Semantic Recognition of Ship Motion Patterns Entering and Leaving Port Based on Topic Model
Abstract
1. Introduction
- A semantic recognition method for motion patterns of ships entering and leaving port based on a probabilistic topic model is proposed, and the effectiveness of the method is verified using real port data.
- Based on the types and characteristics of ship activities in harbor waters, a multi-criteria ship motion state recognition and voyage division (McSMSRVD) algorithm is proposed to identify and divide the raw ship trajectory into sub-trajectories of three motion types: hoteling, maneuvering, and normal-speed sailing.
- In semantic modeling, the influence of port traffic rules on ship movement is considered to construct a ship trajectory semantic document. At the same time, two metrics, topic coherence and topic correlation, are introduced to optimize the number of topics.
- A ship traffic visualization and analysis platform based on ArcGIS and ENCs was constructed to realize the visualization and analysis of ship movement characteristics.
2. Semantic Recognition Method for Ship Motion Patterns Entering and Leaving Port
2.1. Methodological Framework
2.2. Ship Entering and Leaving Port Trajectory Segment Extraction
2.2.1. Types and Characteristics of Ship Activities
2.2.2. Ship Motion States Recognition and Voyage Division
| Algorithm 1 Multi-criteria Ship Motion State Recognition and Voyage Division Algorithm |
| Input: T (raw trajectories), MTZ (maritime traffic zone), (time interval threshold) Output: Norsail_set (normal-speed sailing activity), Mauver_set (maneuvering activity), hoteling_set (hoteling activity) Initialize: Norsail_set ← , Mauver_set ← , hoteling_set ← , k ← 1 |
| [1] Sort T by MMSI and Date in ascending order. [2] Extract and deduplicate MMSI to form ship MMSI_set. /* Motion state recognition */ 1: for each MMSI in MMSI_set do 2: [3] Extract all the data of MMSI in MMSI_set to temp and calculate temp size m. 3: for i = 1 to m do 4: if temp[i + 1].Date- temp[i].Date >= 180 then 5: if temp[i].location in MTZ then 6: if temp[i].Speed >= 0 and temp[i].Speed < 0.5 then 7: [4] Add temp[i] to hoteling_set 8: elif temp[i].Speed >= 0.5 and temp[i].Speed < 3 then 9: [5] Add temp[i] to Mauver_set 10: else 11: [6] Add temp[i] to temp_Norsail_set 12: end if 13: else 14: [7] Add temp[i] to temp_Norsail_set. 15: end if 16: else 17: [8] Add temp[i] to temp_Norsail_set 18: end if 19: end for 20:/* Voyage division */ 21: [9] Sort temp_Norsail_set in ascending order of MMSI and Date, add a column of voyage, and calculate the size of temp_Norsail_set as n. 22: for j = 1 to n do 23: [10] temp_Norsail_set[j].voyage = k 24: if | temp_Norsail_set[j + 1].Date—temp_Norsail_set[j].Date | >= then 25: [11] temp_Norsail_set[j + 1].voyage = k + 1 26: [12] k = k + 1 27: else 28: [13] temp_Norsail_set[j + 1].voyage = k 29: end if 30: end for 31: [14] Add temp_Norsail_set to Norsail_set. 32: [15] k = k + 1 33: end for |
2.3. Semantic Transformation and Textural Representation of Ship Trajectories
2.3.1. Semantic Transformation and Enrichment of Ship Motion Features
- Ship Location Semantic
- 2.
- Ship Course Semantic
- 3.
- Ship Speed Semantic
- 4.
- Traffic Rules Semantic
2.3.2. Textual Representation of Ship Trajectories
2.4. Topic Modeling of Ship Trajectory Documents
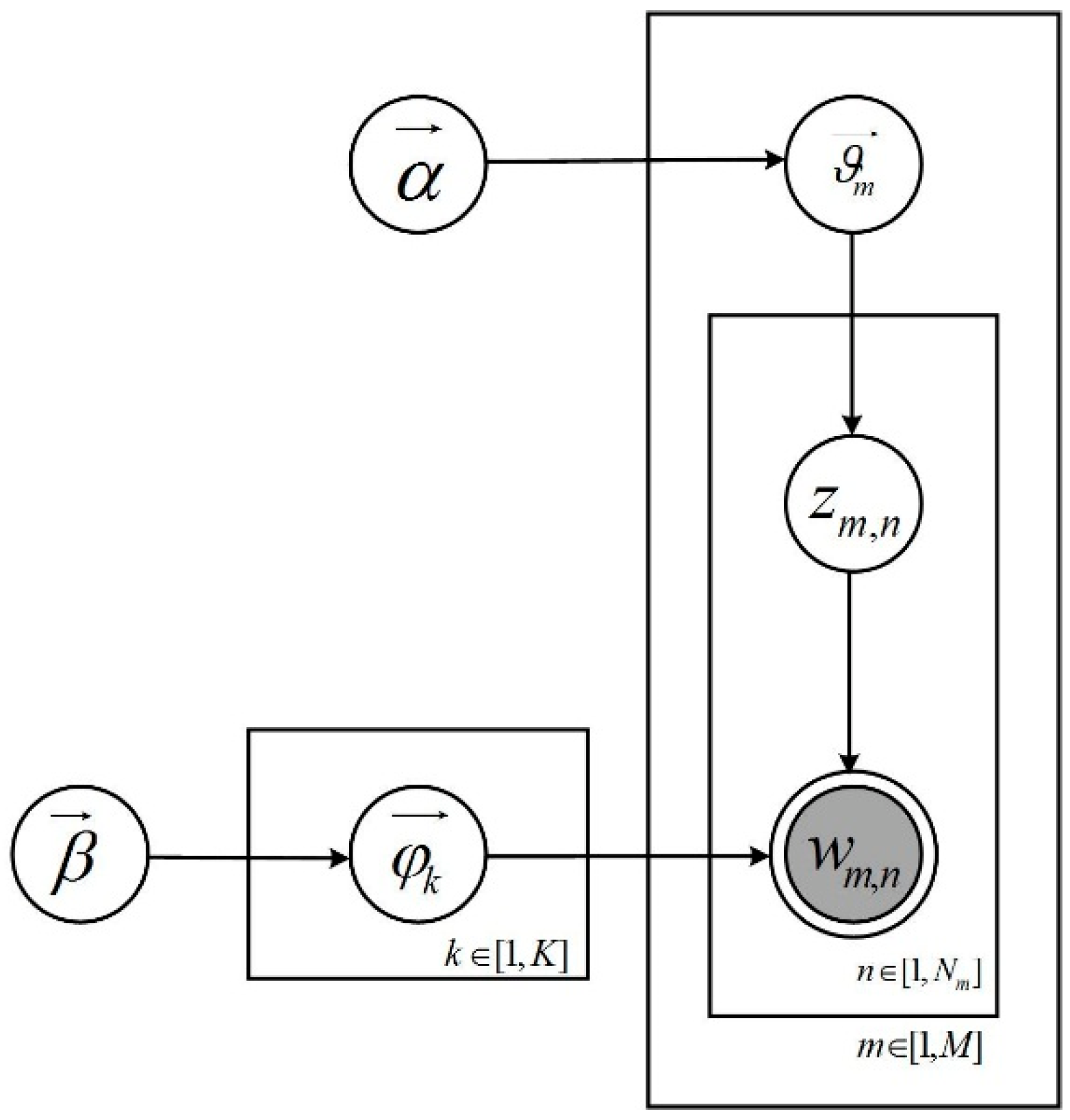
2.4.1. Latent Dirichlet Allocation Model

| //topic plate: do //document plate: do //word plate: in document m do |
2.4.2. Optimization of Topics Number
- (1)
- Calculate the correlation between topic i and topic j using cosine similarity. When the value is smaller, which indicates that topic i and topic j are more independent.
- (2)
- Calculate the topic correlation among K topics. When the value is smaller, it indicates that the topic model has better generalization performance and representation.
- (1)
- Calculate the consistency of topic z.
- (2)
- Calculate the topic consistency of K topics where a greater value indicates a higher quality of topics.
3. Experiment and Result Analysis
3.1. Experimental Area and Data
3.2. Experimental Design
3.2.1. Ship Motion States Recognition and Voyage Division
3.2.2. Semantic Transformation and Enrichment of Ship Trajectories
3.2.3. Semantic Recognition of Ship Trajectory Documents
3.3. Result Analysis
3.4. Visual Analysis
- Topic 1 represents a container ship inbound pattern, passing through the Main Waterway, Main Warning Waterway, North Warning Waterway, and West Basin, during which the speed changes from high to medium and the heading changes from west to northwest.
- Topic 2 represents a cargo ship outbound pattern, passing through the North Warning Waterway, Main Warning Waterway, and Main Waterway, during which the speed changes from medium to high and the heading remains east at all times.
- Topic 3 represents a cargo ship inbound pattern, passing through the Main Waterway and Main Warning Waterway, maintaining high speed during this time and always heading west.
- Topic 4 represents a cargo ship inbound pattern, passing through the North Boat Waterway and North Warning Waterway, maintaining medium speed during this time and always heading west.
- Topic 5 represents a cargo ship outbound pattern, passing through the West Basin, Main Warning Waterway, and Main Waterway, during which time the speed changes from low to medium and the heading remains east at all times.
- Topic 6 represents a cargo ship inbound pattern, passing through the North Boat Waterway and North Warning Waterway, maintaining high speed during this time and always heading west.
- Topic 7 represents a container ship outbound pattern, passing through the North Basin, North Warning Waterway, and Main Waterway, during which time the speed from medium to high and always heading east.
- Topic 8 represents a cargo ship outbound pattern, passing through the West Basin, Main Warning Waterway, and Main Waterway, maintaining medium speed during this time and always heading east.
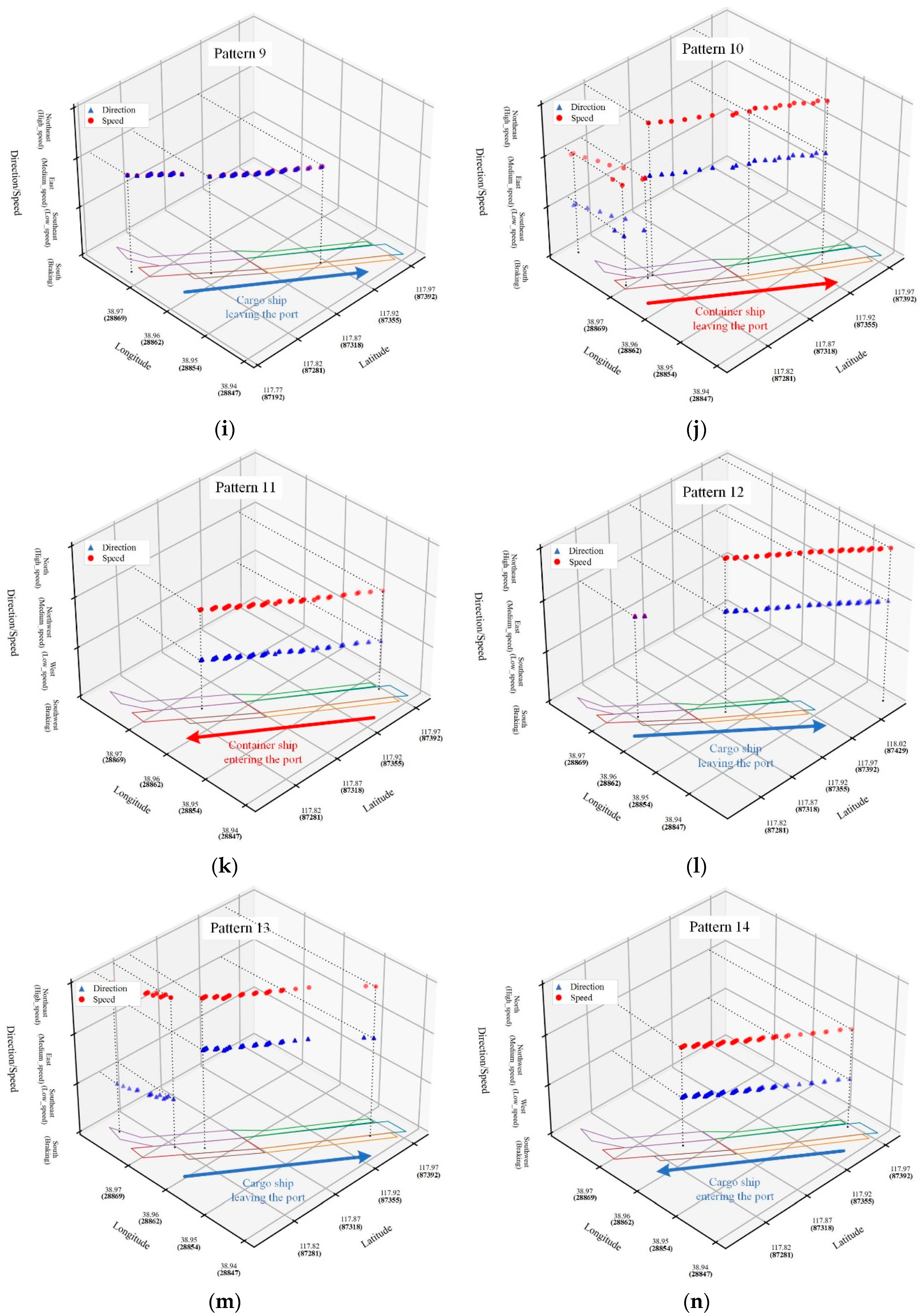
- Topic 9 represents a cargo ship outbound pattern, passing through the West Basin, Main Warning Waterway, South Warning Waterway, and South Boat Waterway, maintaining medium speed and heading is always east.
- Topic 10 represents a container ship outbound pattern; the pattern has two streams of vessel traffic. One stream passes through the North Basin, Main Warning Waterway, and the main channel, during which the speed changes from medium to high and the heading has a southeast to eastward change. The other stream passes through the West Basin, Main Warning waterway, and Main Waterway, during which the speed changes from medium to high and the heading changes from southeast to east.
- Topic 11 represents a container-inbound pattern, passing through the Main Waterway and Main Warning Waterway, maintaining medium speed, and during this time, the heading is always west.
- Topic 12 represents a cargo ship outbound pattern, passing through the Main Warning Waterway and Main Waterway, during which speed changes from medium to high speed and the heading always remains east.
- Topic 13 represents a cargo ship outbound pattern, passing through the North Basin, North Warning Waterway, Main Warning Waterway, Main Waterway, and South Boat Waterway, during which the speed changes from medium to high speed and the heading changes from southeast to east.
- Topic 14 represents a cargo ship inbound pattern, passing through the Main Waterway and Main Warning Waterway, during which speed is always medium and heading is always west.
- Topic 16 represents a container ship outbound pattern, passing through the North Basin, North Warning Waterway, Main Warning Waterway, and Main Waterway, maintaining medium speed during this time, with a southeast-to-east heading change.
- Topic 17 represents a cargo ship inbound pattern; the pattern has two streams. One stream passes through the Main Waterway and Main Warning Waterway, during which speed changes from high to medium, low and braking, and heading changes from west to northwest. The other stream passes through the Main Waterway, Main Warning Waterway, and West Basin, during which the speed changes from high to medium, low and braking, and the heading changes from west to northwest.
4. Discussion
4.1. Advantages of the Method
4.2. Limitations
5. Conclusions and Future Work
Author Contributions
Funding
Institutional Review Board Statement
Informed Consent Statement
Data Availability Statement
Acknowledgments
Conflicts of Interest
References
- Review of Maritime Transport. 2019. Available online: https://unctad.org/webflyer/review-maritime-transport-2019 (accessed on 30 October 2022).
- Chen, C.; Liu, X.; Chen, H.H.; Li, M.; Zhao, L. A rear-end collision risk evaluation and control scheme using a Bayesian network model. IEEE trans. Intell. Transp. Syst. 2022, 20, 264–284. [Google Scholar] [CrossRef]
- Chen, J.; Zhang, W.; Li, S.; Zhang, F.; Zhu, Y.; Huang, X. Identifying critical factors of oil spill in the tanker shipping industry worldwide. J. Clean. Prod. 2018, 180, 1–10. [Google Scholar] [CrossRef]
- Xue, Y.; Lai, K.H. Responsible shipping for sustainable development: Adoption and performance value. Transp. Policy. 2023, 13, 89–99. [Google Scholar] [CrossRef]
- Rong, H.; Teixeira, A.P.; Soares, C.G. Maritime traffic probabilistic prediction based on ship motion pattern extraction. Reliab. Eng. Syst. Saf. 2022, 217, 108061. [Google Scholar] [CrossRef]
- Zhang, M.; Kujala, P.; Hirdaris, S. A machine learning method for the evaluation of ship grounding risk in real operational conditions. Reliab. Eng. Syst. Saf. 2022, 226, 108697. [Google Scholar] [CrossRef]
- Zhen, R.; Shi, Z.; Liu, J.; Shao, Z. A novel arena-based regional collision risk assessment method of multi-ship encounter situation in complex waters. Ocean Eng. 2022, 246, 110531. [Google Scholar] [CrossRef]
- Vejvar, M.; Lai, K.H.; Lo, C.K. A citation network analysis of sustainability development in liner shipping management: A review of the literature and policy implications. Marit. Policy Manag. 2020, 47, 1–26. [Google Scholar] [CrossRef]
- Zhou, Y.; Daamen, W.; Vellinga, T.; Hoogendoorn, S. Review of maritime traffic models from vessel behavior modeling perspective. Transp. Res. Part C-Emerg. Technol. 2019, 105, 323–345. [Google Scholar] [CrossRef]
- Smith, M.; Reece, S.; Roberts, S.; Rezek, I. Online Maritime Abnormality Detection using Gaussian Processes and Extreme Value Theory. In Proceedings of the 2012 IEEE 12th International Conference on Data Mining (ICDM), Brussels, Belgium, 10–13 December 2012; pp. 645–654. [Google Scholar] [CrossRef]
- Zhao, L.; Shi, G. A trajectory clustering method based on Douglas-Peucker compression and density for marine traffic pattern recognition. Ocean Eng. 2018, 172, 456–467. [Google Scholar] [CrossRef]
- Gao, M.; Shi, G.Y. Ship-handling behavior pattern recognition using AIS sub-trajectory clustering analysis based on the T-SNE and spectral clustering algorithms. Ocean Eng. 2020, 205, 106919. [Google Scholar] [CrossRef]
- Chen, X.; Liu, Y.; Achuthan, K.; Zhang, X. A ship movement classification based on Automatic Identification System (AIS) data using Convolutional Neural Network. Ocean Eng. 2020, 218, 108182. [Google Scholar] [CrossRef]
- Abreu, F.H.; Soares, A.; Paulovich, F.V.; Matwin, S. A trajectory scoring tool for local anomaly detection in maritime traffic using visual analytics. ISPRS Int. J. Geo-Inf. 2021, 10, 412. [Google Scholar] [CrossRef]
- Svanberg, M.; Santén, V.; Hörteborn, A.; Holm, H.; Finnsgård, C. AIS in maritime research. Mar. Pol. 2019, 106, 103520. [Google Scholar] [CrossRef]
- Riveiro, M.; Pallotta, G.; Vespe, M. Maritime anomaly detection: A review. Wiley Interdiscip. Rev.-Data Mining Knowl. Discov. 2018, 8, e1266. [Google Scholar] [CrossRef]
- Kowalska, K.; Peel, L. Maritime Anomaly Detection using Gaussian Process Active Learning. In Proceedings of the 2012 15th International Conference on Information Fusion (FUSION), Singapore, 9–12 July 2012; pp. 1164–1171. [Google Scholar]
- Laxhammar, R. Anomaly Detection for Sea Surveillance. In Proceedings of the 2008 11th International Conference on Information Fusion (FUSION), Cologne, Germany, 30 June–3 July 2008; pp. 1–8. [Google Scholar]
- Li, H.; Lam, J.S.L.; Yang, Z.; Liu, J.; Liu, R.W.; Liang, M.; Li, Y. Unsupervised hierarchical methodology of maritime traffic pattern extraction for knowledge discovery. Transp. Res. Part C-Emerg. Technol. 2022, 143, 103856. [Google Scholar] [CrossRef]
- Li, H. Typical Trajectory Extraction Method for Ships Based on AIS Data and Trajectory Clustering. In Proceedings of the 2021 2nd International Conference on Artificial Intelligence and Information Systems, Chongqing, China, 28–30 May 2021; pp. 1–8. [Google Scholar] [CrossRef]
- Zhang, Z.; Huang, L.; Peng, X.; Wen, Y.; Song, L. Loitering behavior detection and classification of vessel movements based on trajectory shape and Convolutional Neural Networks. Ocean Eng. 2022, 258, 111852. [Google Scholar] [CrossRef]
- Liu, H.; Chen, X.; Wang, Y.; Zhang, B.; Chen, Y.; Zhao, Y.; Zhou, F. Visualization and visual analysis of vessel trajectory data: A survey. Vis. Inform. 2021, 5, 1–10. [Google Scholar] [CrossRef]
- Jin, L.; Luo, Z.; Gao, S. Visual analytics approach to vessel behaviour analysis. J. Navig. 2018, 71, 1195–1209. [Google Scholar] [CrossRef]
- Li, Y.; Ren, H. Visual Analysis of Vessel Behaviour Based on Trajectory Data: A Case Study of the Yangtze River Estuary. ISPRS Int. J. Geo-Inf. 2022, 11, 244. [Google Scholar] [CrossRef]
- Ray, R.C.; Elena, C.; Richard, D.; Anne-Laure, J.; Clément, I.; Maximilian, Z.; Melita, H. Use Case Design and Big Data Analytics Evaluation for Fishing Monitoring; OCEANS: Marseille, France, 2019; pp. 1–8. [Google Scholar] [CrossRef]
- Yan, Z.; Cheng, L.; He, R.; Yang, H. Extracting ship stopping information from AIS data. Ocean Eng. 2022, 250, 111004. [Google Scholar] [CrossRef]
- Blei, D.M.; Ng, A.Y.; Jordan, M.I. Latent dirichlet allocation. J. Mach. Learn. 2003, 3, 993–1022. [Google Scholar]
- Zhao, Z.; Koutsopoulos, H.N.; Zhao, J. Discovering latent activity patterns from transit smart card data: A spatiotemporal topic model. Transp. Res. Part C-Emerg. Technol. 2020, 116, 102627. [Google Scholar] [CrossRef]
- Tian, Z.; Yang, W.; Zhang, T.; Ai, T.; Wang, Y. Characterizing the activity patterns of outdoor jogging using massive multi-aspect trajectory data. Comput. Environ. Urban Syst. 2020, 95, 101804. [Google Scholar] [CrossRef]
- Liu, K.; Gao, S.; Lu, F. Identifying spatial interaction patterns of vehicle movements on urban road networks by topic modelling. Comput. Environ. Urban Syst. 2019, 74, 50–61. [Google Scholar] [CrossRef]
- Huang, L.; Wen, Y.; Guo, W.; Zhu, X.; Zhou, C.; Zhang, F.; Zhu, M. Mobility pattern analysis of ship trajectories based on semantic transformation and topic model. Ocean Eng. 2020, 201, 107092. [Google Scholar] [CrossRef]
- Zhang, L.; Meng, Q.; Xiao, Z.; Fu, X. A novel ship trajectory reconstruction approach using AIS data. Ocean Eng. 2018, 159, 165–174. [Google Scholar] [CrossRef]
- Technical Characteristics for an Automatic Identification System Using Time-Division Multiple Access in the VHF Maritime Mobile Band. Available online: https://www.itu.int/rec/R-REC-M.1371/en (accessed on 30 October 2022).
- Harati-Mokhtari, A.; Wall, A.; Brooks, P.; Wang, J. Automatic Identification System (AIS): Data reliability and human error implications. J. Navig. 2007, 60, 373–389. [Google Scholar] [CrossRef]
- Xiao, X.; Shao, Z.; Ji, X.; Chen, L. Speed control model of ships entering and leaving ports based on AIS data. J. Shanghai Marit. Univ. 2014, 4, 11–14. [Google Scholar]
- Newman, D.; Noh, Y.; Talley, E.; Karimi, S.; Baldwin, T. Evaluating Topic Models for Digital Libraries. In Proceedings of the 10th Annual Joint Conference on Digital Libraries (JCDL), Gold Coast Queensland, Australia, 21–25 June 2010; pp. 215–224. [Google Scholar] [CrossRef]
- Mimno, D.; Wallach, H.; Talley, E.; Leenders, M.; McCallum, A. Optimizing Semantic Coherence in Topic Models. In Proceedings of the 2011 Conference on Empirical Methods in Natural Language Processing, Edinburgh, UK, 27–31 July 2011; pp. 262–272. [Google Scholar]
- Cao, J.; Xia, T.; Li, J.; Zhang, Y.; Tang, S. A density-based method for adaptive LDA model selection. Neurocomputing 2009, 72, 1775–1781. [Google Scholar] [CrossRef]
- Manning, C.; Schutze, H. Foundations of Statistical Natural Language Processing; MIT Press: Cambridge, MA, USA, 1999; pp. 52–120. [Google Scholar]
- Shi, S.; Zhang, D.; Su, X.; Zhang, M.; Sun, M.; Yao, H. Risk Factors Analysis Modeling for Ship Collision Accident in Inland River Based on Text Mining. In Proceedings of the International Conference on Transportation Information and Safety (ICTIS), Liverpool, UK, 14–17 July 2019; pp. 602–607. [Google Scholar] [CrossRef]
- Shiri, F.; Wang, T.; Pan, S.; Chang, X.; Li, Y.; Haffari, R.; Nguyen, V.; Yu, S. Toward the Automated Construction of Probabilistic Knowledge Graphs for the Maritime Domain. In Proceedings of the International Conference on Information Fusion (FUSION), Sun City, South Africa, 1–4 November 2021; pp. 1–8. [Google Scholar] [CrossRef]
- Mei, Q.; Hu, Q.; Yang, C.; Zheng, H.; Hu, Z. Port Recommendation System for Alternative Container Port Destinations Using a Novel Neural Language-Based Algorithm. IEEE Access 2020, 8, 199970–199979. [Google Scholar] [CrossRef]

















| Date | MMSI | Type | Length | Longitude | Latitude | Direction | Speed |
|---|---|---|---|---|---|---|---|
| 1,472,691,694 | xxxxxx230 | Cargo | 114 | 118.0683 | 38.9092 | 317.1 | 3.1 |
| 1,633,518,105 | xxxxxx950 | Tanker | 138 | 117.9754 | 38.8992 | 347 | 10.3 |
| 1,633,772,063 | xxxxxx000 | Cargo | 197 | 118.0103 | 38.9150 | 311.2 | 7.8 |
| Motion States | Update Frequency |
|---|---|
| Ship is anchored or moored and less than 3 knots | 3 min |
| Ship is anchored or moored and greater than 3 knots | 10 s |
| Ship with a speed between 0 and 14 knots | 10 s |
| Ship with a speed between 0 and 14 knots and is turning | 3 1/3 s |
| Ship with a speed between 14 and 23 knots | 6 s |
| Ship with a speed between 14 and 23 knots and is turning | 2 s |
| Ship with a speed greater than 23 knots | 2 s |
| Ship with a speed greater than 23 knots and is turning | 2 s |
| Time Interval | Maritime Traffic Zone | Speed/kn | Motion State |
|---|---|---|---|
| ≥3 min | Yes | [0, 0.5] | Hoteling |
| ]0.5, 3] | Maneuvering | ||
| ]3, +∞] | Normal-speed navigation | ||
| No | [0, +∞] | Normal-speed navigation | |
| <3 min | / | [0, +∞] | Normal-speed navigation |
| Waters | Waters_Name | Waters | Waters_Name |
|---|---|---|---|
| North Anchorage | North_anchorage | North Warning Waterway | North_warning_waterway |
| South Anchorage | South_anchorage | Main Warning Waterway | Main_warning_waterway |
| Bulk Chemical Anchorage | Bulk_chemical_anchorage | South Warning Waterway | South_warning_waterway |
| North Boat Waterway | North_boat_waterway | North Basin | North_basin |
| Main Waterway | Main_waterway | West Basin | West_basin |
| South Boat Waterway | South_boat_waterway | Other Navigation Water | Other |
| ID | MMSI | Motion Word |
|---|---|---|
| 1 | xxxxxx360 | 87325#28860#Main_waterway#Cargo#West#high_speed |
| 2 | xxxxxx360 | 87323#28860#Main_waterway#Cargo#West#high_speed |
| 3 | xxxxxx280 | 87319#28861#Main_waterway#Container#West#high_speed |
| 4 | xxxxxx280 | 87319#28861#Main_waterway#Container#West#high_speed |
| 5 | xxxxxx280 | 87319#28861#Main_waterway#Container#West#high_speed |
| Ship Trajectory | Ship Type | Topic 1 | Topic 2 | Topic 3 | Topic 4 | Topic 5 | Topic 6 | Topic 7 | Topic 8 | Topic 9 |
| xxxxxx680 | Container | 0 | 0 | 0 | 0 | 0.037 | 0.046 | 0.081 | 0 | 0 |
| xxxxxx030 | Cargo | 0 | 0 | 0.006 | 0.375 | 0 | 0.189 | 0 | 0 | |
| xxxxxx000 | Cargo | 0 | 0.172 | 0 | 0 | 0 | 0 | 0 | 0.821 | 0.003 |
| Ship Trajectory | Ship Type | Topic 10 | Topic 11 | Topic 12 | Topic 13 | Topic 14 | Topic 15 | Topic 16 | Topic 17 | |
| xxxxxx680 | Container | 0.737 | 0 | 0 | 0 | 0 | 0 | 0.045 | 0.047 | |
| xxxxxx030 | Cargo | 0 | 0 | 0 | 0 | 0.240 | 0.169 | 0 | 0.021 | |
| xxxxxx000 | Cargo | 0 | 0 | 0.004 | 0 | 0 | 0 | 0 | 0 |
Publisher’s Note: MDPI stays neutral with regard to jurisdictional claims in published maps and institutional affiliations. |
© 2022 by the authors. Licensee MDPI, Basel, Switzerland. This article is an open access article distributed under the terms and conditions of the Creative Commons Attribution (CC BY) license (https://creativecommons.org/licenses/by/4.0/).
Share and Cite
Li, G.; Liu, M.; Zhang, X.; Wang, C.; Lai, K.-h.; Qian, W. Semantic Recognition of Ship Motion Patterns Entering and Leaving Port Based on Topic Model. J. Mar. Sci. Eng. 2022, 10, 2012. https://doi.org/10.3390/jmse10122012
Li G, Liu M, Zhang X, Wang C, Lai K-h, Qian W. Semantic Recognition of Ship Motion Patterns Entering and Leaving Port Based on Topic Model. Journal of Marine Science and Engineering. 2022; 10(12):2012. https://doi.org/10.3390/jmse10122012
Chicago/Turabian StyleLi, Gaocai, Mingzheng Liu, Xinyu Zhang, Chengbo Wang, Kee-hung Lai, and Weihuachao Qian. 2022. "Semantic Recognition of Ship Motion Patterns Entering and Leaving Port Based on Topic Model" Journal of Marine Science and Engineering 10, no. 12: 2012. https://doi.org/10.3390/jmse10122012
APA StyleLi, G., Liu, M., Zhang, X., Wang, C., Lai, K.-h., & Qian, W. (2022). Semantic Recognition of Ship Motion Patterns Entering and Leaving Port Based on Topic Model. Journal of Marine Science and Engineering, 10(12), 2012. https://doi.org/10.3390/jmse10122012

