Next Article in Journal
Effects of Age, Sex, and Dietary Supplementation on Carcass Traits, Meat Quality, and Lipid Composition of Manchurian Golden Quail
Previous Article in Journal
Assessing Disparities in Climate and Energy Agri-Environmental Indicators Among EU Countries Using the PROMETHEE–GAIA Method and the Entropy Index
 
 
Font Type:
Arial Georgia Verdana
Font Size:
Aa Aa Aa
Line Spacing:
Column Width:
Background:
Article

Effects of Glyphosate and Selective Herbicide Application Schemes on Weed Control and Species Diversity in Winter Wheat in the Zemgale Region of Latvia

by
Jevgenija Ņečajeva
1,*,
Gundega Putniece
1,
Renāte Sanžarevska
1,
Aigars Šutka
1,
Kaspars Rancāns
2 and
Viktorija Zagorska
1
1
Institute for Plant Protection Research ‘Agrihorts’, Faculty of Agriculture and Food Technology, Latvia University of Life Sciences and Technologies, LV-3004 Jelgava, Latvia
2
Latvian Plant Protection Research Centre, LV-1039 Riga, Latvia
*
Author to whom correspondence should be addressed.
Agriculture 2026, 16(4), 464; https://doi.org/10.3390/agriculture16040464
Submission received: 23 January 2026 / Revised: 9 February 2026 / Accepted: 13 February 2026 / Published: 17 February 2026
(This article belongs to the Section Crop Protection, Diseases, Pests and Weeds)

Abstract

This study aimed to compare different herbicide application schemes in winter wheat, including the application of glyphosate-containing herbicides in stubble and autumn or spring post-emergence application. Field experiments were conducted in 2022–2024, on two different farms, with two fields selected each year on each farm, where the pre-crop was either winter wheat (Triticum aestivum L.) or oilseed rape (Brassica napus L.). Glyphosate application had a significant effect on weed biomass reduction if the pre-crop was oilseed rape with herbicide application in one of the years, but not if it was winter wheat. The effect of glyphosate application also depended on the year and was most pronounced in the year when the sowing was performed later, reaching up to 57% weed biomass reduction without the application of post-emergence herbicides. A positive effect of glyphosate application on the grain yield was observed if the pre-crop was oilseed rape. The application of post-emergence herbicides resulted in a median weed biomass reduction of 95–96% of the untreated control. Additional herbicide application in spring did not improve weed control nor result in a yield increase. The likely causes of this are the competitive ability of winter wheat, as well as lower weed density and deeper stubble cultivation in the trials where the pre-crop was wheat. Further trials must be conducted in fields infested with grass-weed species to compare the effect of one versus two post-emergence applications. Post-emergence herbicide application, but not glyphosate application, had a negative effect on the alpha diversity of weed species, whereas higher weed diversity was associated with a higher yield increase when the pre-crop was winter oilseed rape, in the absence of highly competitive grass-weed species.

1. Introduction

Reduction in pesticide use is a goal for future agriculture in EU countries. Sustainable reduction in herbicide use in winter wheat is important for achieving the general goal of pesticide use reduction in Latvia. Winter wheat is a major crop cultivated in Latvia. Crop rotations on intensively managed farms in Latvia often include two crops, winter wheat and winter oilseed rape (once every four years), and more rarely, the inclusion of a legume crop [1].
The EU policy on herbicide use includes a goal towards 50% reduction in pesticide use and 50% reduction in most hazardous substances [2], although these goals are not currently mandatory for the EU member states. The active legislative document is the Sustainable Use of Pesticides Directive, which prioritizes the integrated pest management approach [3].
The use of glyphosate for weed control has been identified as critical in conservation agriculture but not in cereal cultivation [4]. However, proposals to exclude glyphosate treatment from cereal cultivation practices remain controversial. While highly effective as a non-selective herbicide, glyphosate has been classified as a carcinogen [4]. One of the main uses of glyphosate in Europe is for weed control in stubble after harvest. This practice is common in Latvian cereal cultivation, especially because many farms have transitioned to reduced tillage practices. A possible ban on glyphosate application is a disturbing possibility for many Latvian farmers, and data on the possible effects on weed control in winter wheat are lacking. A specific concern arises due to the widespread transition to minimum tillage practice that has occurred in Latvia in the last decade. If glyphosate must be replaced by selective herbicides, it is important to identify the most cost-effective herbicide combinations, while keeping in mind the importance of crop rotation and other cultural weed control methods for enhancing weed control efficiency.
The need for glyphosate or selective herbicide application can be evaluated by considering the economic thresholds for weed management. While the prevailing attitude of the growers is zero tolerance for residual weeds in fields, this attitude may change, and different strategies can be used to increase biodiversity in agroecosystems [5]. Species richness and diversity can be beneficial because the proportion of competitive and dominant species is lower in diversified weed communities, and they may not incur yield loss in winter cereals [6].
This study aimed to determine the effects of excluding post-harvest glyphosate application in winter wheat (Triticum aestivum L.) fields with reduced tillage. We also compared different combinations of autumn and spring herbicide applications depending on the pre-crop species. Field experiments were conducted on two commercial farms for three consecutive years. Each year, different fields with different pre-crops, winter wheat or winter oilseed rape (Brassica napus L.) were chosen. The crops were cultivated according to the routine practices of each farm. In southern Latvia, winter wheat is typically sown in September and harvested at the end of July or the beginning of August, depending on meteorological conditions. Winter oilseed rape is sown in the second half of August and harvested at the end of July or the beginning of August, depending on the meteorological conditions. Herbicides were applied according to an experimental scheme that included the post-harvest application of glyphosate and selective herbicides in different combinations in autumn and spring. The effects of herbicide application and pre-crops on the total weed fresh biomass, alpha-diversity measures of the weed communities in the fields, and the grain yield of winter wheat were compared. The initial hypotheses were that (H1) glyphosate application in stubble reduces weed biomass in winter wheat; (H2) increased weed species diversity is not necessarily associated with reduced yield; and (H3) post-emergence herbicide application twice per winter wheat production cycle reduces weed biomass and increases crop yield.

2. Materials and Methods

2.1. Establishment of the Field Experiments and Meteorological Conditions

Field experiments were conducted in southern Latvia (Zemgale region) on typical sod calcareous soils during the growing seasons of 2021–2022, 2022–2023, and 2023–2024. Soil texture was loamy soil in each trial; the exception was the field on farm Lidums with pre-crop oilseed rape in 2024, where the texture was loamy sand. The typical organic matter content was 2.7%. The trial details are summarized in Table 1. Fertilizers, growth regulators, and other plant protection products (except herbicides) were applied according to the usual practices of each farm.
The monthly average temperature and total precipitation data for the summer seasons of 2022, 2023, and 2024 were obtained from meteorological stations in Ceraukstes parish, closest to farm Lidums, and Vilces parish, closest to farm Sejas (Table 2).
The field experiments followed a split-block design, where the main factor was glyphosate application in stubble after the harvest of the pre-crop (treatments 1–6—applied, or treatments 7–12—omitted). Glyphosate was applied 7–10 days before sowing winter wheat. Within each block, an untreated control (in this case, we use the term ‘control’ in relation to a treatment where no selective herbicides were used) and five selective herbicide application treatments were the sub-factors (Table 3), and the size of each subplot was 2.5 × 13 m or 2.5 × 15 m. The selective herbicides were applied post-emergence only in autumn, in autumn and spring, or only in spring. The active ingredients and application rates are summarized in Table 3. All post-emergence herbicides were applied at the recommended growth stages of crops and weeds. Each block was repeated four times in each field. Herbicides were applied using a mobile plot sprayer with an electric drive (Schachtner PSGF 5.3 B, SCHACHTNER GERÄTETECHNIK, Ludwigsburg, Germany) equipped with a horizontal boom with a boom width of 2.5 m in a 200 L ha−1 mixture at 2 bar pressure.

2.2. Data Collection

Weed count and fresh weight (biomass) were determined 4–8 weeks after the spring herbicide application, depending on the growing conditions. The above-ground parts of all weeds were collected using three 0.25 m2 frames in each subplot. The weeds were sorted by species, counted, and weighed on the same or following day (the collected plants were stored in polyethylene bags in a refrigerator), and the average biomass per square meter was calculated. Volunteer oilseed rape plants were counted as weeds. A limitation of this study was that volunteer wheat plants were not considered as weeds because they could not be distinguished from the crop. Another important limitation was that, although the presence of grass-weed species (e.g., Apera spica-venti or Bromus sp.) was planned, no such species were observed in the trials or were rare.
Grain yield was determined by harvesting the wheat in each subplot using a plot combine (Sampo SR 2010, SAMPO ROSENLEW LTD, Pori, Finland) with a working width of 2.0 m. The grain samples were cleaned to determine the pure grain mass and moisture content. Yield was expressed in tons per hectare at a moisture content of 14%.

2.3. Data Analysis

Species richness, diversity, and evenness were characterized by calculating the Chao1, Shannon diversity, and Pielou evenness indices within each subplot using the R package ‘vegan’ (version 2.6-4) [7].
Species richness was the observed number of species and Chao1 was calculated using the number of species present in each plot (Equation (1), where Sp is the species pool, So is the observed number of species, and ai is the number of species with i individuals).
S p = S o + a 1 a 1 1 2 a 2 + 1
The Shannon diversity and Pielou evenness indices were calculated using the biomass of the species (Equations (2) and (3), where H is the Shannon–Weaver index, pi is the proportion of species i, S is the number of species, b is the natural logarithm, and J is Pielou’s evenness index).
H = Σ i = 1 S p i log b p i
J = H l o g S
The Kruskal–Wallis test was used to compare the values of the Shannon and Pielou indices in the untreated control (treatment 7) and glyphosate-treated control (treatment 1). Analysis of variance was conducted to compare the values of species diversity and evenness indices (response variables) among the years and pre-crops. Diagnostic plots were used to test the correspondence of the data to the assumptions of the analyses. The correlation between total weed biomass and the Shannon or Pielou index was tested using the Spearman correlation method separately for untreated control and herbicide-treated plots. A correlation between the yield increase and the Shannon or Pielou index was tested for herbicide-treated plots. Relative increase in grain yield was expressed as (treatment yield/control yield − 1) × 100. Expressing the results as a proportion or percentage of the untreated control allowed us to normalize them across the different years and fields where the trials were conducted.
Data on weed biomass reduction and grain yield increase were analyzed separately in each pre-crop group. A mixed linear model was fitted using the function lmer(), R package ‘lme4’ [8], to rank-transformed data (response variable) due to violations of normality and heteroscedasticity of the data on a raw scale. A rank-based model was preferred because it is robust to non-normality, heteroscedasticity, and outliers, while still allowing formal hypothesis testing and the inclusion of blocking factors, unlike simple transformations or nonparametric tests. Year, glyphosate application, herbicide treatment (combination of autumn and spring herbicides), farms, and their interactions were treated as fixed effects. The year, farm, and replication block were treated as random effects. After the preliminary analysis, the analysis was repeated separately for each pre-crop and farm. Model residuals showed approximate normality, random scatter in residuals vs. fitted values, and minor deviations detected by the DHARMa [9] quantile test, indicating that the model assumptions were sufficiently met. Post hoc pairwise comparisons, grouped by year, were performed using Sidak-adjusted estimated marginal means in R packages ‘emmeans’ [10] and ‘multcompView’ [11]. All statistical analyses were performed using R version 4.3.1 and RStudio version 2025.05.1.

3. Results

The meteorological conditions were generally favorable for winter wheat growth in all years. The average temperature during the summer months was similar in all years, although it was lower in April 2022 than in 2023 and 2024 (Table 2). The total amount of precipitation in April–September ranged from 230.6 to 516.6 mm, and the registered precipitation was generally higher at the Lidums farm, where a higher amount of precipitation in 2022 might have caused lodging in some of the fields. In spring 2023, the total monthly precipitation was lower (6–16 mm) than in the other two years (30–84 mm in 2022 and 39–67 mm in 2024) (Table 2).

3.1. Weed Species Richness and Abundant Weed Species

Weed flora was dominated by summer and overwintering broadleaf weeds, and in the fields where the pre-crop was winter wheat, the species that constituted a high proportion of the total biomass was mostly Galium aparine L., while in the fields where the pre-crop was oilseed rape, G. aparine or volunteer oilseed rape plants were dominant (Table 4; Supplementary Table S1).
In some fields, Equisetum arvense L. accounted for a substantial share of the total weed biomass, but herbicide treatment had little effect on this species.
The number of observed weed species ranged from 1 to 15 and was generally higher on the Lidums farm and in the fields where the pre-crop was oilseed rape (Table 4).

3.2. Effect of Glyphosate Application and Selective Herbicide Treatments on Weed Biomass Reduction

Weed biomass per square meter varied considerably among the years and farms (Figure 1). In 2023, the weed biomass was generally lower in all the fields.
Weed biomass was lower when the preceding crop was winter wheat than when it was oilseed rape. The values varied from 0 to 7325.6 (median value 2.2) g m−2 in the fields where pre-crop was winter wheat and from 0 to 10,005.0 (median value 15.8) g m−2 when the pre-crop was oilseed rape. The highest values were observed in the control treatments (Figure 1). In the treatments where no post-emergence herbicides were applied, glyphosate application alone did not result in a weed biomass decrease in any of the years when the pre-crop was winter wheat. When the pre-crop was oilseed rape, there was an average decrease in weed biomass of 57% compared to the untreated control without glyphosate application in 2023, while in other years, there was no decrease. The average weed biomass decrease compared to the untreated control (Treatment 7) in the herbicide-treated plots was 69% (−5 to 100%, median 95%) when the pre-crop was oilseed rape, while when the pre-crop was winter wheat, the weed biomass decrease on average was negative, due to large variations among the plots (−13,900% to 100% decrease). However, the median value was similar (96%).
A rank-based mixed model was used to assess the effects of glyphosate treatment, herbicide treatment, and year on the ranked response variable (weed biomass) for two farms, Lidums and Sejas, in the trials where the pre-crop was oilseed rape. The results of the analysis show a significant effect of glyphosate application, as well as post-emergence herbicide application, on weed biomass in both farms. The effects of each factor on weed biomass varied with year.
For the Lidums farm, the analysis revealed significant main effects of glyphosate (χ2 = 14.88, df = 1, p < 0.001), herbicide treatment (χ2 = 326.00, df = 5, p < 0.001), and year (χ2 = 81.20, df = 2, p < 0.001), as well as significant interactions between glyphosate and year (χ2 = 18.56, df = 2, p < 0.001) and between herbicide treatment and year (χ2 = 39.10, df = 10, p < 0.001). In contrast, the glyphosate × herbicide interaction (χ2 = 6.40, df = 5, p = 0.268) and the three-way interaction (χ2 = 16.85, df = 10, p = 0.078) were not significant. For the Sejas farm, the model similarly showed significant main effects of glyphosate (χ2 = 23.47, df = 1, p < 0.001) and herbicide treatment (χ2 = 163.51, df = 5, p < 0.001), whereas year had no significant effect (χ2 = 2.76, df = 2, p = 0.252). Significant interactions were observed between glyphosate and year (χ2 = 6.41, df = 2, p = 0.041) and between herbicide treatment and year (χ2 = 60.86, df = 10, p < 0.001). However, neither the glyphosate × herbicide interaction (χ2 = 4.57, df = 5, p = 0.471) nor the three-way interaction (χ2 = 14.24, df = 10, p = 0.162) was significant (Figure 1a). Together, these results indicate that while glyphosate and herbicide treatments consistently influenced the response across both farms, temporal variation in treatment effects was more pronounced in Lidums than in Sejas farm. Rank-transformed values of weed biomass were not significantly different among most treatments; nevertheless, in 2023, a tendency towards higher biomass in the treatments without glyphosate can be seen (Figure 1a).
A similar analysis was used to evaluate the effects of glyphosate treatment, herbicide treatment, and year on the ranked response variable in trials where the pre-crop was winter wheat, using data from both farms. In contrast to the trials where the pre-crop was oilseed rape, the effect of glyphosate application on total weed biomass was not statistically significant.
For the Lidums farm, the model revealed significant main effects of herbicide treatment (χ2 = 47.61, df = 5, p < 0.001) and year (χ2 = 22.85, df = 2, p < 0.001), while glyphosate (χ2 = 0.43, df = 1, p = 0.510) had no significant effects. None of the interactions—including glyphosate × herbicide (χ2 = 5.21, df = 5, p = 0.390), glyphosate × year (χ2 = 1.24, df = 2, p = 0.537), herbicide × year (χ2 = 6.79, df = 10, p = 0.745), or the three-way interaction (χ2 = 7.38, df = 10, p = 0.689)—were statistically significant, indicating stable treatment responses across years. Similarly, for the Sejas farm, significant main effects were detected for herbicide treatment (χ2 = 163.32, df = 5, p < 0.001) and year (χ2 = 6.77, df = 2, p < 0.034), whereas glyphosate remained non-significant (χ2 = 2.41, df = 1, p = 0.121). A significant herbicide × year interaction (χ2 = 88.71, df = 10, p < 0.001) was also found, demonstrating that the herbicide performance varied among years. All other interactions, including glyphosate × herbicide (χ2 = 3.57, df = 5, p = 0.613), glyphosate × year (χ2 = 1.98, df = 2, p = 0.372), and the three-way interaction (χ2 = 4.60, df = 10, p = 0.916), were not significant. Multiple comparisons showed that there were no statistically significant differences among the treatments with and without glyphosate (Figure 1b).
Herbicide treatment, including glyphosate application, affected weed biomass differently in different species. Glyphosate application resulted in a reduction in biomass of volunteer oilseed rape in 2022 and 2023 but not in 2024. Biomass of Elymus repens also tended to be lower in the treatments where glyphosate was applied. In contrast, the count and biomass of several dominant weed species, such as G. aparine, Stellaria media, and Viola arvenisis, were not reduced by glyphosate treatment (Supplementary Table S1).

3.3. Effect of Glyphosate Application and Selective Herbicide Treatment on Wheat Grain Yield

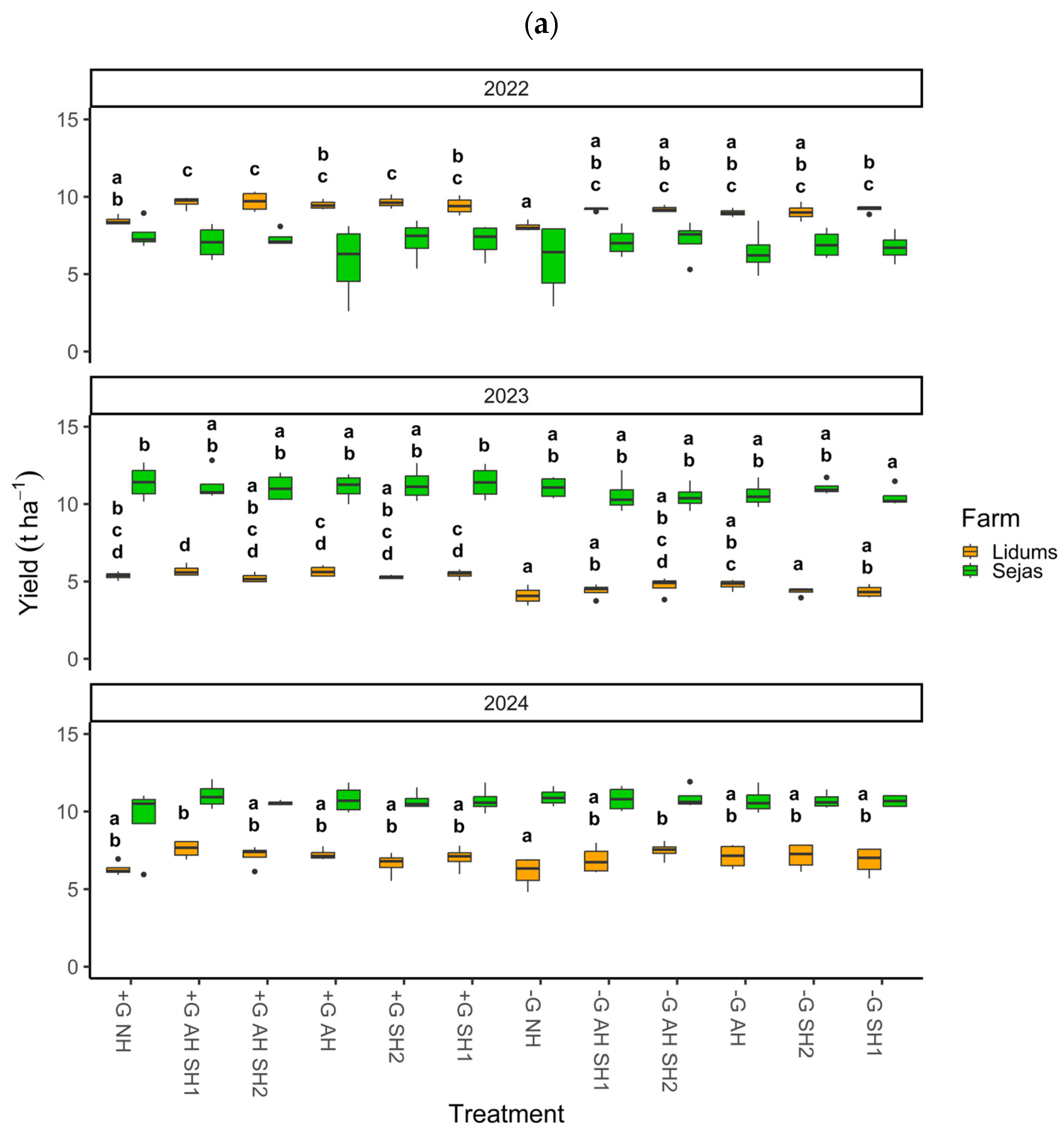
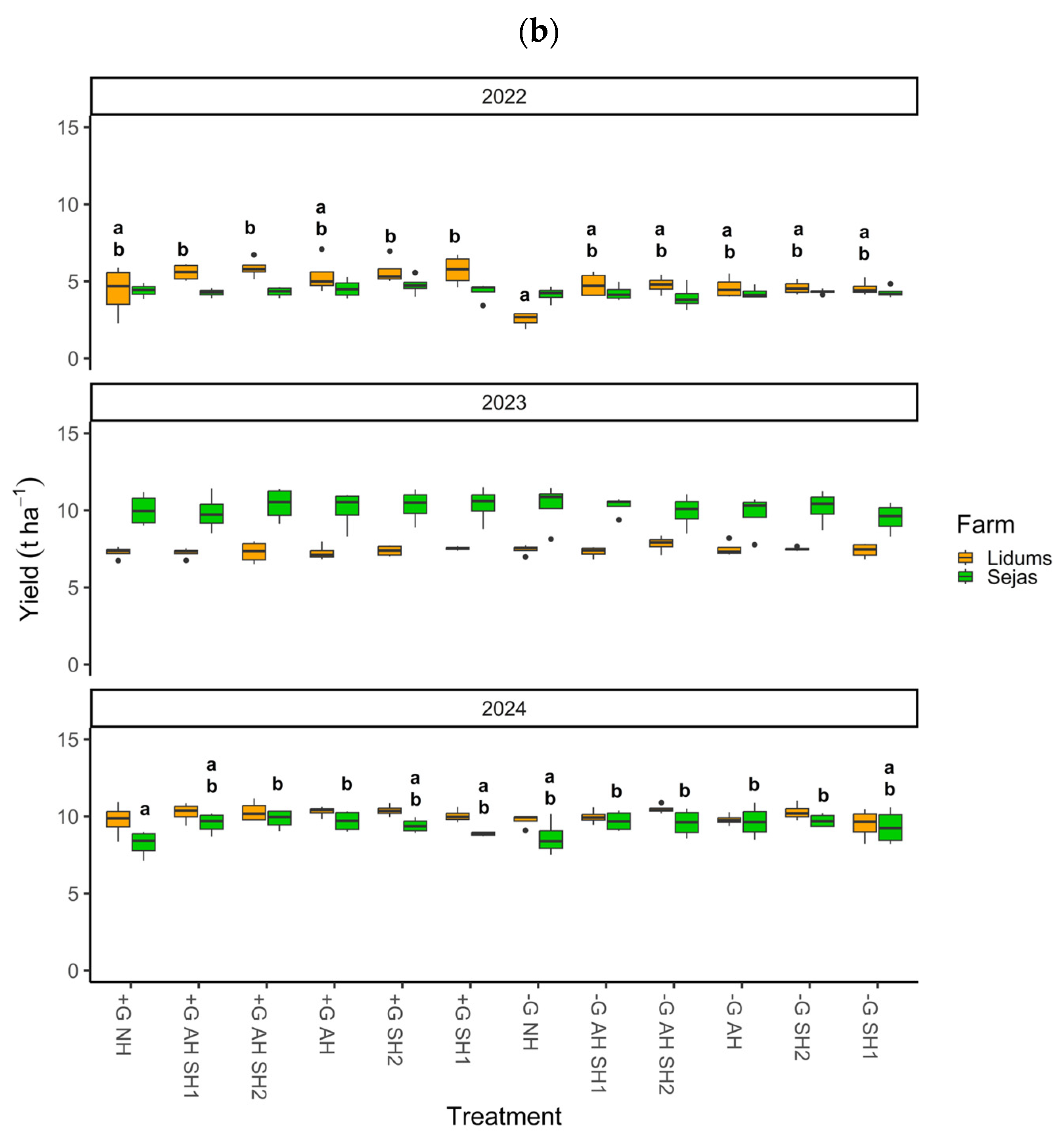
The grain yield of winter wheat differed between farms and years. In the fields where the pre-crop was oilseed rape, yields varied from 2.600 to 12.830 (median value 8.261) t ha−1, while in the fields where the pre-crop was winter wheat, yields varied from 1.901 to 11.499 (median value 7.995) t ha−1 (Figure 2).
A rank-based mixed model was used to evaluate the effects of glyphosate and herbicide treatments and year on grain yield. Year was a significant factor in all trials, but the effects of glyphosate application and post-emergence herbicide applications varied depending on the pre-crop and farm.
In trials where the pre-crop was oilseed rape, for the Lidums farm, the analysis showed significant main effects of glyphosate (χ2 = 44.01, df = 1, p < 0.001) and herbicide treatment (χ2 = 46.84, df = 5, p < 0.001), as well as a large and significant year effect (χ2 = 576.29, df = 2, p < 0.001). A significant interaction between glyphosate and year (χ2 = 27.90, df = 2, p < 0.001) indicated that the effect of glyphosate varied among years, whereas glyphosate × herbicide (χ2 = 6.24, df = 5, p = 0.283), herbicide × year (χ2 = 16.48, df = 10, p = 0.086), and the three-way interaction (χ2 = 8.87, df = 10, p = 0.545) were not significant. For the Sejas farm, two of the main effects were significant, including glyphosate (χ2 = 4.23, df = 1, p = 0.040) and year (χ2 = 27.02, df = 2, p < 0.001) but not the herbicide treatment (χ2 = 3.30, df = 5, p = 0.652). A significant glyphosate × year interaction (χ2 = 14.94, df = 2, p = 0.001) suggested that glyphosate effects differed across years, whereas all other interactions, including glyphosate × herbicide (χ2 = 6.60, df = 5, p = 0.252), herbicide × year (χ2 = 9.71, df = 10, p = 0.466), and the three-way interaction (χ2 = 12.50, df = 10, p = 0.253), were not significant. The significant effect of the year can be explained by naturally large differences in the grain yield among the years. The positive effect of glyphosate on grain yield was detected in 2023: in the farm Lidums, the differences in yield among the treatments with and without glyphosate were statistically significant. There were no statistically significant differences among any of the treatments, except for the significantly lower yield values in the untreated control in 2022 on the farm Lidums and the glyphosate-treated control in 2024 on the farm Sejas (Figure 2a).
For the trials where the pre-crop was winter wheat, at the Lidums farm, the analysis revealed significant main effects of herbicide treatment (χ2 = 16.63, df = 5, p < 0.0181) and year (χ2 = 330.17, df = 2, p < 0.001), as well as glyphosate (χ2 = 5.89, df = 1, p = 0.015). Significant interaction was detected for glyphosate × year (χ2 = 15.97, df = 2, p < 0.001), but glyphosate × herbicide (χ2 = 2.61, df = 5, p = 0.759), herbicide × year (χ2 = 8.43, df = 10, p = 0.587) and the three-way interaction were not significant (χ2 = 4,33, df = 10, p = 0.931). For the Sejas farm, herbicide treatment (χ2 = 12.16, df = 5, p = 0.033) and year (χ2 = 35.56, df = 2, p < 0.001) were significant, but glyphosate was not (χ2 = 0.40, df = 1, p = 0.525). Most interactions were also non-significant, except for the herbicide × year interaction (χ2 = 29.28, df = 10, p = 0.001), suggesting that herbicide performance varied among years. All other interactions—glyphosate × herbicide, glyphosate × year, and the three-way interaction—were not significant (Figure 2b).

3.4. Weed Species Diversity and Evenness in Fields with Different Pre-Crops

Species diversity, as measured by the Shannon diversity index, ranged from 0 to 1.23. Evenness, measured using the Pielou index, ranged from 0 to 0.94. There was no significant difference between the control plots that had been treated with glyphosate (Treatment 1) and those that had not been treated with any herbicide (Treatment 7). Simultaneously, pre-crop had a significant effect on species diversity (df = 1, F = 12.62, p < 0.0001) and evenness (df = 1, F = 8.45, p = 0.0046) (Figure 3). The Shannon diversity index was higher in the fields with the pre-crop oilseed rape, although the difference was only significant in 2024 (Figure 3b).
Species richness was generally higher in fields where the pre-crop was oilseed rape, and herbicide treatments had a generally negative effect on species richness (Figure 3c).
Total weed biomass was not correlated with the Shannon or Pielou indices in the control plots (Spearman’s rho = 0.046, p = 0.657; rho < 0.001, p = 0.998); however, there was a significant correlation in the herbicide-treated plots (rho = 0.554, p < 0.0001; rho = 0.537, p < 0.0001). The increase in grain yield in herbicide treatments compared to the untreated control without glyphosate application (Treatment 7) ranged from –42% to 56% (median value 4%) when the pre-crop was oilseed rape and from –23 to 189% (median value 3%) when the pre-crop was winter wheat. There was a weak but significant positive correlation between yield increase and both Shannon (rho = 0.269, p < 0.0001) and Pielou index (rho = 0.264, p < 0.0001) in the fields where the pre-crop was oilseed rape but not if the pre-crop was winter wheat (rho = 0.035, p = 0.532 and rho = 0.367, p = 0.552, respectively).

4. Discussion

The effect of meteorological conditions and field differences on the trial results was reflected in the interactions between the factor ‘year’ with factors such as ‘herbicide application’ and ‘glyphosate application.’ It is difficult to separate the different possible influences on the total effect of the treatments, but it is notable that dry conditions in spring 2023 were unfavorable for weed growth. In 2022, the grain yield was negatively affected by lodging, possibly resulting from high precipitation. Although this study was limited to two farms, similar trends were observed in different fields over three consecutive years, indicating that they apply to a range of conditions and are relevant to other farms in similar climatic conditions.
An important aspect of pre-sowing glyphosate application is the possible reduction in post-emergence herbicide use [12]. The hypothesis that glyphosate application reduces weed biomass was partly confirmed. A positive effect of glyphosate application on weed biomass reduction was apparent when the pre-crop was oilseed rape in 2023; weed biomass in glyphosate-treated plots was lower than that in the untreated plots. Reduction in volunteer oilseed rape plant number and biomass was observed in 2022 (Supplementary Table S1), but there was no significant decrease in total weed biomass. The difference among the years can be explained by the later sowing date after the harvest of oilseed rape in 2023. Delayed sowing, even without false seedbed preparation, can reduce weed biomass when dicotyledonous species dominate [13]. Early post-harvest application of glyphosate, especially a single application, may not control weeds effectively [14]. In reduced tillage systems, glyphosate replaces deep cultivation. However, stubble cultivation remains an important practice. The number of volunteer oilseed rape plants depends on the timing and depth of stubble cultivation, as demonstrated by Huang et al. [15]. They determined that deep cultivation three weeks after harvest was optimal for controlling volunteer oilseed rape. A similar effect of timing can be expected for glyphosate application efficacy. Furthermore, a study that linked sowing dates with herbicide use in winter crops demonstrated that delayed sowing reduces herbicide use [16]. However, the possibility of postponing cultivation or herbicide treatment and the following sowing date depends significantly on meteorological conditions, and delay is a risk factor for farmers, particularly in Latvia, where excessive soil moisture in autumn is common.
Weed species richness and diversity were low in most of the trial fields. The values determined in this study were lower than those reported for winter wheat in central-western France [17] and were comparable to or slightly lower than those reported for simple conventional crop rotation systems in Lower Saxony, Germany [18]. Species richness is negatively influenced by the number of herbicides applied and distance from the field margin and simplified crop rotation [19]. A decrease in weed species richness leads to the domination of one or a few competitive weed species, as observed in many fields included in this study, where G. aparine was often a highly dominant weed species.
The application of autumn and spring herbicides reduced the weed biomass compared to the untreated plots. In fields where volunteer oilseed rape or G. aparine were dominant, most of the reduction was due to the control of these species, showing that the target weeds were effectively managed. The high proportion of the dominant species explains why, in the control plots, higher biomass was not associated with higher species diversity. In contrast, in the herbicide-treated plots, where the mass of the dominant weeds was lower, the higher biomass of the remaining weeds was associated with higher diversity and evenness, as the biomass was more evenly distributed among the weed plants. However, generally, species richness was reduced in the herbicide-treated plots compared to the controls (Figure 3c). This agrees with the results of weed surveys in herbicide-treated and untreated plots in Germany, where herbicide treatment reduced species richness in conventional fields [18].
As was hypothesized, increased weed species diversity was not associated with reduced yield. It appears that under conditions of low weed density and biomass, weed diversity is positively associated with winter wheat grain yield. Zingsheim and Doring [20] did not find any relationship between species evenness, measured based on weed cover, and crop yield or biomass. In our study, evenness was determined based on weed biomass, which may reflect competition differently because biomass correlates with water and nutrient resources rather than light absorbed by the weeds. In more complex weed communities, weed–weed interactions may mitigate the negative effect of weeds on crop yield [6]. Effective control of dominant and highly competitive weed or volunteer crop species may enhance the mutual competition of the remaining weed species. Further research is needed to test the role of pre-crop and species composition, in addition to diversity, in mitigating the negative effects of weeds on grain yield.
Glyphosate application on stubble before sowing had a consistently positive effect on yield only when the pre-crop was oilseed rape. This suggests that volunteer crop plants predominantly cause yield loss in these fields. Simultaneously, glyphosate application in stubble did not reduce weed species diversity substantially. In this study, we did not consider volunteer wheat plants that could germinate after harvest as weeds, but the possible effect of volunteer wheat must be taken into account in further research. The effect of glyphosate application on yield, which may be related to the control of volunteer wheat in the trials where winter wheat was the pre-crop, was only evident in one of the farms and varied among the years. While a large mass of volunteer wheat plants from the previous season may weaken the crop of the current year, rare volunteer wheat plants often may not be distinguished from the current crop, and if they survive and produce grain, it is added to the total grain yield. The volunteer cereals would have a greater effect if the next crop was another species (legumes, barley or oilseed rape). An additional difficulty for the interpretation of yield data is the high inherent variability among the plots caused by factors unrelated to the trial treatments, such as variability of soil conditions and, in some circumstances, crop lodging.
The third hypothesis (two post-emergence herbicide applications reduce weed biomass and increase yield) was mostly not confirmed. It can be concluded that, particularly when the pre-crop is winter wheat, additional spring application of herbicide is not necessary and can be omitted if the weed community is dominated by dicotyledonous species. The lack of yield increase in plots treated with herbicide twice in the crop production cycle is in accordance with the findings of Gaba et al. [21], who found no relationship between herbicide use and wheat yield increase. Possible explanations include the high competitiveness of wheat against weeds, as well as the relatively low weed density and relatively deep soil cultivation performed in winter wheat stubble. A limitation of this research is that annual monocotyledonous species—particularly problematic weeds such as Apera spica-venti (L.) P.Beauv., Alopecurus myosuroides Huds., or Bromus spp.—were absent or very rare in the trial fields. The spring application of herbicides that effectively control these species can have additional benefits [22]. When concluding that one application per crop production cycle is sufficient, it should be noted that for fields infested with annual monocotyledonous weeds, two applications or additional cultural weed control methods are necessary. At the same time, the importance of agronomic practice (delayed sowing, stale seedbed) and crop rotation for efficient control of grass weeds must be emphasized [23,24]. In the context of weed species prone to herbicide resistance, such as A. spica-venti and A. myosuroides, each having multiple resistance cases worldwide [25], these practices are particularly important. Future research should be conducted in a wider area, including fields with diverse weed communities as well as grass-weed-dominated communities.

5. Conclusions

Glyphosate application before sowing winter wheat allows for a decrease in weed pressure and less negative impact on winter wheat yield. However, this effect on weed biomass is more pronounced when the previous crop is winter oilseed rape, rather than winter wheat, and is influenced by meteorological conditions and agronomic practices, such as sowing and glyphosate application timing. In the simple crop rotation, glyphosate application may not be entirely excluded, but for better efficacy, delayed application is advised.
The combination of autumn and spring herbicides did not ensure a further increase in grain yield in the absence of aggressive grass-weed species. A reduced number of herbicide applications may increase weed species diversity without compromising yield, provided that dominant weeds are effectively controlled and no aggressive grass-weed species dominate the system. Further research is needed to identify safe and effective strategies for managing grass-weed-infested winter cereal fields in Latvia.

Supplementary Materials

The following supporting information can be downloaded at: https://www.mdpi.com/article/10.3390/agriculture16040464/s1.

Author Contributions

Conceptualization, V.Z., A.Š. and J.Ņ.; methodology, J.Ņ. and A.Š.; formal analysis, J.Ņ.; investigation, J.Ņ., G.P., R.S. and K.R.; writing—original draft preparation, J.Ņ.; writing—review and editing, G.P., K.R. and A.Š.; project administration, V.Z. All authors have read and agreed to the published version of the manuscript.

Funding

This research was funded by the Ministry of Agriculture of the Republic of Latvia grant, “Sustainable plant protection system—analysis of the current situation, challenges and future solutions.” Grant number S540.

Data Availability Statement

Data available in a publicly accessible repository https://doi.org/10.5281/zenodo.17244080.

Acknowledgments

We thank colleagues from the Latvian Plant Protection Research Centre and Institute for Plant Protection Research ‘Agrihorts’, who assisted with trial establishment and data collection, and farms Lidums and Sejas, where the trials were carried out.

Conflicts of Interest

The authors declare no conflicts of interest.

References

  1. Auzins, A.; Leimane, I.; Krievina, A.; Morozova, I.; Miglavs, A.; Lakovskis, P. Evaluation of environmental and economic performance of crop production in relation to crop rotation, catch crops, and tillage. Agriculture 2023, 13, 1539. [Google Scholar] [CrossRef]
  2. Pilvere, A.; Pilvere, I.; Upite, I.; Nipers, A. European union farm to fork strategy: Pesticide use reduction possibilities. In Proceedings of the 24th International Multidisciplinary Scientific GeoConference SGEM 2024, Albena, Bulgaria, 29 June–8 July 2024; pp. 521–528. [Google Scholar]
  3. Directive 2009/128/EC of the European Parliament and of the Council of 21 October 2009 Establishing a Framework for Community Action to Achieve the Sustainable Use of Pesticides. Available online: http://data.europa.eu/eli/dir/2009/128/2019-07-26 (accessed on 9 February 2026).
  4. Neve, P.; Matzrafi, M.; Ulber, L.; Baraibar, B.; Beffa, R.; Belvaux, X.; Farré, J.T.; Mennan, H.; Ringselle, B.; Salonen, J.; et al. Current and future glyphosate use in European agriculture. Weed Res. 2024, 64, 181–196. [Google Scholar] [CrossRef]
  5. von Redwitz, C.; Andert, S.; Bensch, J.; Forster, R.; Schatke, M.; Strehlow, B.; Ulber, L. Enhancing arable weed diversity by reduced herbicide use? J. Crop Health 2025, 77, 65. [Google Scholar] [CrossRef]
  6. Adeux, G.; Vieren, E.; Carlesi, S.; Bàrberi, P.; Munier-Jolain, N.; Cordeau, S. Mitigating crop yield losses through weed diversity. Nat. Sustain. 2019, 2, 1018–1026. [Google Scholar] [CrossRef]
  7. Oksanen, J.; Simpson, G.; Blanchet, F.; Kindt, R.; Legendre, P.; Minchin, P.; O’Hara, R.; Solymos, P.; Stevens, M.; Szoecs, E.; et al. _vegan: Community Ecology Package_2024, R package version 2.6-6.1; R Core Team: Vienna, Austria, 2024.
  8. Bates, D.; Maechler, M.; Bolker, B.; Walker, S. Fitting Linear Mixed-Effects Models Using lme4. J. Stat. Softw. 2015, 67, 1–48. [Google Scholar] [CrossRef]
  9. Hartig, F. _DHARMa: Residual Diagnostics for Hierarchical (Multi-Level/Mixed) Regression Models_2022 R Package Version 0.4.6. Available online: https://CRAN.R-project.org/package=DHARMa (accessed on 9 February 2026).
  10. Lenth, R. _Emmeans: Estimated Marginal Means, Aka Least-Squares Means 2023_R Package Version 1.8.8. Available online: https://CRAN.R-project.org/package=emmeans (accessed on 9 February 2026).
  11. Graves, S.; Piepho, H.-P.; Selzer, L.; Dorai-Raj, S. _Multcompview: Visualizations of Paired Comparisons_2024 R Package Version 0.1-10. Available online: https://CRAN.R-project.org/package=multcompView (accessed on 9 February 2026).
  12. Steinmann, H.H.; Dickeduisberg, M.; Theuvsen, L. Uses and benefits of glyphosate in German arable farming. Crop Prot. 2012, 42, 164–169. [Google Scholar] [CrossRef]
  13. Rasmussen, I.A. The effect of sowing date, stale seedbed, row width and mechanical weed control on weeds and yields of organic winter wheat. Weed Res. 2004, 44, 12–20. [Google Scholar] [CrossRef]
  14. Schappert, A.; Messelhäuser, M.H.; Saile, M.; Peteinatos, G.G.; Gerhards, R. Weed suppressive ability of cover crop mixtures compared to repeated stubble tillage and glyphosate treatments. Agriculture 2018, 8, 144. [Google Scholar] [CrossRef]
  15. Huang, S.; Gruber, S.; Claupein, W. Timing and depth of post-harvest soil disturbance can reduce seedbank and volunteers of oilseed rape. Soil. Tillage Res. 2018, 175, 187–193. [Google Scholar] [CrossRef]
  16. Andert, S.; Ziesemer, A.; de Mol, F. The link between farmers’ sowing date and herbicide management. Crop Prot. 2024, 178, 106571. [Google Scholar] [CrossRef]
  17. Gaba, S.; Chauvel, B.; Dessaint, F.; Bretagnolle, V.; Petit, S. Weed species richness in winter wheat increases with landscape heterogeneity. Agric. Ecosyst. Environ. 2010, 138, 318–323. [Google Scholar] [CrossRef]
  18. Ulber, L.; Steinmann, H.H.; Klimek, S.; Isselstein, J. An on-farm approach to investigate the impact of diversified crop rotations on weed species richness and composition in winter wheat. Weed Res. 2009, 49, 534–543. [Google Scholar] [CrossRef]
  19. Schumacher, M.; Ohnmacht, S.; Rosenstein, R.; Gerhards, R. How management factors influence weed communities of cereals, their diversity and endangered weed species in central Europe. Agriculture 2018, 8, 172. [Google Scholar] [CrossRef]
  20. Zingsheim, M.L.; Döring, T.F. Does weed diversity mitigate yield losses? Front. Plant Sci. 2024, 15, 1395393. [Google Scholar]
  21. Gaba, S.; Gabriel, E.; Chadœuf, J.; Bonneu, F.; Bretagnolle, V. Herbicides do not ensure for higher wheat yield, but eliminate rare plant species. Sci. Rep. 2016, 6, 30112. [Google Scholar] [CrossRef] [PubMed]
  22. Menegat, A.; Nilsson, A.T. Interaction of preventive, cultural, and direct methods for integrated weed management in winter wheat. Agronomy 2019, 9, 564. [Google Scholar] [CrossRef]
  23. Zeller, A.K.; Zeller, Y.I.; Gerhards, R. A long-term study of crop rotations, herbicide strategies and tillage practices: Effects on Alopecurus myosuroides Huds. Abundance and contribution margins of the cropping systems. Crop Prot. 2021, 145, 105613. [Google Scholar] [CrossRef]
  24. Gerhards, R.; Messelhäuser, M.H.; Sievernich, B. Suppressing Alopecurus myosuroides in winter cereals by delayed sowing and pre-emergence herbicides. Plant Soil. Environ. 2022, 68, 290–298. [Google Scholar] [CrossRef]
  25. Heap, I. The International Herbicide-Resistant Weed Database. Online. Friday, 6 February 2026. Available online: www.weedscience.org (accessed on 9 February 2026).
Figure 1. Total weed biomass (g m−2) in winter wheat with pre-crop (a) winter oilseed rape or (b) winter wheat on two farms over three years. Treatments 1–6 included glyphosate application in stubble, denoted as +G treatments; treatments 7–12 were without glyphosate application, denoted as −G. NH—no selective herbicides applied; AH—autumn herbicide applied; SH1 and SH2—spring herbicide applied. Two different products were used. Pairwise comparisons of weed biomass reduction among the treatments were conducted separately within each farm and year using Sidak-adjusted estimated marginal means. Treatments sharing the same letter within each year and farm were not significantly different at α = 0.05. No letters are displayed if there were no statistically significant differences among the treatments.
Figure 1. Total weed biomass (g m−2) in winter wheat with pre-crop (a) winter oilseed rape or (b) winter wheat on two farms over three years. Treatments 1–6 included glyphosate application in stubble, denoted as +G treatments; treatments 7–12 were without glyphosate application, denoted as −G. NH—no selective herbicides applied; AH—autumn herbicide applied; SH1 and SH2—spring herbicide applied. Two different products were used. Pairwise comparisons of weed biomass reduction among the treatments were conducted separately within each farm and year using Sidak-adjusted estimated marginal means. Treatments sharing the same letter within each year and farm were not significantly different at α = 0.05. No letters are displayed if there were no statistically significant differences among the treatments.
Agriculture 16 00464 g001aAgriculture 16 00464 g001b
Figure 2. Grain yield of winter wheat in the trials where the pre-crop was (a) winter oilseed rape or (b) winter wheat. Treatments 1–6 included glyphosate application in stubble, denoted as +G; treatments 7–12 were without glyphosate application, denoted as −G. NH—no selective herbicides applied; AH—autumn herbicide applied; SH1 and SH2—spring herbicide applied. Two different products were used. Pairwise comparisons of weed yield increase among the treatments were conducted separately within each farm and year using Sidak-adjusted estimated marginal means. Treatments sharing the same letter within each year were not significantly different at α = 0.05. No letters are displayed if there were no statistically significant differences among the treatments.
Figure 2. Grain yield of winter wheat in the trials where the pre-crop was (a) winter oilseed rape or (b) winter wheat. Treatments 1–6 included glyphosate application in stubble, denoted as +G; treatments 7–12 were without glyphosate application, denoted as −G. NH—no selective herbicides applied; AH—autumn herbicide applied; SH1 and SH2—spring herbicide applied. Two different products were used. Pairwise comparisons of weed yield increase among the treatments were conducted separately within each farm and year using Sidak-adjusted estimated marginal means. Treatments sharing the same letter within each year were not significantly different at α = 0.05. No letters are displayed if there were no statistically significant differences among the treatments.
Agriculture 16 00464 g002aAgriculture 16 00464 g002b
Figure 3. Pielou evenness index (a) and Shannon diversity index (b) in the control plots with and without glyphosate application (treatments 1 and 7), and Chao1 index (c) in all trial plots. The indices were computed based on weed biomass. Treatments 1–6 included glyphosate application in stubble, denoted as +G; treatments 7–12 were without glyphosate application, denoted as −G. NH—no selective herbicides applied; AH—autumn herbicide applied; SH1 and SH2—spring herbicide applied. Two different products were used.
Figure 3. Pielou evenness index (a) and Shannon diversity index (b) in the control plots with and without glyphosate application (treatments 1 and 7), and Chao1 index (c) in all trial plots. The indices were computed based on weed biomass. Treatments 1–6 included glyphosate application in stubble, denoted as +G; treatments 7–12 were without glyphosate application, denoted as −G. NH—no selective herbicides applied; AH—autumn herbicide applied; SH1 and SH2—spring herbicide applied. Two different products were used.
Agriculture 16 00464 g003aAgriculture 16 00464 g003b
Table 1. Trial details in different growing seasons on the two farms: winter wheat cultivars, pre-crops (WW—winter wheat, OSR—winter oilseed rape), tillage, sowing dates, soil pH and nutrient content.
Table 1. Trial details in different growing seasons on the two farms: winter wheat cultivars, pre-crops (WW—winter wheat, OSR—winter oilseed rape), tillage, sowing dates, soil pH and nutrient content.
Growing SeasonFarmWinter Wheat CultivarPre-CropTillage Method and DateSowing DateSoil pHP2O5,
mg 100 g−1
K2O,
mg 100 g−1
2021–2022Lidums‘Patras’WWStubble cultivation, 16 cm, 4 September9 September 20217.114.818.1
2021–2022Lidums‘Patras’OSRDisc harrow, 2 cm, 8 September9 September 20217.3181.0345.9
2021–2022Sejas‘Aspect’WWStubble cultivation, 18 cm; 20 August3–4 September 20217.46.314.8
2021–2022Sejas‘Aspect’OSRStubble cultivation, 18 cm; 20 August3–4 September 20217.39.313.9
2022–2023Lidums‘Patras’WWDisc harrow, 3–4 cm, 7 September9 September 20227.214.817.6
2022–2023Lidums‘Lemmy’OSRDisc harrow, 3–4 cm, 19 September22 September 20227.424.513.8
2022–2023Sejas‘Informer’WWStubble cultivation, 18 cm, 27 September28 September 20226.94.617.6
2022–2023Sejas‘Informer’OSRStubble cultivation, 18 cm, 27 September28 September 20227.02.511.0
2023–2024Lidums‘Lemmy’WWDisc harrow, 3–4 cm, 8 September9–10 September 20237.1135.2196.4
2023–2024Lidums‘Lemmy’OSRDisc harrow, 3–4 cm, 8 September9–10 September 20236.459.6103.6
2023–2024Sejas‘Universum’WWStubble cultivation, 18 cm, 10 September11 September 20237.157.3144.5
2023–2024Sejas‘Universum’OSRStubble cultivation, 18 cm, 10 September11 September 20237.40.51.8
Table 2. Monthly average temperature and total precipitation in the summer season in 2022, 2023, and 2024 in Zemgale (data obtained from meteorological stations in Ceraukstes parish, closest to farm Lidums, and in Vilces parish, closest to farm Sejas).
Table 2. Monthly average temperature and total precipitation in the summer season in 2022, 2023, and 2024 in Zemgale (data obtained from meteorological stations in Ceraukstes parish, closest to farm Lidums, and in Vilces parish, closest to farm Sejas).
LocationYearParameterAprilMayJuneJulyAugustSeptemberTotal
Ceraukstes p.2022Temperature, °C5.710.617.517.920.210.4
2022Precipitation, mm34.884.094.4128.6137.637.2516.6
2023Temperature, °C8.211.917.217.119.216.3
2023Precipitation, mm16.012.042.880.4179.621.4352.2
2024Temperature, °C8.314.817.419.718.616.4
2024Precipitation, mm67.439.471.8121.469.282.6451.8
Vilces p.2022Temperature, °C5.210.31717.520.110.5
2022Precipitation, mm30.250.872.485.628.442.4309.8
2023Temperature, °C7.611.516.916.918.916.0
2023Precipitation, mm11.66.033.437.4126.216.0230.6
2024Temperature, °C7.614.517.219.218.416.2
2024Precipitation, mm44.048.023.6205.649.438.6409.2
Table 3. Experimental treatments: application of glyphosate-containing herbicide before sowing winter wheat (+G, glyphosate-containing herbicide applied; -G, glyphosate-containing herbicide not applied), post-emergence herbicide applications in autumn and/or in spring (NH, no post-emergence herbicide applied; AH, post-emergence herbicide applied in autumn; SH1, SH2, post-emergence herbicide applied in spring; two different herbicides were used in the trial).
Table 3. Experimental treatments: application of glyphosate-containing herbicide before sowing winter wheat (+G, glyphosate-containing herbicide applied; -G, glyphosate-containing herbicide not applied), post-emergence herbicide applications in autumn and/or in spring (NH, no post-emergence herbicide applied; AH, post-emergence herbicide applied in autumn; SH1, SH2, post-emergence herbicide applied in spring; two different herbicides were used in the trial).
Treatments with
Glyphosate, 540 g a. i. ha−1
Treatments
No Glyphosate
Selective Herbicide
Application in Autumn
Selective Herbicide
Application in Spring
(1) +G NH

Glyphosate-treated control
(7) −G NH

Untreated control
n/an/a
(2) +G AH SH1(8) −G AH SH1Flufenacet, 140 g a.i. ha−1 + diflufenican, 140 g a.i. ha−1Pyroxsulam, 11.328 g a.i. ha−1 + florasulam, 2.384 g a.i. ha−1
Surfactant Dassoil, 0.5 L ha−1
(3) +G AH SH2(9) −G AH SH2Flufenacet, 140 g a.i. ha−1 + diflufenican, 140 g a.i. ha−1Methyl-halauxifen, 4.69 g a.i. ha−1 + florasulam, 3.75 g a.i. ha−1
(4) +G AH(10) −G AHFlufenacet, 140 g a.i. ha−1 + diflufenican, 140 g a.i. ha−1n/a
(5) +G SH2(11) −G SH2n/aMethyl-halauxifen, 6.254 g a.i. ha−1 + florasulam, 5.0 g a.i. ha−1
(6) +G SH1(12) −G SH1n/aPyroxsulam, 11.328 g a.i. ha−1 + florasulam, 2.384 g a.i. ha−1
Surfactant Dassoil, 0.5 L ha−1
Table 4. The observed numbers of species and calculated Chao1 values in herbicide-untreated control plots (treatment 7) and weed species constituting > 10% of the total weed biomass in winter wheat fields with winter wheat (WW) or winter oilseed rape (OSR) as a pre-crop on two different farms in 2022–2024.
Table 4. The observed numbers of species and calculated Chao1 values in herbicide-untreated control plots (treatment 7) and weed species constituting > 10% of the total weed biomass in winter wheat fields with winter wheat (WW) or winter oilseed rape (OSR) as a pre-crop on two different farms in 2022–2024.
Farm, YearPre-CropAverage Number of Species in Untreated Control Plots (Min–Max)Chao1 Index in Untreated Control Plots (Average ± Se)Species with the Highest Proportion (%) of the Total Weed Biomass
Lidums, 2022OSR4.75 (3–7)5.25 ± 1.31Galium aparine L. (57%)
Viola arvensis Murray (14%)
Lamium amplexicaule L. (14%)
Stellaria media (L.) Vill. (13%)
Lidums, 2022WW1.0 (1)1 ± 0Galium aparine (99%)
Sejas, 2022OSR2.0 (2)2 ± 0Galium aparine (64%)
Brassica napus (36%)
Sejas, 2022WW5.5 (3–8)9.5 ± 4.83Stellaria media (74%)
Viola arvensis (10%)
Fumaria officinalis L. (10%)
Lidums, 2023OSR8.0 (7–10)8.75 ± 1.12Brassica napus (57%)
Tripleurospermum inodorum (L.) Sch.Bip. (13%)
Viola arvensis (12%)
Galium aparine (12%)
Lidums, 2023WW4.25 (2–5)7.0 ± 3.91Equisetum arvense L. (62%)
Galium aparine (33%)
Sejas, 2023OSR3.75 (2–7)3.75 ± 0.41Brassica napus (81%)
Elymus repens (L.) Gould. (18%)
Sejas, 2023WW5.0 (4–7)6.0 ± 1.87Equisetum arvense (60%)
Polygonum convolvulus L. (26%)
Lidums, 2024OSR12.5 (11–15)19.8 ± 7.65Brassica napus (35%)
Atriplex patula L. (18%)
Stellaria media (18%)
Elymus repens (10%)
Lidums, 2024WW3.0 (2–6)5.5 ± 2.71Galium aparine (57%)
Convolvulus arvensis L. (22%)
Elymus repens (14%)
Sejas, 2024OSR4.0 (3–5)3.75 ± 1.28Brassica napus (86%)
Sejas, 2024WW3.25 (1–5)3.5 ± 0.66Galium aparine (96%)
Disclaimer/Publisher’s Note: The statements, opinions and data contained in all publications are solely those of the individual author(s) and contributor(s) and not of MDPI and/or the editor(s). MDPI and/or the editor(s) disclaim responsibility for any injury to people or property resulting from any ideas, methods, instructions or products referred to in the content.

Share and Cite

MDPI and ACS Style

Ņečajeva, J.; Putniece, G.; Sanžarevska, R.; Šutka, A.; Rancāns, K.; Zagorska, V. Effects of Glyphosate and Selective Herbicide Application Schemes on Weed Control and Species Diversity in Winter Wheat in the Zemgale Region of Latvia. Agriculture 2026, 16, 464. https://doi.org/10.3390/agriculture16040464

AMA Style

Ņečajeva J, Putniece G, Sanžarevska R, Šutka A, Rancāns K, Zagorska V. Effects of Glyphosate and Selective Herbicide Application Schemes on Weed Control and Species Diversity in Winter Wheat in the Zemgale Region of Latvia. Agriculture. 2026; 16(4):464. https://doi.org/10.3390/agriculture16040464

Chicago/Turabian Style

Ņečajeva, Jevgenija, Gundega Putniece, Renāte Sanžarevska, Aigars Šutka, Kaspars Rancāns, and Viktorija Zagorska. 2026. "Effects of Glyphosate and Selective Herbicide Application Schemes on Weed Control and Species Diversity in Winter Wheat in the Zemgale Region of Latvia" Agriculture 16, no. 4: 464. https://doi.org/10.3390/agriculture16040464

APA Style

Ņečajeva, J., Putniece, G., Sanžarevska, R., Šutka, A., Rancāns, K., & Zagorska, V. (2026). Effects of Glyphosate and Selective Herbicide Application Schemes on Weed Control and Species Diversity in Winter Wheat in the Zemgale Region of Latvia. Agriculture, 16(4), 464. https://doi.org/10.3390/agriculture16040464

Note that from the first issue of 2016, this journal uses article numbers instead of page numbers. See further details here.

Article Metrics

Back to TopTop