that the paths derived from ACO-Mamdani are of better quality in almost all USVs and case studies, but the difference is not that significant, making the ACO TSK an adequate option when computing time is also important. Lastly, Table 8 shows the results of the Friedman test performed over the results of the compared algorithms for each case study and for both case studies. This statistical analysis methodology was adopted as a well-recognized approach for the comparison of swarm and evolutionary algorithms [60,61,62]. Friedman tests statistically prove the different performances of the algorithms in this set of experiments.

4.2. Discussion

To sum up, the problem of multiobjective path planning of a USV swarm in the case of covering an operational area and visiting multiple points of interests can be addressed with the proposed methodology of hierarchical steps (Figure 1). The problem is divided into two subproblems: (i) the division of the initial area into collision-free operational subareas via clustering and (ii) the design of the optimal path for each USV to visit multiple targets with respect to multiple objective criteria. ACO with fuzzy logic is employed for this step.
The clustering results show that Mini Batch K-Means or Ward clustering algorithms could divide the operational area uniformly (Table 2) even in more complex weather conditions (Figure 6 and Figure 7). Indeed, both algorithms managed to find the same areas of operation with similar characteristics and the same number of targets in each area, compared with the Birch clustering algorithm that did not manage to cluster the more complex operational area effectively (Table 2, Figure 7). The cumulative evaluation criteria used to compare the effectiveness of the clustering algorithms justify the superiority of the Mini Batch K-Means and Ward over Birch, derived from the qualitative comparison shown in Figure 6 and Figure 7. Clustering algorithms have been used in the literature for addressing various applications of UAVs or GSVs when there is a need for dividing the operational area. Specifically, discussions and research on an efficient management of a swarm of UAVs conclude the use of hierarchical approaches to address complex task assignment problems, where clusters can be adopted for area allocation [63,64] or energy efficiency in a wireless network [65]. For instance, these approaches may integrate density-based clusters to find an area of maximum density of targets in the case of UAV swarm exploration [66] or to generate feasible paths among heterogeneous UAVs. These approaches can be extended to USV/ASV swarms. In our study, we aimed to adopt a similar methodology, and the results are aligned with the current literature.
The performance of both algorithms was significantly different (Table 8), with the ACO-Mamdani outperforming ACO-TSK in terms of solution optimality in both case studies (Table 4 CS1 0.82/0.80, CS2 0.75/0.66). It is proven that the ACO algorithm enhanced with Mamdani FIS is capable of balancing among the optimization criteria in order to assign the operational areas for each USV in the swarm. On the other hand, ACO-TSK presented a better computational efficiency compared with ACO-Mamdani in both cases (Table 4, CS1 3.39/3.46 ms, CS2 4.01/4.12 ms), a fact that is aligned with the literature regarding the computational efficiency of TSK FIS in solving multiobjective path planning problems in the case of a single USV [52]. Based on the results and the literature [32,36,38,67,68], Mamdani and TSK FISs can be considered as suitable solutions for real-time applications of swarm USV multiobjective path planning. Due to the advantages of Mamdani FIS, ACO-Mamdani has expressive power and interpretable rule consequents, while it can be widely used in decision support systems due to the intuitive and interpretable nature of the rules. However, it is less flexible in system design and needs more computational effort compared with ACO-TSK. ACO-TSK has advantages over Mamdani due to the weight calibration from using other algorithms, the design flexibility and the lower processing time. However, it is not as suitable as Mamdani FIS for decision making due to the lack of a defuzzification process that leads to a loss of interpretability [67,69]. Therefore, the best combination for addressing this problem depends on the needs of the application. These results are aligned with the current literature and comparative studies on intelligent path planning and fuzzy decision-making systems [52,70,71].

5. Conclusions

This study presents a methodology to address the swarm USV path planning problem for visiting multiple targets, formulated as a multiobjective optimization problem. To this end, a comparative study among two popular FISs and three popular clustering algorithms was conducted. The results show that in simple problems with highly discrete areas, in terms of weather conditions, all the clustering methods achieved similar results; however, in uniform weather data, Mini Batch K-Means and Ward presented slightly better performance based on the evaluation criteria. Regarding the performance of FISs for solving the USV path planning problem, the results are in accordance with the literature, where each FIS can be suitable depending on the need of the application. For instance, ACO enhanced with Mamdani FIS presents a better performance with respect to the quality of the solution, but on the other hand, ACO with TSK FIS decreases the computing time, which is also important in real-time applications.
The limitations of this study are the use of a simulation environment with not real weather data. To this end, future work will include the evaluation of the proposed methodology with real data for real case studies.

Author Contributions

Conceptualization, C.N.; methodology, C.N.; software, C.N.; validation, C.N.; formal analysis, C.N.; writing—original draft preparation, C.N.; writing—review and editing, C.N. and D.V.L.; visualization, C.N.; supervision, C.N.; project administration, D.V.L.; funding acquisition, D.V.L. All authors have read and agreed to the published version of the manuscript.

Funding

This paper is based on the results of the successfully completed three-year research project OPTINET. OPTINET has been co-financed by the European Regional Development Fund of the European Union and Greek national funds through the Operational Program Competitiveness, Entrepreneurship and Innovation, under the call “Research-Create-Innovate” (project code: T1EΔK-01907).

Institutional Review Board Statement

Not applicable.

Informed Consent Statement

Not applicable.

Data Availability Statement

Data are strictly used within the project but could be available upon request.

Conflicts of Interest

The authors declare no conflict of interest.

References

  1. Ntakolia, C.; Iakovidis, D.K. A Route Planning Framework for Smart Wearable Assistive Navigation Systems. SN Appl. Sci. 2021, 3, 104. [Google Scholar] [CrossRef]
  2. Vasilijević, A.; Nađ, Đ.; Mandić, F.; Mišković, N.; Vukić, Z. Coordinated Navigation of Surface and Underwater Marine Robotic Vehicles for Ocean Sampling and Environmental Monitoring. IEEE/ASME Trans. Mechatron. 2017, 22, 1174–1184. [Google Scholar] [CrossRef]
  3. Yang, T.H.; Hsiung, S.H.; Kuo, C.H.; Tsai, Y.D.; Peng, K.C.; Peng, K.C.; Hsieh, Y.C.; Shen, Z.J.; Feng, J.; Kuo, C. Development of unmanned surface vehicle for water quality monitoring and measurement. In Proceedings of the IEEE International Conference on Applied System Invention (ICASI), Chiba, Japan, 13–17 April 2018; pp. 566–569. [Google Scholar]
  4. Wilde, G.A.; Murphy, R.R. User Interface for Unmanned Surface Vehicles Used to Rescue Drowning Victims. In Proceedings of the 2018 IEEE International Symposium on Safety, Security, and Rescue Robotics (SSRR), Philadelphia, PA, USA, 6–8 August 2018; pp. 1–8. [Google Scholar]
  5. Zhou, C.; Gu, S.; Wen, Y.; Du, Z.; Xiao, C.; Huang, L.; Zhu, M. The Review Unmanned Surface Vehicle Path Planning: Based on Multi-Modality Constraint. Ocean Eng. 2020, 200, 107043. [Google Scholar] [CrossRef]
  6. Ntakolia, C.; Caceres, H.; Coletsos, J. A Dynamic Integer Programming Approach for Free Flight Air Traffic Management (ATM) Scenario with 4D-Trajectories and Energy Efficiency Aspects. Optim. Lett. 2020, 14, 1659–1680. [Google Scholar] [CrossRef]
  7. Aggarwal, S.; Kumar, N. Path Planning Techniques for Unmanned Aerial Vehicles: A Review, Solutions, and Challenges. Comput. Commun. 2020, 149, 270–299. [Google Scholar] [CrossRef]
  8. Ntakolia, C.; Lyridis, D.V. An−D Ant Colony Optimization with Fuzzy Logic for Air Traffic Flow Management. Oper. Res. Int. J. 2022, 22, 5035–5053. [Google Scholar] [CrossRef]
  9. Ntakolia, C.; Kalimeri, A.; Coletsos, J. A Two-Level Hierarchical Framework for Air Traffic Flow Management. Int. J. Decis. Support Syst. 2021, 4, 271–292. [Google Scholar] [CrossRef]
  10. Ntakolia, C.; Dimas, G.; Iakovidis, D.K. User-Centered System Design for Assisted Navigation of Visually Impaired Individuals in Outdoor Cultural Environments. Univ. Access. Inf. Soc. 2020, 21, 249–274. [Google Scholar] [CrossRef]
  11. Dimas, G.; Ntakolia, C.; Iakovidis, D.K. Obstacle Detection Based on Generative Adversarial Networks and Fuzzy Sets for Computer-Assisted Navigation. In Proceedings of the Engineering Applications of Neural Networks, Crete, Greece, 24–26 May 2019; Macintyre, J., Iliadis, L., Maglogiannis, I., Jayne, C., Eds.; Springer International Publishing: Cham, Switzerland, 2019; pp. 533–544. [Google Scholar]
  12. Singh, Y.; Sharma, S.; Sutton, R.; Hatton, D.; Khan, A. A Constrained A* Approach towards Optimal Path Planning for an Unmanned Surface Vehicle in a Maritime Environment Containing Dynamic Obstacles and Ocean Currents. Ocean Eng. 2018, 169, 187–201. [Google Scholar] [CrossRef]
  13. Song, R.; Liu, Y.; Bucknall, R. Smoothed A* Algorithm for Practical Unmanned Surface Vehicle Path Planning. Appl. Ocean Res. 2019, 83, 9–20. [Google Scholar] [CrossRef]
  14. Singh, Y.; Sharma, S.; Sutton, R.; Hatton, D. Optimal Path Planning of an Unmanned Surface Vehicle in a Real- Time Marine Environment Using a Dijkstra Algorithm. In Marine Navigation; CRC Press: Boca Raton, FL, USA, 2017; ISBN 978-1-315-09913-2. [Google Scholar]
  15. Mirjalili, S.; Song Dong, J.; Lewis, A. Ant Colony Optimizer: Theory, Literature Review, and Application in AUV Path Planning. In Nature-Inspired Optimizers: Theories, Literature Reviews and Applications; Mirjalili, S., Song Dong, J., Lewis, A., Eds.; Studies in Computational Intelligence; Springer International Publishing: Cham, Switzerland, 2020; pp. 7–21. ISBN 978-3-030-12127-3. [Google Scholar]
  16. Wang, H.; Guo, F.; Yao, H.; He, S.; Xu, X. Collision Avoidance Planning Method of USV Based on Improved Ant Colony Optimization Algorithm. IEEE Access 2019, 7, 52964–52975. [Google Scholar] [CrossRef]
  17. Vagale, A.; Oucheikh, R.; Bye, R.T.; Osen, O.L.; Fossen, T.I. Path Planning and Collision Avoidance for Autonomous Surface Vehicles I: A Review. J. Mar. Sci. Technol. 2021, 26, 1292–1306. [Google Scholar] [CrossRef]
  18. Candeloro, M.; Lekkas, A.M.; Sørensen, A.J.; Fossen, T.I. Continuous Curvature Path Planning Using Voronoi Diagrams and Fermat’s Spirals. IFAC Proc. Vol. 2013, 46, 132–137. [Google Scholar] [CrossRef]
  19. Polvara, R.; Sharma, S.; Wan, J.; Manning, A.; Sutton, R. Obstacle Avoidance Approaches for Autonomous Navigation of Unmanned Surface Vehicles. J. Navig. 2018, 71, 241–256. [Google Scholar] [CrossRef]
  20. Luis, S.Y.; Reina, D.G.; Marín, S.L.T. A Multiagent Deep Reinforcement Learning Approach for Path Planning in Autonomous Surface Vehicles: The Ypacaraí Lake Patrolling Case. IEEE Access 2021, 9, 17084–17099. [Google Scholar] [CrossRef]
  21. Ayawli, B.B.K.; Chellali, R.; Appiah, A.Y.; Kyeremeh, F. An Overview of Nature-Inspired, Conventional, and Hybrid Methods of Autonomous Vehicle Path Planning. J. Adv. Transp. 2018, 2018, e8269698. [Google Scholar] [CrossRef]
  22. Liu, X.; Li, Y.; Zhang, J.; Zheng, J.; Yang, C. Self-Adaptive Dynamic Obstacle Avoidance and Path Planning for USV Under Complex Maritime Environment. IEEE Access 2019, 7, 114945–114954. [Google Scholar] [CrossRef]
  23. Chen, Y.; Bai, G.; Zhan, Y.; Hu, X.; Liu, J. Path Planning and Obstacle Avoiding of the USV Based on Improved ACO-APF Hybrid Algorithm With Adaptive Early-Warning. IEEE Access 2021, 9, 40728–40742. [Google Scholar] [CrossRef]
  24. Xia, G.; Han, Z.; Zhao, B.; Liu, C.; Wang, X. Global Path Planning for Unmanned Surface Vehicle Based on Improved Quantum Ant Colony Algorithm. Math. Probl. Eng. 2019, 2019, e2902170. [Google Scholar] [CrossRef]
  25. Zhongjing, L.; Junjie, F.; Zhaohui, L.; Jiahui, Y. Bayesian Network Based Ant Colony Optimization Algorithm for USV Path Planning in a Dynamic Environment. In Proceedings of the 2020 7th International Conference on Information, Cybernetics, and Computational Social Systems (ICCSS), Chengdu, China, 13–15 November 2020; pp. 547–551. [Google Scholar]
  26. Wang, H.; Zhang, J.; Dong, J. Application of Ant Colony and Immune Combined Optimization Algorithm in Path Planning of Unmanned Craft. AIP Adv. 2022, 12, 025313. [Google Scholar] [CrossRef]
  27. Zhang, J.; Zhang, F.; Liu, Z.; Li, Y. Efficient Path Planning Method of USV for Intelligent Target Search. J. Geovis. Spat. Anal. 2019, 3, 13. [Google Scholar] [CrossRef]
  28. Wang, N.; Jin, X.; Er, M.J. A Multilayer Path Planner for a USV under Complex Marine Environments. Ocean Eng. 2019, 184, 1–10. [Google Scholar] [CrossRef]
  29. Niu, H.; Lu, Y.; Savvaris, A.; Tsourdos, A. An Energy-Efficient Path Planning Algorithm for Unmanned Surface Vehicles. Ocean Eng. 2018, 161, 308–321. [Google Scholar] [CrossRef]
  30. Ding, F.; Zhang, Z.; Fu, M.; Wang, Y.; Wang, C. Energy-Efficient Path Planning and Control Approach of USV Based on Particle Swarm Optimization. In Proceedings of the OCEANS 2018 MTS/IEEE Charleston, Charleston, SC, USA, 22–25 October 2018; pp. 1–6. [Google Scholar]
  31. Folio, D.; Ferreira, A. Two-Dimensional Robust Magnetic Resonance Navigation of a Ferromagnetic Microrobot Using Pareto Optimality. IEEE Trans. Robot. 2017, 33, 583–593. [Google Scholar] [CrossRef]
  32. Ntakolia, C.; Lyridis, D.V. A Swarm Intelligence Graph-Based Pathfinding Algorithm Based on Fuzzy Logic (SIGPAF): A Case Study on Unmanned Surface Vehicle Multi-Objective Path Planning. J. Mar. Sci. Eng. 2021, 9, 1243. [Google Scholar] [CrossRef]
  33. Yu, K.; Liang, X.; Li, M.; Chen, Z.; Yao, Y.; Li, X.; Zhao, Z.; Teng, Y. USV Path Planning Method with Velocity Variation and Global Optimisation Based on AIS Service Platform. Ocean Eng. 2021, 236, 109560. [Google Scholar] [CrossRef]
  34. Ma, Y.; Hu, M.; Yan, X. Multi-Objective Path Planning for Unmanned Surface Vehicle with Currents Effects. ISA Trans. 2018, 75, 137–156. [Google Scholar] [CrossRef]
  35. Hu, L.; Naeem, W.; Rajabally, E.; Watson, G.; Mills, T.; Bhuiyan, Z.; Raeburn, C.; Salter, I.; Pekcan, C. A Multiobjective Optimization Approach for COLREGs-Compliant Path Planning of Autonomous Surface Vehicles Verified on Networked Bridge Simulators. IEEE Trans. Intell. Transp. Syst. 2020, 21, 1167–1179. [Google Scholar] [CrossRef]
  36. Lyridis, D.V. An Improved Ant Colony Optimization Algorithm for Unmanned Surface Vehicle Local Path Planning with Multi-Modality Constraints. Ocean Eng. 2021, 241, 109890. [Google Scholar] [CrossRef]
  37. Wang, N.; Xu, H. Dynamics-Constrained Global-Local Hybrid Path Planning of an Autonomous Surface Vehicle. IEEE Trans. Veh. Technol. 2020, 69, 6928–6942. [Google Scholar] [CrossRef]
  38. Ntakolia, C.; Iakovidis, D.K. A Swarm Intelligence Graph-Based Pathfinding Algorithm (SIGPA) for Multi-Objective Route Planning. Comput. Oper. Res. 2021, 133, 105358. [Google Scholar] [CrossRef]
  39. Peralta, F.; Arzamendia, M.; Gregor, D.; Reina, D.G.; Toral, S. A Comparison of Local Path Planning Techniques of Autonomous Surface Vehicles for Monitoring Applications: The Ypacarai Lake Case-Study. Sensors 2020, 20, 1488. [Google Scholar] [CrossRef]
  40. Tan, G.; Zhuang, J.; Zou, J.; Wan, L. Adaptive Adjustable Fast Marching Square Method Based Path Planning for the Swarm of Heterogeneous Unmanned Surface Vehicles (USVs). Ocean Eng. 2023, 268, 113432. [Google Scholar] [CrossRef]
  41. Tan, G.; Zou, J.; Zhuang, J.; Wan, L.; Sun, H.; Sun, Z. Fast Marching Square Method Based Intelligent Navigation of the Unmanned Surface Vehicle Swarm in Restricted Waters. Appl. Ocean Res. 2020, 95, 102018. [Google Scholar] [CrossRef]
  42. MahmoudZadeh, S.; Abbasi, A.; Yazdani, A.; Wang, H.; Liu, Y. Uninterrupted Path Planning System for Multi-USV Sampling Mission in a Cluttered Ocean Environment. Ocean Eng. 2022, 254, 111328. [Google Scholar] [CrossRef]
  43. Ma, Y.; Zhao, Y.; Incecik, A.; Yan, X.; Wang, Y.; Li, Z. A Collision Avoidance Approach via Negotiation Protocol for a Swarm of USVs. Ocean Eng. 2021, 224, 108713. [Google Scholar] [CrossRef]
  44. Wu, X.; Liu, Y.; Xie, S.; Guo, Y. Collaborative Defense with Multiple USVs and UAVs Based on Swarm Intelligence. J. Shanghai Jiaotong Univ. (Sci.) 2020, 25, 51–56. [Google Scholar] [CrossRef]
  45. Zhao, Z.; Zhu, B.; Zhou, Y.; Yao, P.; Yu, J. Cooperative Path Planning of Multiple Unmanned Surface Vehicles for Search and Coverage Task. Drones 2023, 7, 21. [Google Scholar] [CrossRef]
  46. Wu, G.; Xu, T.; Sun, Y.; Zhang, J. Review of Multiple Unmanned Surface Vessels Collaborative Search and Hunting Based on Swarm Intelligence. Int. J. Adv. Robot. Syst. 2022, 19, 17298806221091884. [Google Scholar] [CrossRef]
  47. Ntakolia, C.; Kokkotis, C.; Moustakidis, S.; Tsaopoulos, D. A Machine Learning Pipeline for Predicting Joint Space Narrowing in Knee Osteoarthritis Patients. In Proceedings of the 2020 IEEE 20th International Conference on Bioinformatics and Bioengineering (BIBE), Cincinnati, OH, USA, 26–28 October 2020; pp. 934–941. [Google Scholar]
  48. Murtagh, F.; Legendre, P. Ward’s Hierarchical Agglomerative Clustering Method: Which Algorithms Implement Ward’s Criterion? J. Classification 2014, 31, 274–295. [Google Scholar] [CrossRef]
  49. Zhang, T.; Ramakrishnan, R.; Livny, M. BIRCH: An Efficient Data Clustering Method for Very Large Databases. SIGMOD Rec. 1996, 25, 103–114. [Google Scholar] [CrossRef]
  50. Zhang, T.; Ramakrishnan, R.; Livny, M. BIRCH: A New Data Clustering Algorithm and Its Applications. Data Min. Knowl. Discov. 1997, 42, 141–182. [Google Scholar] [CrossRef]
  51. Chen, Z.; Zhang, Y.; Zhang, Y.; Nie, Y.; Tang, J.; Zhu, S. A Hybrid Path Planning Algorithm for Unmanned Surface Vehicles in Complex Environment With Dynamic Obstacles. IEEE Access 2019, 7, 126439–126449. [Google Scholar] [CrossRef]
  52. Ntakolia, C.; Lyridis, D.V. A Comparative Study on Ant Colony Optimization Algorithm Approaches for Solving Multi-Objective Path Planning Problems in Case of Unmanned Surface Vehicles. Ocean Eng. 2022, 255, 111418. [Google Scholar] [CrossRef]
  53. Dorigo, M.; Blum, C. Ant Colony Optimization Theory: A Survey. Theor. Comput. Sci. 2005, 344, 243–278. [Google Scholar] [CrossRef]
  54. Jang, J.S.R.; Sun, C.T.; Mizutani, E. Neuro-Fuzzy and Soft Computing-A Computational Approach to Learning and Machine Intelligence [Book Review]. IEEE Trans. Autom. Control 1997, 42, 1482–1484. [Google Scholar] [CrossRef]
  55. Ntakolia, C.; Platanitis, K.S.; Kladis, G.P.; Skliros, C.; Zagorianos, A.D. A Genetic Algorithm Enhanced with Fuzzy-Logic for Multi-Objective Unmanned Aircraft Vehicle Path Planning Missions. In Proceedings of the 2022 International Conference on Unmanned Aircraft Systems (ICUAS), Dubrovnik, Croatia, 21–24 June 2022; pp. 114–123. [Google Scholar]
  56. Ntakolia, C.; Priftis, D.; Charakopoulou-Travlou, M.; Rannou, I.; Magklara, K.; Giannopoulou, I.; Kotsis, K.; Serdari, A.; Tsalamanios, E.; Grigoriadou, A.; et al. An Explainable Machine Learning Approach for COVID-19′s Impact on Mood States of Children and Adolescents during the First Lockdown in Greece. Healthcare 2022, 10, 149. [Google Scholar] [CrossRef]
  57. Naderi, B.; Zandieh, M.; Roshanaei, V. Scheduling Hybrid Flowshops with Sequence Dependent Setup Times to Minimize Makespan and Maximum Tardiness. Int. J. Adv. Manuf. Technol. 2009, 41, 1186–1198. [Google Scholar] [CrossRef]
  58. Sadeghi, J.; Mousavi, S.M.; Niaki, S.T.A.; Sadeghi, S. Optimizing a Multi-Vendor Multi-Retailer Vendor Managed Inventory Problem: Two Tuned Meta-Heuristic Algorithms. Knowl.-Based Syst. 2013, 50, 159–170. [Google Scholar] [CrossRef]
  59. Yan, Z.; Li, J.; Wu, Y.; Zhang, G. A Real-Time Path Planning Algorithm for AUV in Unknown Underwater Environment Based on Combining PSO and Waypoint Guidance. Sensors 2018, 19, 20. [Google Scholar] [CrossRef]
  60. Ntakolia, C.; Koutsiou, D.-C.; Iakovidis, D. Emotion-Aware Brainstorm Optimization. Res. Sq. 2022. [Google Scholar] [CrossRef]
  61. Derrac, J.; García, S.; Molina, D.; Herrera, F. A Practical Tutorial on the Use of Nonparametric Statistical Tests as a Methodology for Comparing Evolutionary and Swarm Intelligence Algorithms. Swarm Evol. Comput. 2011, 1, 3–18. [Google Scholar] [CrossRef]
  62. Carrasco, J.; García, S.; Rueda, M.; Das, S.; Herrera, F. Recent Trends in the Use of Statistical Tests for Comparing Swarm and Evolutionary Computing Algorithms: Practical Guidelines and a Critical Review. Swarm Evol. Comput. 2020, 54, 100665. [Google Scholar] [CrossRef]
  63. Puente-Castro, A.; Rivero, D.; Pazos, A.; Fernandez-Blanco, E. A Review of Artificial Intelligence Applied to Path Planning in UAV Swarms. Neural Comput. Appl. 2022, 34, 153–170. [Google Scholar] [CrossRef]
  64. Zhou, Y.; Rao, B.; Wang, W. UAV Swarm Intelligence: Recent Advances and Future Trends. IEEE Access 2020, 8, 183856–183878. [Google Scholar] [CrossRef]
  65. Ho, D.-T.; Grøtli, E.I.; Sujit, P.B.; Johansen, T.A.; Sousa, J.B. Cluster-Based Communication Topology Selection and UAV Path Planning in Wireless Sensor Networks. In Proceedings of the 2013 International Conference on Unmanned Aircraft Systems (ICUAS), Atlanta, Georgia, USA, 28–31 May 2013; pp. 59–68. [Google Scholar]
  66. Wang, Y.; Bai, P.; Liang, X.; Wang, W.; Zhang, J.; Fu, Q. Reconnaissance Mission Conducted by UAV Swarms Based on Distributed PSO Path Planning Algorithms. IEEE Access 2019, 7, 105086–105099. [Google Scholar] [CrossRef]
  67. Hamam, A.; Georganas, N.D. A Comparison of Mamdani and Sugeno Fuzzy Inference Systems for Evaluating the Quality of Experience of Hapto-Audio-Visual Applications. In Proceedings of the 2008 IEEE International Workshop on Haptic Audio visual Environments and Games, Ottawa, ON, Canada, 18–19 October 2008; pp. 87–92. [Google Scholar]
  68. Xiang, X.; Yu, C.; Lapierre, L.; Zhang, J.; Zhang, Q. Survey on Fuzzy-Logic-Based Guidance and Control of Marine Surface Vehicles and Underwater Vehicles. Int. J. Fuzzy Syst. 2018, 20, 572–586. [Google Scholar] [CrossRef]
  69. Wang, Y.; Chen, Y. A Comparison of Mamdani and Sugeno Fuzzy Inference Systems for Traffic Flow Prediction. J. Comput. 2014, 9, 12–21. [Google Scholar] [CrossRef]
  70. Hentout, A.; Maoudj, A.; Aouache, M. A Review of the Literature on Fuzzy-Logic Approaches for Collision-Free Path Planning of Manipulator Robots. Artif. Intell. Rev. 2023, 56, 3369–3444. [Google Scholar] [CrossRef]
  71. Patle, B.K.; Babu, L.G.; Pandey, A.; Parhi, D.R.K.; Jagadeesh, A. A Review: On Path Planning Strategies for Navigation of Mobile Robot. Def. Technol. 2019, 15, 582–606. [Google Scholar] [CrossRef]
Figure 1. Concept of this study and methodological steps.
Figure 1. Concept of this study and methodological steps.
Jmse 11 00719 g001
Figure 2. Example of an angle θ formed from 3 consecutive nodes i, j and k.
Figure 2. Example of an angle θ formed from 3 consecutive nodes i, j and k.
Jmse 11 00719 g002
Figure 3. Membership functions of (a) path distance; (b) path turns; (c) fuel consumption; and (d) path optimality.
Figure 3. Membership functions of (a) path distance; (b) path turns; (c) fuel consumption; and (d) path optimality.
Jmse 11 00719 g003
Figure 4. Evaluation steps of this study.
Figure 4. Evaluation steps of this study.
Jmse 11 00719 g004
Figure 5. Clustering evaluation methodology.
Figure 5. Clustering evaluation methodology.
Jmse 11 00719 g005
Figure 6. Clustering results of case study 1 based on distance and current information.
Figure 6. Clustering results of case study 1 based on distance and current information.
Jmse 11 00719 g006
Figure 7. Clustering results of case study 2 with Mini Batch K-Means and Ward Clustering (a) and Birch (b).
Figure 7. Clustering results of case study 2 with Mini Batch K-Means and Ward Clustering (a) and Birch (b).
Jmse 11 00719 g007
Figure 8. Cumulative results of ACO-Mamdani and ACO-TSK over the objective criteria: (a) distance; (b) number of urns; and (c) consumption for Case Study 1.
Figure 8. Cumulative results of ACO-Mamdani and ACO-TSK over the objective criteria: (a) distance; (b) number of urns; and (c) consumption for Case Study 1.
Jmse 11 00719 g008
Figure 9. Cumulative results of ACO-Mamdani and ACO-TSK over the objective criteria: (a) distance; (b) number of urns; and (c) consumption for Case Study 2.
Figure 9. Cumulative results of ACO-Mamdani and ACO-TSK over the objective criteria: (a) distance; (b) number of urns; and (c) consumption for Case Study 2.
Jmse 11 00719 g009
Table 1. Fuzzy rules.
Table 1. Fuzzy rules.
Path LengthPath DeviationsEnergy ConsumptionPath Optimality
ShortSmoothLowVery High
ShortSmoothMediumHigh
ShortModerateLowHigh
ModerateSmoothLowHigh
ShortModerateMediumMedium
ModerateSmoothMediumMedium
ModerateModerateLow or MediumMedium
Moderate Moderate or BrutMedium or HighLow
Moderate or LongModerateMedium or HighLow
Moderate or LongModerate or BrutMediumLow
LongBrutHighVery Low
Table 2. Evaluation of clustering methods for CS2. The best evaluation score is shown in bold.
Table 2. Evaluation of clustering methods for CS2. The best evaluation score is shown in bold.
Clustering AlgorithmSilhouette CoefficientCalinski–Harabasz IndexDavies–Bouldin IndexCumulative Evaluation Score
Mini Batch K-Means0.821301.340.363
Ward0.821301.340.363
Birch0.771205.450.420
Table 3. Path planning mean results with standard deviation after 20 runs of the case studies for each ACO-FIS approach for the swarm of USVs. The number of turns are rounded. The best solutions are denoted in bold.
Table 3. Path planning mean results with standard deviation after 20 runs of the case studies for each ACO-FIS approach for the swarm of USVs. The number of turns are rounded. The best solutions are denoted in bold.
Case StudyACO-FISSwarm USVsDistance (km)Number of TurnsConsumption (kg)
CS1ACO-MamdaniUSV1 (red)17.61 ± 1.028 ± 1.483.75 ± 0.25
USV2 (yellow)18.55 ± 0.989 ± 1.333.87 ± 0.13
USV3 (blue)18.43 ± 1.045 ± 0.873.73 ± 0.37
ACO-TSKUSV1 (red)17.63 ± 0.798 ± 1.083.78 ± 0.12
USV2 (yellow)18.62 ± 1.148 ± 1.093.89 ± 0.24
USV3 (blue)18.43 ± 1.225 ± 0.883.72 ± 0.19
CS2ACO-MamdaniUSV1 (red)17.22 ± 2.247 ± 1.013.58 ± 0.45
USV2 (yellow)15.76 ± 1.956 ± 1.033.32 ± 0.54
USV3 (blue)19.04 ± 0.885 ± 0.863.64 ± 0.15
ACO-TSKUSV1 (red)17.37 ± 1.907 ± 1.033.65 ± 0.21
USV2 (yellow)16.05 ± 1.466 ± 0.923.38 ± 0.17
USV3 (blue)19.18 ± 2.196 ± 0.883.79 ± 0.52
Table 4. Path planning optimality and computing time mean results with standard deviation after 20 runs of the case studies for each ACO-FIS approach for the swarm of USVs. The best solutions are denoted in bold.
Table 4. Path planning optimality and computing time mean results with standard deviation after 20 runs of the case studies for each ACO-FIS approach for the swarm of USVs. The best solutions are denoted in bold.
Case StudyACO-FISOptimalityComputing Time (ms)
CS1ACO-Mamdani0.82 ± 0.043.46 ± 0.03
ACO-TSK0.80 ± 0.053.39 ± 0.02
CS2ACO-Mamdani0.75 ± 0.034.12 ± 0.02
ACO-TSK0.66 ± 0.044.01 ± 0.01
Table 5. Evaluation results of mean relative percentage deviation (RPD) and mean relative deviation index (RDI) for distance. The best solutions are denoted in bold.
Table 5. Evaluation results of mean relative percentage deviation (RPD) and mean relative deviation index (RDI) for distance. The best solutions are denoted in bold.
Case StudyACO-FISSwarm USVsRPD R P D ¯ RDI R D I ¯
CS1ACO-MamdaniUSV1 (red)0.00%3.33%0.00%58.09%
USV2 (yellow)5.34% 93.07%
USV3 (blue)4.66% 81.19%
ACO-TSKUSV1 (red)0.11%3.50%1.98%61.06%
USV2 (yellow)5.74% 100.00%
USV3 (blue)4.66% 81.19%
CS2ACO-MamdaniUSV1 (red)9.26%10.03%0.42690058546.20%
USV2 (yellow)0.00% 0
USV3 (blue)20.81% 0.959064327
ACO-TSKUSV1 (red)10.22%11.25%0.47076023451.85%
USV2 (yellow)1.84% 0.084795322
USV3 (blue)21.70% 1
Table 6. Evaluation results of mean relative percentage deviation (RPD) and mean relative deviation index (RDI) for brute turns. The best solutions are denoted in bold.
Table 6. Evaluation results of mean relative percentage deviation (RPD) and mean relative deviation index (RDI) for brute turns. The best solutions are denoted in bold.
Case StudyACO-FISSwarm USVsRPD R P D ¯ RDI R D I ¯
CS1ACO-MamdaniUSV1 (red)60.00%46.67%75.00%58.33%
USV2 (yellow)80.00% 100.00%
USV3 (blue)0.00% 0.00%
ACO-TSKUSV1 (red)60.00%40.00%75.00%50.00%
USV2 (yellow)60.00% 75.00%
USV3 (blue)0.00% 0.00%
CS2ACO-MamdaniUSV1 (red)40.00%20.00%100.00%50.00%
USV2 (yellow)20.00% 50.00%
USV3 (blue)0.00% 0.00%
ACO-TSKUSV1 (red)40.00%26.67%100.00%66.67%
USV2 (yellow)20.00% 50.00%
USV3 (blue)20.00% 50.00%
Table 7. Evaluation results of mean relative percentage deviation (RPD) and mean relative deviation index (RDI) for consumption. The best solutions are denoted in bold.
Table 7. Evaluation results of mean relative percentage deviation (RPD) and mean relative deviation index (RDI) for consumption. The best solutions are denoted in bold.
Case StudyACO-FISSwarm USVsRPD R P D ¯ RDI R D I ¯
CS1ACO-MamdaniUSV1 (red)0.81%1.70%17.65%37.25%
USV2 (yellow)4.03% 88.24%
USV3 (blue)0.27% 5.88%
ACO-TSKUSV1 (red)1.61%2.06%35.29%45.10%
USV2 (yellow)4.57% 100.00%
USV3 (blue)0.00% 0.00%
CS2ACO-MamdaniUSV1 (red)7.83%5.82%55.32%41.13%
USV2 (yellow)0.00% 0.00%
USV3 (blue)9.64% 68.09%
ACO-TSKUSV1 (red)9.94%8.63%70.21%60.99%
USV2 (yellow)1.81% 12.77%
USV3 (blue)14.16% 100.00%
Table 8. Results of Friedman test for each case study.
Table 8. Results of Friedman test for each case study.
Case Studies
CS1CS2All
p-value1.05566 × 10−54.85828 × 10−1221.05266 × 10−128
Chi-square305.97544.35603.97
Disclaimer/Publisher’s Note: The statements, opinions and data contained in all publications are solely those of the individual author(s) and contributor(s) and not of MDPI and/or the editor(s). MDPI and/or the editor(s) disclaim responsibility for any injury to people or property resulting from any ideas, methods, instructions or products referred to in the content.

Share and Cite

MDPI and ACS Style

Ntakolia, C.; Lyridis, D.V. Path Planning in the Case of Swarm Unmanned Surface Vehicles for Visiting Multiple Targets. J. Mar. Sci. Eng. 2023, 11, 719. https://doi.org/10.3390/jmse11040719

AMA Style

Ntakolia C, Lyridis DV. Path Planning in the Case of Swarm Unmanned Surface Vehicles for Visiting Multiple Targets. Journal of Marine Science and Engineering. 2023; 11(4):719. https://doi.org/10.3390/jmse11040719

Chicago/Turabian Style

Ntakolia, Charis, and Dimitrios V. Lyridis. 2023. "Path Planning in the Case of Swarm Unmanned Surface Vehicles for Visiting Multiple Targets" Journal of Marine Science and Engineering 11, no. 4: 719. https://doi.org/10.3390/jmse11040719

APA Style

Ntakolia, C., & Lyridis, D. V. (2023). Path Planning in the Case of Swarm Unmanned Surface Vehicles for Visiting Multiple Targets. Journal of Marine Science and Engineering, 11(4), 719. https://doi.org/10.3390/jmse11040719

Note that from the first issue of 2016, this journal uses article numbers instead of page numbers. See further details here.

Article Metrics

Back to TopTop