Investigating Fishing Vessel Casualties in Peru: A Technical and Scientific Review to Support New Regulations
Abstract
:1. Introduction
- (a)
- The first activity focuses on reviewing technical information related to fishing vessel safety in Peru. We provide previously unreported statistics on casualties involving fishing vessels, assess the current state of the artisan fishing industry in Peru, delve into the operational safety of fishing vessels, and examine genuine accident statistics related to these vessels. We also identify gaps that need to be addressed by the DICAPI.
- (b)
- Subsequently, we conduct a bibliometric analysis of fishing vessel safety, utilizing data from Scopus. The fundamental objective here is to study and extract insights and key contributions regarding the safety of fishing vessels, particularly with respect to the concerns highlighted in the technical review described above.
- (c)
- Building upon this information, we present a scientifically supported proposal that merits consideration from the relevant authorities.
2. Materials and Methods
3. Results
3.1. Situational Status of Artisanal Fishing Vessels in Peru
3.1.1. Safety of Small Fishing Vessels
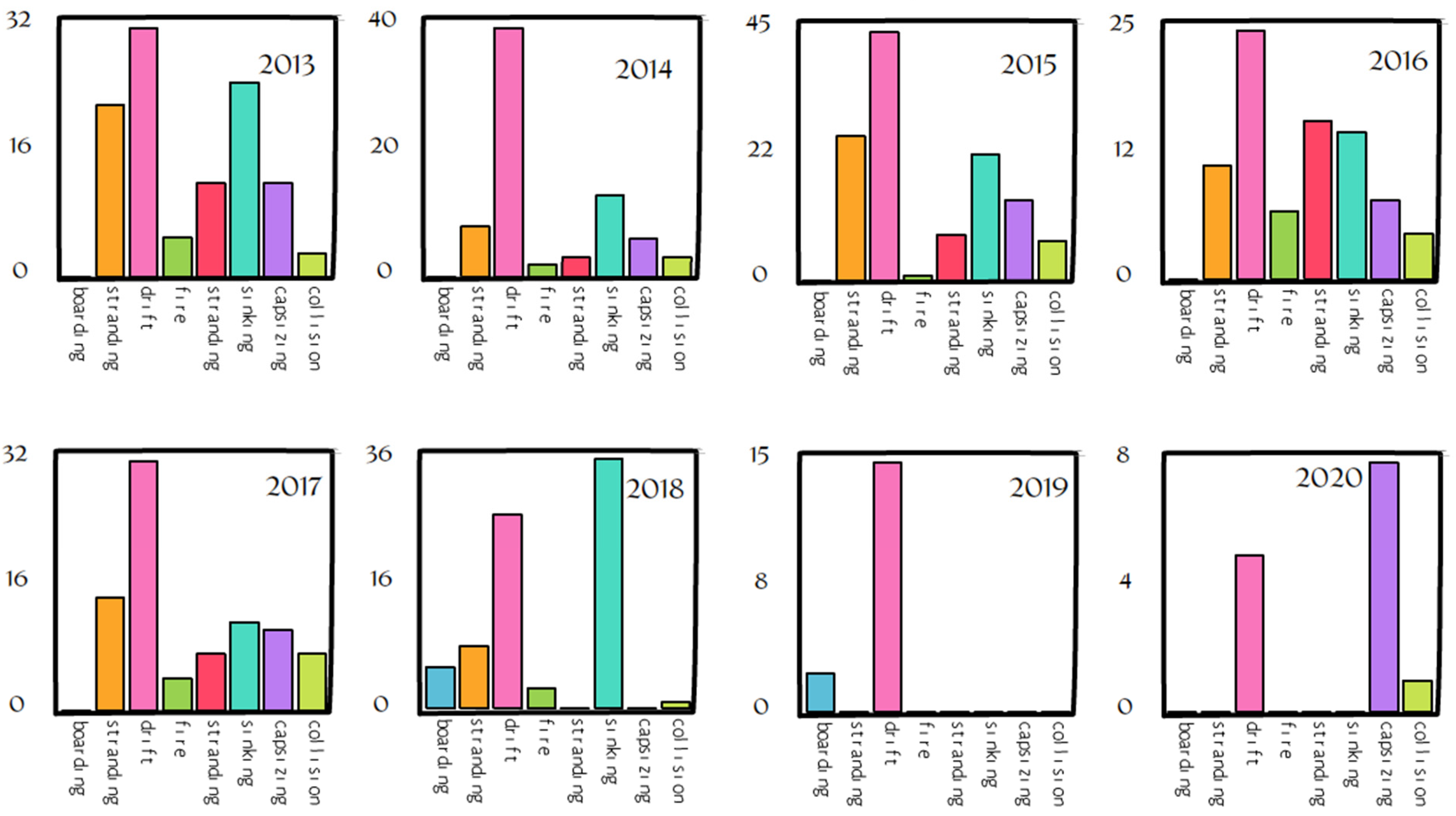
3.1.2. Statistics of Fishing Vessel Casualties
3.2. Bibliometric Analysis of the Safety Aspects of Small Fishing Vessels Worldwide
4. Discussion
5. Conclusions
Author Contributions
Funding
Institutional Review Board Statement
Informed Consent Statement
Data Availability Statement
Acknowledgments
Conflicts of Interest
References
- Merino, A. Los Mayores Productores de Pescado, Organización Para la Cooperación y el Desarrollo Económico. Available online: https://elordenmundial.com/mapas-y-graficos/los-paises-mas-pescado-producen/ (accessed on 1 July 2022).
- Brown, M. Hooked on Safety: An Analysis of Commercial Fishing Safety and Training Opportunities. Ph.D. Thesis, Tufts University, Medford, MA, USA, 2018. [Google Scholar]
- Chowdhury, A.; Naz, A.; Maiti, S.K. Distribution, speciation, and bioaccumulation of potentially toxic elements in the grey mangroves at Indian Sundarbans, in relation to vessel movements. Mar. Environ. Res. 2023, 189, 106042. [Google Scholar] [CrossRef] [PubMed]
- Yilanci, V.; Cutcu, I.; Cayir, B.; Saglam, M.S. Pollution haven or pollution halo in the fishing footprint: Evidence from Indonesia. Mar. Pollut. Bull. 2023, 188, 114626. [Google Scholar] [CrossRef] [PubMed]
- Öktener, A.; Bănăduc, D. Ecological Interdependence of Pollution, Fish Parasites, and Fish in Freshwater Ecosystems of Turkey. Water 2023, 15, 1385. [Google Scholar] [CrossRef]
- Wang, X.; Xia, G.; Zhao, J.; Wang, J.; Yang, Z.; Loughney, S.; Fang, S.; Zhang, S.; Xing, Y.; Liu, Z. A novel method for the risk assessment of human evacuation from cruise ships in maritime transportation. Reliab. Eng. Syst. Saf. 2023, 230, 108887. [Google Scholar] [CrossRef]
- Política y Plan Nacional de Seguridad y Salud en el Trabajo 2017–2021, Política y Plan Nacional de Seguridad y Salud en el Trabajo 2017–2021. Available online: https://www.trabajo.gob.pe/archivos/file/CNSST/politica_nacional_SST_2017_2021.pdf (accessed on 1 July 2022).
- Garg, K.C.; Singh, R.K. A Bibliometrics Study of Papers Published in Library and Information Science Research during 1994 2020. DESIDOC J. Libr. Inf. Technol. 2022, 42, 57–63. [Google Scholar] [CrossRef]
- Ley General de Pesca, Normas Legales Actualizadas, el Peruano, Decreto Ley 25977. Available online: https://diariooficial.elperuano.pe/pdf/0062/LEYGENERALDEPESCA.pdf (accessed on 1 July 2022).
- Instituto del Mar del Perú, Ministerio de la Producción, Informe Imarpe ISSN 0378-7702 Inf Inst Mar Perú Vol 45 Nº 3 July–September 2018. Available online: https://repositorio.imarpe.gob.pe/handle/20.500.12958/3300 (accessed on 1 July 2022).
- DICAPI–Dirección de Capitanías y Guardacostas, State of Ports [Ref. 2022]. Available online: https://www.dicapi.mil.pe/estado-de-puertos (accessed on 1 July 2022).
- FAO; FAO/ILO/IMO. Document for Guidance on Training and Certification of Fishing Vessel Personnel, 2nd ed.; IMO: London, UK, 2001. [Google Scholar]
- OMI. International Torremolinos Convention for the Safety of Fishing Vessels; OMI: Torremolinos, Spain, 1977. [Google Scholar]
- Moreno, F. Causas de los Accidentes Marítimos Muy Graves en la Pesca 2008–2013; Instituto Nacional de Seguridad e Higiene en el Trabajo (INSHT): Madrid, Spain, 2014. [Google Scholar]
- Dickey, D.H. Analysis of Fishing Vessels Casualties (A Review of Lost Fishing Vessels and Crew Fatalities, 1992–2007); Compliance Analysis Division (CG5452), United States Cost Guards: Washington, DC, USA, 2008. [Google Scholar]
- Mantari, J.L.; Ribeiro e Silva, S.; Guedes, C. Variations on transverse stability of fishing vessels due to fishing gear pull and waves. In Proceedings of the XXI Naval Architecture Pan-American Conference, Montevideo, Uruguay, 18–22 October 2009. [Google Scholar]
- Cipriano, W. Siniestralidad de Embarcaciones Pesqueras: Aplicación de los Nuevos Criterios de Estabilidad Intacta de Segunda Generación de la OMI; Panamerican Institute of Naval Engineering: Alexandria, VA, USA, 2021. [Google Scholar]
- Wang, J. An analysis of fishing vessel accidents. Accid. Anal. Prev. 2005, 37, 1019–1024. [Google Scholar] [CrossRef]
- Perez-Labajos, C. Fishing safety policy and research. Mar. Policy 2008, 32, 40–45. [Google Scholar] [CrossRef]
- Johnson, T.; Grant, S. Choosing and installing bilge pumps. Pac. Fish. 2001, 22, 44–47. [Google Scholar]
- Krata, P. Total losses of fishing vessels due to the insufficient stability. TransNav Int. J. Mar. Navig. Saf. Sea Transp. 2008, 2, 311–315. [Google Scholar]
- Roberts, S.E. Occupational mortality in British commercial fishing, 1976–1995. Occup. Environ. Med. 2004, 61, 16–23. [Google Scholar]
- Mantari, J.L. Stability of Fishing Vessels in Waves and Wind. Master’s Thesis, Naval Architecture and Marine Engineering, Instituto Superior Técnico, Centre for Marine Technology and Engineering (CENTEC), Technical University of Lisbon, Lisbon, Portugal, June 2010. [Google Scholar]
- Jin, D.; Kite-Powell, H.; Talley, W. The safety of commercial fishing: Determinants of vessel total losses and injuries. J. Saf. Res. 2001, 32, 209–228. [Google Scholar] [CrossRef]
- Byard, R.W. Commercial fishing industry deaths–forensic issues. J. Forensic Leg. Med. 2013, 20, 129–132. [Google Scholar] [CrossRef] [PubMed]
- Saldarriaga, L. Análisis de la Formación Básica en Seguridad y Conductas de Riesgo en los Pescadores de Embarcaciones Artesanales de Talara, 2020. Bachelor’s Thesis, Facultad de Ingeniería, Callao, Perú, 2021. [Google Scholar]
- Antão, P.; Almeida, T.; Jacinto, C.; Soares, C. Causes of occupational accidents in the fishing sector in Portugal. Saf. Sci. 2008, 46, 885–899. [Google Scholar] [CrossRef]
- Mirka, G.A.; Ning, X.; Jin, S.; Haddad, O.; Kucera, K.L. Ergonomic interventions for commercial crab fishermen. Int. J. Ind. Ergon. 2011, 41, 481–487. [Google Scholar] [CrossRef]
- Piniella, F.; Fernández-Engo, M.A. Towards system for the management of safety on board artisanal fishing vessels: Proposal for check-lists and their application. Saf. Sci. 2009, 47, 265–276. [Google Scholar] [CrossRef]
- Lincoln, J.M.; Lucas, D.L.; McKibbin, R.W.; Woodward, C.C.; Bevan, J.E. Reducing commercial fishing deck hazards with engineering solutions for winch design. J. Saf. Res. 2008, 39, 231–235. [Google Scholar] [CrossRef] [PubMed]
- Norrish, A.E.; Cryer, P.C. Work related injury in New Zealand commercial fishermen. Occup. Environ. Med. 1990, 47, 726–732. [Google Scholar] [CrossRef]
- Kucera, K.L.; Loomis, D.; Marshall, S.W. A case crossover study of triggers for hand injuries in commercial fishing. Occup. Environ. Med. 2008, 65, 336–341. [Google Scholar] [CrossRef]
- Marshall, S.W.; Kucera, K.; Loomis, D.; McDonald, M.A.; Lipscomb, H.J. Work related injuries in small scale commercial fishing. Inj. Prev. 2004, 10, 217–221. [Google Scholar] [CrossRef]
- OIT. Prevención de las Actividades Peligrosas en la Pesca; OIT: Klamath Falls, OR, USA, 2007. [Google Scholar]
- Instituto Nacional de Seguridad de Higiene en el Trabajo (INSHT). Casusas de los Accidentes Marítimos Muy Graves en la Pesca 2008–2013; Government of Spain: Madrid, Spain, 2013.
- Norwegian Centre for Maritime Medicine. Knowledge Is Power and Should Therefore Be Shared; Norwegian Centre for Maritime Medicine: Bergen, Norway, 2014. [Google Scholar]
- Frantzeskou, E.; Kastania, A.N.; Riza, E.; Jensen, O.C.; Linos, A. Risk factors for fishermen’s health and safety in Greece. Int. Marit. Health 2012, 63, 155–161. [Google Scholar]
- Cao, Y.; Wang, X.; Yang, Z.; Wang, J.; Wang, H.; Liu, Z. Research in marine accidents: A bibliometric analysis, systematic review and future directions. Ocean. Eng. 2023, 284, 115048. [Google Scholar] [CrossRef]
- Li, G.; Weng, J.; Wu, B.; Hou, Z. Incorporating multi-scenario underreporting rates into MICE for underreported maritime accident record analysis. Ocean. Eng. 2022, 246, 110620. [Google Scholar] [CrossRef]
- Turna, İ. A safety risk assessment for ship boarding parties from fuzzy Bayesian networks perspective. Marit. Policy Manag. 2022, 1–14. [Google Scholar] [CrossRef]
- Cakir, E.; Sevgili, C.; Fiskin, R. An analysis of severity of oil spill caused by vessel accidents. Transp. Res. Part D Transp. Environ. 2021, 90, 102662. [Google Scholar] [CrossRef]
- Fiskin, R.; Cakir, E.; Sevgili, C. Decision tree and logistic regression analysis to explore factors contributing to harbour tugboat accidents. J. Navig. 2021, 74, 79–104. [Google Scholar] [CrossRef]
- Domeh, V.; Obeng, F.; Khan, F.; Bose, N.; Sanli, E. An operational risk awareness tool for small fishing vessels operating in harsh environment. Reliab. Eng. Syst. Saf. 2023, 234, 109139. [Google Scholar] [CrossRef]
- Øren, A.; Thorvaldsen, T.; Sandsund, M.; Holmen, I.M. Sickness absence and hospitalization among workers on board norwegian fishing vessels. J. Agromed. 2019, 24, 357–363. [Google Scholar] [CrossRef]
- Huchim-Lara, O.; Seijo, J.C. Risk perception in small-scale fishers and hyperbaric personnel: A risk assessment of hookah diving. Undersea Hyperb. Med. J. Undersea Hyperb. Med. Soc. Inc 2018, 45, 313–322. [Google Scholar] [CrossRef]
- González, M.M.; Bulian, G. Influence of ship dynamics modelling on the prediction of fishing vessels roll response in beam and longitudinal waves. Ocean. Eng. 2018, 148, 312–330. [Google Scholar] [CrossRef]
- Emery, T.J.; Hartmann, K.; Green, B.S.; Gardner, C.; Tisdell, J. Fishing for revenue: How leasing quota can be hazardous to your health. ICES J. Mar. Sci. 2014, 71, 1854–1865. [Google Scholar] [CrossRef]
- Quandt, S.A.; Kucera, K.L.; Haynes, C.; Klein, B.G.; Langley, R.; Agnew, M.; Nussbaum, M.A. Occupational health outcomes for workers in the agriculture, forestry and fishing sector: Implications for immigrant workers in the southeastern US. Am. J. Ind. Med. 2013, 56, 940–959. [Google Scholar] [CrossRef] [PubMed]
- Håvold, J.I. Safety culture aboard fishing vessels. Saf. Sci. 2010, 48, 1054–1061. [Google Scholar] [CrossRef]
- Perez-Labajos, C.; Azofra, M.; Blanco, B.; Achutegui, J.; Gonzalez, J. Analysis of accident inequality of the Spanish fishing fleet. Accid. Anal. Prev. 2006, 38, 1168–1175. [Google Scholar] [CrossRef] [PubMed]
- Marschke, M.; Andrachuk, M.; Vandergeest, P.; McGovern, C. Assessing the role of information and communication technologies in responding to ‘slavery scandals’. Marit. Stud. 2020, 19, 419–428. [Google Scholar] [CrossRef]
- Kapsar, K.; Gunn, G.; Brigham, L.; Liu, J. Mapping vessel traffic patterns in the ice-covered waters of the Pacific Arctic. Clim. Chang. 2023, 176, 94. [Google Scholar] [CrossRef]
- Hsu, S.H.; Lee, M.T.; Chang, Y.C. Application of Rough Set Theory and Bow-Tie Analysis to Maritime Safety Analysis Management: A Case Study of Taiwan Ship Collision Incidents. Appl. Sci. 2023, 13, 4239. [Google Scholar] [CrossRef]
- Finnis, J.; Reid-Musson, E. Managing weather & fishing safety: Marine meteorology and fishing decision-making from a governance and safety perspective. Mar. Policy 2022, 142, 105120. [Google Scholar] [CrossRef]
- Özaydın, E.; Fışkın, R.; Uğurlu, Ö.; Wang, J. A hybrid model for marine accident analysis based on Bayesian Network (BN) and Association Rule Mining (ARM). Ocean. Eng. 2022, 247, 110705. [Google Scholar] [CrossRef]
- Sainsbury, N.C.; Schuhmann, P.W.; Turner, R.A.; Grilli, G.; Pinnegar, J.K.; Genner, M.J.; Simpson, S.D. Trade-offs between physical risk and economic reward affect fishers’ vulnerability to changing storminess. Glob. Environ. Chang. 2021, 69, 102228. [Google Scholar] [CrossRef]
- Wilks, J. Safety in coastal and marine tourism. In Tourist Health, Safety and Wellbeing in the New Normal; Springer: Singapore, 2021; pp. 411–442. [Google Scholar] [CrossRef]
- Syron, L.N.; Case, S.L.; Lee, J.R.; Lucas, D.L. Linking datasets to characterize injury and illness in Alaska’s fishing industry. J. Agromedicine 2021, 26, 31–44. [Google Scholar] [CrossRef]
- Li, H.; Yang, Z. Towards safe navigation environment: The imminent role of spatio-temporal pattern mining in maritime piracy incidents analysis. Reliab. Eng. Syst. Saf. 2023, 238, 109422. [Google Scholar] [CrossRef]
- Burella, G.; Moro, L.; Colbourne, B. Noise sources and hazardous noise levels on fishing vessels: The case of Newfoundland and Labrador’s fleet. Ocean. Eng. 2019, 173, 116–130. [Google Scholar] [CrossRef]
- Weng, J.; Li, G. Exploring shipping accident contributory factors using association rules. J. Transp. Saf. Secur. 2019, 11, 36–57. [Google Scholar] [CrossRef]
- Walsh, J.J. Wind-Borne Illness from Coastal Seas: Present and Future Consequences of Toxic Marine Aerosols; Academic Press: Cambridge, MA, USA, 2019. [Google Scholar] [CrossRef]
- Woodhead, A.J.; Abernethy, K.E.; Szaboova, L.; Turner, R.A. Health in fishing communities: A global perspective. Fish Fish. 2018, 19, 839–852. [Google Scholar] [CrossRef]
- Jennings, S.; Stentiford, G.D.; Leocadio, A.M.; Jeffery, K.R.; Metcalfe, J.D.; Katsiadaki, I.; Verner-Jeffreys, D.W. Aquatic food security: Insights into challenges and solutions from an analysis of interactions between fisheries, aquaculture, food safety, human health, fish and human welfare, economy and environment. Fish Fish. 2016, 17, 893–938. [Google Scholar] [CrossRef]
- Kum, S.; Sahin, B. A root cause analysis for Arctic Marine accidents from 1993 to 2011. Saf. Sci. 2015, 74, 206–220. [Google Scholar] [CrossRef]
- Sheng, T.; Weng, J.; Shi, K.; Han, B. Analysis of human errors in maritime accidents: A Bayesian spatial multinomial logistic model. J. Transp. Saf. Secur. 2023, 1–17. [Google Scholar] [CrossRef]
- Lan, H.; Ma, X.; Ma, L.; Qiao, W. Pattern investigation of total loss maritime accidents based on association rule mining. Reliab. Eng. Syst. Saf. 2023, 229, 108893. [Google Scholar] [CrossRef]
- Monthly Statistical Bulletin—Notificaciones de Accidentes de Trabajo, Incidentes Peligrosos y Enfermedades Ocupacionales—Edición January 2021 until April 2022. Available online: https://www2.trabajo.gob.pe/estadisticas/estadisticas-accidentes-de-trabajo/ (accessed on 1 July 2022).
- Mantari, J.L.; Ribeiro e Silva, S.; Guedes, C. “Intact stability of fishing vessels under combined action of fishing gear”, beam waves and wind. Ocean. Eng. 2011, 38, 1989–1999. [Google Scholar] [CrossRef]
- Huang, D.; Wang, Y.; Yin, C. Selection of CO2 Emission Reduction Measures Affecting the Maximum Annual Income of a Container Ship. J. Mar. Sci. Eng. 2023, 11, 534. [Google Scholar] [CrossRef]
- Huang, D.; Liang, T.; Hu, S.; Loughney, S.; Wang, J. Characteristics analysis of intercontinental sea accidents using weighted association rule mining: Evidence from the Mediterranean Sea and Black Sea. Ocean. Eng. 2023, 287, 115839. [Google Scholar] [CrossRef]
- Cao, Y.; Wang, X.; Wang, Y.; Fan, S.; Wang, H.; Yang, Z.; Liu, Z.; Wang, J.; Shi, R. Analysis of factors affecting the severity of marine accidents using a data-driven Bayesian network. Ocean. Eng. 2023, 269, 113563. [Google Scholar] [CrossRef]
- Wang, H.; Liu, Z.; Wang, X.; Graham, T.; Wang, J. An analysis of factors affecting the severity of marine accidents. Reliab. Eng. Syst. Saf. 2021, 210, 107513. [Google Scholar] [CrossRef]














| Types of Causes | Frequency | % Causes | No. Accidents |
|---|---|---|---|
| Human factors Work organization Emergency management | 66 | 11.53 | 51 |
| 76 | 22.49 | 45 | |
| 81 | 23.96 | 37 | |
| Conditions of work spaces | 50 | 14.79 | 34 |
| Other causes | 20 | 5.92 | 19 |
| Prevention management Service or protection facilities Machines Other work equipment | 22 | 6.51 | 14 |
| 12 | 3.55 | 11 | |
| 8 | 2.37 | 4 | |
| 3 | 0.89 | 2 | |
| Total | 338 |
| Item | Occupational Diseases |
|---|---|
| 1 | Musculoskeletal disorders |
| 2 | Fatigue |
| 3 | Stress |
| 4 | Pathologies of the cardiorespiratory system |
| 5 | Respiratory diseases |
| 6 | Digestive alterations |
| 7 | Dermatological affections |
| 8 | Ophthalmic damage |
| 9 | Mortality |
| 10 | Cancer |
| 11 | Noise and hearing damage |
| Country | Documents | Citations |
|---|---|---|
| Germany | 7 | 1126 |
| United States | 27 | 984 |
| Canada | 21 | 462 |
| Brazil | 15 | 330 |
| United Kingdom | 23 | 327 |
| United Arab Emirates | 1 | 234 |
| Italy | 13 | 183 |
| Portugal | 12 | 164 |
| Spain | 20 | 153 |
| Malaysia | 9 | 151 |
| Norway | 12 | 150 |
| Greece | 5 | 121 |
| Nro | Topic | Title | Reference |
|---|---|---|---|
| 1 | Maritime accidents | “Incorporating multi-scenario underreporting rates into MICE for underreported maritime accident record analysis” | [39] |
| 2 | “A safety risk assessment for ship boarding parties from fuzzy Bayesian networks perspective” | [40] | |
| 3 | “An analysis of severity of oil spill caused by vessel accidents” | [41] | |
| 4 | “Decision Tree and Logistic Regression Analysis to Explore Factors Contributing to Harbour Tugboat Accidents” | [42] | |
| 5 | Risks of small fishing vessels | “An operational risk awareness tool for small fishing vessels operating in harsh environment” | [43] |
| 6 | “Sickness Absence and Hospitalization among Workers on Board Norwegian Fishing Vessels” | [44] | |
| 7 | “Risk perception in small-scale fishers and hyperbaric personnel: A risk assessment of hookah diving” | [45] | |
| 8 | “Influence of ship dynamics modelling on the prediction of fishing vessels roll response in beam and longitudinal waves” | [46] | |
| 9 | “Fishing for revenue: How leasing quota can be hazardous to your health” | [47] | |
| 10 | “Occupational health outcomes for workers in the agriculture, forestry and fishing sector: Implications for immigrant workers in the southeastern US” | [48] | |
| 11 | “Safety culture aboard fishing vessels” | [49] | |
| 12 | “Fishing safety policy and research” | [50] | |
| 13 | “Assessing the role of information and communication technologies in responding to ‘slavery scandals’” | [51] | |
| 14 | Vessel safety and environmental impact | “Mapping vessel traffic patterns in the ice-covered waters of the Pacific Arctic” | [52] |
| 15 | “Application of Rough Set Theory and Bow-Tie Analysis to Maritime Safety Analysis Management: A Case Study of Taiwan Ship Collision Incidents” | [53] | |
| 16 | “Managing weather & fishing safety: Marine meteorology and fishing decision-making from a governance and safety perspective” | [54] | |
| 17 | “A hybrid model for marine accident analysis based on Bayesian Network (BN) and Association Rule Mining (ARM)” | [55] | |
| 18 | “Trade-offs between physical risk and economic reward affect fishers’ vulnerability to changing storminess” | [56] | |
| 19 | “Safety in Coastal and Marine Tourism” | [57] | |
| 20 | “Linking Datasets to Characterize Injury and Illness in Alaska’s Fishing Industry” | [58] | |
| 21 | “Towards safe navigation environment: The imminent role of spatio-temporal pattern mining in maritime piracy incidents analysis” | [59] | |
| 22 | “Noise sources and hazardous noise levels on fishing vessels: The case of Newfoundland and Labrador’s fleet” | [60] | |
| 23 | “Exploring shipping accident contributory factors using association rules” | [61] | |
| 24 | “Wind-borne illness from coastal seas: Present and future consequences of toxic marine aerosols” | [62] | |
| 25 | “Health in fishing communities: A global perspective” | [63] | |
| 26 | “Aquatic food security: insights into challenges and solutions from an analysis of interactions between fisheries, aquaculture, food safety, human health, fish and human welfare, economy and environment” | [64] | |
| 27 | “A root cause analysis for Arctic Marine accidents from 1993 to 2011” | [65] | |
| 28 | “Analysis of human errors in maritime accidents: A Bayesian spatial multinomial logistic model” | [66] | |
| 29 | “Pattern investigation of total loss maritime accidents based on association rule mining” | [67] |
Disclaimer/Publisher’s Note: The statements, opinions and data contained in all publications are solely those of the individual author(s) and contributor(s) and not of MDPI and/or the editor(s). MDPI and/or the editor(s) disclaim responsibility for any injury to people or property resulting from any ideas, methods, instructions or products referred to in the content. |
© 2023 by the authors. Licensee MDPI, Basel, Switzerland. This article is an open access article distributed under the terms and conditions of the Creative Commons Attribution (CC BY) license (https://creativecommons.org/licenses/by/4.0/).
Share and Cite
Mantari, J.; Ramirez, J.; Figueroa, E.; Huerta, J.; Cipriano, W.; Amaya, D.; Cuba, L.; Guedes Soares, C. Investigating Fishing Vessel Casualties in Peru: A Technical and Scientific Review to Support New Regulations. J. Mar. Sci. Eng. 2023, 11, 2224. https://doi.org/10.3390/jmse11122224
Mantari J, Ramirez J, Figueroa E, Huerta J, Cipriano W, Amaya D, Cuba L, Guedes Soares C. Investigating Fishing Vessel Casualties in Peru: A Technical and Scientific Review to Support New Regulations. Journal of Marine Science and Engineering. 2023; 11(12):2224. https://doi.org/10.3390/jmse11122224
Chicago/Turabian StyleMantari, José, Jorge Ramirez, Edgardo Figueroa, Joel Huerta, William Cipriano, David Amaya, Lizbeth Cuba, and Carlos Guedes Soares. 2023. "Investigating Fishing Vessel Casualties in Peru: A Technical and Scientific Review to Support New Regulations" Journal of Marine Science and Engineering 11, no. 12: 2224. https://doi.org/10.3390/jmse11122224
APA StyleMantari, J., Ramirez, J., Figueroa, E., Huerta, J., Cipriano, W., Amaya, D., Cuba, L., & Guedes Soares, C. (2023). Investigating Fishing Vessel Casualties in Peru: A Technical and Scientific Review to Support New Regulations. Journal of Marine Science and Engineering, 11(12), 2224. https://doi.org/10.3390/jmse11122224

