Production Efficiency or Food Miles: Comparative Life Cycle Assessment of Local and Imported Peas and Lentils at Market in Western Europe
Abstract
1. Introduction
- To compare the life cycle environmental impacts of peas and lentils produced in Canada for export to Western Europe with peas produced in France and peas and lentils produced in Russia, using attributional LCA.
- To estimate the marginal impacts of transportation on the overall supply chain impacts of Canadian and Russian peas and lentils imported for consumption in Western Europe.
2. Methods
2.1. Intended Applications
2.2. Functional Unit
2.3. System Boundaries
- Farm operations included tillage, harrowing, seeding, land rolling, fertilizer application, pesticide and other agri-chemical applications, swathing, and harvesting.
- Farm inputs/outputs included seed, fertilizer, plant protection products, desiccants, inoculants, irrigation (when relevant), energy carriers (i.e., fuels and electricity for farm operations), and harvested/dried pulses.
- Field-level emissions of carbon dioxide (CO2), nitrous oxide (N2O) (direct and indirect), ammonia (NH3), nitrate (NO3), nitrogen oxides (NOx), phosphate (P), and losses of crop protection products to air, soil, and water were included.
- N credits from biological N fixation and crop residues were considered as an additional function in the foreground system models. For the N fixed by the pulse crops, this was modelled as a negative input of ammonia fertilizer. This was chosen based on the logic that the N fixed by the pulse crop allows the farmer to apply that much less N fertilizer to the next crop in the rotation, and ammonia is the chemical building block for N fertilizers. Hence, system expansion was employed to deal with the multifunctionality of the system, which is detailed in the allocation section below.
- Drying (not including storage) of the pulse crops was included based on the required energy use.
- Transportation included the transportation of peas and lentils to market, as well as the transportation of farm inputs to the farm.
- Capital goods such as farm infrastructure and machinery used on the farm were not included in the inventory. Previous LCAs of peas and lentils in Western Canada have indicated that the production, distribution, storage, and disposal of on-farm capital goods (i.e., on-farm equipment) make only minor contributions to life cycle environmental impacts [6,25], and that impacts are highly sensitive to the assumed lifespan and use of the equipment.
- Storage (after drying) was excluded from the system boundary since a previous pea LCA carried out in the Canadian province of Alberta [7] indicated that grain storage was a minor contributor to the environmental impacts of Alberta pea production. Based on this and the advice of expert stakeholder groups (Canadian pulse growers’ associations and Pulse Canada), storage impacts were excluded.
2.4. Geographical, Temporal, and Technological Boundaries
2.5. Allocation Procedure
2.6. Life Cycle Inventory
2.6.1. Soil Carbon, Nitrogen Credit, and Emissions Modeling
2.6.2. Transportation
2.6.3. Data Quality and Uncertainty
2.7. Life Cycle Impact Assessment
2.8. Sensitivity Analysis
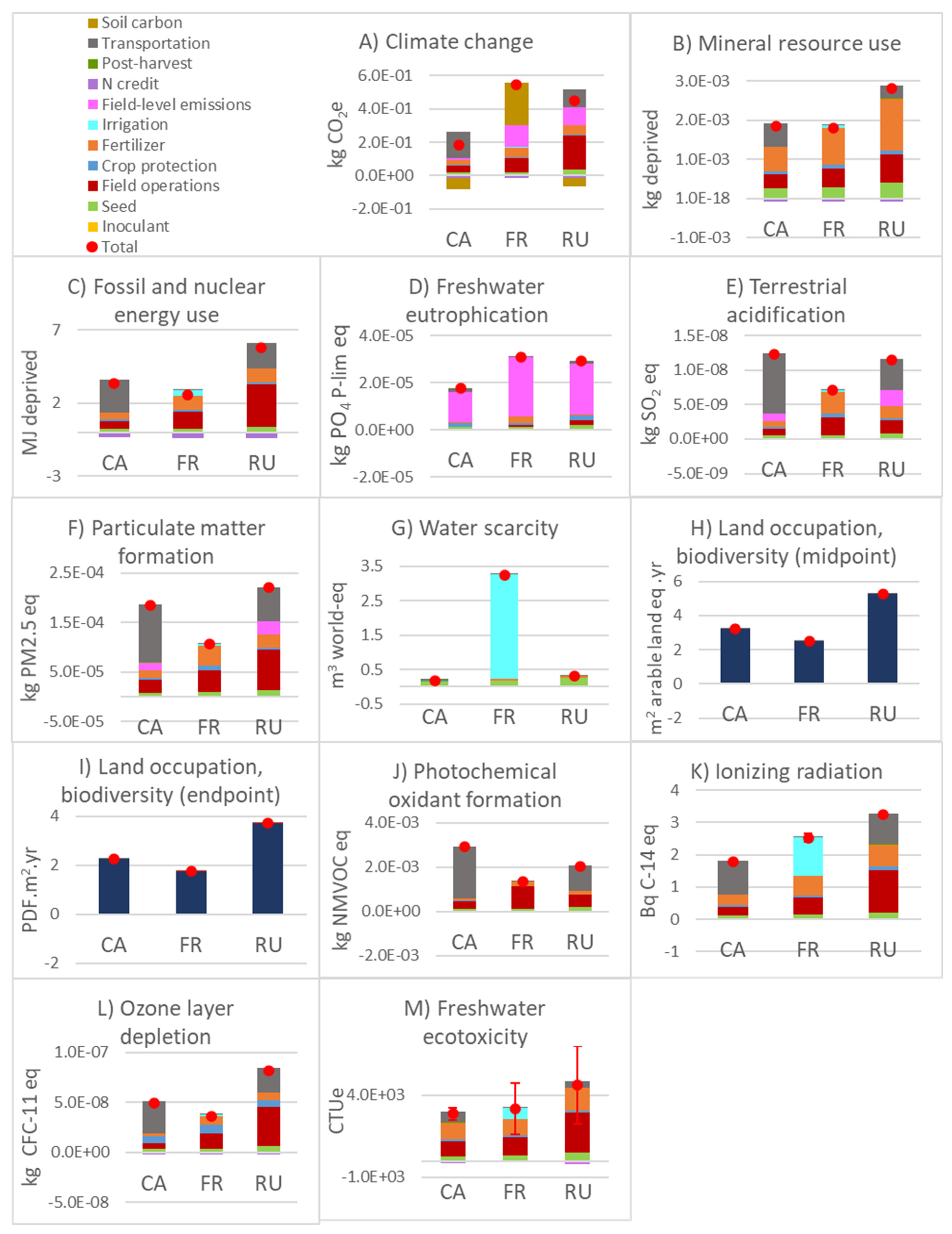
3. Results and Discussion
3.1. Life Cycle Inventory
3.2. Life Cycle Impact Assessment
3.3. Life Cycle Interpretation
3.3.1. Sensitivity Analysis
Transportation
Field Operations
Field-Level Greenhouse Gas Emissions
3.3.2. Comparison to Previous Studies
4. Conclusions
Limitations and Future Directions
Supplementary Materials
Author Contributions
Funding
Data Availability Statement
Acknowledgments
Conflicts of interest
Abbreviations
| AB | Alberta |
| APOS | at point of substitution |
| BNF | biological nitrogen fixation |
| CA | Canada |
| CO2 | carbon dioxide |
| CRSC | Canadian Roundtable for Sustainable Crops |
| DQI | data quality indicator |
| EF | emission factor |
| EPD | environmental product declaration |
| FR | France |
| GHG | greenhouse gas |
| IPCC | Intergovernmental Panel on Climate Change |
| ISO | International Organization for Standardization |
| LCA | life cycle assessment |
| LCI | life cycle inventory |
| LCIA | life cycle impact assessment |
| MB | Manitoba |
| N | nitrogen |
| N2O | nitrous oxide |
| NH3 | ammonia |
| NIR | National Inventory Report |
| NO3 | nitrate |
| NOx | nitrogen oxides |
| P | phosphate |
| RU | reconciliation unit |
| RU | Russia |
| SALCA | Swiss Agricultural Life Cycle Assessment |
| SK | Saskatchewan |
| SOC | soil organic carbon |
References
- Statistics Canada. Pulses in Canada; Statistics Canada: Ottawa, ON, Canada, 2015. [Google Scholar]
- Health Canada. Nutrient Profile; Health Canada: Ottawa, ON, Canada, 2021. [Google Scholar]
- Ojiewo, C.; Keatinge, D.J.D.H.; Hughes, J.; Tenkouano, A.; Nair, R.; Varshney, R.; Siambi, M.; Monyo, E.; Ganga-Rao, N.; Silim, S. The Role of Vegetables and Legumes in Assuring Food, Nutrition, and Income Security for Vulnerable Groups in Sub-Saharan Africa. World Med. Health Policy 2015, 7, 187–210. [Google Scholar] [CrossRef]
- Campbell, C.A.; Zentner, R.P.; Selles, F.; Biederbeck, V.O.; McConkey, B.G.; Blomert, B.; Jefferson, P.G. Quantifying Short-Term Effects of Crop Rotations on Soil Organic Carbon in Southwestern Saskatchewan. Can. J. Soil Sci. 2000, 80, 193–202. [Google Scholar] [CrossRef]
- Lemke, R.L.; Zhong, Z.; Campbell, C.A.; Zentner, R. Can Pulse Crops Play a Role in Mitigating Greenhouse Gases from North American Agriculture? Agron. J. 2007, 99, 1719–1725. [Google Scholar] [CrossRef]
- MacWilliam, S.; Wismer, M.; Kulshreshtha, S. Life Cycle and Economic Assessment of Western Canadian Pulse Systems: The Inclusion of Pulses in Crop Rotations. Agric. Syst. 2014, 123, 43–53. [Google Scholar] [CrossRef]
- Alberta Agriculture and Forestry. Life Cycle Assessment of Alberta Pea Production; Alberta Agriculture and Forestry: Edmonton, AB, Canada, 2018; pp. 1–27. [Google Scholar]
- Bamber, N.; Dutta, B.; Heidari, M.D.; Zargar, S.; Li, Y.; Tremorin, D.; Pelletier, N. Spatially Resolved Inventory and Emissions Mod-elling for Pea and Lentil Life Cycle Assessment. Sustain. Prod. Consum. 2022, 33, 738–755. [Google Scholar] [CrossRef]
- Nitschelm, L.; Aubin, J.; Corson, M.S.; Viaud, V.; Walter, C. Spatial Differentiation in Life Cycle Assessment LCA Applied to an Agricultural Territory: Current Practices and Method Development. J. Clean. Prod. 2016, 112, 2472–2484. [Google Scholar] [CrossRef]
- Yang, Y.; Tao, M.; Suh, S. Geographic Variability of Agriculture Requires Sector-Specific Uncertainty Characterization. Int. J. Life Cycle Assess. 2018, 23, 1581–1589. [Google Scholar] [CrossRef]
- Rapinski, M.; Raymond, R.; Davy, D.; Herrmann, T.; Bedell, J.-P.; Ka, A.; Odonne, G.; Chanteloup, L.; Lopez, P.J.; Folquier, É.; et al. Local Food Systems under Global Influence: The Case of Food, Health and Environment in Five Socio-Economic Ecosystems. Sustainability 2023, 15, 2376. [Google Scholar] [CrossRef]
- Weber, C.L.; Matthews, H.S. Food-Miles and the Relative Climate Impacts of Food Choices in the United States. Environ. Sci. Technol. 2008, 42, 3508–3513. [Google Scholar] [CrossRef] [PubMed]
- Poore, J.; Nemecek, T. Reducing Food’s Environmental Impacts through Producers and Consumers. Science 2018, 992, 987–992. [Google Scholar] [CrossRef]
- Guinee, J.B. Handbook on Life Cycle Assessment Operational Guide to the ISO Standards. Int. J. Life Cycle Assess. 2002, 7, 311–313. [Google Scholar] [CrossRef]
- Tremorin, D.; (Pulse Canada, Winnipeg, MB, Canada). Personal communication, 2021.
- Apaiah, R.K.; Linnemann, A.R.; van der Kooi, H.J. Exergy Analysis: A Tool to Study the Sustainability of Food Supply Chains. Food Res. Int. 2006, 39, 1–11. [Google Scholar] [CrossRef]
- Carlsson-Kanyama, A. Climate Change and Dietary Choices—How Can Emissions of Greenhouse Gases from Food Consumption Be Reduced? Food Policy 1998, 23, 277–293. [Google Scholar] [CrossRef]
- Kekes, T.; Drosou, F.; Nair, N.R.; Corredig, M.; Boukouvalas, C.; di Stefano, M.B.; Ruggiero, V.; Krokida, M.; Kekes, T.; Drosou, F.; et al. Ecodesign of a Legume-Based Vegan Burger: A Holistic Case Study Focusing on Ingredient Sourcing and Packaging Material. Sustainability 2025, 17, 5243. [Google Scholar] [CrossRef]
- Tidåker, P.; Karlsson Potter, H.; Carlsson, G.; Röös, E. Towards Sustainable Consumption of Legumes: How Origin, Processing and Transport Affect the Environmental Impact of Pulses. Sustain. Prod. Consum. 2021, 27, 496–508. [Google Scholar] [CrossRef]
- Bamber, N.; Turner, I.; Pelletier, N. Rapeseed, Wheat and Peas Grown in Canada Have Considerably Lower Carbon Footprints than Those from Major International Competitors. Nat. Food 2025, 6, 757–761. [Google Scholar] [CrossRef]
- ISO 14040; Environmental Management-Life Cycle Assessment-Principles and Framework. ISO: Geneva, Switzerland, 2006.
- ISO 14044; Environmental Management-Life Cycle Assessment-Requirements and Guilelines. ISO: Geneva, Switzerland, 2006.
- Canadian Grain Commission. Tough and Damp Moisture Ranges for Canadian Grains. Available online: https://www.grainscanada.gc.ca/en/grain-quality/grain-grading/grading-factors/moisture-content/tough-damp-ranges.html (accessed on 1 May 2021).
- Saskatchewan Pulse Growers. Post-Harvest Storage of Pulses; Saskatchewan Pulse Growers: Saskatoon, SK, Canada, 2018. [Google Scholar]
- MacWilliam, S.; Parker, D.; Marinangeli, C.P.F.; Trémorin, D. A Meta-Analysis Approach to Examining the Greenhouse Gas Implications of Including Dry Peas (Pisum sativum L.) and Lentils (Lens culinaris M.) in Crop Rotations in Western Canada. Agric. Syst. 2018, 166, 101–110. [Google Scholar] [CrossRef]
- Nemecek, T. Protein Pea Production|Protein Pea|APOS, U-FR, Ecoinvent Database; Version 3.8; APOS: Zurich, Switzerland, 2007. [Google Scholar]
- Lee, M. Russian Pea and Lentil Production Prepared for Pulse Canada; Green Square Agro Consulting: Exeter, UK, 2022. [Google Scholar]
- Margni, M.; Rossier, D.; Crettaz, P.; Jolliet, O. Life cycle impact assessment of pesticides on human health and ecosystems. Agric. Ecosyst. Environ. 2002, 93, 379–392. [Google Scholar] [CrossRef]
- Freiermuth, R. Modell Zur Berechnung Der Schwermetallflüsse in Der Landwirtschaftlichen Ökobilanz. Available online: https://www.aramis.admin.ch/Texte/?ProjectID=23715 (accessed on 16 January 2020).
- Rochette, P.; Liang, C.; Pelster, D.; Bergeron, O.; Lemke, R.; Kroebel, R.; MacDonald, D.; Yan, W.; Flemming, C. Soil Nitrous Oxide Emissions from Agricultural Soils in Canada: Exploring Relationships with Soil, Crop and Climatic Variables. Agric. Ecosyst. Environ. 2018, 254, 69–81. [Google Scholar] [CrossRef]
- Russian Federation. Russian National Inventory Report; UNFCCC: Bonn, Germany, 2021. [Google Scholar]
- Stolbovoi, V. Soils of Russia: Correlated with the Revised Legend of the FAO Soil Map of the World and World Reference Base for Soil Resources; Geography; International Institute for Applied Systems Analysis: Laxenburg, Austria, 1998. [Google Scholar]
- Thiagarajan, A.; Fan, J.; McConkey, B.G.; Janzen, H.H.; Campbell, C.A. Dry Matter Partitioning and Residue N Content for 11 Major Field Crops in Canada Adjusted for Rooting Depth and Yield. Can. J. Soil Sci. 2018, 98, 574–579. [Google Scholar] [CrossRef]
- IPCC. Guidelines for National Greenhouse Gas Inventories. 2006. Available online: https://www.ipcc-nggip.iges.or.jp/public/2006gl/ (accessed on 20 August 2009).
- Prasuhn, V. Erfassung Der PO4-Austräge Für Die Ökobilanzierung–SALCAPhosphor; Agroscope: Bern, Switzerland, 2006. [Google Scholar]
- Canada. National Inventory Report; UNFCCC: Bonn, Germany, 2021; pp. 1–221. [Google Scholar]
- France. National Inventory Report; UNFCCC: Bonn, Germany, 2021; pp. 1–786. [Google Scholar]
- UNFAO. Land Portal. Available online: https://landportal.org/book/indicator/fao-6620-5110 (accessed on 1 March 2021).
- Barker, B. Nitrogen Credit. Available online: https://www.topcropmanager.com/nitrogen-credit-906/ (accessed on 1 February 2021).
- Frischknecht, R.; Jungbluth, N.; Althaus, H.J.; Doka, G.; Dones, R.; Heck, T.; Hellweg, S.; Hischier, R.; Nemecek, T.; Rebitzer, G.; et al. The ecoinvent database: Overview and methodological framework. Int. J. Life Cycle Assess. 2005, 10, 3–9. [Google Scholar] [CrossRef]
- Bamber, N.; Arulnathan, V.; Puddu, L.; Smart, A.; Ferdous, J.; Pelletier, N. Life Cycle Inventory and Assessment of Canadian Faba Bean and Dry Bean Production. Sustain. Prod. Consum. 2024, 46, 442–459. [Google Scholar] [CrossRef]
- (S&T)2 Consultants Inc. CRSC Carbon Footprint Methodology Report; (S&T)2 Consultants Inc.: Delta, BC, Canada, 2022. [Google Scholar]
- Liang, C.; MacDonald, D.; Thiagarajan, A.; Flemming, C.; Cerkowniak, D.; Desjardins, R. Developing a Country Specific Method for Estimating Nitrous Oxide Emissions from Agricultural Soils in Canada. Nutr. Cycl. Agroecosystems 2020, 117, 145–167. [Google Scholar] [CrossRef]



| Crop/Region | Method of Transport | Process Modelled (Ecoinvent v.3.8) | Distance (km) |
|---|---|---|---|
| Lentils CA | Trucking to Regina (roundtrip) | market for transport, freight, lorry, unspecified|transport, freight, lorry, unspecified|APOS, S-RoW | 150 |
| Rail from Regina to Montreal | market for transport, freight train|transport, freight train|APOS, S-US | 3072 | |
| Container vessel from Port of Montreal to Port of Rotterdam | market for transport, freight, sea, container ship|transport, freight, sea, container ship|APOS, S-GLO | 6280 | |
| Peas CA | Trucking to Saskatoon (roundtrip) | market for transport, freight, lorry, unspecified|transport, freight, lorry, unspecified|APOS, S-RoW | 150 |
| Rail from Saskatoon to Thunder Bay | market for transport, freight train|transport, freight train|APOS, S-US | 1438 | |
| Bulk vessel from Thunder Bay to Antwerp, Belgium | market for transport, freight, sea, bulk carrier for dry goods|transport, freight, sea, bulk carrier for dry goods|APOS, S-GLO | 8991 | |
| Lentils RU | Road (70%) from Volga FD to Volga (inland) port | market for transport, freight, lorry, unspecified|transport, freight, lorry, unspecified|APOS, S-RER | 743 |
| Rail (30%) from Volga FD to Volga (inland) port | market for transport, freight train|transport, freight train|APOS, S-Europe without Switzerland | 319 | |
| Container vessel to Marseille | market for transport, freight, sea, container ship|transport, freight, sea, container ship|APOS, S-GLO | 4786 | |
| Peas RU | Road (70%) from Central FD and Southern FD to Novorossiysk port | market for transport, freight, lorry, unspecified|transport, freight, lorry, unspecified|APOS, S-RER | 523 |
| Rail (30%) from Central FD and Southern FD to Novorossiysk port | market for transport, freight train|transport, freight train|APOS, S-Europe without Switzerland | 224 | |
| Bulk vessel to Marseille | market for transport, freight, sea, bulk carrier for dry goods|transport, freight, sea, bulk carrier for dry goods|APOS, S-GLO | 4786 |
| Crop-Country | Crop Production Without Soil Carbon | Soil Carbon | Crop Production Including Soil Carbon | Crop Production, Soil Carbon, and Transportation |
|---|---|---|---|---|
| Peas CA | 0.088 | −0.065 | 0.023 | 0.181 |
| Peas FR | 0.288 | 0.254 | 0.542 | 0.543 |
| Peas RU | 0.392 | −0.050 | 0.342 | 0.450 |
| Lentils CA | 0.178 | −0.120 | 0.058 | 0.308 |
| Lentils RU | 0.737 | −0.113 | 0.624 | 0.778 |
Disclaimer/Publisher’s Note: The statements, opinions and data contained in all publications are solely those of the individual author(s) and contributor(s) and not of MDPI and/or the editor(s). MDPI and/or the editor(s) disclaim responsibility for any injury to people or property resulting from any ideas, methods, instructions or products referred to in the content. |
© 2025 by the authors. Licensee MDPI, Basel, Switzerland. This article is an open access article distributed under the terms and conditions of the Creative Commons Attribution (CC BY) license (https://creativecommons.org/licenses/by/4.0/).
Share and Cite
Bamber, N.; Tremorin, D.; Pelletier, N. Production Efficiency or Food Miles: Comparative Life Cycle Assessment of Local and Imported Peas and Lentils at Market in Western Europe. Agriculture 2025, 15, 2315. https://doi.org/10.3390/agriculture15222315
Bamber N, Tremorin D, Pelletier N. Production Efficiency or Food Miles: Comparative Life Cycle Assessment of Local and Imported Peas and Lentils at Market in Western Europe. Agriculture. 2025; 15(22):2315. https://doi.org/10.3390/agriculture15222315
Chicago/Turabian StyleBamber, Nicole, Denis Tremorin, and Nathan Pelletier. 2025. "Production Efficiency or Food Miles: Comparative Life Cycle Assessment of Local and Imported Peas and Lentils at Market in Western Europe" Agriculture 15, no. 22: 2315. https://doi.org/10.3390/agriculture15222315
APA StyleBamber, N., Tremorin, D., & Pelletier, N. (2025). Production Efficiency or Food Miles: Comparative Life Cycle Assessment of Local and Imported Peas and Lentils at Market in Western Europe. Agriculture, 15(22), 2315. https://doi.org/10.3390/agriculture15222315

