Next Article in Journal
Optimization Design and Experiment of Soil-Covering Device for Astragalus Mulching Transplanting Machine
Previous Article in Journal
Research Progress on the Improvement of Farmland Soil Quality by Green Manure
 
 
Correction published on 9 December 2025, see Agriculture 2025, 15(24), 2545.
Font Type:
Arial Georgia Verdana
Font Size:
Aa Aa Aa
Line Spacing:
Column Width:
Background:
Article

Irrigation, Nitrogen Supplementation, and Climatic Conditions Affect Resistance to Aspergillus flavus Stress in Maize

1
Doctoral School of Food Science and Nutrition, Faculty of Agricultural and Food Sciences and Environmental Management, University of Debrecen, H-4032 Debrecen, Hungary
2
Centre for Precision Farming R&D Services, Faculty of Agricultural and Food Sciences and Environmental Management, University of Debrecen, H-4032 Debrecen, Hungary
3
Food and Environmental Toxicology Research Group, Central Laboratory of Agricultural and Food Products, Faculty of Agricultural and Food Sciences and Environmental Management, University of Debrecen, H-4032 Debrecen, Hungary
4
Department of Molecular Biotechnology and Microbiology, Institute of Biotechnology, Faculty of Science and Technology, University of Debrecen, H-4032 Debrecen, Hungary
*
Author to whom correspondence should be addressed.
Agriculture 2025, 15(7), 767; https://doi.org/10.3390/agriculture15070767
Submission received: 10 March 2025 / Revised: 28 March 2025 / Accepted: 31 March 2025 / Published: 2 April 2025 / Corrected: 9 December 2025
(This article belongs to the Section Crop Protection, Diseases, Pests and Weeds)

Abstract

Maize production is increasingly challenged by climate change, which affects plant physiology, fungal colonization, and mycotoxin contamination. Aspergillus flavus, a saprophytic fungus, thrives in warm, dry conditions, leading to aflatoxin B1 (AFB1) accumulation, and posing significant food safety risks. Macro- and micro-climatic factors, including temperature, humidity, and precipitation, influence kernel development, leaf wetness duration, and mycotoxin biosynthesis. Nitrogen availability and irrigation play crucial roles in modulating plant responses to these stressors, affecting chlorophyll content, yield parameters, and fungal interactions. To investigate these interactions, a Completely Randomized Design (CRD) was employed from 2020 to 2022 to assess physiological changes in SY Orpheus maize hybrid under varying climatic conditions. Rising temperatures and declining relative humidity (RH) significantly reduced kernel number per ear length from 25.60 ± 0.34 in 2020 to 17.89 ± 0.39 in 2022 (p < 0.05), impacting yield. The AFB1 levels peaked in 2021 (156.88 ± 59.02 µg/kg), coinciding with lower humidity and increased fungal stress. Water availability improved kernel numbers and reduced AFB1 accumulation (p < 0.05) but did not significantly affect the total fungal load (p > 0.05). Nitrogen supplementation enhanced plant vigor, suppressed AFB1 biosynthesis, and influenced spectral indices. Potential confounding factors such as soil variability and microbial interactions may require further investigations.

1. Introduction

Maize (Zea mays) holds significant global importance as a staple food crop, contributing substantially to food security, economic stability, and agricultural diversity. As one of the most widely cultivated crops, maize accounts for approximately 36% (equivalent to 782 million metric tons) of total grain production [1]. It is a primary source of calories and essential nutrients, particularly in developing nations, where it is integral to local diets and economies [2]. In the European Union, maize is a crucial crop, accounting for a significant portion of agricultural production and serving as a key ingredient in human and animal diets [3]. While maize is highly adaptable to various climatic conditions, it remains vulnerable to climate change, particularly temperature fluctuations and precipitation variability [4]. Studies indicate that extreme weather events, such as droughts and excessive rainfall, significantly impact maize yields, leading to substantial losses comparable to those caused by prolonged water stress [5,6]. For Middle Eastern Europe, climate projections suggest an increased risk of yield failures, particularly under rain-fed conditions, necessitating the adoption of drought-tolerant maize varieties and improved agricultural practices to mitigate these risks [7,8,9].
The effects of climate on maize growth and development can be broadly categorized into macro- and micro-climatic influences. Macro-climatic factors, such as temperature, solar radiation, wind, and precipitation, shape the overall climate of a region and directly impact maize phenology and yield potential. Temperature and solar radiation determine the effective accumulated temperature and cumulative light energy needed for optimal growth, while precipitation is crucial in maintaining soil moisture availability [10,11]. Wind can further influence transpiration rates and cause mechanical damage to plants [12]. In contrast, micro-climatic factors—such as canopy temperature, relative humidity, soil moisture, and leaf wetness—operate at a more localized scale and can vary significantly within a maize field. These micro-environmental factors influence key physiological processes, including transpiration, photosynthesis, and nutrient uptake. For example, canopy temperature is often lower than ambient air temperature due to evaporative cooling, which helps regulate plant metabolism under heat stress [13]. Relative humidity within the canopy affects transpiration rates, while soil moisture availability directly impacts root function and nutrient absorption [14,15]. Additionally, leaf wetness plays a role in disease susceptibility, particularly fungal infections, which can further compromise maize productivity [15].
Among the most concerning biotic threats to maize is contamination by Aspergillus flavus, a saprophytic fungus that produces aflatoxins, particularly aflatoxin B1 (AFB1)—one of the most potent naturally occurring carcinogens [16,17]. A. flavus infects maize in the field, during harvest, and throughout storage, leading to significant economic losses and food safety risks [17]. The proliferation of A. flavus and the subsequent accumulation of aflatoxins are heavily influenced by environmental factors, particularly temperature, humidity, and moisture content. Optimal conditions for fungal growth range between 25 and 35 °C, with high moisture levels facilitating infection and toxin biosynthesis [18,19]. It is also known that there is a negative correlation between some Fusarium mycotoxin production and A. flavus [20,21].
Climate-related stressors, such as heat and drought, weaken maize defenses, potentially increasing susceptibility to A. flavus infection. However, despite extensive research on AFB1 contamination, the broader physiological effects of A. flavus on maize remain poorly understood.
Understanding how irrigation and nitrogen fertilization, coupled with variations in climatic factors, influence A. flavus contamination is critical for ensuring maize productivity, food safety, and economic stability. While previous studies have established that temperature and humidity affect fungal proliferation [17,22], key gaps remain in understanding how these climatic variables predispose maize to A. flavus infection at different growth stages. Additionally, whether A. flavus infection induces lasting physiological changes in maize—potentially altering its resilience, yield quality, or susceptibility to future stress—remains largely unexplored. This study aims to evaluate the physiological responses of maize to macro- and micro-climatic conditions, identifying key stressors that may enhance susceptibility to A. flavus. Additionally, it seeks to determine whether A. flavus infection leads to persistent alterations in maize physiology, which could have implications for crop resilience, yield quality, and food safety. By addressing these objectives, this research contributes to a more comprehensive understanding of the climate–pathogen interactions affecting maize, ultimately supporting the development of targeted mitigation strategies to reduce fungal contamination under changing climatic conditions.

2. Materials and Methods

2.1. Field Experiment

Between 2020 and 2022, a micro-plot experiment was carried out according to Molnár et al. (2022) [22]. SY Orpheus (FAO 380; Syngenta Hungary Ltd., Budapest, Hungary) maize hybrid was selected for this study [23]. A Completely Randomized Design (CRD) was employed to investigate the physiological changes in SY Orpheus resulting from micro- and macro-climatic conditions and A. flavus contamination. This study examined key response variables, including mycotoxin levels, mold count, starch, protein, total polyphenols, kernel numbers per ear length, and chlorophyll and leaf spectral indices. The explanatory variables included year, inoculation (A. flavus-inoculated vs. control), irrigation (irrigated vs. non-irrigated), fertilizer application rates (60, 120, and 180 kg/ha), leaf position (above ear vs. below ear), and measurement points (<0.3 m vs. 1.5 m). Each treatment had three replicates. The plots consisted of 4 rows, each 5 m long and 3 m wide. Row spacing was 76 cm, and the plant spacing was 20 cm. Seeds were sown manually in mid-April each year. Treatments were randomly assigned across plots, ensuring each plot received a unique combination of inoculation, irrigation, and fertilizer treatments. Data were collected and analyzed using analysis of variance (ANOVA) to compare means across treatment groups and determine the effects of the experimental factors on maize physiology and mycotoxin contamination.

2.2. Mold Contamination

Aspergillus flavus AMK 4-16/IV (University of Debrecen, Debrecen, Hungary) was streaked onto malate agar (MA) medium [20 g/L glucose, 10 g/L malate extract, 5 g/L yeast extract, 15 g/L agar (Scharlab, Barcelona, Spain) and cultivated for seven days at 30 °C in the dark. Conidiospores were washed with 0.2% Tween 20 (Scharlab, Barcelona, Spain) for spore suspensions (106/mL). Plants were treated with 50 µL spore suspension through a puncture canal on ears on 12 August 2020, 2 August 2021, and 4 August 2022 in the blister (R2) phenological stage [22].

2.3. Field Measurements

The measurement program of the air conditioning stations was air temperature (°C); relative humidity (%); global radiation (W/m2); leaf moisture (%); precipitation (mm); wind speed (m/s); soil temperature (°C); soil moisture (5–15–45 cm m3/m3). With the help of nodes, which are an integral part of the measurement program of air conditioning stations, the micro-climatic parameters of treatments with different water supplies were measured. The design of the air conditioning station’s data logger (power supply: 4 V NiMH battery + 1.7 W solar cell; communication: GSM/GPRS/EDGE; antenna: 4GLTE) ensured the quality data reporting. For technical specifications of all sensors used, refer to Table S1.

2.3.1. Temperature and Humidity

Air temperature and relative humidity were measured in each experimental plot using Onset’s RXW-THC-B-868 wireless combination sensors (Onset Computer Corporation, Bourne, MA, USA) (Table S1), which provided high spatial resolution while eliminating the need for extensive cabling and minimizing the risk of damage in actively cultivated fields. Measurements were taken at two heights per location. The lower level (0.3 m) represents the canopy section, where soil-driven micro-climate dynamics predominate and spore dispersal from the soil occurs via splashing water. The upper level (1.5 m) corresponded to the average height of maize ears and the maximum leaf area density zone.

2.3.2. Leaf Wetness

Leaf wetness duration was recorded as the time the water remained on the plant canopy surface (logging interval: 5 min; sampling frequency: 10 s; averaging interval: one day). Additionally, the duration of complete canopy dryness—indicating drought conditions and the absence of atmospheric water sources (rainfall, dew formation, or irrigation)—was continuously logged and aggregated daily. Measurements were conducted using PHYTOS-31 dielectric sensors (METER Group Inc., Pullman, WA, USA) (Table S1) mounted at the same height as the temperature and humidity sensors.

2.3.3. Precipitation

Rainfall was measured outside the experimental plots to eliminate errors due to canopy interception. A Campbell Scientific (Logan, UT, USA) ARG100 tipping-bucket rain gauge was used to collect precipitation data (Table S1). The irrigation volumes applied were incorporated into the total water input for each treatment.

2.3.4. Wind Speed

Wind direction and velocity (05103, R. M. Young Company, Traverse, MI, USA) (Table S1) were recorded at the standard weather station at a height of 2 m, with a logging interval of 10 min, a sampling frequency of 10 s, and an averaging interval of one day. This study analyzed only the 10 min average wind speed and maximum gust speed data.

2.3.5. Soil Temperature

Soil temperature (107TP, Campbell Scientific, Logan, UT, USA) measurements (Table S1) were taken at a depth of 5 cm outside the maize plots using standard soil-temperature-monitoring methods, with a logging interval of 10 min, a sampling frequency of 10 s, and an average interval of one day.

2.3.6. Solar Radiation

Solar irradiance (CMP3, Kipp & Zonen, OTT HydroMet, Delft, The Netherlands) (Table S1) was recorded outside the experimental plots using an upward-facing pyranometer positioned at a height of 2 m (logging interval: 10 min; sampling frequency: 10 s; averaging interval: one day). This instrument measured incoming shortwave radiation, also known as global irradiance.

2.3.7. Data Processing and Evaluation

The original data from the three-year trial, recorded at 5 and 10 min intervals, were aggregated daily to extract minimum, maximum, sum, and mean values. Since plant and fungal stress factors influencing fungal development and toxin production are strongly linked to extreme temperatures, humidity, and water availability, special emphasis was placed on analyzing the severity and frequency of these occurrences.

2.4. Plant Physiological Measurements

2.4.1. Chlorophyll Content

The handheld chlorophyll content index (CCI) meter (model MC-100, Apogee Instruments, Logan, UT, USA) was used to estimate the chlorophyll content of the leaves. In the case of SPAD measurements, it is important to consider the irradiation, the leaf water status and the time of measurements. To eliminate such possible errors, the measurement time in our experiment was always between 10 and 12 am. In the case of corn, the Apogee MC-100 chlorophyll meter is well applicable since the leaves are thin and the leaf surface is smooth. The chlorophyll meter utilizes the transmittance ratio at 653 nm and 931 nm to determine the relative chlorophyll content. The ratio is termed CCI, and the MC-100 converts CCI to SPAD units. The measurements were performed once a week, starting from 10:00 a.m., for 5 weeks after inoculation. The measurements were taken on the leaves above and next to the ears. In each replication, five measurements were taken along the entire length of the leaf surface on the five designated plants. The measurement area was 63.6 mm2.

2.4.2. Spectral Reflectance

An ASD FieldSpec3 spectroradiometer (Malvern Panalytical, Malvern, UK) was used to collect leaf spectral reflectance data. The equipment can detect the spectrum from 350 nm to 2500 nm. The ASD Plant Probe accessory, equipped with an internal 99% reflectance board, was used to filter out external interference and noise, thereby collecting pure leaf reflectance spectra. Data acquisition and processing were performed using ASD RS3™ software (Malvern Panalytical, version 6.4, Malvern, UK). We calculated the REP (Red Edge Position) and ratio of first derivatives of 725 and 702 nm from the spectral data to detect changes in leaf optical properties under different treatments. The measurements were conducted simultaneously and on the same leaves as for the chlorophyll content.

2.4.3. Kernel Numbers on Ear Length

At the end of the physiological development, the dried cobs were dehulled, and photos were taken. In the photos, kernel numbers on the lengths of cobs (n ≥ 8) were determined and statistically analyzed.

2.5. Analytical Measurements

2.5.1. Sample Preparation

Coarsely milled kernels exhibited distinct chemical compositions. The samples were dried in a drying cabinet (UN55, Memmert GmbH, Schwabach, Germany) at 60 °C ± 1 °C in three repetitions to achieve weight stability. The mean dry weight and standard deviation of the three repetitions were calculated [24]. The antioxidant polyphenol content of the kernels was determined using the Folin–Ciocalteu method and expressed as gallic acid equivalent (GAE) based on a gallic acid reference curve [25]. Protein nitrogen content was measured using the Kjeldahl method [26]. The samples were disrupted with concentrated sulfuric acid and Se-containing catalyst tablets (VWR International Ltd., Geldenaaksebaan, Belgium) in a digester (DKL 20 Automatic Digestion Unit, VELP Scientifica Srl, Usmate, Italy) at 420 °C. After the sample cooled down, it was distilled in a Velp Scientifica UDK 149 distillation device. The released ammonium was titrated using an automatic titrator (TitroLine 5000, Velp Scientifica, Usmate, Italy). Ammonium sulfate and tryptophane of high purity were applied as controls. The protein was calculated from the released ammonium with a factor 6.25. The starch content was determined using standard polarimetry with a CETI Polaris Analogue Polarimeter (Medline, Chalgrove, UK).

2.5.2. HPLC Analyses

HPLC measurements were performed using a Thermo Scientific Dionex Ultimate 3000 HPLC system (Dionex Softron Ltd., Germering, Germany). Biopure mycotoxin standard solutions (Romer Labs, Tulln, Austria) were used in an appropriate dilution. Sample preparation was carried out according to Adácsi et al. (2022) [27]. Thermo Scientific Dionex Chromeleon 7.2 Chromatography Data System (CDS) software (Dionex Softron Ltd., Germering, Germany) was used for data collection and evaluation. Calibration curves were prepared using Biopure mycotoxin standard solutions, and quality assurance was performed with certified Biopure reference samples from Romer Labs (Tulln, Austria). The performance, detection limit, linear range, and reproducibility of the applied HPLC methods were evaluated by contaminating ground maize with mycotoxins at varying concentrations (n = 8). The limit of detection (LOD) was 0.01 mg/kg deoxynivalenol (DON) and 0.001 µg/kg zearalenone (ZEA). A linear range of up to 50 mg/kg was detected. The relative standard deviations were calculated as the absolute value of the coefficient of variation, and in all cases, it was found to be below 10%.

2.5.3. Fumonisin Analysis with ELISA

The detection of fumonisin (FUM) was performed using the AgraQuant Fumonisin ELISA (Romer Labs, Tulln, Austria) according to the manufacturer’s instructions with the BioTek Synergy HTX Multimode Reader (BioTek, Winooski, VT, USA). The samples were measured at 450 nm (n = 3, CV% < 5%; LOD 0.2 mg/kg) [28].

2.6. Mold Count

Total mold counts were determined by the surface spreading method on Chloramphenicol Glucose Agar (Scharlab, Barcelona, Spain) medium incubated at 25 °C for 5 days [29].

2.7. Statistical Analysis

All collected data were analyzed using univariate analysis of variance (ANOVA) through the generalized linear model (GLM) procedure. Mean differences were determined using Duncan’s multiple range test (DMRT) and the Independent-Sample t-test at a 0.05 significance level. Pearson’s linear correlation analyses assessed variations in response variables, while multiple regression analyses evaluated relationships between variables. To stabilize variance, mold count data (CFU/g) were log-transformed, and AFB1 content was log-transformed prior to statistical analysis. The transformed data exhibited a normal distribution [30]. Statistical analyses were performed using IBM SPSS Statistics Version 20 software (SPSS Inc., Chicago, IL, USA).

3. Results

3.1. Kernel Production, Infection, Mycotoxin Contamination and Nutrient Composition

The effect of Aspergillus flavus inoculation on kernel production, kernel infection, mycotoxin contamination and nutrient composition revealed notable differences between the inoculated (IN) and control (CT) groups (Table 1).
The mean kernel number per ear length was 21.25 for the control group and 20.14 for the inoculated group, with a standard error of 0.33 and 0.43, respectively (Table 1). Statistical analysis revealed that the inoculated group had a significantly lower mean kernel number per ear length compared to the control group (p < 0.05).
Inoculation with A. flavus significantly increased the mold counts and AFB1 levels in maize kernels. The inoculated group exhibited a significantly higher mean mold count (6.32 ± 0.13) compared to the control group (5.55 ± 0.17; p < 0.05). Similarly, AFB1 concentrations were markedly elevated in inoculated plants (139.46 ± 38.64 µg/kg) compared to the control (0.11 ± 0.07 µg/kg; p < 0.05).
In this study, fumonisin B1 (FB1), deoxynivalenol (DON), and zearalenone (ZEA) were measured to assess the broader spectrum of mycotoxin contamination in maize under experimental conditions. While the primary focus was on AFB1, evaluating these additional mycotoxins provided insights into the interactions between Aspergillus and Fusarium species [31] and their toxin production in response to stress factors such as irrigation, nitrogen supplementation, and climatic variations in the natural environment. In this study, there were no statistically significant differences (p > 0.05) in the concentrations of FB1, DON, or ZEA between the groups. FB1 levels were consistently higher than DON and ZEA, suggesting that the experimental conditions likely favored the proliferation of Fusarium verticillioides and F. proliferatum, the primary producers of FB1, over F. graminearum, which is responsible for DON and ZEA biosynthesis [32,33]. Although a negative correlation was observed between FB1 and DON, it was not statistically significant, indicating potential but weak competitive interactions between these mycotoxin-producing species. The higher FB1 levels could be attributed to the ecological dominance of F. verticillioides and F. proliferatum, which are common endophytes in maize and can colonize kernels even under relatively mild environmental stress [33]. In contrast, F. graminearum thrives in cooler, more humid conditions, which may not have been prevalent during the experiment. The environmental conditions, particularly temperature and moisture availability, likely favored the proliferation of Fusarium spp. associated with FB1 production while limiting the growth of F. graminearum and the accumulation of DON and ZEA. Additionally, the SY Orpheus maize hybrid used in this study may have exhibited varying susceptibility to different Fusarium species. Greater susceptibility to F. verticillioides would result in elevated FB1 accumulation, whereas increased resistance to F. graminearum could explain the lower levels of DON and ZEA. Starch and protein content were also not significantly different (p > 0.05) between treatments, indicating that fungal inoculation did not markedly influence these macro-nutrients. Likewise, total polyphenol content showed no significant difference between the inoculated and control groups. This could be attributed to the structural integrity of the SY Orpheus maize hybrid kernels, where starch and protein reserves are compartmentalized within the endosperm and aleurone layer, limiting direct fungal access to enzymatic degradation.
The kernel number per ear length showed no significant difference between irrigation treatments (p > 0.05) (Table S3). However, the mean kernel number per ear length was slightly higher in the irrigated group (21.23 ± 0.37) compared to the non-irrigated group (20.19 ± 0.38). Levene’s Test for equality of variances indicated no significant difference between the groups (p > 0.05). The mean AFB1 concentration was higher in the non-irrigated group (96.24 ± 41.40 µg/kg) compared to the irrigated group (43.32 ± 16.37 µg/kg), though this difference was not statistically significant (p > 0.05). In contrast, the mean log mold count was slightly higher in the irrigated group (6.04 ± 0.17) than in the non-irrigated group (5.83 ± 0.18), but this difference was also not statistically significant (p > 0.05). No significant differences were observed in FB1, DON, or ZEA toxin levels between irrigation treatments (p > 0.05) (Table S3).
The starch and protein contents were comparable between the non-irrigated and irrigated groups, with no significant differences (p > 0.05). Similarly, the total polyphenol content did not differ significantly (p > 0.05) between the two treatments, suggesting that irrigation did not notably influence polyphenolic metabolism (Table S3).
A combined effect of inoculation and irrigation was investigated to evaluate the influence of these treatments on plant physiology. This study included four treatment groups: control–non-irrigated (CTNI), control–irrigated (CTIR), inoculated–non-irrigated (INNI), and inoculated–irrigated (INIR; Table S2). These groups assessed how inoculation with A. flavus and varying irrigation conditions affect plant physiological responses, fungal growth, and AFB1 production. The one-way ANOVA analysis evaluated the effect of treatment conditions on kernel number per ear length. The mean kernel numbers for the CTNI, CTIR, INNI, and INIR groups were 21.17 ± 0.48, 21.33 ± 0.46, 19.09 ± 0.58, and 21.11 ± 0.60, respectively (Figure 1a). The ANOVA results showed a statistically significant effect of treatment on kernel number (p < 0.05). Irrigation mitigated the adverse effects of A. flavus inoculation on kernel development, as evidenced by the similar kernel numbers between the inoculated–irrigated (INIR) and control groups (CTNI and CTIR). In contrast, the inoculated–non-irrigated (INNI) group exhibited significantly reduced kernel numbers, indicating that water stress exacerbates the negative impact of fungal inoculation. AFB1 levels varied significantly across treatments (p < 0.05; Figure 1b). The highest levels were observed in the INNI group (192.31 ± 70.54 µg/kg), followed by the INIR group (86.60 ± 25.89 µg/kg). This suggests that environmental stress and fungal infection promoted higher toxin production. The lowest AFB1 levels were found in CTNI (0.18 ± 0.14 µg/kg) and CTIR (0.04 ± 0.03 µg/kg). Mold counts were also highest in the INNI (6.32 ± 0.22) and INIR (6.32 ± 0.14) groups, demonstrating that A. flavus inoculation significantly increased fungal growth compared to the control treatments (CTNI and CTIR) (Figure 1c).
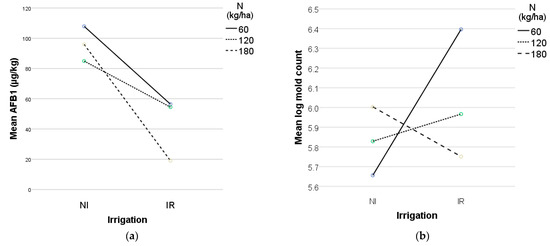
A combined effect of inoculation and nitrogen application was studied to evaluate the effect of nitrogen on plant physiology, fungal growth, and AFB1 production. Six treatment groups were established: control with 60 kg/ha nitrogen (CT60), control with 120 kg/ha nitrogen (CT120), control with 180 kg/ha nitrogen (CT180), inoculated with 60 kg/ha nitrogen (IN60), inoculated with 120 kg/ha nitrogen (IN120), and inoculated with 180 kg/ha nitrogen (IN180). These groups were designed to assess varying nitrogen application rates, both with and without fungal inoculation, and influence plant–fungal interactions and associated outcomes (Table S2).
The ANOVA analysis explored the combined effect of A. flavus inoculation and nitrogen (N) levels on kernel development, as measured by kernel numbers per ear length (Figure 2). The kernel numbers for CT60, CT120 and CT180 (Table S2) were 20.32 ± 0.57, 22.22 ± 0.54 and 21.33 ± 0.59, respectively (Figure 2). The kernel numbers for IN60, IN120 and IN180 were 19.89 ± 0.69, 20.14 ± 0.73 and 20.38 ± 0.80, respectively.
The one-way ANOVA analysis examined the effect of nitrogen application rates (60 kg/ha, 120 kg/ha, and 180 kg/ha) on kernel number per ear length (Table S4). The results revealed no statistically significant difference between the nitrogen application groups (p > 0.05). The lack of a significant effect may suggest that variations in nitrogen rates within the tested range do not markedly influence kernel development under these experimental conditions. This could be due to optimal nitrogen saturation already achieved at the lower application rate (60 kg/ha) or the limited sensitivity of kernel development to further increases. Environmental factors, soil characteristics, or plant nutrient utilization efficiency might also play a role in minimizing observable differences. Despite no significant differences in kernel numbers across the groups in the overall ANOVA test (p > 0.05) (Table S4), post hoc analysis revealed notable trends, with specific pairwise comparisons indicating significant effects. At 120 kg N/ha, non-inoculated plants (CT120) produced the highest kernel numbers, significantly exceeding those of non-inoculated plants at 60 kg N/ha (CT60; p < 0.05). In contrast, A. flavus-inoculated plants at any nitrogen level exhibited suppressed kernel development, particularly at 60 kg N/ha (IN60; p < 0.05), indicating that inoculation and reduced nitrogen levels compromise kernel productivity.
Inoculated samples (IN60, IN120, IN18) exhibited notably higher AFB1 and log mold count levels than controls (CT60, CT120, CT180; Table 2). Post hoc testing for least significant differences (LSD) revealed that IN60 had the highest mean AFB1 and log mold count at 164.25 ± 74.25 µg/kg and 6.45 ± 0.21, respectively, potentially due to enhanced fungal activity facilitated by early inoculation and nitrogen-enriched conditions (Table 2). In the inoculated group, it was observed that an increase in nitrogen lowered AFB1 and mold count.
Fumonisin B1 (FB1) concentrations showed no significant differences across groups (p > 0.05; Table 2). This indicates that varying nitrogen levels and inoculation did not markedly influence FB1 production. It was observed that DON was absent in the later inoculation treatments (IN120 and IN180).
There were no significant differences in starch and protein content across treatments (p > 0.05; Table 2), indicating that these parameters remained stable despite inoculation and nitrogen application variations. Slight variations in the total polyphenol content were noted but were not statistically significant (p > 0.05).
Based on the findings, adequate irrigation and the application of 180 kg/ha nitrogen emerged as the most effective strategy for managing A. flavus growth and AFB1 biosynthesis in maize (Figure 3). Post hoc testing with Duncan’s multiple range test showed that the INNI120, INNI180, and INNI60 groups significantly differed from CTIR180 and INIR180, with lower mean kernel production (p < 0.05) (Table 3).
Higher nitrogen levels (180 kg/ha) in inoculated treatments significantly reduced AFB1 production and mold counts, indicating its potential to limit A. flavus colonization and toxin production (Figure 3).
A combined effect of inoculation and irrigation was investigated to evaluate the influence of these treatments on plant physiology (Table S5), and no statistical significance was found. The correlation analysis revealed notable relationships between mycotoxins, mold infection and nutrient content, shedding light on the underlying physiological and biochemical dynamics in the experimental conditions (Table 4).
AFB1 was positively correlated to mold count (r = 0.479, p < 0.01; Table 4). FB1, on the other hand, showed a positive correlation with protein content (r = 0.316; p > 0.05) and mold count (r = 0.177; p > 0.05) but was not statistically significant. Similarly, DON was positively correlated with total polyphenols (r = 0.388, p > 0.05) but was not statistically significant. Notably, starch content displayed a significant negative correlation with protein content (r = −0.664, p < 0.01). Mold count was non-significantly positively correlated to starch content (r = 0.313, p > 0.05). Protein content showed a positive correlation with total polyphenols (r = 0.386, p > 0.05) but was negatively correlated to mold count (r = −0.161, p > 0.05); however, it was statistically insignificant.

3.2. Physiological Changes in the Maize Plant

This experiment investigated the effects of various treatments on maize plants by analyzing physiological changes. Key indicators assessed included chlorophyll content (measured as SPAD values) and leaf spectral indices, specifically red edge position and the FD725/702 ratio. The impact of A. flavus inoculation on chlorophyll levels and leaf spectral properties was evaluated, revealing significant differences between treatment variables (Table 5).
The mean SPAD value for control plants (CT) was 47.95 ± 0.12, whereas inoculated plants (IN) exhibited a significantly higher mean of 48.89 ± 0.11 (p < 0.01; Table 5). The mean REP value was significantly higher in control plants (723.23 ± 0.14) compared to inoculated plants (722.07 ± 0.18; p < 0.01). Additionally, the FD725/FD702 ratio was significantly higher in control plants (2.44 ± 0.01) than in inoculated plants (2.38 ± 0.01; p < 0.01), suggesting differences in chlorophyll fluorescence properties.
The effect of irrigation on chlorophyll and the leaf spectra of maize plants revealed significant differences between the inoculated (IN) and control (CT) groups (Table 5). The mean SPAD was significantly higher in non-irrigated (NI) plants (48.79 ± 0.11) compared to irrigated (IR) plants (48.05 ± 0.12; p < 0.01; Table 5). The REP value was not significantly different between the two groups (722.67 ± 0.15 for NI vs. 723.23 ± 0.14 for IR; p > 0.05). However, the FD725/FD702 ratio was significantly higher in irrigated plants (2.47 ± 0.01) than in non-irrigated plants (2.35 ± 0.01; p < 0.01; Table 5).
Leaf position plays a crucial role in influencing plant physiological changes. This study examined the changes in chlorophyll and leaf spectra with the leaf position of maize plants (Table 5). The leaf positioned next to the maize cob exhibited significantly higher SPAD values (48.82 ± 0.12) compared to the leaf above the cob (48.00 ± 0.12; p < 0.01). Similarly, the REP value was significantly higher in the leaf next to the cob (722.89 ± 0.16) than in the upper leaf (722.42 ± 0.17; p < 0.05). The FD725/702 ratio was significantly greater in the leaf next to the cob (2.42 ± 0.01) compared to the leaf above (2.39 ± 0.01; p < 0.05).
The effect of nitrogen on chlorophyll and leaf spectra of maize plants revealed significant differences between inoculated (IN) and control (CT) groups (Table 5). The chlorophyll content increased progressively with higher nitrogen levels, with SPAD values of 46.55 ± 0.15 at 60 kg/ha, 48.99 ± 0.14 at 120 kg/ha, and 49.71 ± 0.13 at 180 kg/ha (p < 0.01). The REP value also increased with nitrogen application, with significantly higher values observed at 120 kg/ha (722.98 ± 0.19) and 180 kg/ha (723.51 ± 0.18) compared to the lowest nitrogen level (721.47 ± 0.23; p < 0.01). Similarly, the FD725/FD702 ratio, an indicator of photosynthetic efficiency and stress adaptation, significantly increased with higher nitrogen rates. The ratio was lowest at 60 kg/ha (2.26 ± 0.02) and increased to 2.45 ± 0.02 at 120 kg/ha and 2.52 ± 0.02 at 180 kg/ha (p < 0.01) (Table 5).

3.3. Micro-Climatic Changes in the Micro-Plot Experiment

Irrigation significantly influenced micro-climatic conditions in the maize field, affecting temperature dynamics, relative humidity, and leaf wetness duration, which may have contributed to kernel infection and mycotoxin accumulation (Table 6). The observed increase in maximum temperature (Tmax) under irrigated conditions (28.43 ± 0.13 °C) compared to non-irrigated fields (27.44 ± 0.17 °C; p < 0.01) can be understood through the complex interplay between irrigation, soil moisture, and energy balance. While irrigation is often associated with evaporative cooling, certain conditions can lead to localized warming [34,35]. One possible explanation for the increase in Tmax under irrigation is the enhanced canopy transpiration and soil moisture retention, which can alter sensible and latent heat fluxes, leading to greater heat absorption during the day [35]. In some cases, irrigation modifies the land–atmosphere energy balance by reducing albedo, thereby increasing heat retention in the soil and plant canopy [36]. Additionally, increased soil moisture can lead to delayed heat dissipation at night, further contributing to higher daytime maximum temperatures [37]. Furthermore, the slightly higher mold count in irrigated fields (6.04 ± 0.17) compared to non-irrigated fields (5.83 ± 0.18; Table S3) suggests that the modified micro-climate under irrigation may have facilitated fungal proliferation, a phenomenon influenced by increased leaf wetness duration and canopy humidity [38]. Conversely, the minimum temperature (Tmin) was significantly lower in irrigated fields (14.30 ± 0.10 °C) than in non-irrigated fields (15.21 ± 0.14 °C; p < 0.01). This reduction could be due to increased evaporative cooling at night, which may slow down fungal growth but prolong leaf wetness duration, a key factor in pathogen development. The longer transition time observed in irrigated fields (87.79 ± 3.12 min) compared to non-irrigated fields (68.43 ± 2.51 min, p < 0.01) (Table 6) suggests that leaves remained moist for extended periods, creating a favorable environment for fungal colonization. However, despite these conditions, the AFB1 concentration was notably lower in irrigated maize (43.32 ± 16.37 µg/kg) than in non-irrigated maize (96.24 ± 41.40 µg/kg, Table S3), suggesting that irrigation may have mitigated mycotoxin accumulation by reducing plant stress and enhancing physiological defenses.
Relative humidity (RH) was also influenced by irrigation, with the average relative humidity (RHavg) being significantly higher in irrigated fields (73.94 ± 0.27%) than in non-irrigated fields (72.91 ± 0.30%). This increase in humidity and extended leaf wetness periods may have influenced fungal growth dynamics, although the difference in mold count between treatments was not statistically significant (p > 0.05). Meanwhile, minimum relative humidity (RHmin) remained statistically similar between treatments, indicating that irrigation did not drastically alter nighttime moisture retention. Leaf wetness duration in both the wet (LWwet) and dry (LWdry) states did not significantly differ between treatments. However, irrigated fields had a slightly lower LWwet (411.49 ± 7.46 min) than non-irrigated fields (426.49 ± 8.37 min) (Table 6).
Canopy height significantly influenced the micro-climatic conditions within the maize field, affecting temperature distribution, humidity levels, and leaf wetness dynamics (Table 6). Tavg remained statistically similar between the lower canopy (20.50 ± 0.11 °C) and upper canopy (20.61 ± 0.11 °C; p > 0.05), suggesting stable overall thermal conditions throughout the canopy (Table 6). However, Tmax was significantly higher at the lower canopy (28.47 ± 0.14 °C) than at the upper canopy (27.57 ± 0.15 °C, p < 0.01), likely due to restricted airflow and increased heat retention at lower levels from shading effects and reduced convective cooling. Conversely, Tmin was significantly lower in the upper canopy (14.30 ± 0.10 °C) compared to the lower canopy (15.21 ± 0.14 °C; p < 0.01), suggesting more significant exposure to nighttime radiative cooling in the upper layers of the maize stand. Relative humidity varied significantly with canopy height, with the lower canopy maintaining a significantly higher RHavg of 74.34 ± 0.29% compared to the upper canopy (72.75 ± 0.28%; p < 0.01). RHmin was also significantly higher in the lower canopy (46.04 ± 0.37%) compared to the upper canopy (43.94 ± 0.32%; p < 0.01), indicating better moisture retention at lower heights. Leaf wetness duration was dependent on the canopy position. The upper canopy exhibited a significantly longer LWwet of 449.12 ± 7.37 min compared to the lower canopy (381.43 ± 8.39 min; p < 0.01), suggesting that dew or intercepted water persisted longer at the upper canopy due to greater exposure to atmospheric moisture. The lower canopy experienced significantly longer transition times (120.05 ± 3.92 min) compared to the upper canopy (44.67 ± 1.37 min; p < 0.01), indicating prolonged periods of transitioning between wet and dry states. Leaf wetness in the dry state (LWdry) remained statistically similar between canopy heights, implying no significant differences in drying times (Table 6).
Nitrogen application significantly influenced micro-climatic conditions in the maize field (Table 6). Tavg remained relatively stable across nitrogen levels, indicating no substantial alteration in overall field thermal conditions (Table 6). However, Tmax was significantly lower at 120 kg/ha (26.84 ± 0.24 °C) compared to 60 kg/ha and 180 kg/ha (both at 28.41 ± 0.17 °C and 28.41 ± 0.16 °C, respectively; p < 0.05). The minimum temperature (Tmin) was significantly higher at 120 kg/ha (15.82 ± 0.21 °C) than at 60 kg/ha and 180 kg/ha (both at 14.30 ± 0.12 °C; p < 0.05). Relative humidity varied with nitrogen application, with RHavg recorded at 60 kg/ha (74.35 ± 0.34%), significantly higher than at 120 kg/ha (72.47 ± 0.39%; p < 0.05). RHmin did not vary significantly across treatments. Leaf wetness duration showed significant differences across nitrogen treatments. LWwet was recorded at 60 kg/ha (432.73 ± 9.00 min), significantly higher than at 120 kg/ha (401.16 ± 10.71 min; p < 0.05). The transition time was significantly shorter at 120 kg/ha (64.03 ± 3.04 min) compared to 60 kg/ha (101.33 ± 4.28 min; p < 0.05). Leaf wetness in the dry state (LWdry) was significantly higher at 120 kg/ha (942.45 ± 11.63 min) compared to 60 kg/ha (864.35 ± 9.77 min; p < 0.05). Fungal contamination and mycotoxin accumulation were also influenced by nitrogen levels, with the highest log mold count (6.03 ± 0.23) and AFB1 content (82.15 ± 43.19 µg/kg) recorded at 60 kg/ha. The lowest values were found at 180 kg/ha (5.88 ± 0.21 and 57.49 ± 42.23 µg/kg, respectively).
These micro-climatic variations align with the findings from Table S4, which show that nitrogen levels influenced fungal contamination and mycotoxin accumulation in maize kernels. The highest log mold count and AFB1 content were recorded at 60 kg/ha (6.03 ± 0.23 and 82.15 ± 43.19 µg/kg, respectively), whereas 180 kg/ha resulted in the lowest figures at 5.88 ± 0.21 and 57.49 ± 42.23 µg/kg, respectively (Table S4). This suggests prolonged leaf wetness and slower drying times at lower nitrogen levels may have created favorable conditions for fungal growth and AFB1 production. The higher Tmax at 60 kg/ha could have stressed plants, making them more susceptible to fungal colonization. Although kernel number per ear length and mold count did not show significant variation across nitrogen levels, reduced AFB1 levels at higher nitrogen rates suggested that improved plant health and faster moisture dissipation at 120–180 kg/ha may have limited fungal proliferation.
Pearson’s correlation analysis revealed significant relationships among various micro-climatic factors, highlighting their interconnected roles in shaping the maize field environment (Table 7). Temperature variables (Tavg, Tmax, and Tmin) exhibited positive correlations. Tavg showed the highest correlation with Tmax (r = 0.806, p < 0.01) and Tmin (r = 0.755, p < 0.01). Relative humidity (RHavg and RHmin) displayed negative correlations with temperature variables, particularly Tmax (r = −0.512, p < 0.01) and Tavg (r = −0.538, p < 0.01), indicating that, as temperatures rise, relative humidity decreases. A positive correlation between RHavg and RHmin (r = 0.810, p < 0.01) suggests that changes in minimum humidity levels closely reflect overall humidity variations (Table 7).
LWwet showed positive correlations with relative humidity parameters, particularly RHavg (r = 0.427, p < 0.01) and RHmin (r = 0.376, p < 0.01), suggesting that higher atmospheric moisture extends the duration of leaf wetness. However, LWwet was negatively correlated with temperature variables, particularly Tavg (r = −0.290, p < 0.01), indicating that higher temperatures reduce wetness duration by accelerating leaf drying. Transition time was positively correlated with RHavg (r = 0.202, p < 0.01), but negatively correlated with Tavg (r = −0.040, p < 0.05) (Table 7), indicating that higher humidity delays drying, whereas higher temperatures promote faster drying.
LWdry was strongly negatively correlated with LWwet (r = −0.888, p < 0.01), confirming the expected inverse relationship. Additionally, LWdry exhibited a negative correlation with RHavg (r = −0.462, p < 0.01) and RHmin (r = −0.384, p < 0.01), suggesting that higher humidity reduces dry-state durations. Interestingly, LWdry showed a positive correlation with temperature variables, particularly Tavg (r = 0.287, p < 0.01) (Table 7), suggesting that higher temperatures accelerate moisture loss, thus extending the dry leaf condition.

3.4. Seasonal Variation in Climatic Factors and Maize Plant Parameters

Macro-climatic conditions exhibited interannual variability (Table 8). The maximum wind speed (SWmax) during maize development time increased from 2020 (0.72 ± 0.33 m/s) to 2022 (0.84 ± 0.35 m/s; p < 0.05), while the average wind speed (SWavg) declined in 2022 (3.97 ± 0.12 m/s; p < 0.05). Soil temperature (Ts) showed a progressive increase across the years, aligning with the trend observed in global radiation (Rg), which remained relatively stable. Precipitation (P) varied annually, reaching its highest value in 2022 (2.18 ± 0.58 mm), coinciding with increased irrigation (3.97 ± 0.12 mm) and resulting in the highest combined precipitation and irrigation (PI) of 4.03 mm.
Correlation analysis (Table 9) showed a significant negative relationship between precipitation and global radiation (r = −0.387, p < 0.01), suggesting that increased cloud cover during rainfall events reduced solar radiation reaching the crop canopy. A positive correlation was observed between precipitation and combined irrigation and precipitation (r = 0.710, p < 0.01), indicating that supplemental irrigation effectively compensated for variations in rainfall.
Macro-climatic variations strongly influenced micro-climatic factors (Table 8). Tavg increased from 2020 (20.16 ± 0.10 °C) to 2022 (20.95 ± 0.15 °C; p < 0.05), mirroring the upward trend in soil temperature. Tmax also rose significantly between 2020 (26.87 ± 0.18 °C) and 2022 (28.55 ± 0.20 °C; p < 0.05), while Tmin exhibited fluctuations, reaching its lowest value in 2021 (13.77 ± 0.14 °C). RHavg and RHmin declined over the years, with RHavg decreasing from 79.06 ± 0.24% in 2020 to 68.21 ± 0.43% in 2022 (p < 0.05). LWwet followed a similar pattern, with the most extended wet state observed in 2022 (471.88 ± 10.28 min) and the shortest in 2021 (350.45 ± 7.64 min; p < 0.05). Correlation analysis results (Table 9) showed that LWwet was positively correlated with RHavg (r = 0.427, p < 0.01), suggesting that higher humidity prolonged wetness periods. Transition time decreased significantly from 145.58 ± 5.04 min in 2020 to 48.05 ± 1.95 min in 2021 and 46.75 ± 2.00 min in 2022 (p < 0.05), indicating faster drying as humidity declined and the temperature increased.
The impact of climatic variations on maize parameters was evident. Kernel number per ear length declined significantly from 25.60 ± 0.34 in 2020 to 17.89 ± 0.39 in 2022 (p < 0.05; Table 8), suggesting that rising temperatures and declining relative humidity negatively affected kernel development. Mycotoxin contamination varied across development times, with AFB1 levels peaking in 2021 (156.88 ± 59.02 µg/kg), coinciding with lower humidity levels (RHavg = 73.14 ± 0.25%, RHmin = 43.70 ± 0.37%), which are known to favor A. flavus infection and mycotoxin production. Similarly, FB1 and DON concentrations were highest in 2021 (Table 8), suggesting that micro-climatic stress conditions in that year favored Fusarium spp. development.
The biochemical composition of maize kernels also showed notable trends. The protein content increased significantly across years, from 9.99 ± 0.09% in 2020 to 13.15 ± 0.17% in 2022 (p < 0.05), while the starch content showed an inverse trend, declining from 65.63 ± 0.38% in 2020 to 56.19 ± 0.58% in 2022 (p < 0.05) (Table 8). Additionally, the polyphenol content, which plays a role in plant defense mechanisms, remained relatively stable in 2021 and 2022 (Table 8), suggesting potential stress adaptation mechanisms in response to environmental fluctuations.

4. Discussion

4.1. Kernel Production, Infection, Mycotoxin Contamination and Nutrient Composition

Aflatoxins are stressors, exacerbating oxidative damage and disrupting normal cellular functions in developing kernels [31]. In this study, the AFB1 was significantly higher in inoculated plants than in control plants, and A. flavus inoculation significantly reduced the mean kernel number per ear length compared to the control group (p < 0.05). This quantitative loss could be because of A. flavus negatively impacts maize’s reproductive development. This aligns with previous findings that A. flavus contamination depletes essential nutrients, disrupts metabolic processes, and induces physiological stress through mycotoxin production [39]. The competition for nutrients between the pathogen and the host plant likely compromises carbohydrate and nitrogen availability for kernel development, leading to reduced reproductive success. One of the primary mechanisms underlying this reduction is the production of aflatoxins, particularly AFB1, which has been shown to impair maize growth and kernel formation [31]. Beyond nutrient competition and toxin accumulation, A. flavus infection appears to disrupt hormonal signaling pathways essential for kernel sets. Phytohormones such as auxins and gibberellins regulate reproductive development, and fungal infections have been linked to hormonal imbalances that negatively impact seed formation [40]. Altered hormone signaling may impair kernel initiation and development, contributing to the decreased kernel number per ear length.
The significant increase in mold counts and AFB1 levels following A. flavus inoculation highlighted the pathogen’s aggressive colonization and AFB1 production in maize. A. flavus is known to be a prolific AFB1 producer, particularly under environmental conditions favorable for fungal growth, such as high humidity and elevated temperatures [41]. This aligns with previous studies showing that fungal contamination and AFB1 accumulation are closely linked, posing serious threats to maize quality and food safety [39]. The ability of A. flavus to deplete essential nutrients from maize kernels contributes to reduced grain development and overall plant health. This nutrient competition further exacerbates the negative impacts of fungal infection, potentially impairing physiological processes critical for yield stability [39]. Notably, even without visible symptoms, AFB1 contamination can still occur, underscoring the challenge of early detection and management [42]. The detection of AFB1 in the control group indicates the natural occurrence of A. flavus in the soil. Several studies have shown that this fungus is commonly present in soil and decomposes plant material and has been linked to the contamination of crops such as maize, cotton, groundnuts, sorghum, and millet [43,44]. Soil and plant debris, in particular, act as reservoirs for fungal inoculum, with evidence suggesting that they facilitate the survival and reproduction of A. flavus. This is attributed to its saprophytic nature, which depends on organic matter for sustenance [45].
A. flavus inoculation did not significantly correlate to the production of other mycotoxins such as ZEA, FB1 and DON as these mycotoxins are typically associated with other fungal species, particularly from the Fusarium genus [46]. However, co-infection scenarios involving both A. flavus and Fusarium species can accumulate multiple mycotoxins simultaneously, complicating food safety assessments and management strategies [46]. Given the potential risks posed by a single mycotoxin, the simultaneous presence of two or more mycotoxins may lead to additive or interactive effects, altering their toxicity in humans and animals in ways that are not yet fully understood [47].
Recent studies have highlighted the co-occurrence of fumonisins (FBs) and aflatoxins (AFs) in maize-growing regions, where high incidences of human hepatocellular carcinoma (HCC), chronic liver disease, and growth retardation in children have been reported [48,49]. The combination of FBs and AFs is particularly concerning due to the well-documented genotoxic effects of AFB1 and the capacity of FB1 to promote regenerative cell proliferation [50]. Growing awareness of human co-exposure to multiple mycotoxins is particularly evident in cereals such as maize, tree nuts, oilseeds, and legumes. Other co-occurring mycotoxins include ochratoxin A (OTA) and DON in wheat [51] and AF and DON in cereal-based baby food in Europe [52] and Fusarium toxins and OTA in the United States [53].
The minimal impact of A. flavus inoculation on starch and protein content suggests that short-term fungal infection does not significantly degrade these macro-nutrients [54]. This could be attributed to the structural integrity of maize kernels, where starch and protein reserves are compartmentalized within the endosperm and aleurone layer, limiting direct fungal access to enzymatic degradation. However, prolonged fungal colonization or the presence of additional environmental stressors, such as drought or nutrient deficiency, may enhance enzymatic breakdown and compromise kernel composition over time [55].
Similarly, the stable levels of total polyphenols in inoculated plants indicate that A. flavus infection did not strongly induce stress-related phenolic metabolism under the experimental conditions tested [56]. Polyphenols play a crucial role in plant defense, acting as antioxidants and antimicrobial agents; however, their biosynthesis is metabolically energy-intensive. The lack of a significant increase in polyphenol content suggests that the maize plants may have relied on alternative defense mechanisms, such as structural reinforcements, phytohormonal responses, or antimicrobial proteins, rather than investing heavily in phenolic production.
An essential factor influencing these results is the maize hybrid used in this study, SY Orpheus, which exhibits high stress tolerance [23]. This hybrid’s genetic resilience likely contributed to its ability to maintain nutrient stability under both abiotic and biotic stresses. Its stress-adaptive traits may have facilitated efficient resource allocation, ensuring that kernel composition remained unchanged despite fungal infection and environmental challenges. The hybrid’s ability to sustain physiological homeostasis under varying conditions underscores its suitability for cultivation in regions where drought stress and fungal contamination threaten maize productivity.
While A. flavus plays a critical role in kernel development and AFB1 contamination, its effects on maize nutritional parameters and secondary metabolites may be less pronounced in the short term. However, given the potential for aflatoxin accumulation and the progressive impact of fungal stress on grain quality, continuous monitoring and management strategies remain essential to ensuring food security and safety in maize production [40,57], particularly as climate change alters environmental conditions that influence fungal proliferation and toxin biosynthesis.
The combined effects of A. flavus inoculation and irrigation significantly influenced maize physiology, particularly in kernel development and AFB1 accumulation. The findings demonstrated that irrigation is protective in mitigating the negative impacts of A. flavus infection, as evidenced by the comparable kernel numbers in irrigated groups (INIR and CTIR). This suggests that sufficient water availability supports kernel formation even under biotic stress. Conversely, the significant reduction in kernel numbers in the INNI group underscores the compounded effects of fungal infection and water deficiency, likely due to impaired nutrient uptake and increased oxidative stress restricting grain development. These results align with studies indicating that water stress exacerbates fungal proliferation and toxin accumulation in maize [22].
The elevated AFB1 levels in the INNI group further highlight the increased susceptibility of stressed plants to A. flavus colonization. The combination of inadequate irrigation and nutrient limitation likely weakened plant defenses, facilitating fungal invasion and AFB1 accumulation. This pattern is consistent with previous research showing that water-stressed maize is more vulnerable to AFB1 contamination, as drought weakens plant immunity and alters metabolic pathways, creating a favorable environment for fungal proliferation [22]. Notably, while A. flavus is known to thrive under dry conditions, the high mold counts observed in both the INNI and INIR groups suggest that the fungus is highly adaptable and capable of growing under water-limited and water-sufficient environments. Variable weather conditions during the entire plant-growing period of maize are likely to favor fungi with very different ecological needs and to enhance fungal and mycotoxin co-occurrence [58,59]. The physiological responses of the maize plant to these moisture extremes may influence fungal growth and AFB1 biosynthesis in complex ways.
Interestingly, while fungal proliferation was observed under both moisture conditions, the sustained application of irrigation appeared to reduce AFB1 accumulation, supporting previous findings that adequate moisture availability can suppress mycotoxin production [60]. This suggests that while irrigation promotes kernel development, it may also modulate AFB1 production. Irrigation plays a critical role in mitigating aflatoxin contamination in maize by influencing both plant physiology and fungal development. Well-irrigated maize plants exhibit enhanced physiological defenses, which limit A. flavus colonization and aflatoxin biosynthesis. Optimal hydration supports cellular function, enhances antioxidant activity, and improves nutrient transport, contributing to plant resilience and reducing fungal infection risks. By maintaining kernel integrity, irrigation minimizes microcracks that could serve as fungal entry points, thereby reducing susceptibility to contamination [61,62].
In contrast, water stress weakens plant defenses by disrupting metabolic processes and inducing oxidative stress, making maize more vulnerable to A. flavus infection. Drought conditions impair nutrient uptake and distribution, particularly nitrogen, which is essential for plant defense mechanisms. Adequate water availability counteracts these stress-induced vulnerabilities, preserving kernel structure and sustaining metabolic homeostasis. However, irrigation may also modulate stress-response pathways, potentially altering secondary metabolite production, which influences plant resistance to biotic stress [37,63]. Despite this, the net effect of irrigation favors reduced aflatoxin accumulation by alleviating physiological stress that would otherwise promote fungal proliferation.
This study demonstrated that nitrogen supplementation is critical in buffering maize kernel development against biotic (A. flavus infection) and abiotic (nutrient stress) factors. The enhanced kernel numbers in non-inoculated plants at 120 kg/ha nitrogen suggest that nitrogen availability promotes essential physiological processes such as photosynthesis, amino acid synthesis, and stress defense. These findings align with previous studies indicating that nitrogen supports plant growth and resilience, reducing vulnerability to fungal infections and subsequent AFB1 accumulation [64]. However, in inoculated plants, kernel numbers declined at lower nitrogen levels (IN60 and IN120), likely due to fungal interference with nutrient uptake and energy diversion toward plant defense mechanisms.
Nitrogen application plays a crucial role in reducing AFB1 concentrations and modulating A. flavus colonization in maize. The decline in AFB1 levels and mold count with increasing nitrogen suggests that nitrogen enhances plant vigor, promoting stronger cellular integrity, antioxidant activity, and efficient metabolic functions, all of which contribute to improved resistance against fungal infection. These findings align with previous studies indicating that nitrogen availability regulates the expression of aflatoxin biosynthetic genes, such as aflR and aflD, thereby suppressing toxin production [65].
Interestingly, while nitrogen fertilization reduced AFB1 biosynthesis, it had a relatively minor effect on total mold counts. The presence of high fungal loads in inoculated maize suggests that A. flavus successfully colonized the tissues but did not produce significant toxins under high-nitrogen conditions. This indicates that nitrogen does not prevent fungal establishment but rather alters host–pathogen interactions in a way that limits aflatoxin accumulation. By enhancing plant immune responses, nitrogen may stimulate the production of antifungal metabolites or structural defenses that inhibit fungal metabolism and secondary metabolite synthesis.
Moreover, the stability of FB1 concentrations across treatments revealed FB1 independence from A. flavus presence, which fungus primarily produces AFB1 but not fumonisins [66]. The absence of DON in inoculation treatments (IN120 and IN180) may indicate a shift in fungal metabolic priorities or reduced fungal activity due to resource exhaustion or competitive microbial interactions. Additionally, the marginally higher polyphenol levels in inoculated treatments suggest an induced biotic stress response as polyphenols are known to contribute to plant protection under pathogen attack.
Overall, these findings highlight the multifaceted role of nitrogen in modulating A. flavus infection and mycotoxin production. Although nitrogen generally supports fungal colonization, its influence on A. flavus metabolism appears to suppress AFB1 biosynthesis. The lower mold counts in high-nitrogen treatments suggest that excess nitrogen may inhibit fungal proliferation or alter fungal pathogenicity. These results underscore the importance of nitrogen management in agricultural practices to mitigate AFB1 contamination and optimize maize yield. Future studies should explore the molecular mechanisms underlying nitrogen-induced changes in fungal metabolism and plant defense and optimal nitrogen application strategies for balancing crop productivity and pathogen resistance.
The findings suggest that adequate irrigation and 180 kg/ha nitrogen were the most effective strategies for managing A. flavus growth and AFB1 biosynthesis in maize (Figure 3) while maintaining high kernel production. Inoculated treatments at 180 kg/ha nitrogen exhibited significantly lower AFB1 levels and mold counts, indicating nitrogen’s potential role in suppressing A. flavus colonization and toxin production. Nitrogen played a crucial role in enhancing plant defenses, influencing leaf wetness, shaping microbial competition, and interacting with irrigation to support plant health. By improving metabolic functions, nitrogen promoted the synthesis of defense-related proteins, amino acids, and secondary metabolites, which are crucial for pathogen resistance. Studies indicate that nitrogen-treated plants exhibit elevated concentrations of pathogenesis-related proteins and essential metabolites, strengthening their defense mechanisms against fungal infections [67]. Thus, nitrogen acted not only as a growth nutrient but also as a key regulator of plant immunity.
Nitrogen also influenced leaf morphology, altering leaf wetness duration and moisture retention. Increased nitrogen levels contribute to denser foliage, which can trap more moisture, potentially affecting fungal colonization by modifying the micro-climate around leaf surfaces [68]. Additionally, nitrogen availability may have altered soil microbial competition, favoring beneficial microbes that suppress the growth of pathogenic fungi. Nitrogen supplementation has been reported to enhance microbial biomass and functional gene diversity, improving nutrient cycling and bolstering plant health [69,70]. However, excessive nitrogen can disrupt microbial balance, lower soil pH, and inadvertently promote pathogenic dominance [71,72]. Combined, irrigation enhanced nitrogen uptake, ensuring the maize plants received adequate nutrients for optimal growth and defense responses towards A. flavus proliferation and AFB1 accumulation.
The positive correlation between AFB1 and mold count (r = 0.479, p < 0.01) reinforces the well-established link between A. flavus proliferation and mycotoxin production. This correlation suggests that environmental conditions favoring fungal growth also promote AFB1 biosynthesis, aligning with previous studies indicating that high mold counts are often accompanied by elevated AFB1 contamination [73,74]. Given that A. flavus thrives under stress conditions such as drought, high temperature, and nutrient imbalance, effective environmental management strategies are critical to mitigating fungal colonization and subsequent mycotoxin production. Nazari et al. (2019) [75] also reported a positive correlation between mycotoxins and fungal DNA in the wheat kernel, but only for Fusarium sporotrichioides and Fusarium poae.
The significant negative correlation between starch and protein content (r = −0.664, p < 0.01) highlights a metabolic trade-off in maize, wherein carbohydrate storage increases at the expense of protein synthesis. This phenomenon is consistent with plant metabolic resource allocation, as carbohydrate reserves are often prioritized under certain environmental or physiological conditions, potentially reducing nitrogen assimilation and protein biosynthesis [41,76]. This trade-off is particularly relevant under stress conditions, where plants must balance growth, defense, and storage processes to optimize survival and productivity.
The positive correlation between starch content and mold count (r = 0.313, p > 0.05) suggests that starch may be a readily available carbon source for fungal growth, potentially fueling mycotoxin biosynthesis. While this correlation was not statistically significant in the present study, previous research indicates that fungal pathogens exploit plant carbohydrate reserves for their metabolic needs, increasing mold proliferation and toxin accumulation [74,77]. This relationship implies that maize genotypes with higher starch reserves may be more susceptible to fungal colonization, necessitating targeted breeding strategies to balance yield and disease resistance. In addition, the ability of maize plants to maintain relatively stable starch and protein levels under certain conditions suggests that short-term fungal stress may not drastically alter nutrient composition; however, prolonged exposure could lead to more pronounced metabolic shifts [78].

4.2. Physiological Changes in the Maize Plant

The unexpected increase in chlorophyll content following A. flavus inoculation suggests a stress-induced compensatory response aimed at maintaining photosynthetic efficiency and efficacy under pathogen pressure (Table 5). Biotic stress can trigger complex physiological adjustments, including enhanced chlorophyll biosynthesis and delayed degradation, as part of the plant’s defense strategy [79,80]. One possible mechanism is the activation of stress-signaling pathways, such as those mediated by salicylic acid (SA) and jasmonic acid (JA), which regulate chlorophyll metabolism in response to pathogen attack [81,82]. SA, in particular, has been linked to chlorophyll retention by modulating antioxidant enzyme activity and reducing chlorophyll degradation under stress conditions. Additionally, A. flavus infection may induce reactive oxygen species (ROS) production, which, at moderate levels, acts as a signaling molecule to enhance plant defense and metabolic adjustments, including chlorophyll stabilization [82]. Prolonged A. flavus infection can lead to significant physiological changes in maize plants, particularly through the disruption of photosynthesis and chloroplast function. One of the earliest signs of A. flavus infection is chlorosis, which is characterized by the yellowing of the leaves. This phenomenon is primarily attributed to a decrease in chlorophyll synthesis, which is essential for photosynthetic activity. Several interrelated factors contribute to this reduction in chlorophyll content. First, A. flavus competes for key nutrients within the plant, such as magnesium and iron, both of which are crucial for chlorophyll biosynthesis. The depletion of these nutrients is integral to the chlorophyll molecule’s structural integrity [83], and results in reduced chlorophyll production and, consequently, diminished photosynthetic capacity [84]. In addition to nutrient competition, fungal infection induces oxidative stress in maize plants. The accumulation of ROS as a result of fungal colonization can damage cellular components, including chloroplast membranes, further impairing chlorophyll synthesis and functionality [85]. Excessive ROS also disrupts the balance of enzymatic activities necessary for chlorophyll biosynthesis, inhibiting the action of chlorophyll-synthesizing enzymes [86]. This oxidative damage diminishes chlorophyll content and directly impacts the plant’s photosynthetic efficiency.
The relationship between chlorophyll content and the plant’s water and nutrient status is also critical, as both can be negatively affected by A. flavus infection [87]. When the plant’s physiological balance is disturbed—whether through drought stress or nutrient deficiencies—chlorophyll concentrations typically decline. This suggests that A. flavus, by disrupting the plant’s overall health and nutrient acquisition, can lead to substantial reductions in chlorophyll content.
Furthermore, the activation of defense mechanisms in maize in response to A. flavus infection adds complexity to the situation. While the plant activates defense pathways to combat the pathogen, these responses can divert energy and resources away from essential physiological functions, including chlorophyll production [88]. Additionally, the altered hormonal balance during infection, including increased levels of abscisic acid (ABA), can lead to enhanced stomatal closure, thereby reducing photosynthetic rates and further diminishing chlorophyll content [89].
Metabolic alterations resulting from A. flavus infection also influence gene expression related to chlorophyll biosynthesis. Studies have shown that different maize varieties exhibit distinct patterns of gene expression related to chlorophyll biosynthesis when infected by A. flavus [90,91,92]. These variations highlight the genetic basis of chlorophyll regulation, suggesting that breeding programs aimed at improving chlorophyll retention could contribute significantly to developing maize cultivars with enhanced resistance to fungal pathogens [93].
However, spectral changes, particularly the REP shift toward shorter wavelengths in inoculated plants, indicate physiological disruptions. This shift is often associated with chlorophyll degradation, increased stress-related pigments (such as total polyphenols), or structural modifications in leaf tissue [94]. While increased chlorophyll content may reflect an initial defense response, the REP shift suggests that fungal stress eventually compromises photosynthetic integrity, potentially altering leaf optical properties and signaling pathways.
The decline in the FD725/FD702 ratio, an index of photosynthetic efficiency and pigment composition, in inoculated plants further confirms disruptions in photosystem II (PSII) function. Aflatoxins, particularly AFB1, induce oxidative stress, disrupt membrane stability, and impair chloroplast function, altering chlorophyll fluorescence properties [95,96]. This oxidative burden may initially stimulate chlorophyll synthesis as a short-term response while concurrently reducing PSII efficiency, affecting overall photosynthetic performance.
Furthermore, the observed increase in total polyphenol content in inoculated plants highlights the role of oxidative stress responses in fungal defense mechanisms. Polyphenols are crucial in mitigating oxidative damage and enhancing plant resilience against pathogens, consistent with the literature on plant stress adaptation [80]. However, their accumulation and changes in spectral indices suggest an underlying metabolic cost associated with fungal resistance.
Water availability is crucial in shaping maize physiological responses, particularly regarding chlorophyll retention and photosynthetic efficiency. The significantly higher SPAD values observed in NI plants (p < 0.05; Table 5) suggest an adaptive response to water stress conditions. This aligns with previous research indicating that plants often maintain or even increase chlorophyll under water stress as a survival strategy to sustain photosynthetic activity despite limited water availability [97]. This response is likely mediated by abscisic acid signaling, which promotes stomatal closure, enhances water-use efficiency, and reduces transpiration-related water loss [98]. In contrast, the lower SPAD values in IR plants may reflect a dilution effect due to higher leaf water content, which reduces chlorophyll concentration per unit area without necessarily impacting total chlorophyll levels. This observation is consistent with the literature, which indicates that increased leaf hydration can lead to lower SPAD readings despite improved photosynthetic performance [99].
The stability of REP values between IR and NI treatments suggests that irrigation had minimal effects on leaf structural integrity or chlorophyll degradation. This suggests that plants may employ compensatory physiological mechanisms to maintain reproductive efficiency (REP) despite variations in water availability. Previous studies have shown that while irrigation influences chlorophyll content, its impact on leaf structural properties is often less pronounced [99]. The significantly higher FD725/FD702 ratio in irrigated plants suggests enhanced electron transport efficiency, likely due to reduced photoinhibition stress under optimal water conditions [100]. In contrast, the lower FD725/FD702 ratio in NI plants indicates a decline in PSII quantum yield. This suggests that plants under water stress relied more on non-photochemical quenching mechanisms to dissipate excess light energy. This is a well-documented adaptation strategy, where plants shift from photochemical energy conversion to thermal dissipation to mitigate oxidative damage [101]. These findings highlight the contrasting physiological adjustments between irrigated and non-irrigated maize plants. While irrigation enhances photosynthetic efficiency and reduces photoinhibition stress, water stress conditions trigger adaptive responses such as increased chlorophyll retention and altered energy dissipation mechanisms.
Leaf position relative to the maize cob has a significant influence on chlorophyll content, spectral characteristics, and photosynthetic efficiency (Table 5). The significantly higher SPAD values observed in the cob-adjacent leaf (p < 0.01) suggest its critical role in supplying photosynthates to developing kernels, which aligns with previous studies highlighting the functional specialization of different leaf positions in maize [102]. This enhanced chlorophyll retention likely ensures sustained photosynthetic activity to support grain filling.
In contrast, the upper leaf exhibited lower SPAD values, which may be attributed to greater exposure to light intensity and potential photoinhibition. Increased light exposure can lead to slight reductions in chlorophyll content as a protective mechanism against excessive excitation energy [103]. The significantly higher REP value in the cob-adjacent leaf (p < 0.05) further confirms its superior chlorophyll concentration and overall leaf health. REP shifts toward longer wavelengths are typically associated with higher chlorophyll content and better physiological status, reinforcing the importance of this leaf in maintaining maize productivity under field conditions.
The FD725/FD702 ratio, an indicator of photochemical energy conversion efficiency, was also significantly higher in the cob-adjacent leaf (p < 0.05). This suggests that the leaf next to the cob operates under more favorable physiological conditions, experiencing reduced stress impact and maintaining efficient photosynthetic electron transport. The lower FD725/FD702 ratio in the upper leaf implies greater exposure to environmental stressors, such as fluctuating temperatures and excess light, which may induce non-photochemical quenching mechanisms to dissipate excess absorbed energy and prevent photodamage [103].
The findings indicate that increasing nitrogen application significantly influenced chlorophyll content (SPAD values), red edge position (REP), and the FD725/702 ratio in maize plants (Table 5). Nitrogen availability is fundamental in regulating chlorophyll biosynthesis, photosynthetic efficiency, and stress resilience in maize. The significantly higher SPAD values at 180 kg/ha nitrogen application confirm improved leaf nitrogen status and enhanced chlorophyll content, aligning with previous research indicating that nitrogen is a key component of chlorophyll molecules [104]. Higher nitrogen levels promote increased carbon fixation, ensuring optimal photosynthetic activity. The observed REP shifts toward longer wavelengths at higher nitrogen levels further support the relationship between nitrogen availability and leaf health. Increased nitrogen enhances chlorophyll retention, delays senescence, and strengthens leaf structure, improving spectral properties [105]. This finding aligns with studies demonstrating that nitrogen fertilization enhances chlorophyll fluorescence parameters, indicating better light absorption and photosynthetic efficiency in maize [106]. The FD725/FD702 ratio, a photochemical energy conversion efficiency index, was significantly higher in maize plants receiving 180 kg/ha nitrogen. This suggests improved electron transport efficiency and reduced reliance on non-photochemical quenching mechanisms. Conversely, the lower FD725/FD702 ratio at 60 kg/ha suggests nitrogen limitation, which may have reduced PSII efficiency and increased stress-related photoprotective responses [107]. Nitrogen deficiency has been shown to trigger premature chlorophyll degradation and impair photosynthetic performance, increasing plant susceptibility to oxidative stress and environmental fluctuations [108].
Beyond its role in chlorophyll synthesis, nitrogen availability influences antioxidant production and secondary metabolite biosynthesis, which can enhance plant resilience against oxidative stress caused by mycotoxins. Given the interplay between nitrogen status and stress responses, optimizing nitrogen fertilization strategies could mitigate stress-induced physiological disruptions in maize while maximizing photosynthetic performance and yield potential.
In this study, the highest chlorophyll content (SPAD value) was recorded in maize plants that were inoculated, non-irrigated, received 180 kg/ha of nitrogen and were measured at the cob-adjacent leaf position. In contrast, the highest REP value and FD725/FD702 ratio were observed in maize plants that were inoculated, irrigated, received 180 kg/ha of nitrogen, and were measured at the cob-adjacent leaf position. These findings suggest that chlorophyll synthesis and retention are strongly influenced by nitrogen availability and leaf position, with the cob-adjacent leaf likely benefiting from greater nutrient allocation. The interaction between inoculation and irrigation appears to differentially affect spectral properties, with irrigation potentially mitigating stress effects and promoting structural and biochemical changes that enhance REP and FD725/FD702 ratios.

4.3. Micro-Climatic Changes in the Maize Field

The increased Tmax in irrigated fields, likely due to enhanced canopy transpiration and greater soil moisture, created a micro-climate conducive to fungal proliferation (Table 6). This was reflected in slightly higher mold counts, though the difference was not statistically significant (Table S3). While higher Tmax could have favored fungal growth, increased soil moisture likely mitigated extreme temperature fluctuations, preventing excessive proliferation. The lower Tmin in irrigated fields, attributed to evaporative cooling at night, may have further influenced pathogen dynamics by slowing fungal growth and prolonging leaf wetness duration. The longer transition time observed in irrigated fields supports this hypothesis, as extended leaf wetness is often associated with increased fungal activity.
Despite these micro-climatic conditions, significantly lower AFB1 concentrations in irrigated maize suggest a protective role of irrigation against mycotoxin accumulation. Reduced plant stress and enhanced physiological defenses likely suppressed AFB1 biosynthesis. Although relative humidity was higher in irrigated fields, mold counts remained statistically similar between treatments, indicating that humidity alone did not markedly influence fungal colonization. Overall, irrigated maize exhibited improved physiological resilience, likely due to reduced oxidative stress and enhanced nutrient uptake, leading to better kernel quality and lower AFB1 contamination. Conversely, non-irrigated plants experienced greater water stress, which may have weakened defense mechanisms, making them more susceptible to fungal colonization and toxin biosynthesis. Optimizing irrigation schedules to balance soil moisture while avoiding excessive leaf wetness could further mitigate fungal proliferation and AFB1 accumulation. Additionally, integrating resistant maize varieties with irrigation management may offer a sustainable approach to reducing A. flavus colonization and mycotoxin contamination.
The stable average temperature between the upper and lower canopy suggests a relatively uniform thermal environment. However, significantly higher Tmax in the lower canopy of irrigated maize, particularly around noon, may have resulted from greater soil exposure to radiation due to south–north row alignment (Table 6). Factors such as leaf angle and the height of the highest leaf area density relative to temperature probes could have influenced airflow restriction and increased heat retention at lower levels. In contrast, significantly lower Tmin in the upper canopy suggests greater exposure of upper leaves to night-time radiative cooling, which may impact metabolic processes and pathogen development. The lower canopy retained more moisture due to reduced air circulation and increased transpiration from densely packed leaves, as reflected in higher RHmin values. Increased evapotranspiration in the lower 0.3 m of the canopy also contributed to localized humidity, potentially favoring fungal colonization.
Longer LWwet in the upper canopy suggests higher atmospheric moisture deposition, likely from dew formation, while extended transition times in the lower canopy indicate prolonged leaf wetness, increasing fungal infection risk. The stability of Tavg across nitrogen treatments suggests that nitrogen fertilization did not significantly alter the overall thermal environment (Table 6). However, reduced Tmax at 120 kg/ha may be due to enhanced canopy development, providing greater shading and reducing heat accumulation. The increase in Tmin at 120 kg/ha, likely due to better canopy insulation, suggests a micro-climate less prone to temperature extremes. Higher relative humidity (RH) at 60 kg/ha may be attributed to denser canopy structure, which limited airflow and increased moisture retention.
Nitrogen levels also influenced leaf wetness duration. At 60 kg/ha, longer LWwet suggests reduced transpiration, prolonging surface moisture retention. Conversely, the faster transition time and longer LWdry at 120 kg/ha indicate enhanced plant vigor and transpiration, promoting quicker drying and reducing fungal risk. The micro-climatic changes observed align with fungal contamination and mycotoxin accumulation trends. Prolonged leaf wetness and higher Tmax at 60 kg/ha likely created favorable conditions for fungal growth and AFB1 production. In contrast, improved plant health and faster moisture dissipation at 120–180 kg/ha may have reduced fungal proliferation and toxin accumulation, reinforcing the role of adequate nitrogen levels in mitigating mycotoxin contamination.
The correlations observed (Table 7) support these findings. The positive relationships between temperature variables (Tavg, Tmax, and Tmin) suggest a consistent thermal trend across day and night. The inverse correlation between temperature and relative humidity reflects the expected reduction in atmospheric moisture at higher temperatures. Strong correlations between LWwet and humidity parameters indicate that increased atmospheric moisture prolongs leaf wetness, favoring fungal activity. Conversely, the negative correlation between LWwet and Tavg suggests that higher temperatures accelerate leaf drying, potentially limiting fungal proliferation. Additionally, the positive correlation between transition time and RHavg suggests that higher humidity levels delay leaf drying, prolonging conditions conducive to fungal growth. Finally, the negative correlation between LWdry and relative humidity supports the idea that high humidity levels sustain moisture retention on leaf surfaces, reducing dry periods and potentially increasing fungal pathogen risk.

4.4. Seasonal Variation in Climatic Factors and Maize Plant Parameters

The observed interannual variability in macro-climatic conditions highlights the influence of environmental fluctuations on maize production. The progressive increase in soil temperature and stable global radiation suggests a warming trend, which, coupled with precipitation variations, affected micro-climatic conditions. The negative correlation between precipitation and global radiation supports the notion that increased cloud cover during rainfall reduces incoming solar radiation, altering temperature and moisture balances in the field. At the micro-climatic level, the increase in Tavg and Tmax over the years aligns with global warming trends and suggests an increased heat load on maize plants. The observed decline in RHavg and RHmin is consistent with rising temperatures, which elevates vapor pressure deficits, leading to drier air conditions. Preharvest infection by A. flavus is rampant during such periods since it has been associated with periods of heat and drought stress and insect damage [109]. This reduction in humidity likely influenced leaf wetness duration, as evident from the positive correlation between LWwet and RHavg. The significant decrease in transition time over the years indicates that increasing temperatures and declining humidity accelerated leaf drying, potentially reducing the risk of prolonged fungal infection.
Over the years, the declining kernel number per ear length suggests that rising temperatures and decreasing relative humidity negatively impacted maize reproductive success. High temperatures can impair pollen viability and kernel set, leading to lower yields. AFB1 levels in the kernel varied year by year. However, the peak in AFB1 contamination in 2021 coincided with relatively high humidity and temperature, supporting previous findings that A. flavus thrives under warm, dry conditions [110]. The concurrent increase in FB1 and DON in 2021 suggests that Fusarium spp. also responded to micro-climatic stressors, potentially exacerbating mycotoxin contamination risks. The inverse relationship between starch and protein content aligns with the well-documented negative correlation [111,112,113], where environmental stressors such as temperature and moisture availability influence metabolic partitioning [114,115,116]. Environmental stressors such as high temperature and moisture deficits often lead to a metabolic shift favoring protein accumulation over starch biosynthesis. The results confirm this trend, where increasing temperatures and decreasing humidity likely promoted protein accumulation at the expense of starch biosynthesis. The stable polyphenol content in 2021 and 2022 suggests potential stress adaptation mechanisms, where secondary metabolite production may have played a role in mitigating oxidative stress and pathogen defense. In conclusion, the variations in climatic conditions significantly influenced maize micro-climate, yield, and quality. The rising temperatures, declining humidity, and altered precipitation patterns contributed to changes in leaf wetness duration, kernel development, and mycotoxin accumulation, highlighting the need for adaptive agronomic strategies to mitigate climate-induced stress in maize production.

5. Conclusions

This study investigated the physiological and biochemical effects of A. flavus inoculation on maize under varying macro- and micro-climatic conditions, with a focus on kernel composition, fungal proliferation, and mycotoxin contamination. The findings confirm that A. flavus infection disrupts maize reproductive success by reducing kernel production, likely due to metabolic interference and resource allocation toward defense mechanisms. Although the infection did not immediately degrade macronutrient composition, the associated increase in AFB1 contamination, especially under water stress, poses a significant food safety risk.
Environmental and agronomic factors played a crucial role in modulating plant responses to fungal stress. Irrigation mitigated the negative effects of A. flavus infection by enhancing kernel production and reducing AFB1 accumulation, even in the presence of fungal proliferation. In contrast, water stress exacerbated maize susceptibility to fungal colonization and toxin biosynthesis, particularly in non-irrigated fields where higher mold counts and AFB1 levels were observed. Nitrogen supplementation improved plant vigor, reducing fungal colonization and mycotoxin biosynthesis through enhanced canopy development and physiological resilience. The interaction between nitrogen availability and fungal pathogenicity highlights the importance of agronomic management in mitigating climate-induced stressors.
There is a need for integrated crop management strategies that optimize irrigation and nitrogen applications to balance plant health, fungal control, and yield stability. The observed correlations between climatic factors, fungal contamination, and plant physiological responses highlight the urgency of adaptive strategies in the face of climate change. As global warming continues to impact agricultural systems, stress-resilient maize varieties, improved water management, and optimized nutrient application will be essential for ensuring maize productivity and food safety. This research provides critical insights into sustainable agricultural practices to mitigate the adverse effects of A. flavus and other fungal stressors in maize production.

Supplementary Materials

The following supporting information can be downloaded at: https://www.mdpi.com/article/10.3390/agriculture15070767/s1, Table S1: Technical details of the measurement of climatic parameters; Table S2: Treatment groups from inoculation, irrigation and nitrogen; Table S3: Effect of irrigation on kernel production, infection, mycotoxin content and nutrient composition; Table S4: Effect of nitrogen on kernel production, infection, mycotoxin content and nutrient composition; Table S5: Variation in mycotoxin content and nutrient composition with inoculation–irrigation treatment.

Author Contributions

Conceptualization, T.P. and A.D.; methodology, H.M.M., K.M., S.K. and T.P.; software, H.M.M.; validation, T.P. and K.M.; investigation, S.K., C.A., T.D.-N., C.R. and K.B.; data curation, H.M.M., K.M. and T.P.; writing—original draft preparation, H.M.M. and T.P.; writing—review and editing, H.M.M., T.P. and K.M.; visualization, H.M.M.; supervision, A.D.; funding acquisition, I.P. All authors have read and agreed to the published version of the manuscript.

Funding

Project No. TKP2021-NKTA-32 has been implemented with the support provided by the Ministry of Culture and Innovation of Hungary from the National Research, Development and Innovation Fund, financed under the TKP2021-NKTA funding scheme. This research is funded by the National Research, Development, and Innovation Fund of Hungary project No. 2018-1.2.1-NKP-2018-00002.

Institutional Review Board Statement

Not applicable.

Data Availability Statement

Data are contained within this article.

Conflicts of Interest

The funders had no role in the design of this study, in the collection, analyses, or interpretation of data, in the writing of the manuscript, or in the decision to publish the results.

Abbreviations

The following abbreviations are used in this manuscript:
ABAAbscisic acid
AFB1Aflatoxin B1
AGLAbove-ground level
ANOVAAnalysis of variance
CCIChlorophyll content index
CFUColony-Forming Unit
CRDComplete Randomized Design
CVCoefficient of variation
DMRTDuncan’s multiple range test
DONDeoxynivalenol
DWDry weight
FB1Fumonisin B1
FUMFumonisin
GAEGallic acid equivalent
GLMGeneralized linear model
HCCHuman hepatocellular carcinoma
JAJasmonic acid
LODLimit of detection
LSDLeast significant difference
MAMalate agar
OTAOchratoxin A
REPRed Edge Position
ROSReactive oxygen species
SASalicylic acid
SPADSoil plant analysis development
ZEAZearalenone

References

  1. Sunitha, G.; Sunandini, G.P.; Reddy, D.S.; Meena, A. An Ex-Post Impact Assessment of Seed-to-Seed Mechanization in Maize in Telangana State, India. Int. J. Environ. Clim. Change 2024, 14, 75–82. [Google Scholar] [CrossRef]
  2. Guzzon, F.; Rios, L.; Cepeda, G.; Polo, M.; Cabrera, A.; Figueroa, J.; Pixley, K. Conservation and use of Latin American maize diversity: Pillar of nutrition security and cultural heritage of humanity. Agronomy 2021, 11, 172. [Google Scholar] [CrossRef]
  3. Huzsvai, L. The Future Probability of Winter Wheat and Maize Yield Failure in Hungary Based on Long-Term Temporal Patterns. Sustainability 2024, 16, 3962. [Google Scholar] [CrossRef]
  4. Zhang, Z.; Wei, J.; Li, J.; Jia, Y.; Wang, W.; Li, J.; Gao, M. The impact of climate change on maize production: Empirical findings and implications for sustainable agricultural development. Front. Environ. Sci. 2022, 10, 954940. [Google Scholar] [CrossRef]
  5. Li, Y.; Guan, K.; Schnitkey, G.; DeLucia, E.; Peng, B. Excessive Rainfall Leads to Maize Yield Loss of a Comparable Magnitude to Extreme Drought in the United States. Glob. Change Biol. 2019, 25, 2325–2337. [Google Scholar] [CrossRef]
  6. Serna, L. Maize Stomatal Responses Against the Climate Change. Front. Plant Sci. 2022, 13, 952146. [Google Scholar] [CrossRef]
  7. Huzsvai, L.; Zsembeli, J.; Kovács, E.; Juhász, C. Can Technological Development Compensate for the Unfavorable Impacts of Climate Change? Conclusions from 50 Years of Maize (Zea mays L.) Production in Hungary. Atmosphere 2020, 11, 1350. [Google Scholar] [CrossRef]
  8. Yin, Y.; Gao, Y.; Lin, D.; Wang, L.; Ma, W.; Wang, J. Mapping the Global-Scale Maize Drought Risk under Climate Change Based on the GEPIC-Vulnerability-Risk Model. Int. J. Disaster Risk Sci. 2021, 12, 428–442. [Google Scholar] [CrossRef]
  9. Ahmad, K. Identification of Climate Resilient Genotypes on Base of Physio-Morphic and Yield Related Traits in Maize (Zea mays L.). Biol. Clin. Sci. Res. J. 2024, 2024, 1267. [Google Scholar] [CrossRef]
  10. Cheng, Y.; Dai, X.; Ren, H.; Wang, Y.; Liu, P.; He, M. Precision Double Cropping Synergistically Improves Wheat and Maize Yields as Well as Resource Efficiency. Agron. J. 2020, 112, 1035–1048. [Google Scholar] [CrossRef]
  11. Li, J.; Lei, H. Impacts of Climate Change on Winter Wheat and Summer Maize Dual-Cropping System in the North China Plain. Environ. Res. Commun. 2022, 4, 075014. [Google Scholar] [CrossRef]
  12. Williams, T.; Dodd, I.; Sobeih, W.; Paul, N. Ultraviolet Radiation Causes Leaf Warming Due to Partial Stomatal Closure. Hortic. Res. 2022, 9, uhab066. [Google Scholar] [CrossRef] [PubMed]
  13. Zhang, Z. Diffuse Fertilization Effect in Maize and Soybean Is Driven by Improved Light Use Efficiency Rather Than by Light Absorption. J. Geophys. Res. Biogeosci. 2024, 129, e2023JG007766. [Google Scholar] [CrossRef]
  14. Ferrante, A.; Mariani, L. Agronomic Management for Enhancing Plant Tolerance to Abiotic Stresses: High and Low Values of Temperature, Light Intensity, and Relative Humidity. Horticulturae 2018, 4, 21. [Google Scholar] [CrossRef]
  15. Moreno-Teruel, M.; Molina-Aiz, F.; Peña, A.; López-Martínez, A.; Valera, D. The Effect of Diffuse Film Covers on Microclimate and Growth and Production of Tomato (Solanum lycopersicum L.) in a Mediterranean Greenhouse. Agronomy 2021, 11, 860. [Google Scholar] [CrossRef]
  16. Okoth, S.; Boevre, M.; Vidal, A.; Mavungu, J.; Landschoot, S.; Kyallo, M.; Saeger, S. Genetic and toxigenic variability within Aspergillus flavus population isolated from maize in two diverse environments in Kenya. Front. Microbiol. 2018, 9, 57. [Google Scholar] [CrossRef]
  17. Oloo, R.; Okoth, S.; Wachira, P.; Mutiga, S.; Ochieng, P.; Kago, L.; Ghimire, S. Genetic profiling of Aspergillus isolates with varying aflatoxin production potential from different maize-growing regions of Kenya. Toxins 2019, 11, 467. [Google Scholar] [CrossRef]
  18. Melguizo, C. Reconsidering the co-occurrence of Aspergillus flavus in Spanish vineyards and aflatoxins in grapes. Agriculture 2023, 13, 1998. [Google Scholar] [CrossRef]
  19. Fels-Klerx, H.; Vermeulen, L.; Gavai, A.; Liu, C. Climate change impacts on aflatoxin B1 in maize and aflatoxin M1 in milk: A case study of maize grown in Eastern Europe and imported to the Netherlands. PLoS ONE 2019, 14, e0218956. [Google Scholar] [CrossRef]
  20. Chen, X.; Landschoot, S.; Detavernier, C.L.; De Saeger, S.; Rajkovic, A.; Audenaert, K. Cross-Talk between Fusarium verticillioides and Aspergillus flavus in vitro and in Planta. Mycotoxin Res. 2021, 37, 229–240. [Google Scholar] [CrossRef]
  21. Kagot, V.; De Boevre, M.; Landschoot, S.; Obiero, G.; Okoth, S.; De Saeger, S. Comprehensive Analysis of Multiple Mycotoxins and Aspergillus flavus Metabolites in Maize from Kenyan Households. Int. J. Food Microbiol. 2022, 363, 109502. [Google Scholar] [CrossRef] [PubMed]
  22. Molnár, K.; Rácz, C.; Dövényi-Nagy, T.; Bakó, K.; Pusztahelyi, T.; Kovács, S.; Adácsi, C.; Pócsi, I.; Dobos, A. The effect of environmental factors on mould counts and AFB1 toxin production by Aspergillus flavus in maize. Toxins 2023, 15, 227. [Google Scholar] [CrossRef] [PubMed]
  23. Syngenta. Maximum Yield Security with Artesian Hybrids. [Maximális Termésbiztonság az Artesian Hibridekkel.] (Hungarian). Agrofórum. 2020. Available online: https://agroforum.hu/szakcikkek/novenytermesztes-szakcikkek/maximalis-termesbiztonsag-az-artesian-hibridekkel/ (accessed on 3 March 2025).
  24. ISO 6496; Animal Feeding Stuffs—Determination of Moisture and Other Volatile Matter Content. International Organization for Standardization: Geneva, Switzerland, 1999.
  25. Kaur, C.; Kapoor, H.C. Antioxidant Activity and Total Phenolic Content of Some Asian Vegetables. Int. J. Food Sci. Technol. 2002, 37, 153–161. [Google Scholar] [CrossRef]
  26. ISO 5983-2; Animal Feeding Stuffs—Determination of Nitrogen Content and Calculation of Crude Protein Content—Part 2: Block Digestion and Steam Distillation Method. International Organization for Standardization: Geneva, Switzerland, 2009.
  27. Adácsi, C.; Kovács, S.; Pócsi, I.; Győri, Z.; Dombrádi, Z.; Pusztahelyi, T. Microbiological and Toxicological Evaluation of Fermented Forages. Agriculture 2022, 12, 421. [Google Scholar] [CrossRef]
  28. Krishnan, S.V.; Anaswara, P.A.; Nampoothiri, K.M.; Kovács, S.; Adácsi, C.; Szarvas, P.; Király, S.; Pócsi, I.; Pusztahelyi, T. Biocontrol Activity of New Lactic Acid Bacteria Isolates against Fusaria and Fusarium Mycotoxins. Toxins 2025, 17, 68. [Google Scholar] [CrossRef]
  29. ISO 21527-2; Microbiology of Food and Animal Feeding Stuffs—Horizontal Method for the Enumeration of Yeasts and Moulds—Part 2: Colony Count Technique in Products with Water Activity Less Than or Equal to 0.95. International Organization for Standardization: Geneva, Switzerland, 2008.
  30. Clewer, A.G.; Scarisbrick, D.H. Practical Statistics and Experimental Design for Plant and Crop Science; John Wiley & Sons Ltd.: Chichester, UK, 2001. [Google Scholar]
  31. Romero, E.T.A.; Cumagun, C.J.R. Aflatoxin levels and Aspergillus species in maize in the province of Isabela, Philippines. J. Phytopathol. 2023, 171, 489–503. [Google Scholar] [CrossRef]
  32. Carbas, B.; Simões, D.; Soares, A.; Freitas, A.; Ferreira, B.; Carvalho, A.R.F.; Silva, A.S.; Pinto, T.; Diogo, E.; Andrade, E.; et al. Occurrence of Fusarium spp. in Maize Grain Harvested in Portugal and Accumulation of Related Mycotoxins during Storage. Foods 2021, 10, 375. [Google Scholar] [CrossRef]
  33. Waśkiewicz, A.; Muzolf-Panek, M.; Stępień, Ł.; Czembor, E.; Uwineza, P.A.; Górnaś, P.; Bryła, M. Variation in Tocochromanols Level and Mycotoxins Content in Sweet Maize Cultivars after Inoculation with Fusarium verticillioides and F. proliferatum. Foods 2022, 11, 2781. [Google Scholar] [CrossRef]
  34. Li, Z.; Yang, Y.; So, N.; Lee, J. Carbon Footprint of Maize Planting under Intensive Subsistence Cultivation in South Korea. Int. J. Clim. Change Strateg. Manag. 2022, 15, 301–321. [Google Scholar] [CrossRef]
  35. Lawston, P.M.; Santanello, J.A.; Hanson, B.; Arsensault, K. Impacts of Irrigation on Summertime Temperatures in the Pacific Northwest. Earth Interact. 2020, 24, 1–26. [Google Scholar] [CrossRef]
  36. Qian, J.; Miao, S.; Tapper, N.; Xie, J.; Ingleton, G. Investigation on Airport Landscape Cooling Associated with Irrigation: A Case Study of Adelaide Airport, Australia. Sustainability 2020, 12, 8123. [Google Scholar] [CrossRef]
  37. Wang, Y.; Li, Y.; Duan, T. Arbuscular Mycorrhizal Fungus Changes Alfalfa Response to Pathogen Infection Activated by Pea Aphid Infestation. Front. Microbiol. 2023, 13, 1074592. [Google Scholar] [CrossRef] [PubMed]
  38. Kamali, B.; Lorite, I.J.; Webber, H.; Rezaei, E.E.; Gabaldón-Leal, C.; Nendel, C.; Ojeda, J.J. Uncertainty in Climate Change Impact Studies for Irrigated Maize Cropping Systems in Southern Spain. Sci. Rep. 2022, 12, 4049. [Google Scholar] [CrossRef] [PubMed]
  39. Qin, Y.; Lv, H.; Xiong, Y.; Lin, Q.; Li, Y.; Ying, X.; Zhao, Y. Early warning of Aspergillus contamination in maize by gas chromatography-ion mobility spectrometry. Front. Microbiol. 2024, 15, 1470115. [Google Scholar] [CrossRef]
  40. Riungu, G.M.; Muthomi, J.W.; Buechs, W.; Wagacha, J.M.; Philip, E.S.; Meiners, T. The role of maize sap beetles (Coleoptera: Nitidulidae) and maize weevils (Coleoptera: Curculionidae) in the spread of Aspergillus flavus in pre-harvest maize in Kenya. J. Econ. Entomol. 2024, 117, 2249–2258. [Google Scholar] [CrossRef]
  41. García-Díaz, M.; Gil-Serna, J.; Vázquez, C.; Botia, M.N.; Patiño, B. A comprehensive study on the occurrence of mycotoxins and their producing fungi during the maize production cycle in Spain. Microorganisms 2020, 8, 141. [Google Scholar] [CrossRef]
  42. Savić, Z.; Dudaš, T.; Loc, M.; Grahovac, M.; Budakov, D.; Jajić, I.; Krstović, S.; Barošević, T.; Krska, R.; Sulyok, M.; et al. Biological control of aflatoxin in maize grown in Serbia. Toxins 2020, 12, 162. [Google Scholar] [CrossRef]
  43. Cotty, P.J. Aflatoxin-producing potential of communities of Aspergillus section Flavi from cotton producing areas in the United States. Mycol. Res. 1997, 101, 698–704. [Google Scholar] [CrossRef]
  44. Bandyopadhyay, R.; Kumar, M.; Leslie, J.F. Relative severity of aflatoxin contamination of cereal crops in West Africa. Food Addit. Contam. 2007, 24, 1109–1114. [Google Scholar] [CrossRef]
  45. Fountain, J.C.; Scully, B.T.; Ni, X.; Kemerait, R.C.; Lee, R.D.; Chen, Z.; Guo, B. Environmental influences on maize-Aspergillus flavus interactions and aflatoxin production. Front. Microbiol. 2014, 5, 40. [Google Scholar] [CrossRef]
  46. Krnjaja, V.; Lević, J.; Stanković, S.; Petrović, T.; Tomić, Ž.; Mandić, V.; Bijelić, Z. Moulds and mycotoxins in stored maize grains. Biotechnol. Anim. Husb. 2013, 29, 527–536. [Google Scholar] [CrossRef]
  47. Abbès, S.; Salah-Abbès, J.B.; Jebali, R.; Younes, R.B.; Oueslati, R. Interaction of aflatoxin B1 and fumonisin B1 in mice causes immunotoxicity and oxidative stress: Possible protective role using lactic acid bacteria. J. Immunotoxicol. 2016, 13, 46–54. [Google Scholar] [CrossRef] [PubMed]
  48. Shirima, C.P.; Kimanya, M.E.; Kinabo, J.L.; Routledge, M.N.; Srey, C.; Wild, C.P.; Gong, Y.Y. Dietary exposure to aflatoxin and fumonisin among Tanzanian children as determined using biomarkers of exposure. Mol. Nutr. Food Res. 2013, 57, 1874–1881. [Google Scholar] [CrossRef] [PubMed]
  49. Probst, C.; Bandyopadhyay, R.; Cotty, P.J. Diversity of aflatoxin-producing fungi and their impact on food safety in sub-Saharan Africa. Int. J. Food Microbiol. 2014, 174, 113–122. [Google Scholar] [CrossRef]
  50. Bulder, A.S.; Arcella, D.; Bolger, M.; Carrington, C.; Kpodo, K.; Resnik, S.; Riley, R.T.; Wolterink, G.; Wu, F. Fumonisins (addendum). In Safety Evaluation of Certain Food Additives and Contaminants: Prepared by the Seventy-Fourth Meeting of the Joint FAO/WHO Expert Committee on Food Additives (JECFA); WHO Food Additives Series, No. 65; World Health Organization: Geneva, Switzerland, 2012; pp. 325–794. Available online: http://www.inchem.org/documents/jecfa/jecmono/v65je01.pdf (accessed on 12 January 2025).
  51. Ortiz, J.; Jacxsens, L.; Astudillo, G.; Ballesteros, A.; Donoso, S.; Huybregts, L.; Meulenaer, B. Multiple mycotoxin exposure of infants and young children via breastfeeding and complementary/weaning foods consumption in Ecuadorian highlands. Food Chem. Toxicol. 2018, 118, 541–548. [Google Scholar] [CrossRef]
  52. Herrera, M.; Bervis, N.; Carramiñana, J.J.; Juan, T.; Herrera, A.; Ariño, A.; Lorán, S. Occurrence and exposure assessment of aflatoxins and deoxynivalenol in cereal-based baby foods for infants. Toxins 2019, 11, 150. [Google Scholar] [CrossRef]
  53. Zhang, K.; Flannery, B.M.; Oles, C.J.; Adeuya, A. Mycotoxins in infant/toddler foods and breakfast cereals in the US retail market. Food Addit. Contam. Part B Surveill. 2018, 11, 183–190. [Google Scholar] [CrossRef]
  54. Moura-Mendes, J.; Cazal-Martínez, C.C.; Rojas, C.; Ferreira, F.; Pérez-Estigarribia, P.; Dias, N.; Godoy, P.; Costa, J.; Santos, C.; Arrua, A. Species identification and mycotoxigenic potential of Aspergillus section Flavi isolated from maize marketed in the metropolitan region of Asunción, Paraguay. Microorganisms 2023, 11, 1879. [Google Scholar] [CrossRef]
  55. Adefunke, J.Y.; Elizabeth, J.M. Influence of using different drying techniques on the level of toxigenic Aspergillus flavus in maize (Zea mays) seeds. J. Adv. Microbiol. 2018, 11, 1–11. [Google Scholar] [CrossRef]
  56. Mutiga, S.; Hoffmann, V.; Harvey, J.W.; Milgroom, M.G.; Nelson, R. Assessment of aflatoxin and fumonisin contamination of maize in western Kenya. Phytopathology 2015, 105, 1250–1261. [Google Scholar] [CrossRef]
  57. Abdel-Hadi, A.; Schmidt-Heydt, M.; Parra-Saldívar, R.; Geisen, R.; Magan, N. A systems approach to model the relationship between aflatoxin gene cluster expression, environmental factors, growth, and toxin production by Aspergillus flavus. J. R. Soc. Interface 2011, 9, 757–767. [Google Scholar] [CrossRef] [PubMed]
  58. Dall’Asta, C.; Battilani, P. Fumonisins and their modified forms, a matter of concern in future scenario? World Mycotoxin J. 2016, 9, 727–739. [Google Scholar] [CrossRef]
  59. Obradovic, A.; Krnjaja, V.; Nikolic, M.; Delibasic, G.; Filipovic, M.; Stankovic, G.; Stankovic, S. Impacts of climate conditions on aflatoxin B1 and fumonisins contamination of maize kernels and their co-occurrence. Biotechnol. Anim. Husb. 2018, 34, 469–480. [Google Scholar] [CrossRef]
  60. Gammoh, S.; Alu’datt, M.H.; Alhamad, M.N.; Tranchant, C.C.; Rababah, T.; Kanakri, K.; Ammari, Z.; Malkawi, D.; Alrosan, M.; Tan, T.-C.; et al. Determination of mycotoxins in nuts, cereals, legumes, and coffee beans and effectiveness of a selenium-based decontamination treatment. J. Food Saf. 2023, 43, e13087. [Google Scholar] [CrossRef]
  61. Shen, C.; Wang, J.; He, J.; Yu, F.; Ge, Y. Plant Diversity Enhances Soil Fungal Diversity and Microbial Resistance to Plant Invasion. Appl. Environ. Microbiol. 2021, 87, e00251-21. [Google Scholar] [CrossRef]
  62. Zhong, Z.; McDonald, B.A.; Palma-Guerrero, J. Tolerance to Oxidative Stress Is Associated with Both Oxidative Stress Response and Inherent Growth in a Fungal Wheat Pathogen. Genetics 2020, 217, iyaa022. [Google Scholar] [CrossRef]
  63. Zhai, J.; Hou, B.; Hu, F.; Yu, G.; Li, Z.; Palmer-Young, E.C.; Xiang, H.; Gao, L. Active Defense Strategies for Invasive Plants May Alter the Distribution Pattern of Pests in the Invaded Area. Front. Plant Sci. 2024, 15, 1428752. [Google Scholar] [CrossRef]
  64. Wu, F.; Khlangwiset, P. Health economic impacts and cost-effectiveness of aflatoxin-reduction strategies in Africa: Case studies in biocontrol and post-harvest interventions. Food Addit. Contam. Part A 2010, 27, 496–509. [Google Scholar] [CrossRef]
  65. Akinola, S.A.; Ateba, C.N.; Mwanza, M. Polyphasic assessment of aflatoxin production potential in selected Aspergilli. Toxins 2019, 11, 692. [Google Scholar] [CrossRef]
  66. Lanubile, A.; Giorni, P.; Bertuzzi, T.; Marocco, A.; Battilani, P. Fusarium verticillioides and Aspergillus flavus co-occurrence influences plant and fungal transcriptional profiles in maize kernels and in vitro. Toxins 2021, 13, 680. [Google Scholar] [CrossRef]
  67. Hu, Y.; Huang, J.; Li, Y.; Wang, C.; Zhang, X.; Cheng, X.; Zhang, K. Identification, Characterization, and Expression Profiling of Maize GATA Gene Family in Response to Abiotic and Biotic Stresses. Agronomy 2023, 13, 1921. [Google Scholar] [CrossRef]
  68. Fang, W.; Tian, W.; Yan, D.; Li, Y.; Cao, A.; Wang, Q. Linkages between Soil Nutrient Turnover and Above-Ground Crop Nutrient Metabolism: The Role of Soil Microbes. iMetaOmics 2025, 2, e55. [Google Scholar] [CrossRef]
  69. Li, K.; Lin, H.; Han, M.; Yang, L. Soil Metagenomics Reveals the Effect of Nitrogen on Soil Microbial Communities and Nitrogen-Cycle Functional Genes in the Rhizosphere of Panax ginseng. Front. Plant Sci. 2024, 15, 1411073. [Google Scholar] [CrossRef]
  70. Deng, N.; Nian, L.; Zhang, S.; Yun, L.; Shang, H.; Li, Z.; Mao, Z. Response of Soil Microbial Community Structure to Temperature and Nitrogen Fertilizer in Three Different Provenances of Pennisetum alopecuroides. Front. Microbiol. 2024, 15, 1483150. [Google Scholar] [CrossRef]
  71. Li, Z.; Zeng, Z.; Song, Z.; Wang, F.; Tian, D.; Mi, W.; Huang, X.; Wang, J.; Song, L.; Yang, Z.; et al. Vital Roles of Soil Microbes in Driving Terrestrial Nitrogen Immobilization. Glob. Change Biol. 2021, 27, 1848–1858. [Google Scholar] [CrossRef]
  72. Liu, H.; Ni, B.; Duan, A.; He, C.; Zhang, J. High Frankia Abundance and Low Diversity of Microbial Community Are Associated with Nodulation Specificity and Stability of Sea Buckthorn Root Nodule. Front. Plant Sci. 2024, 15, 1301447. [Google Scholar] [CrossRef]
  73. Singh, A.K.; Jat, S.L.; Parihar, C.M.; Kumar, M.; Singh, C.S.; Hallikeri, S.S.; Sreelatha, D.; Manjulatha, G.; Mahala, D.M. Precision nutrient management for enhanced yield and profitability of maize (Zea mays). Indian J. Agric. Sci. 2020, 90, 952–956. [Google Scholar] [CrossRef]
  74. García-Cela, E.; Kiaitsi, E.; Sulyok, M.; Krska, R.; Medina, A.; Petit Damico, I.; Magan, N. Influence of storage environment on maize grain: CO2 production, dry matter losses and aflatoxins contamination. Food Addit. Contam. Part A 2019, 36, 175–185. [Google Scholar] [CrossRef]
  75. Nazari, L.; Pattori, E.; Somma, S.; Manstretta, V.; Waalwijk, C.; Moretti, A.; Meca, G.; Rossi, V. Infection incidence, kernel colonisation, and mycotoxin accumulation in durum wheat inoculated with Fusarium sporotrichioides, F. langsethiae or F. poae at different growth stages. Eur. J. Plant Pathol. 2019, 153, 715–729. [Google Scholar] [CrossRef]
  76. Giorni, P.; Bertuzzi, T.; Battilani, P. Impact of fungi co-occurrence on mycotoxin contamination in maize during the growing season. Front. Microbiol. 2019, 10, 1265. [Google Scholar] [CrossRef]
  77. Salman, M.; Javed, M.R.; Ali, H.; Mustafa, G.; Tariq, A.; Sahar, T.; Naheed, S.; Gill, I.; Abid, M.; Tawab, A. Bioprotection of Zea mays L. from aflatoxigenic Aspergillus flavus by Loigolactobacillus coryniformis BCH-4. PLoS ONE 2022, 17, e0271269. [Google Scholar] [CrossRef] [PubMed]
  78. Liu, M.; Zhao, H. Maize-soybean intercropping improved maize growth traits by increasing soil nutrients and reducing plant pathogen abundance. Front. Microbiol. 2023, 14, 1290825. [Google Scholar] [CrossRef] [PubMed]
  79. Jabborova, D.; Abdrakhmanov, T.; Jabbarov, Z.; Abdullaev, S.; Azimov, A.; Mohamed, I.; AlHarbi, M.; Abu-Elsaoud, A.; Elkelish, A. Biochar improves the growth and physiological traits of alfalfa, amaranth and maize grown under salt stress. PeerJ 2023, 11, e15684. [Google Scholar] [CrossRef]
  80. Alam, M.Z.; McGee, R.J.; Hoque, M.A.; Ahammed, G.J.; Carpenter-Boggs, L. Effect of arbuscular mycorrhizal fungi, selenium and biochar on photosynthetic pigments and antioxidant enzyme activity under arsenic stress in mung bean (Vigna radiata). Front. Physiol. 2019, 10, 193. [Google Scholar] [CrossRef]
  81. Santisree, P.; Jalli, L.C.L.; Bhatnagar-Mathur, P.; Sharma, K.K. Emerging Roles of Salicylic Acid and Jasmonates in Plant Abiotic Stress Responses. In Protective Chemical Agents in the Amelioration of Plant Abiotic Stress: Biochemical and Molecular Perspectives; Hasanuzzaman, M., Ed.; Springer: Cham, Switzerland, 2020; pp. 342–373. [Google Scholar]
  82. Zhao, B.; Liu, Q.; Wang, B.; Yuan, F. Roles of Phytohormones and Their Signaling Pathways in Leaf Development and Stress Responses. J. Agric. Food Chem. 2021, 69, 3566–3584. [Google Scholar] [CrossRef]
  83. Ali, M.U.; Abbasi, G.H.; Jamil, M.; Raza, M.A.S.; Ahmad, S. Characterization of Maize Hybrids (Zea mays L.) for Salt Tolerance at Seedling Stage. Biol. Sci.—PJSIR 2021, 64, 160–166. [Google Scholar] [CrossRef]
  84. Bashir, M.A.; Naveed, M.; Ashraf, S.; Mustafa, A.; Ali, Q.; Rafique, M.; Alamri, S.; Siddiqui, M.H. Performance of Zea mays L. Cultivars in Tannery Polluted Soils: Management of Chromium Phytotoxicity through the Application of Biochar and Compost. Physiol. Plant. 2020, 173, 129–147. [Google Scholar] [CrossRef]
  85. Dakak, R.A.E.; Hassan, I.A. The Alleviative Effects of Salicylic Acid on Physiological Indices and Defense Mechanisms of Zea mays L. Giza 2 Stressed with Cadmium. Environ. Process. 2020, 7, 873–884. [Google Scholar] [CrossRef]
  86. Jabborova, D.; Annapurna, K.; Azimov, A.; Tyagi, S.; Pengani, K.R.; Sharma, P.; Vikram, K.V.; Poczai, P.; Nasif, O.; Ansari, M.J.; et al. Co-Inoculation of Biochar and Arbuscular Mycorrhizae for Growth Promotion and Nutrient Fortification in Soybean under Drought Conditions. Front. Plant Sci. 2022, 13, 947547. [Google Scholar] [CrossRef]
  87. Valerio-Landa, S.D.; Zulueta-Rodríguez, R.; Quiñones-Aguilar, E.E.; Lara-Capistrán, L.; Angulo, C.; Preciado-Rangel, P.; Hernández-Montiel, L.G. Morpho-Physiology and PHT1 Gene Expressions in Native Maize Plants with AM Fungi and Phosphorus. Not. Bot. Horti Agrobot. 2020, 48, 1357–1368. [Google Scholar] [CrossRef]
  88. Wilder, S.L.; Scott, S.; Waller, S.; Powell, A.; Benoit, M.; Guthrie, J.M.; Scshueller, M.J.; Awale, P.; McSteen, P.; Matthes, M.S.; et al. Carbon-11 Radiotracing Reveals Physiological and Metabolic Responses of Maize Grown under Different Regimes of Boron Treatment. Plants 2022, 11, 241. [Google Scholar] [CrossRef] [PubMed]
  89. Nasar, J.; Shao, Z.; Arshad, A.; Gbolayori, J.F.; Liu, S.; Li, C.; Khan, M.Z.; Khan, T.; Banda, J.S.K.; Zhou, X.; et al. The Effect of Maize–Alfalfa Intercropping on the Physiological Characteristics, Nitrogen Uptake and Yield of Maize. Plant Biol. 2020, 22, 1140–1149. [Google Scholar] [CrossRef] [PubMed]
  90. Liu, H.; Wu, H.; Wang, Y.; Wang, H.; Chen, S.; Yin, Z. Comparative Transcriptome Profiling and Co-Expression Network Analysis Uncover the Key Genes Associated with Early-Stage Resistance to Aspergillus flavus in Maize. BMC Plant Biol. 2021, 21, 216. [Google Scholar] [CrossRef]
  91. Han, G.; Li, C.; Xiang, F.; Zhao, Q.; Zhao, Y.; Cai, R.; Cheng, B.; Tao, F. Genome-Wide Association Study Leads to Novel Genetic Insights into Resistance to Aspergillus flavus in Maize Kernels. BMC Plant Biol. 2020, 20, 206. [Google Scholar] [CrossRef]
  92. Bai, H.; Si, H.; Zang, J.; Pang, X.; Yu, L.; Cao, H.; Xing, J.; Zhang, K.; Dong, J. Comparative Proteomic Analysis of the Defense Response to Gibberella Stalk Rot in Maize and Reveals that ZmWRKY83 Is Involved in Plant Disease Resistance. Front. Plant Sci. 2021, 12, 694973. [Google Scholar] [CrossRef]
  93. Wani, K.I.; Zehra, A.; Choudhary, S.; Naeem, M.; Khan, M.M.A.; Khan, R.; Aftab, T. Exogenous Strigolactone (GR24) Positively Regulates Growth, Photosynthesis, and Improves Glandular Trichome Attributes for Enhanced Artemisinin Production in Artemisia annua. J. Plant Growth Regul. 2022, 42, 4606–4615. [Google Scholar] [CrossRef]
  94. Ziaullah, S.M.; Asim, S.; Nayab, A.; Zahid, A. IAA production and maize crop growth promoting potential of endophyte Aspergillus niger (AO11) under salt stress. Curr. Bot. 2020, 11, 175–181. [Google Scholar] [CrossRef]
  95. Kamseu-Mogo, J.; Soulier, M.; Kamgang-Youbi, G.; Mafouasson, H.N.A.; Dufour, T. Advancements in maize cultivation: Synergistic effects of dry atmospheric plasma combined with plasma-activated water. J. Phys. D Appl. Phys. 2024, 58, 055201. [Google Scholar] [CrossRef]
  96. Zhang, C.; Zhang, W.; Ren, G.; Li, D.; Cahoon, R.E.; Chen, M.; Zhou, Y.; Yu, B.; Cahoon, E.B. Chlorophyll Synthase Under Epigenetic Surveillance Is Critical for Vitamin E Synthesis, and Altered Expression Affects Tocopherol Levels in Arabidopsis. Plant Physiol. 2015, 168, 1503–1511. [Google Scholar] [CrossRef]
  97. Pereira, Y.F.U.; Martínez-Cob, A.; Fernández, V.; Cavero, J. Daytime sprinkler irrigation effects on net photosynthesis of maize and alfalfa. Agron. J. 2013, 105, 1515–1528. [Google Scholar] [CrossRef]
  98. Kumar, R.; Harikrishna, H.; Ghimire, O.P.; Barman, D.; Chinnusamy, V.; Singh, P.K.; Padaria, J.C.; Suman, A.; Arora, A. Stay-green trait ameliorates combined heat and drought stress in wheat. Indian J. Agric. Sci. 2022, 91, 592–596. [Google Scholar] [CrossRef]
  99. Cavero, J.; Pueyo, E.T.M.; Montoya, F. Sprinkler Irrigation Frequency Affects Maize Yield Depending on Irrigation Time. Agron. J. 2018, 110, 1862–1873. [Google Scholar] [CrossRef]
  100. Hu, J.; Ren, B.; Dong, S.; Liu, P.; Zhao, B.; Zhang, J. 6-benzyladenine increasing subsequent waterlogging-induced tolerance of summer maize by increasing hormone signal transduction. Ann. N. Y. Acad. Sci. 2021, 1509, 89–112. [Google Scholar] [CrossRef] [PubMed]
  101. Yue, Z.; Ji, X.; Zhuo, L.; Wang, W.; Li, Z.; Wu, P. Spatiotemporal responses in crop water footprint and benchmark under different irrigation techniques to climate change scenarios in China. Hydrol. Earth Syst. Sci. 2022, 26, 4637–4656. [Google Scholar] [CrossRef]
  102. Víg, R.; Huzsvai, L.; Dobos, A.; Nagy, J. Systematic measurement methods for the determination of the SPAD values of maize (Zea mays L.) canopy and potato (Solanum tuberosum L.). Commun. Soil Sci. Plant Anal. 2012, 43, 1684–1693. [Google Scholar] [CrossRef]
  103. Silva, M.A.G.; Muniz, A.S.; Mannigel, A.R.; Porto, S.M.A.; Marchetti, M.E.; Nolla, A.; Grannemann, I. Monitoring and evaluation of the need for nitrogen fertilizer topdressing for maize leaf chlorophyll readings and the relationship with grain yield. Braz. Arch. Biol. Technol. 2011, 54, 665–674. [Google Scholar] [CrossRef]
  104. Abubakar, A.W.; Manga, A.; Kamara, A.Y.; Tofa, A.I. Physiological evaluations of maize hybrids under low nitrogen. Adv. Agric. 2019, 2019, 2624707. [Google Scholar] [CrossRef]
  105. Gao, F.; Wang, G.Y.; Muhammad, I.; Tung, S.A.; Zhou, X.B. Interactive effect of water and nitrogen fertilization improve chlorophyll fluorescence and yield of maize. Agron. J. 2022, 115, 325–339. [Google Scholar] [CrossRef]
  106. Huang, Y.; Gao, F.; Khan, R.; Ali, S.; Zhou, X.B. Synergistic effects of irrigation and nitrogen fertilisation on maize photosynthetic performance and yield of rainfed systems in drought-prone environments. J. Agron. Crop Sci. 2024, 210, e12782. [Google Scholar] [CrossRef]
  107. Anjorin, F.B. Comparative growth and grain yield response of five maize varieties to nitrogen fertilizer application. Greener J. Agric. Sci. 2013, 3, 801–808. [Google Scholar] [CrossRef]
  108. Yang, T.; Zhao, J.; Fu, Q. Quantitative relationship of plant height and leaf area index of spring maize under different water and nitrogen treatments based on effective accumulated temperature. Agronomy 2024, 14, 1018. [Google Scholar] [CrossRef]
  109. White, D.G. Aspergillus ear rot. In Compendium of Corn Diseases, 4th ed.; Munkvold, G.P., White, D.G., Eds.; APS Press: St. Paul, MN, USA, 2016; pp. 84–88. [Google Scholar]
  110. Damianidis, D.; Ortiz, B.V.; Bowen, K.L.; Windham, G.L.; Hoogenboom, G.; Hagan, A.; Knappenberger, T.; Abbas, H.; Scully, B.T.; Mourtzinis, S. Minimum temperature, rainfall, and agronomic management impacts on corn grain aflatoxin contamination. Agron. J. 2018, 110, 1697–1708. [Google Scholar] [CrossRef]
  111. Kulp, K.; Ponte, J.G. Handbook of Cereal Science and Technology, 2nd ed.; Marcel Dekker, Inc.: New York, NY, USA, 2000. [Google Scholar]
  112. Shen, S.; Hou, H.; Ding, C.; Bing, D.; Lu, Z. Protein content correlates with starch morphology, composition and physicochemical properties in field peas. Can. J. Plant Sci. 2016, 96, 404–412. [Google Scholar] [CrossRef]
  113. Yu, W.; Tan, X.; Zou, W.; Hu, Z.; Fox, G.; Gidley, M.J.; Gilbert, R.G. Relationships between protein content, starch molecular structure and grain size in barley. Carbohydr. Polym. 2017, 155, 271–279. [Google Scholar] [CrossRef]
  114. Choukri, H.; Hejjaoui, K.; El-Baouchi, A.; El Haddad, N.; Smouni, A.; Maalouf, F.; Thavarajah, D.; Kumar, S. Heat and drought stress impact on phenology, grain yield, and nutritional quality of lentil (Lens culinaris Medik.). Front. Nutr. 2020, 7, 596307. [Google Scholar] [CrossRef]
  115. Vu, D.H.; Stuerz, S.; Asch, F. Nutrient uptake and assimilation under varying day and night root zone temperatures in lowland rice. J. Plant Nutr. Soil Sci. 2020, 183, 602–614. [Google Scholar] [CrossRef]
  116. El Haddad, N.; Choukri, H.; Ghanem, M.E.; Smouni, A.; Mentag, R.; Rajendran, K.; Hejjaoui, K.; Maalouf, F.; Kumar, S. High-temperature and drought stress effects on growth, yield and nutritional quality with transpiration response to vapor pressure deficit in lentil. Plants 2022, 11, 95. [Google Scholar] [CrossRef]
Figure 1. Variation in (a) kernel number per ear length (b) AFB1, and (c) log mold count with treatment. Values are given as means ± SE (n = 9). Values followed by different letters within figures are significantly different at p < 0.05 Duncan’s multiple range test; CTNI—control–non-irrigated, CTIR—control–irrigated, INNI—inoculated–non-irrigated, INIR—inoculated–irrigated.
Figure 1. Variation in (a) kernel number per ear length (b) AFB1, and (c) log mold count with treatment. Values are given as means ± SE (n = 9). Values followed by different letters within figures are significantly different at p < 0.05 Duncan’s multiple range test; CTNI—control–non-irrigated, CTIR—control–irrigated, INNI—inoculated–non-irrigated, INIR—inoculated–irrigated.
Agriculture 15 00767 g001
Figure 2. Kernel number per ear length with treatments. Values are given as means ± SE (n = 6). Values followed by different letters within figures were significantly different at p < 0.05 by Duncan’s multiple range test. CT60—control with 60 kg/ha nitrogen, CT120—control with 120 kg/ha nitrogen, CT180—control with 180 kg/ha nitrogen, IN60—inoculated with 60 kg/ha nitrogen, IN120—inoculated with 120 kg/ha nitrogen, IN180—inoculated with 180 kg/ha nitrogen.
Figure 2. Kernel number per ear length with treatments. Values are given as means ± SE (n = 6). Values followed by different letters within figures were significantly different at p < 0.05 by Duncan’s multiple range test. CT60—control with 60 kg/ha nitrogen, CT120—control with 120 kg/ha nitrogen, CT180—control with 180 kg/ha nitrogen, IN60—inoculated with 60 kg/ha nitrogen, IN120—inoculated with 120 kg/ha nitrogen, IN180—inoculated with 180 kg/ha nitrogen.
Agriculture 15 00767 g002
Figure 3. Main interaction effects of irrigation and nitrogen on (a) AFB1 and (b) log mold count.
Figure 3. Main interaction effects of irrigation and nitrogen on (a) AFB1 and (b) log mold count.
Agriculture 15 00767 g003
Table 1. Effect of inoculation on kernel production, infection, mycotoxin content and nutrient composition.
Table 1. Effect of inoculation on kernel production, infection, mycotoxin content and nutrient composition.
Parameter (Unit)Inoculation
Inoculated (IN)Control (CT)
Kernel number per ear length20.14 ± 0.43 b21.25 ± 0.33 a
Mold count (logCFU/g)6.32 ± 0.13 a **5.55 ± 0.17 b **
AFB1 (µg/kg)139.46 ± 38.64 a ** 0.11 ± 0.07 b **
FB1 (mg/kg)2.64 ± 1.33 a4.73 ± 0.93 a
DON (mg/kg)0.17 ± 0.17 a0.15 ± 0.08 a
ZEA (mg/kg)0.00 ± 0.00 a0.00 ± 0.00 a
Protein (m/m% DW)11.79 ± 0.36 a11.75 ± 0.30 a
Starch (m/m% DW)61.98 ± 1.29 a63.26 ± 1.01 a
Total polyphenols (mg GAE/100 g)206.41 ± 5.72 a203.87 ± 4.60 a
Values are given as means ± SE (n = 18); Values in the groups followed by different letters within rows are significantly different at p < 0.05 t-test; ** p < 0.01 t-test.
Table 2. Variation in mold infestation, mycotoxin content, nutrient composition and total polyphenols with nitrogen inoculation treatment.
Table 2. Variation in mold infestation, mycotoxin content, nutrient composition and total polyphenols with nitrogen inoculation treatment.
Parameter (Unit)Nitrogen Inoculation Treatment
CT60CT120CT180IN60IN120IN180
AFB1 (µg/kg)0.05 ± 0.04 b0.23 ± 0.21 b0.05 ± 0.04 b164.25 ± 74.25 a139.18 ± 54.25 ab114.94 ± 80.80 ab
Mold count (log CFU/g)5.60 ± 0.34 ab5.50 ± 0.25 b5.54 ± 0.32 b6.45 ± 0.21 a6.29 ± 0.26 ab6.21 ± 0.22 ab
FB1 (mg/kg)5.55 ± 2.11 a6.17 ± 1.26 a2.47 ± 1.10 a2.72 ± 1.66 a4.16 ± 3.73 a1.05 ± 0.59 a
DON (mg/kg)0.07 ± 0.07 a0.16 ± 0.16 a0.22 ± 0.22 a0.52 ± 0.52 a0.00 ± 0.00 a0.00 ± 0.00 a
ZEA (mg/kg)0.00 ± 0.00 a0.00 ± 0.00 a0.00 ± 0.00 a0.00 ± 0.00 a0.00 ± 0.00 a0.00 ± 0.00 a
Protein (m/m% DW)11.87 ± 0.68 a11.54 ± 0.47 a11.83 ± 0.50 a11.75 ± 0.77 a11.71 ± 0.60 a11.91 ± 0.64 a
Starch (m/m% DW)63.08 ± 1.79 a63.30 ± 1.77 a63.42 ± 2.03 a61.27 ± 2.51 a62.47 ± 2.54 a62.20 ± 2.00 a
Total polyphenols (mg GAE/100 g)206.58 ± 5.18 a196.38 ± 12.84 a208.64 ± 3.48 a211.69 ± 14.04 a204.54 ± 5.16 a202.99 ± 11.02 a
Values are given as mean ± SE (n = 6). Values followed by the same letters within rows are not significantly different at p > 0.05 Duncan’s multiple range test (DMRT). CT60—control with 60 kg/ha nitrogen, CT120—control with 120 kg/ha nitrogen, CT180—control with 180 kg/ha nitrogen, IN60—inoculated with 60 kg/ha nitrogen, IN120—inoculated with 120 kg/ha nitrogen, IN180—inoculated with 180 kg/ha nitrogen.
Table 3. Variation in kernel production with nitrogen inoculation–irrigation treatment.
Table 3. Variation in kernel production with nitrogen inoculation–irrigation treatment.
TreatmentKernel Number per Ear Length
CTNI6020.58 ± 0.82 abc
CTNI12021.57 ± 0.79 abc
CTNI18021.38 ± 0.88 abc
CTIR6020.11 ± 0.80 abc
CTIR12021.75 ± 0.74 abc
CTIR18022.67 ± 0.71 a
INNI6019.46 ± 0.87 bc
INNI12018.81 ± 1.11 c
INNI18019.00 ± 1.05 bc
INIR6020.26 ± 1.04 abc
INIR12021.29 ± 0.95 abc
INIR18021.92 ± 1.16 ab
Values are given as mean ± SE. Values followed by the same letters in a column are not significantly different at p > 0.05 Duncan’s multiple range test (DMRT). CTNI60—control–non-irrigated with 60 kg/ha nitrogen, CTNI120—control–non-irrigated with 120 kg/ha nitrogen, CTNI80—control–non-irrigated with 180 kg/ha nitrogen, CTIR60—control–irrigated with 60 kg/ha nitrogen, CTIR120—control–irrigated with 120 kg/ha nitrogen, CTIR180—control–irrigated with 180 kg/ha nitrogen, INNI60—inoculated–non-irrigated with 60 kg/ha nitrogen, INNI20—inoculated–non-irrigated with 120 kg/ha nitrogen, INNI80—inoculated–non-irrigated with 180 kg/ha nitrogen, INIR60—inoculated–irrigated with 60 kg/ha nitrogen, INIR120—inoculated–irrigated with 120 kg/ha nitrogen, INIR180—inoculated–irrigated with 180 kg/ha nitrogen.
Table 4. Pearson’s correlation (r) between mycotoxins, mold infection and nutrient content.
Table 4. Pearson’s correlation (r) between mycotoxins, mold infection and nutrient content.
Parameter (Unit)AFB1 (µg/kg)FB1 (mg/kg)DON (mg/kg)Starch
(m/m% DW)
Protein
(m/m% DW)
Total Polyphenols (mg GAE/100 g)
FB1 (mg/kg)0.102
DON (mg/kg)0.780−0.069
Starch (m/m% DW)0.167−0.0740.074
Protein (m/m% DW)0.1520.3160.111−0.664 **
Total polyphenols
(mg GAE/100 g)
0.2670.1060.388−0.3730.386
Mold count (log CFU/g)0.479 **0.1770.0700.313−0.1610.142
** correlation significant at 0.01 level.
Table 5. Effect of treatment variables on chlorophyll and leaf spectra changes in maize plants.
Table 5. Effect of treatment variables on chlorophyll and leaf spectra changes in maize plants.
Treatment VariableParameter
Chlorophyll (SPAD)Red Edge Position (REP)FD725/FD702 Ratio
Inoculation 1
Inoculated (IN)48.89 ± 0.11 a722.07 ± 0.18 b2.38 ± 0.01 b
Control (CT)47.95 ± 0.12 b723.23 ± 0.14 a2.44 ± 0.01 a
Irrigation 1
Non-irrigated (NI)48.79 ± 0.11 a **722.67 ± 0.15 a2.35 ± 0.01 b **
Irrigated (IR)48.05 ± 0.12 b **723.23 ± 0.14 a2.47 ± 0.01 a **
Leaf position 1
Leaf above maize cob48.00 ± 0.12 b **722.42 ± 0.17 b2.39 ± 0.01 b
Leaf next to maize cob48.82 ± 0.12 a **722.89 ± 0.16 a2.42 ± 0.01 a
Nitrogen (kg/ha) 2
6046.55 ± 0.15 c721.47 ± 0.23 b2.26 ± 0.02 c
12048.99 ± 0.14 b722.98 ± 0.19 a2.45 ± 0.02 b
18049.71 ± 0.13 a723.51 ± 0.18 a2.52 ± 0.02 a
Values are given as mean ± SE. Values followed by different letters within columns are significantly different at p < 0.05; ** p < 0.01; 1 t-test; 2 Duncan’s multiple range test (DMRT); IN—inoculated; CT—control; NI—non-irrigated; IR—irrigated.
Table 6. Variation in micro-climatic factors with treatment variable.
Table 6. Variation in micro-climatic factors with treatment variable.
Treatment VariableMicro-Climatic Factor
Average Temperature, Tavg (°C)Maximum Temperature, Tmax (°C)Minimum Temperature, Tmin (°C)Average Relative Humidity, RHavg (%)Minimum Relative Humidity, RHmin (%)Leaf Wetness in Wet State, LWwet (min)Transition Time (min)Leaf Wetness in Dry State, LWdry (min)
Irrigation 1
Non-irrigated (NI)20.58 ± 0.11 a27.44 ± 0.17 b **15.21 ± 0.14 a **72.91 ± 0.30 b45.10 ± 0.36 a426.49 ± 8.37 a68.43 ± 2.51 b **909.95 ± 9.12 a
Irrigated (IR)20.55 ± 0.10 a28.43 ± 0.13 a **14.30 ± 0.10 b **73.94 ± 0.27 a44.72 ± 0.33 a411.49 ± 7.46 a87.79 ± 3.12 a **896.81 ± 8.01 a
Canopy height 1
Lower height (0.3 m AGL)20.50 ± 0.11 a28.47 ± 0.14 a **15.21 ± 0.14 a **74.34 ± 0.29 a **46.04 ± 0.37 a **381.43 ± 8.39 b **120.05 ± 3.92 a **895.79 ± 8.91 a
Upper height (1.5 m AGL)20.61 ± 0.11 a27.57 ± 0.15 b **14.30 ± 0.10 b **72.75 ± 0.28 b **43.94 ± 0.32 b **449.12 ± 7.37 a **44.67 ± 1.37 b **908.66 ± 8.17 a
Nitrogen (kg/ha) 2
6020.53 ± 0.13 a28.41 ± 0.17 a14.30 ± 0.12 b74.35 ± 0.34 a45.16 ± 0.41 a432.73 ± 9.00 a101.33 ± 4.28 a864.35 ± 9.77 c
12020.72 ± 0.15 a26.84 ± 0.24 b15.82 ± 0.21 a72.47 ± 0.39 b44.52 ± 0.47 a401.16 ± 10.71 b64.03 ± 3.04 b942.45 ± 11.63 a
18020.47 ± 0.13 a28.41 ± 0.16 a14.30 ± 0.12 b73.34 ± 0.33 b44.91 ± 0.40 a416.85 ± 9.44 ab67.70 ± 2.77 b911.54 ± 10.03 b
Values are given as mean ± SE. Values followed by different letters within columns are significantly different at p < 0.05; ** p < 0.01; 1 t-test; 2 Duncan’s multiple range test (DMRT); NI—non-irrigated; IR—irrigated; AGL—above-ground level.
Table 7. Pearson’s correlation (r) between micro-climatic factors.
Table 7. Pearson’s correlation (r) between micro-climatic factors.
FactorTavg (°C)Tmax (°C)Tmin (°C)RHavg (%)RHmin (%)LWwet (min)Transition Time (min)
Tmax (°C)0.806 **
Tmin (°C)0.755 **0.298 **
RHavg (%)−0.538 **−0.512 **−0.229 **
RHmin (%)−0.475 **−0.625 **−0.081 **0.810 **
LWwet (min)−0.290 **−0.278 **−0.150 **0.427 **0.376 **
Transition time (min)−0.040 *0.010−0.0270.202 **0.150 **−0.150 **
LWdry (min)0.287 **0.246 **0.170 **−0.462 **−0.384 **−0.888 **−0.202 **
* correlation significant at 0.05 level; ** correlation significant at 0.01 level. Tavg—Average temperature, Tmax—Maximum temperature, Tmin—Minimum temperature, RHavg—Average relative humidity, RHmin—Minimum relative humidity, LWwet—Leaf wetness in wet state, LWdry—Leaf wetness in dry state.
Table 8. Variation in climatic factors and maize plant parameters with years.
Table 8. Variation in climatic factors and maize plant parameters with years.
VariablesYear
202020212022
Macro-climatic factors
Maximum wind speed, SWmax (m/s)0.72 ± 0.33 b0.75 ± 0.32 ab 0.84 ± 0.35 a
Average wind speed, SWavg (m/s)4.12 ± 0.13 ab4.46 ± 0.14 a3.97 ± 0.12 b
Soil temperature, Ts (°C)22.23 ± 0.29 a22.65 ± 0.42 a23.00 ± 0.42 a
Global radiation, Rg (W/m2)173.11 ± 6.00 a163.49 ± 5.39 a169.12 ± 6.28 a
Precipitation, P (mm)1.97 ± 0.52 a1.10 ± 0.34 a2.18 ± 0.58 a
Irrigation, I (mm)0.65 ± 0.37 a0.87 ± 0.37 a3.97 ± 0.12 a
Combined precipitation and irrigation, PI (mm)2.62 ± 0.66 ab1.97 ± 0.49 b4.03 ± 0.79 a
Micro-climatic factors
Average temperature, Tavg (°C)20.16 ± 0.10 c20.57 ± 0.14 b20.95 ± 0.15 a
Maximum temperature, Tmax (°C)26.87 ± 0.18 b28.52 ± 0.17 a28.55 ± 0.20 a
Minimum temperature, Tmin (°C)15.66 ± 0.17 a13.77 ± 0.14 c14.70 ± 0.13 b
Average relative humidity, RHavg (%)79.06 ± 0.24 a73.14 ± 0.25 b68.21 ± 0.43 c
Minimum relative humidity, RHmin (%)49.17 ± 0.40 a43.70 ± 0.37 b41.76 ± 0.46 c
Leaf wetness in wet state, LWwet (min)433.50 ± 10.46 b350.45 ± 7.64 c471.88 ± 10.28 a
Transition time (min)145.58 ± 5.04 a48.05 ± 1.95 b46.75 ± 2.00 b
Leaf wetness in dry state, LWdry (min)808.85 ± 10.11 c1011.66 ± 8.77 a882.90 ± 11.24 b
Maize plant parameters
Kernel number per ear length25.60 ± 0.34 a20.70 ± 0.37 b 17.89 ± 0.39 c
Log mold count5.66 ± 0.17 a6.07 ± 0.26 a 6.06 ± 0.19 a
AFB1 (µg/kg)18.83 ± 8.89 b156.88 ± 59.02 a33.64 ± 13.33 b
FB1 (mg/kg)3.00 ± 1.35 ab6.28 ± 1.85 a1.78 ± 0.41 b
DON (mg/kg)0.00 ± 0.00 b0.48 ± 0.27 a 0.00 ± 0.00 b
ZEA (mg/kg)0.00 ± 0.00 a0.00 ± 0.00 a0.00 ± 0.00 a
Protein (m/m% DW)9.99 ± 0.09 c12.18 ± 0.12 b 13.15 ± 0.17 a
Starch (m/m% DW)65.63 ± 0.38 a66.05 ± 0.45 a 56.19 ± 0.58 b
Total polyphenols (mg GAE/100 g)N.D.212.41 ± 5.20 a197.86 ± 4.17 a
Values are given as mean ± SE. Values followed by different letters within rows are significantly different at p < 0.05 Duncan’s multiple range test (DMRT). N.D. Analysis was not performed.
Table 9. Pearson’s correlation (r) between macro-climatic factors.
Table 9. Pearson’s correlation (r) between macro-climatic factors.
FactorSWmax (m/s)SWavg (m/s)Ts (°C)Rg (W/m2)P (mm)
SWavg (m/s)0.622 **
Ts (°C)0.0610.140 *
Rg (W/m2)−0.0210.0500.689 **
P (mm)0.119 *0.128 *−0.136 *−0.387 **
PI (mm)0.1000.0710.046−0.162 **0.710 **
* correlation significant at 0.05 level; ** correlation significant at 0.01 level. SWmax—Maximum wind speed, SWavg—Average wind speed, Ts—Soil temperature, Rg—Global radiation, P—Precipitation, PI—Combined precipitation and irrigation.
Disclaimer/Publisher’s Note: The statements, opinions and data contained in all publications are solely those of the individual author(s) and contributor(s) and not of MDPI and/or the editor(s). MDPI and/or the editor(s) disclaim responsibility for any injury to people or property resulting from any ideas, methods, instructions or products referred to in the content.

Share and Cite

MDPI and ACS Style

Mwalugha, H.M.; Molnár, K.; Rácz, C.; Kovács, S.; Adácsi, C.; Dövényi-Nagy, T.; Bakó, K.; Pócsi, I.; Dobos, A.; Pusztahelyi, T. Irrigation, Nitrogen Supplementation, and Climatic Conditions Affect Resistance to Aspergillus flavus Stress in Maize. Agriculture 2025, 15, 767. https://doi.org/10.3390/agriculture15070767

AMA Style

Mwalugha HM, Molnár K, Rácz C, Kovács S, Adácsi C, Dövényi-Nagy T, Bakó K, Pócsi I, Dobos A, Pusztahelyi T. Irrigation, Nitrogen Supplementation, and Climatic Conditions Affect Resistance to Aspergillus flavus Stress in Maize. Agriculture. 2025; 15(7):767. https://doi.org/10.3390/agriculture15070767

Chicago/Turabian Style

Mwalugha, Heltan M., Krisztina Molnár, Csaba Rácz, Szilvia Kovács, Cintia Adácsi, Tamás Dövényi-Nagy, Károly Bakó, István Pócsi, Attila Dobos, and Tünde Pusztahelyi. 2025. "Irrigation, Nitrogen Supplementation, and Climatic Conditions Affect Resistance to Aspergillus flavus Stress in Maize" Agriculture 15, no. 7: 767. https://doi.org/10.3390/agriculture15070767

APA Style

Mwalugha, H. M., Molnár, K., Rácz, C., Kovács, S., Adácsi, C., Dövényi-Nagy, T., Bakó, K., Pócsi, I., Dobos, A., & Pusztahelyi, T. (2025). Irrigation, Nitrogen Supplementation, and Climatic Conditions Affect Resistance to Aspergillus flavus Stress in Maize. Agriculture, 15(7), 767. https://doi.org/10.3390/agriculture15070767

Note that from the first issue of 2016, this journal uses article numbers instead of page numbers. See further details here.

Article Metrics

Back to TopTop