Multi-Degree-of-Freedom for Underwater Optical Wireless Communication with Improved Transmission Performance
Abstract
1. Introduction
2. System Design
2.1. Fresnel Lens Array
2.2. Pre-Equalization
2.3. Digital Signal Recovery
3. Experimental Results
3.1. Experimental Setting
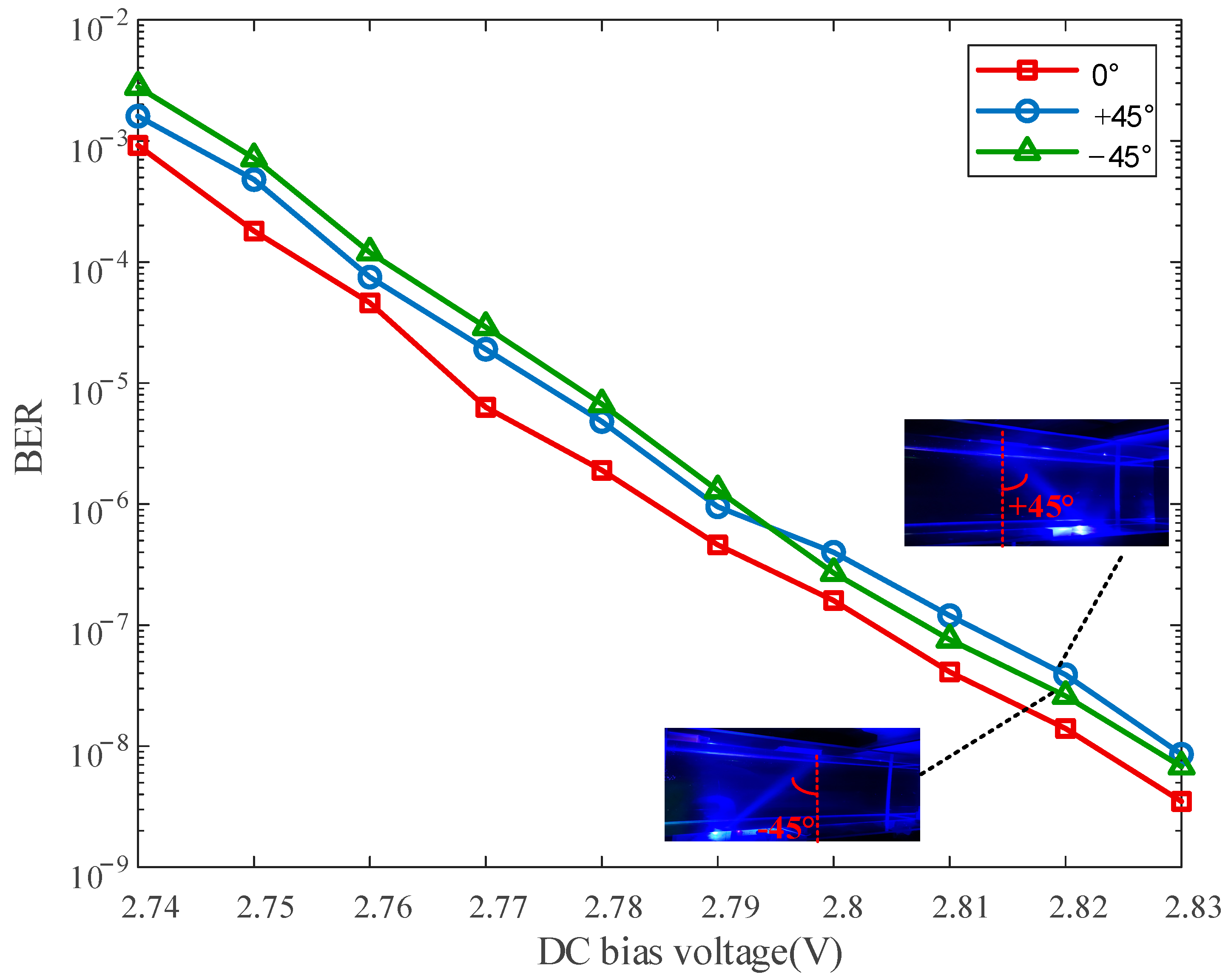
3.2. Results and Analysis
4. Conclusions
Author Contributions
Funding
Institutional Review Board Statement
Informed Consent Statement
Data Availability Statement
Acknowledgments
Conflicts of Interest
References
- Kaushal, H.; Kaddoum, G. Underwater optical wireless communication. IEEE Access 2016, 4, 1518–1547. [Google Scholar] [CrossRef]
- Ali, M.F.; Jayakody, N.K.D.; Chursin, Y.; Affes, S.; Dmitry, S. Recent advances and future directions on underwater wireless communications. Arch. Comput. Methods Eng. 2020, 27, 1379–1412. [Google Scholar] [CrossRef]
- Mohsan, S.A.H.; Mazinani, A.; Sadiq, H.B.; Amjad, H. A survey of optical wireless technologies: Practical considerations, impairments, security issues and future research directions. Opt. Quantum Electron. 2022, 54, 187. [Google Scholar] [CrossRef]
- Saeed, N.; Celik, A.; Al-Naffouri, T.Y.; Alouini, M.-S. Underwater optical wireless communications, networking, and localization: A survey. Ad Hoc Netw. 2019, 94, 101935. [Google Scholar] [CrossRef]
- Zeng, Z.; Fu, S.; Zhang, H.; Dong, Y.; Cheng, J. A survey of underwater optical wireless communications. IEEE Commun. Surv. Tutorials 2017, 19, 204–238. [Google Scholar] [CrossRef]
- Spagnolo, G.S.; Cozzella, L.; Leccese, F. Underwater optical wireless communications: Overview. Sensors 2020, 2, 2261. [Google Scholar] [CrossRef]
- Li, S.; Qu, W.; Liu, C.; Qiu, T.; Zhao, Z. Survey on high reliability wireless communication for underwater sensor networks. J. Netw. Comput. Appl. 2019, 148, 102446. [Google Scholar] [CrossRef]
- Duntley, S.Q. Light in the sea. J. Opt. Soc. Am. 1963, 53, 214–234. [Google Scholar] [CrossRef]
- Connor, J.; Champion, B.; Joordens, M.A. Current algorithms, communication methods and designs for underwater swarm robotics: A review. IEEE Sens. J. 2020, 21, 153–169. [Google Scholar] [CrossRef]
- Morozs, N.; Mitchell, P.D.; Diamant, R. Scalable adaptive networking for the internet of underwater things. IEEE Internet Things J. 2020, 7, 10023–10037. [Google Scholar] [CrossRef]
- Hoeher, P.A.; Sticklus, J.; Harlakin, A. Underwater optical wireless communications in swarm robotics: A tutorial. IEEE Commun. Surv. Tutorials 2021, 23, 2630–2659. [Google Scholar] [CrossRef]
- Bayindir, L. A review of swarm robotics tasks. Neurocomputing 2016, 172, 292–321. [Google Scholar] [CrossRef]
- Alexakis, C.; Tsabaris, C. Design of an interactive cellular system for the remote operation of ocean sensors: A pilot study integrating radioactivity sensors. J. Mar. Sci. Eng. 2021, 9, 910. [Google Scholar] [CrossRef]
- Zhu, S.; Chen, X.; Liu, X.; Zhang, G.; Tian, P. Recent progress in and perspectives of underwater wireless optical communication. Prog. Quantum Electron. 2020, 73, 100274. [Google Scholar] [CrossRef]
- Tivey, M.; Fucile, P.; Sichel, E. A low power, low cost, underwater optical communication system. Ridge 2000 Events 2004, 2, 27–29. [Google Scholar]
- Doniec, M.; Vasilescu, I.; Chitre, M.; Detweiler, C.; Hoffmann-Kuhnt, M.; Rus, D. AquaOptical: A lightweight device for high-rate long-range underwater point-to-point communication. In Proceedings of the Oceans Conference, Biloxi, MS, USA, 26–29 October 2009; pp. 1–6. [Google Scholar]
- Doniec, M.; Rus, D. Bidirectional optical communication with AquaOptical II. In Proceedings of the IEEE International Conference on Communication Systems, Singapore, 17–19 November 2010; pp. 390–394. [Google Scholar]
- Khalighi, M.A.; Hamza, T.; Bourennane, S.; Lęon, P.; Opderbecke, J. Underwater wireless optical communications using silicon photo-multipliers. IEEE Photon. J. 2017, 9, 1–10. [Google Scholar] [CrossRef]
- Li, H.; Chen, X.; Huang, B.; Tang, D.; Chen, H. High bandwidth visible light communications based on a post-equalization circuit. IEEE Photon Technol. Lett. 2014, 26, 119–122. [Google Scholar] [CrossRef]
- Chi, N.; Zhou, Y.; Ran, Y.; Hu, F. Visible light communication in 6G: Advances, Challenges, and Prospects. IEEE Veh. Technol. Mag. 2020, 15, 93–102. [Google Scholar] [CrossRef]
- Zhang, Z.; Lai, Y.; Lv, J.; Liu, P.; Teng, D.; Wang, G.; Liu, L. Over 700 MHz–3 dB bandwidth UOWC system based on blue HV-LED with T-bridge pre-equalizer. IEEE Photon. J. 2019, 11, 1–12. [Google Scholar] [CrossRef]
- Huang, X.; Wang, Z.; Shi, J.; Wang, Y.; Chi, N. 1.6 Gbit/s phosphorescent white LED based VLC transmission using a cascaded pre-equalization circuit and a differential outputs PIN receiver. Opt. Express 2015, 23, 22034–22042. [Google Scholar] [CrossRef]
- Zhou, H.; Zhang, M.; Wang, X.; Ren, X. Design and implementation of more than 50m real-time underwater wireless optical communication system. J. Light. Technol. 2022, 40, 3654–3668. [Google Scholar] [CrossRef]
- Xu, J.; Kong, M.; Lin, A.; Song, Y.; Yu, X.; Qu, F.; Han, J.; Deng, N. OFDM-based broadband underwater wireless optical communication system using a compact blue LED. Opt. Commun. 2016, 369, 100–105. [Google Scholar] [CrossRef]
- Tian, P.; Liu, X.; Yi, S.; Huang, Y.; Zhang, S.; Zhou, X.; Hu, L.; Zheng, L.; Liu, R. High-speed underwater optical wireless communication using a blue GaN-based micro-LED. Opt. Express 2017, 25, 1193–1201. [Google Scholar] [CrossRef]
- Tsai, C.; Lu, Y.; Chang, S. InGaN LEDs fabricated with parallel-connected multi-pixel geometry for underwater optical communications. Opt. Laser Technol. 2019, 118, 69–74. [Google Scholar] [CrossRef]
- Ke, X.; Yang, S.; Sun, Y.; Liang, J.; Pan, X. Underwater blue-green LED communication using a double-layered, curved compound-eye optical system. Opt. Express 2022, 30, 18599–18616. [Google Scholar] [CrossRef]
- Arnon, S.; Kedar, D. Non-line-of-sight underwater optical wireless communication network. J. Opt. Soc. Am. A 2009, 26, 530–539. [Google Scholar] [CrossRef]
- Gabriel, C.; Khalighi, M.; Bourennane, S.; Léon, P.; Rigaud, V. Monte-Carlo-based channel characterization for underwater optical communication systems. J. Opt. Commun. Netw. 2013, 5, 1–12. [Google Scholar] [CrossRef]












Disclaimer/Publisher’s Note: The statements, opinions and data contained in all publications are solely those of the individual author(s) and contributor(s) and not of MDPI and/or the editor(s). MDPI and/or the editor(s) disclaim responsibility for any injury to people or property resulting from any ideas, methods, instructions or products referred to in the content. |
© 2022 by the authors. Licensee MDPI, Basel, Switzerland. This article is an open access article distributed under the terms and conditions of the Creative Commons Attribution (CC BY) license (https://creativecommons.org/licenses/by/4.0/).
Share and Cite
Liu, A.; Zhang, R.; Lin, B.; Yin, H. Multi-Degree-of-Freedom for Underwater Optical Wireless Communication with Improved Transmission Performance. J. Mar. Sci. Eng. 2023, 11, 48. https://doi.org/10.3390/jmse11010048
Liu A, Zhang R, Lin B, Yin H. Multi-Degree-of-Freedom for Underwater Optical Wireless Communication with Improved Transmission Performance. Journal of Marine Science and Engineering. 2023; 11(1):48. https://doi.org/10.3390/jmse11010048
Chicago/Turabian StyleLiu, Anliang, Ruolin Zhang, Bin Lin, and Hongxi Yin. 2023. "Multi-Degree-of-Freedom for Underwater Optical Wireless Communication with Improved Transmission Performance" Journal of Marine Science and Engineering 11, no. 1: 48. https://doi.org/10.3390/jmse11010048
APA StyleLiu, A., Zhang, R., Lin, B., & Yin, H. (2023). Multi-Degree-of-Freedom for Underwater Optical Wireless Communication with Improved Transmission Performance. Journal of Marine Science and Engineering, 11(1), 48. https://doi.org/10.3390/jmse11010048

