Next Article in Journal
Research on Wheat Spike Phenotype Extraction Based on YOLOv11 and Image Processing
Previous Article in Journal
Effect of Pollination Methods on Fruit Development in Greenhouse Watermelon: Physiological and Molecular Perspectives
Previous Article in Special Issue
Nitrogen Fertiliser Reduction at Different Rice Growth Stages and Increased Density Improve Rice Yield and Quality in Northeast China
 
 
Font Type:
Arial Georgia Verdana
Font Size:
Aa Aa Aa
Line Spacing:
Column Width:
Background:
Article

Influence of Meteorological Factors and Sowing Dates on Growth and Yield Traits of Summer Maize in Northeastern Sichuan, China

1
College of Life Science, China West Normal University, Nanchong 637009, China
2
Nanchong Academy of Agricultural Sciences, Nanchong 637000, China
*
Author to whom correspondence should be addressed.
Agriculture 2025, 15(21), 2294; https://doi.org/10.3390/agriculture15212294
Submission received: 28 September 2025 / Revised: 1 November 2025 / Accepted: 2 November 2025 / Published: 3 November 2025
(This article belongs to the Special Issue Effect of Cultivation Practices on Crop Yield and Quality)

Abstract

This study investigates meteorological factors’ effects on summer maize growth, agronomic traits and yield in northeastern Sichuan, China, under different sowing dates. A five-gradient sowing date experiment was conducted with three varieties from 2023 to 2024. The results showed delayed sowing prolonged total growth period mainly in the joint–tasseling and silking–maturity stages. Early sowing (5th May and 20th May) significantly improved key agronomic traits and increased grain yield, with Xianyu 1171 achieving the highest yield of 9.77 t ha−1 under early sowing. Meteorological factors had limited influence during vegetative growth but strongly affected reproductive growth. Among them, average temperature (AT) and growing degree days (GDDs) were critical throughout the growth cycle, though their effects varied by stage. These findings suggest that adjusting sowing dates to align key growth stages with favorable weather—particularly by avoiding high-temperature stress during flowering and ensuring sufficient warmth during grain filling—can enhance yield stability. This study provides a basis for constructing a climate-resilient cultivation system and promoting stable and high summer maize yields in the hilly areas of northeastern Sichuan.

1. Introduction

Maize (Zea mays L.), one of the world’s three major staple crops, is crucial for global food security, feed supply, and industrial applications because of its extensive cultivation and high productivity [1]. In China, maintaining stable maize yields is vital for national food security, and research on maize growth patterns is essential to achieve sustainable high-quality production [2]. Summer maize, planted after “minor spring crops” (e.g., rapeseed and wheat) in summer, enables crop rotation in northeastern Sichuan’s hilly terrain with clayey soils [3,4]. Despite lower yields than spring maize due to climatic stresses (high temperatures, drought/rainfall), its alternate growing season with “minor spring crops” optimizes land use efficiency [5]. Therefore, summer maize is of irreplaceable importance in ensuring the stability of the regional total grain output, adapting to local agricultural production conditions, and promoting the sustainable development of agriculture in hilly areas.
The growth and development of summer maize are closely related to meteorological factors such as light, temperature, and water resources, which collectively affect its growth process, agronomic traits, and yield [6]. Suitable light conditions are fundamental for photosynthesis and morphogenesis throughout the life cycle. From seedling establishment to grain filling, sufficient light boosts photosynthetic rates and dry matter accumulation, whereas insufficient light leads to etiolated seedlings and weakened stems [7,8,9,10]. Temperature acts as a double-edged sword; while suitable temperatures promote enzymatic activity and physiological processes, excessive heat can inhibit photosynthetic enzyme activity, accelerate respiration consumption, and severely impair pollen viability during fertilization, leading to kernel abortion and yield loss [11,12,13]. Water availability is critical at all stages, governing processes from nutrient transport to cell expansion. It influences seed germination, maintains cell turgor during vegetative growth, supports the coordination of vegetative and reproductive growth, and is indispensable for the transport and accumulation of photosynthetic products during the critical grain-filling period [14,15,16,17].
Northeastern Sichuan, China, has a subtropical and humid monsoon climate. Its climate during the summer maize growth period is complex. Concurrent rain and heat are conducive to its growth, but they also face many challenges. Specifically, continuous high temperatures and droughts often occur in early July, disrupting maize photosynthesis and respiration [13]. Heavy winds and rain are common in late July, and can easily cause lodging and waterlogging. In August, persistently high temperatures, accompanied by high humidity, lead to the breeding of diseases and pests [18]. During the critical filling and harvesting period from September to October, daylight shortens, temperatures become cooler, and rainy days increase, resulting in smaller ears, underfilled grains, fewer grains, and even barren stalks [19]. Optimizing the sowing dates can enhance summer maize resilience by aligning key growth phases with favorable weather conditions. Although numerous studies have been conducted on sowing date experiments, most existing findings have primarily focused on major maize-producing regions such as the Huang-Huai-Hai area and northern China. For instance, research in the Huang-Huai-Hai region has demonstrated that appropriately advancing summer maize planting can enhance yields, which is closely related to improved light and temperature conditions during the later growth stages in this area [6,20]. Conversely, studies in the Northern Plain emphasized the significance of delayed sowing for maize to fully utilize the growing season [21]. These regional differences have led to varying conclusions; however, research on summer maize in northeastern Sichuan remains insufficient.
Based on the above research background, this study hypothesizes that delayed sowing will alter the alignment between the growth stages of summer maize and meteorological conditions, with variations in the magnitude of changes in growth period and yield across different varieties. Therefore, this study focused on summer maize in the northeastern Sichuan region by conducting a five-gradient sowing date experiment from 2023 to 2024, combined with field microclimate monitoring and crop physiological diagnosis. This research emphasizes three key aspects: (1) the correlation between the key growth stages of maize and meteorological factors, (2) the agronomic traits and yield performance of summer maize varieties, and (3) the relationships among agronomic traits, yield, and meteorological factors. The results aim to support the building of a climate-resilient cultivation system, boosting productivity and stable yields in hilly areas.

2. Materials and Methods

2.1. Experimental Site

Field experiments were carried out from to 2023–2024 at Longchisi Village, Jianxing Town, Nanbu County, Nanchong City, northeastern Sichuan Province, China—a site commonly used for experiments by the Nanchong Academy of Agricultural Sciences—at 105°50′52″ E, 31°13′19″ N, with an elevation of 602 m. It has a subtropical humid monsoon climate with four distinct seasons. The topsoil was calcareous purple (pH 8.5) in color. Detailed soil analysis (0–20 cm layer) showed organic matter content 18.2 g kg−1, total nitrogen 1.05 g kg−1, available phosphorus (P2O5) 11.6 mg kg−1, available potassium (K2O) 118 mg kg−1, cation exchange capacity 15.3 cmol kg−1, and bulk density 1.32 g cm−1.

2.2. Experimental Design

A two-factor randomized block design was adopted with sowing date and variety as treatment factors. There were five levels of sowing date factors: S1 (5th May), S2 (20th May), S3 (4th June), S4 (19th June), and S5 (4th July). This design was chosen to systematically capture the transition of summer maize growth stages across key local meteorological conditions, including the early-season drought in July and the cooling period in September, thereby assessing the crop’s response to a wide range of climate scenarios. Three varieties were included: Xianyu 1171, Chengdan 716, and Zhongyu 3, which were provided by the Nanchong Academy of Agricultural Sciences. These varieties are all major cultivars that have been vigorously promoted in the research region in recent years. Xianyu 1171 is known for high yield potential but moderate sensitivity to climatic fluctuations; Chengdan 716 has strong stress resistance and stable performance in hilly areas; Zhongyu 3 is widely planted for its balanced agronomic traits. Investigating their response to sowing dates is critical for guiding local production. Therefore, studying their response to different sowing dates provide effective technical guidance for local farmers. 15 treatments were set up with three replicates, resulting in 45 plots. Each plot was ≥30 m2, with ≥6 rows (middle 2 rows for yield measurement, other non-border rows as sampling area). The planting density was 57,000 plants ha−1 (row spacing 0.67 m, hill spacing, 0.25 m). Protective rows were placed in the experimental field. The previous crop in the field was wheat, and after wheat harvest, the soil was deeply plowed (25–30 cm) and harrowed twice to eliminate crop residues, break up soil clods, and improve soil aeration and water retention capacity. Before maize planting, 750 kg ha−1 of compound fertilizer (15% nitrogen, 15% phosphorus pentoxide, and 15% potassium oxide) was applied. During the elongation and heading stages, 80 kg ha−1 and 120 kg ha−1 of urea were applied, respectively. Pests were controlled by spraying 20% chlorantraniliprole suspension concentrate at a dosage of 300 mL ha−1 during the seedling and tasseling stages. Diseases were prevented by foliar spraying of 43% tebuconazole suspension concentrate at 250 mL ha−1 at the early jointing stage, and a second application was conducted at the tasseling stage. 90% acetochlor EC was sprayed before maize emergence to suppress annual grassy weeds, while 4% nicosulfuron suspension was applied when maize reached the 3–5 leaf stage to clear broad-leaved weeds and any remaining grassy weeds.

2.3. Monitoring of Growth Period and Meteorological Data

The dates from sowing to the emergence, jointing, tasseling, silking, and maturity of maize under each sowing date treatment were recorded according to the Chinese National Standard GB/T 17315-2011 for maize seed production [22]. Sowing date refers to the actual sowing day. The emergence stage occurred when 50% of the plants reached the three-leaf and one-heart stages. The jointing stage occurred when the stem node boundary was palpable in 50% of the plants in the plot. The tasseling stage is when tassels are visible in 50% of them, and the anthesis stage is when pollen is shed from the tassels in 50% of them. The silking stage occurs when the silks on female ears reach 2 cm in 50% of the ears. The maturity stage was defined as the stage when the middle kernels of the ears developed a black layer in 50% of the ears. Each treated maize variety was harvested 10 days after reaching physiological maturity. A portable meteorological monitor (TH-BQX6, Shandong Tianhe Environment Technology Co., Ltd., Weifang, China) was used to conduct real-time monitoring of daily meteorological factors during the maize growth period, including precipitation (PP), duration of sunlight (SuD), air humidity (AH), and average temperature (AT). Growing degree days (GDDs) during different growth periods were calculated using the following equation [23]:
G D D = 0 n T m e a n T b a s e
where Tmean is the average temperature on the n-th day, and Tbase is the base temperature for maize growth (10 °C).

2.4. Measurement of Agronomic and Yield Traits

Agronomic traits and yield were measured as previously described [24]. At the early grain–filling stage, 10 randomly selected healthy plants from each plot were sampled to measure plant height (PH) and ear height (EH). The stem diameter (StD) was determined by measuring the narrower side of the third stem node above the soil using a Vernier caliper. After harvesting, 10 randomly selected ears per plot were sampled for trait measurements, including ear length (EL), ear girth (EG), kernel rows per ear (KRE), kernel row number (KRN), and bald-tip length (BTL). From the thoroughly mixed corn seeds, 3 random 1000-seed portions were weighed to calculate the average 1000-kernel weight (KW). Grain yield (GY, ~14% moisture) was measured using plants from each treatment plot.

2.5. Data Analysis

Data analysis was performed using the following software: SPSSPRO (version: online platform accessed on 5 August 2025; URL: https://www.spsspro.com/) for descriptive statistics, Z-score standardization, and grey relational analysis; Origin (version 2022b; OriginLab, Northampton, MA, USA) for Pearson’s correlation analysis; and Canoco (version 5.0; Microcomputer Power, Ithaca, NY, USA) for redundancy analysis.

2.6. Data Validation and Assumptions Testing

Prior to statistical analysis, all datasets were checked for normality and homogeneity of variances using the Shapiro–Wilk test and Levene’s test, respectively, within the SPSSPRO platform. These are standard assumptions for the parametric statistical methods (e.g., Pearson’s correlation) employed in this study. The data met these assumptions, validating the subsequent analytical approaches. For the redundancy analysis, the significance of the models and explanatory variables was tested using Monte Carlo permutations, as provided in the Canoco software.

3. Results

3.1. Growth Process of Summer Maize Across Different Sowing Dates

Figure 1 shows the impact of different sowing dates on the duration of each growth stage of summer maize. In the sowing–seedling stage, the duration of the three varieties was generally stable at 6–7 days across sowing dates. In the seedling–jointing stage, although minor variations in duration existed between varieties and across sowing dates, the overall range of change was narrow. In the jointing–tasseling stage, Zhongyu 3 showed little fluctuation in duration across the sowing dates for both 2023 and 2024. For Xianyu 1171, the duration at S5 (32 d) in 2023 increased significantly compared with at S1–S4 (23–25 d), whereas in 2024, there was little difference in duration across the five sowing dates. For Chengdan 716, the duration at S5 in both 2023 and 2024 was consistently longer than that at S1–S4, with an average extension of 6 days. In the tasseling–silking stage, in both 2023 and 2024, the duration of all varieties under different sowing dates was 1–2 days. From 2023 to 2024, the silking–maturity durations of S4 and S5 were consistently 15–20% longer than those of S1–S3, and the duration of S5 was longer than that of S4. The total growth period in S5 was extended for all three varieties. Notably, the total growth period of Chengdan 716 at S4 and S5 was significantly longer than that at the other three sowing dates, with S5 being 17 days longer than S1 on average, indicating that Chengdan 716 may be more sensitive to sowing dates. The results showed that delaying the sowing date prolonged the growth period of summer maize to a certain extent, and this prolongation was mainly reflected in the jointing–tasseling and silking–maturity stages, whereas other growth stages were less sensitive to changes in the sowing date.

3.2. Meteorological Condition Differences in Summer Maize Growth Periods Across Sowing Dates

The meteorological factors during the summer maize growing period in 2023–2024 are shown in Figure 2. In 2023, significant heavy PP occurred in mid-June and other periods, while rainfall in other stages was relatively scattered and varied in intensity. In contrast, the PP in 2024 was more evenly distributed throughout multiple periods, though the intensity of individual rainfall events was generally lower than that in June 2023. The SuD showed similar variation patterns in both years, remaining relatively stable overall. The AH in 2024 fluctuated more frequently and was generally higher compared to 2023. AT fluctuated in both years, with overall trends being similar.
Because the growth process of maize includes the vegetative growth stage from sowing to tasseling and the reproductive growth stage from tasseling to harvest, this study analyzed the differences in meteorological factors between these two stages under different sowing dates (Table 1). Compared with the sowing–tasseling stage, PP (2023) and SuD (2023–2024) in the tasseling–maturity stage showed a decreasing trend. On sowing dates S1–S3, AH in the sowing–tasseling stage was higher than that in the tasseling–maturity stage, whereas in S4 and S5, the opposite was true. During the sowing–tasseling stage, from S1 to S5, the AT and GDD of the three summer maize varieties exhibited a progressive increase with delayed sowing, with GDD at S5 being approximately 40% higher than at S1. In contrast, during the tasseling–maturity stage, the AT and GDD showed a marked decrease as sowing was delayed, with GDD at S5 being only about 60% of that at S1. On sowing dates S1–S2, the GDD of the sowing–tasseling stage was lower than that of the tasseling–maturity stage, whereas for S3–S5, the GDD of the sowing–tasseling stage exceeded that of the tasseling–maturity stage. This indicates that delayed sowing results in an insufficient effective accumulation of temperature during the reproductive growth stage. Additionally, the lower PP in the sowing–tasseling stage resulted in a lower PP in 2024 than that in 2023 throughout the full growth period. There were no obvious differences in SuD across the various growth stages between the two years. In both the vegetative and reproductive growth stages, the AH and AT in 2024 was generally lower than that in 2023; however, in the reproductive growth stage, the AT of S4 and S5 in 2024 was higher than that in 2023. Overall, there were distinct differences in the meteorological conditions during the growth period of summer maize under different sowing dates.

3.3. Regression Analysis of Growth Process and Meteorological Factors

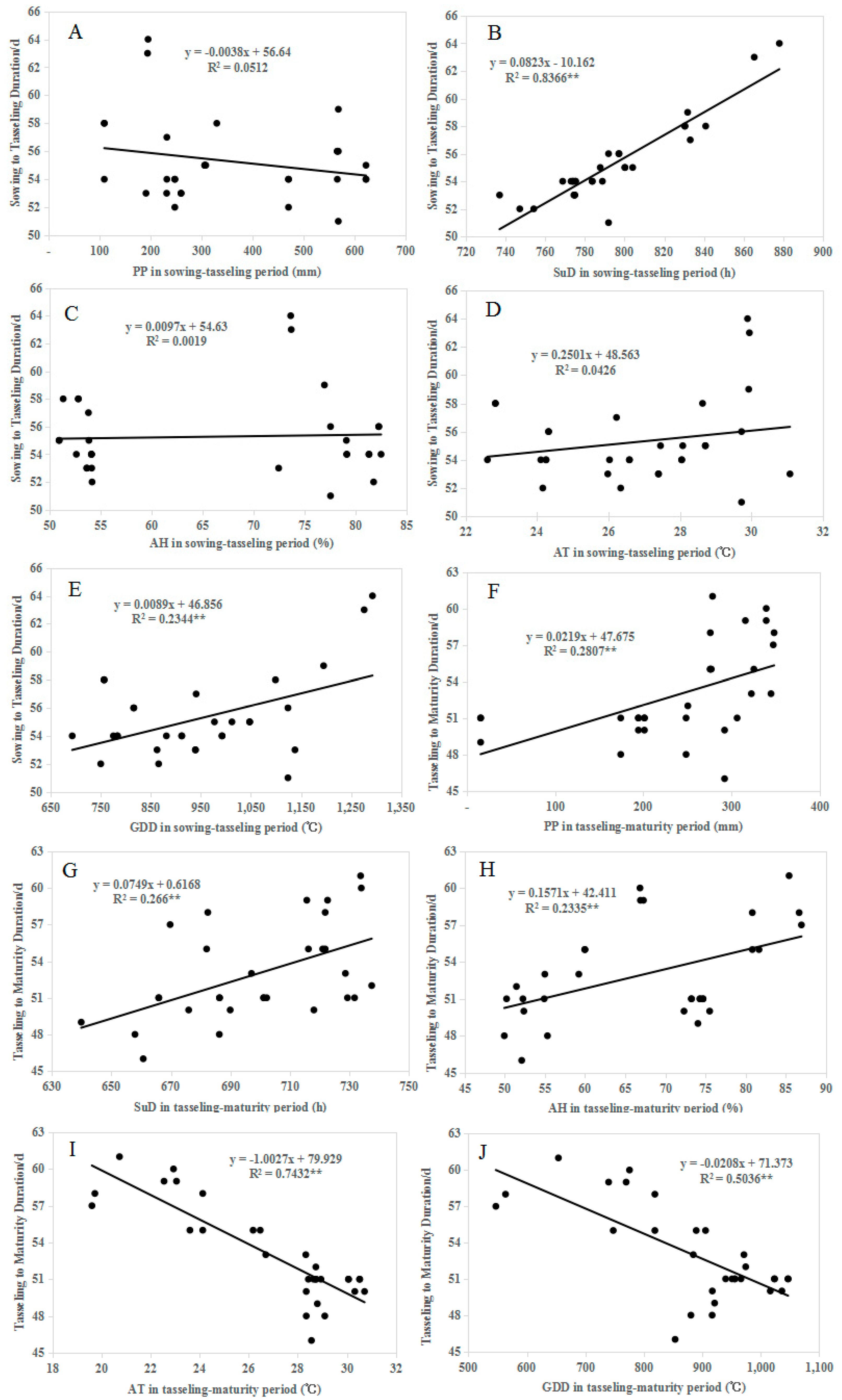
The results revealed that variations in meteorological conditions attributable to different sowing dates induced changes in the growth period of summer maize (Figure 1, Table 1). Subsequent efforts were directed toward identifying the key meteorological factors that had a primary influence on the growth period. The results of the regression analysis of summer maize growth processes and meteorological factors showed that the sowing–tasseling duration was positively correlated with SuD and GDD (p < 0.01), suggesting that extended sunshine and higher thermal accumulation were associated with prolonged vegetative growth (Figure 3B,E). Furthermore, Figure 1 shows that during the sowing–tasseling stage, the sowing date primarily affected the length of the jointing–tasseling period, indicating that SuD and GDD were important meteorological factors that prolonged the growth of summer maize during the jointing stage. PP, AH, and AT showed no significant correlation with the sowing–tasseling duration (Figure 3A,C,D). The duration of tasseling maturity was positively correlated with PP, SuD, and AH (p < 0.01), implying that higher humidity and precipitation levels were linked to extended reproductive phases (Figure 3F–H). However, AT and GDD were negatively correlated with tasseling–maturity duration (p < 0.01), indicating that the higher the daily average temperature and the higher the effective accumulated temperature, the fewer days required for the reproductive growth stage (Figure 3I,J). Moreover, Figure 1 indicates that during tasseling–maturity, the sowing date primarily affected silking–maturity duration, suggesting that PP, SuD, AH, AT, and GDD mainly influenced grain filling and kernel maturation, but had little impact on tasseling and silking. These findings indicated that fewer meteorological factors affected the duration of the vegetative growth stage of summer maize, whereas they had a greater influence on the duration of the reproductive growth stage.

3.4. Agronomic Traits and Yield of Summer Maize Varieties Across Sowing Dates

Having analyzed the differences in meteorological factors under different sowing dates and their impacts on growth processes, we investigated the characteristics of agronomic traits and yield under different sowing dates. Sowing date exerted no significant influence on BTL and KRE across the three summer maize varieties (Table 2). For Zhongyu 3, the EH of S1 was significantly higher than that of S3 and S5. The KW values of S1 and S2 were significantly higher than that of S4. The GY of S1 was approximately 40% higher than that of S4 and S5, demonstrating the substantial yield advantage of early sowing for this variety. For Xianyu 1171, the PH of S1 was higher than that of S4 (p < 0.05). The EL values of S1 and S2 were higher than those of S3, S4, and S5 (p < 0.05). Early sowing (S1–S2) resulted in 20–25% longer ears compared to late sowing (S4–S5). The KRN of S1 was higher than that of S5 (p < 0.05). The KW values of S1 and S2 were higher than those of S3 and S5 (p < 0.05). KW under early sowing was 25–35% greater than under the latest sowing dates. The GY of S1 was higher than those of S2, S3, S4, and S5 (p < 0.05). The yield advantage of S1 over S5 exceeded 90%, highlighting the dramatic impact of sowing date on this high-yielding variety. In addition to BTL and KRE, there were no significant differences in the EH, EG, KRN, and KW of Chengdan 716 among the different sowing dates, which indicated that it was less affected by sowing dates and was more stable than the other two varieties. The EL of S1 was higher than that of S4 (p < 0.05), and that of S2 was higher than that of S3, S4, and S5 (p < 0.05). The GY of S2 was higher than that of S5 (p < 0.05), whereas there was no significant difference in GY between S1 and S2. Overall, early sowing (S1, S2) of summer maize was more conducive to the development of most agronomic traits and yield accumulation than late sowing (S3, S4, S5), with yield reductions of 30–50% observed under the latest sowing dates across varieties.

3.5. Grey Relational Analysis of Agronomic Traits and Meteorological Factors

We concluded that sowing date affects yield and agronomic traits, and used grey relational analysis to clarify the relationship between different meteorological factors and each trait (Table 3). During the sowing–tasseling stage, PP and AH showed relatively low gray relational degrees (<0.6) with the three key growth indicators (PH, EH, and StD). In contrast, SuD, AT, and GDD exhibited higher relational degrees (0.6–0.8) with PH, EH, and StD, with the highest degree observed for PH. During the tasseling–maturity stage, all five meteorological factors showed high grey relational degrees (0.660–0.954) with the seven agronomic traits. Specifically, their relational degrees with EG, EL, KW, and KRE (ranked in the top four) were higher than those with GY, KRN, and BTL (ranked in the bottom three). These results suggest that meteorological factors have a relatively limited effect on agronomic traits during the vegetative growth stage of summer maize, yet their influence becomes more extensive during the reproductive growth stage, which is consistent with the effect of meteorological factors on the growth process.

3.6. Correlation Analysis of Agronomic Traits and Meteorological Factors

Bivariate correlation analysis revealed a relationship between the agronomic traits and meteorological factors in summer maize at different growth stages (Figure 4). During the sowing–tasseling stage, AT and GDD showed a significant or extremely significant negative correlation with EH and StD (Figure 4A). There was a positive correlation between PH, EH, and StD. These results indicate that high temperatures are unfavorable for plant height and stem diameter. GDD was positively correlated with AT (p < 0.01) and SuD (p < 0.05), whereas PP, AH, and SuD showed no significant correlation with PH, EH, or StD. During the tasseling–maturity stage, AT and GDD were significantly or extremely significantly positively correlated with EL, KRE, KRN, KW, and GY, and GDD also showed a significant positive correlation with EG (Figure 4B). AH was negatively correlated with KRE, KRN, and GY (p < 0.01) but positively correlated with BTL (p < 0.01). These results indicated that AT and GDD promoted the development of yield-related traits, whereas AH had the opposite effect. Moreover, AT and GDD were significantly and negatively correlated with AH and PP. PP and SuD showed no significant correlations with GY or yield-related traits. Additionally, EG, KRE, KRN, KW, and GY showed significant or extremely significant positive correlations with one another; EL was positively correlated with GY and KRN (p < 0.01), whereas BTL was negatively correlated with KRN (p < 0.01). In conclusion, AT and GDD were critical throughout the growth period of summer maize. During the vegetative growth stage, excessively high AT and GDD should be avoided because they hinder increases in stem height and diameter. Conversely, during the reproductive growth stage, relatively high AT and GDD are beneficial, whereas excessively high AH should be prevented, which collectively promotes the development of ear traits and enhances yield.

3.7. Redundancy Analysis of Agronomic Traits and Meteorological Factors

A redundancy analysis was performed on the two growth stages of summer maize, with agronomic traits as response variables and meteorological factors as explanatory variables (Figure 5). Permutation tests demonstrated that the p-value for both stages was 0.002, verifying the statistical significance of the relationship between meteorological factors and agronomic traits. During the sowing–tasseling stage, the cumulative explanatory rate of RDA1 and RDA 2 for the relationship between agronomic traits and meteorological factors was 55.68% (Figure 5A). Based on the rankings from the Monte Carlo P-test, among the meteorological factors, AT (39.7%, p < 0.01) and AH (12.5%, p < 0.01) had the most significant effects on PH, EH, and StD. In addition, it can be observed that AT and GDD are negatively correlated with EH and StD, which is consistent with the results of the correlation analysis. During the tasseling–maturity stage, the cumulative explanatory rate of RDA 1 and RDA2 for the relationship between agronomic traits and meteorological factors was 53.79% (Figure 5B). According to the Monte Carlo P-test, the meteorological factors that exerted the most significant effect on agronomic traits were AT (32.2%, p < 0.01), SuD (11.8%, p < 0.01), and GDD (7.4%, p < 0.01). Furthermore, AT and GDD were positively correlated with EG, EL, KRE, KRN, KW, and GY, whereas AH was negatively correlated, which was largely consistent with the results of the correlation analysis. In summary, there were significant differences in the response of summer maize to meteorological factors between the two growth stages. Although AT has a significant impact in both stages, its direction of action differs; high AT inhibits the vegetative growth of maize but promotes its reproductive growth, which reflects the stage-specific responses of summer maize to environmental signals.

4. Discussion

4.1. Stage-Specificity of Meteorological Factors Regulating Summer Maize Growth

This study focused on summer maize in the hilly areas of northeastern Sichuan, and systematically explored the comprehensive effects of sowing date and meteorological factors on its growth process, agronomic traits, and yield. The results showed that the regulation of maize growth by meteorological factors presented significant stage differentiation characteristics, which provided a new perspective for analyzing the interaction mechanism between crops and the environment. During the vegetative growth stage, SuD and GDD were the core factors driving growth (Figure 3). The synergistic effect of light and temperature likely regulates the duration of the jointing–tasseling stage through phytohormone signaling pathways (e.g., gibberellin synthesis) and photoassimilate allocation, which aligns with the theory that light and temperature synergistically regulate the morphogenesis of maize vegetative organs [25]. However, excessively high temperatures inhibited the vegetative growth of maize (Figure 3A), which can be attributed to heat stress impairing root development and hydraulic conductance, thereby restricting water and nutrient uptake—a mechanism supported by studies on temperature gradients within young maize stalks [26]. However, after the reproductive growth stage, the influence of meteorological factors becomes more complex. PP and AH prolong the grain–filling duration by regulating the soil moisture status and plant transpiration efficiency, but excessively high humidity increases the risk of ear rot [27]. SuD provides a material basis for grain plumpness by maintaining the activity of the photosynthetic system [28]. The effects of AT and GDD showed a “double-edged sword” effect—moderate high temperatures (25–30 °C) could accelerate the transport of photosynthesize to grains and shorten the maturation period, as modeled in process-based crop models where thermal time drives developmental rates, while high temperatures exceeding 32 °C would lead to a decrease in pollen viability, which in turn delayed the grain filling process [13]. This stage specificity not only reflects the adaptive evolution of summer maize to the environment, but also provides a basis for avoiding climate risks through sowing date adjustment.

4.2. Optimal Sowing Date and Summer Maize Varieties in Northeastern Sichuan

Combined with the regional climate and experimental data, early sowing (S1: 5th May; S2: 20th May) is recommended as optimal for summer maize in northeastern Sichuan. The key advantage lies in aligning the tasseling stage with late June to early July, avoiding the extreme high temperatures (often exceeding 38 °C) in late July and early August, thereby maintaining pollen viability and pollination within a suitable range (25–28 °C). In addition, the grain-filling period is completed by early September, minimizing the negative impact of declining GDD on photosynthate accumulation. Agronomic performance further supports this strategy: early-sown plants exhibit thicker stems, enhancing lodging resistance under frequent summer gales, and develop longer ears (18–21 cm) with larger girth (4.6–4.8 cm), contributing to higher yield potential (Table 2). In contrast, studies in the Huang-Huai-Hai Plain suggest delayed sowing to utilize late-season resources [20,29], highlighting the importance of region-specific management given the unique climatic constraints of the northeastern Sichuan hills.
For Xianyu 1171, a study in the Huang-Huai-Hai Plain reported a maximum yield of ~10.2 t ha−1 under early sowing [20], which is slightly higher than our result (9.77 t ha−1), possibly due to the plain’s higher accumulated temperature and more uniform soil fertility compared to northeastern Sichuan’s hills. Chengdan 716, as a local variety, has been shown in previous studies in Sichuan Basin to maintain >7.5 t ha−1 yield under late sowing [3], consistent with our finding of its stable yield (7.37–8.0 t ha−1) across sowing dates. Zhongyu 3’s yield performance (~6.05–9.12 t ha−1) in our study aligns with the yield range (6.5–9.0 t ha−1) reported for similar mid-maturing varieties in subtropical hilly areas [24]. Furthermore, Chengdan 716 exhibited outstanding comprehensive advantages in terms of adaptability. Its ability to maintain stable ear traits across diverse sowing dates, coupled with a strong yield buffer, makes it a priority variety for promotion in the hilly areas of northeastern Sichuan. However, Xianyu 1171 and Zhongyu 3 need to have their sowing dates further optimized in combination with local microclimates to exert their characteristics.

4.3. Implications for Climate Adaptation and Future Research

This study provides empirical evidence for optimizing sowing dates as a key climate adaptation strategy. Our findings, which quantify the stage-specific responses of maize to meteorological factors, can be integrated into crop growth models to improve the precision of sowing date recommendations under current and future climate scenarios. Future research should focus on linking these phenotypic responses to underlying genetic and physiological mechanisms, and expanding the testing of a wider range of genotypes and management practices. This will enhance the development of dynamic, location-specific cultivation protocols that can bolster maize system resilience in the face of increasing climate variability.

5. Conclusions

This study systematically analyzed the effects of different sowing dates on the growth process, agronomic traits, and yield of summer maize in the hilly region of northeastern Sichuan and clarified the relationship between these traits and meteorological factors. The key conclusions are as follows: (1) Delayed sowing prolongs summer maize’s total growth period mainly by extending the jointing–tasseling and silking–maturity stages; Chengdan 716 is most sensitive to sowing date, while Zhongyu 3’s growth period fluctuates slightly across sowing dates; (2) Meteorological factors act stage-specifically, with SuD and GDD extending the vegetative growth stage, PP, SuD and AH prolonging the reproductive growth stage while AT and GDD accelerate it, and delayed sowing reducing reproductive GDD, which may restrict grain development; (3) Early sowing (S1: 5th May, S2: 20th May) enhances agronomic traits and increases yield compared to late sowing (S3–S5); Xianyu 1171 and Zhongyu 3 exhibit higher correlations between their yield-related traits (EL, KW, GY) and meteorological factors (AT, GDD), whereas Chengdan 716 shows lower such correlations and stronger buffering ability against adverse weather—thus making it a priority variety for promotion in the hilly areas of northeastern Sichuan; (4) Meteorological factors affect agronomic traits more strongly in reproductive than vegetative stages. These findings can guide precision sowing strategies and model-based recommendations to enhance maize resilience under future climate variability.

Author Contributions

Conceptualization, Y.Y.; methodology, Y.L.; investigation, C.H. and Y.L.; resources, X.L. and C.H.; data curation, Y.Y. and Y.L.; writing—original draft preparation, Y.L.; writing—review and editing, Y.Y. and Y.L.; supervision, Y.L.; funding acquisition, Y.L. All authors have read and agreed to the published version of the manuscript.

Funding

This research was funded by the Sichuan Science and Technology Program, Grant No. 2025ZNSFSC1008 and the Open Project Program of State Key Laboratory of Crop Gene Exploration and Utilization in Southwest China, Grant No. SKL-KF202419.

Institutional Review Board Statement

Not applicable.

Data Availability Statement

The data presented in this study are available on request from the corresponding author.

Conflicts of Interest

The authors declare no conflicts of interest.

Abbreviations

The following abbreviations are used in this manuscript:
AHAir humidity
ATAverage temperature
BTLBald tip length
EGEar girth
ELEar length
EH Ear height
GDDGrowing degree days
GYGrain yield
KREKernel rows ear−1
KRNKernel numbers row−1
KW1000-kernel weight
PHPlant height
PPPrecipitation
StDStem diameter
SuDDuration of sunlight

References

  1. Erenstein, O.; Jaleta, M.; Sonder, K.; Mottaleb, K.; Prasanna, B.M. Global maize production, consumption and trade: Trends and R&D implications. Food Secur. 2022, 14, 1295–1319. [Google Scholar] [CrossRef]
  2. Niu, Y.; Xie, G.; Xiao, Y.; Liu, J.; Zou, H.; Qin, K.; Wang, Y.; Huang, M.J.F. The story of grain self-sufficiency: China’s food security and food for thought. Food Energy Secur. 2022, 11, e344. [Google Scholar] [CrossRef]
  3. Pang, Y.-M.; Chen, C.; Pan, X.-B.; Wei, X.-Y. Impact of future climate change on climatic resources and potential productivity of maize in Sichuan basin. Chin. J. Eco-Agric. 2013, 21, 1526–1536. [Google Scholar] [CrossRef]
  4. Yang, J.; Zhang, S.; Zhang, J.; Zhao, S.; Lu, H.; Li, L.; Liu, L.; Wang, G. Incorporating crop rotation into the winter wheat-summer maize system to enhance soil multifunctionality and sustainable grain production in the north China plain. Field Crop Res. 2025, 325, 109834. [Google Scholar] [CrossRef]
  5. Gao, Z.; Feng, H.-Y.; Liang, X.-G.; Zhang, L.; Lin, S.; Zhao, X.; Shen, S.; Zhou, L.-L.; Zhou, S.-L. Limits to maize productivity in the north China plain: A comparison analysis for spring and summer maize. Field Crop Res. 2018, 228, 39–47. [Google Scholar] [CrossRef]
  6. Ren, H.; Liu, M.; Zhang, J.; Liu, P.; Liu, C. Effects of agronomic traits and climatic factors on yield and yield stability of summer maize (Zea mays L.) in the huang-huai-hai plain in China. Front. Plant Sci. 2022, 13, 1050064. [Google Scholar] [CrossRef]
  7. Yan, Y.; Hou, P.; Duan, F.; Niu, L.; Dai, T.; Wang, K.; Zhao, M.; Li, S.; Zhou, W. Improving photosynthesis to increase grain yield potential: An analysis of maize hybrids released in different years in China. Photosynth. Res. 2021, 150, 295–311. [Google Scholar] [CrossRef]
  8. Li, Q.; Liu, N.; Wu, C. Novel insights into maize (Zea mays) development and organogenesis for agricultural optimization. Planta 2023, 257, 94. [Google Scholar] [CrossRef]
  9. Otegui, M.E.; Andrade, F.H. New relationships between light interception, ear growth, and kernel set in maize. Physiol. Model. Kernel Set Maize 2000, 29, 89–102. [Google Scholar] [CrossRef]
  10. Li, G.; Liang, Y.; Li, W.; Guo, J.; Lu, W.; Lu, D. Weak-light stress at different grain filling stages affects yield by reducing leaf carbon and nitrogen metabolism in fresh waxy maize. Eur. J. Agron. 2024, 158, 127216. [Google Scholar] [CrossRef]
  11. Hu, J.; Zhao, X.; Gu, L.; Liu, P.; Zhao, B.; Zhang, J.; Ren, B. The effects of high temperature, drought, and their combined stresses on the photosynthesis and senescence of summer maize. Agr. Water Manag. 2023, 289, 108525. [Google Scholar] [CrossRef]
  12. Liu, P.; Yin, B.; Gu, L.; Zhang, S.; Ren, J.; Wang, Y.; Duan, W.; Zhen, W. Heat stress affects tassel development and reduces the kernel number of summer maize. Front. Plant Sci. 2023, 14, 1186921. [Google Scholar] [CrossRef]
  13. Shao, R.; Yu, K.; Li, H.; Jia, S.; Yang, Q.; Zhao, X.; Zhao, Y.; Liu, T. The effect of elevating temperature on the growth and development of reproductive organs and yield of summer maize. J. Integr. Agric. 2021, 20, 1783–1795. [Google Scholar] [CrossRef]
  14. Ge, T.; Sui, F.; Bai, L.; Tong, C.; Sun, N. Effects of water stress on growth, biomass partitioning, and water-use efficiency in summer maize (Zea mays L.) throughout the growth cycle. Acta Physiol. Plant 2012, 34, 1043–1053. [Google Scholar] [CrossRef]
  15. Kaur, R.; Kumar, S.; Das, A.; Singh, T.; Kumar, P.; Dawar, R. Response of maize (Zea mays) to different planting methods with limited irrigation at water sensitive growth stages. Indian. J. Agric. Sci. 2023, 93, 626–631. [Google Scholar] [CrossRef]
  16. Gao, S.; Ming, B.; Li, L.; Hou, L.; Wang, K.; Zhou, S.; Xie, R.; Li, S. Grain water weight dynamics and their relationships with grain filling in maize. Field Crop Res. 2025, 164, 127481. [Google Scholar] [CrossRef]
  17. Song, L.; Jin, J.; He, J. Effects of severe water stress on maize growth processes in the field. Sustainability 2019, 11, 5086. [Google Scholar] [CrossRef]
  18. Shekhar, M.; Singh, N. The impact of climate change on changing pattern of maize. In Maize Genetic Resources: Breeding Strategies and Recent Advances; IntechOpen Limited: London, UK, 2022; p. 151. [Google Scholar] [CrossRef]
  19. Chen, C.; Pang, Y. Response of maize yield to climate change in Sichuan province, China. Glob. Ecol. Conserv. 2020, 22, e00893. [Google Scholar] [CrossRef]
  20. Xu, T.-J.; Lyu, T.-F.; Zhao, J.-R.; Wang, R.-H.; Zhang, Y.; Cai, W.-T.; Liu, Y.-E.; Liu, X.-Z.; Chen, C.-Y.; Xing, J.-F.; et al. Grain filling characteristics of summer maize varieties under different sowing dates in the huang-huai-hai region. Acta Agron. Sin. 2020, 47, 566–574. [Google Scholar]
  21. Guo, D.; Chen, C.; Li, X.; Wang, R.; Ding, Z.; Ma, W.; Wang, X.; Li, C.; Zhao, M.; Li, M.; et al. Adjusting sowing date improves the photosynthetic capacity and grain yield by optimizing temperature condition around flowering of summer maize in the north China plain. Front. Plant Sci. 2022, 13, 934618. [Google Scholar] [CrossRef]
  22. GB/T 17315-2011; Ministry of Agriculture of the People’s Republic of China. Technical Code for Production of Maize Seed. China Standard Press: Beijing, China, 2011.
  23. Ghamghami, M.; Ghahreman, N.; Irannejad, P.; Ghorbani, K. Comparison of data mining and gdd-based models in discrimination of maize phenology. Int. J. Plant Prod. 2019, 13, 11–22. [Google Scholar] [CrossRef]
  24. Long, Y.; Zeng, Y.; Liu, X.; Yang, Y. Multivariate analysis of grain yield and main agronomic traits in different maize hybrids grown in mountainous areas. Agriculture 2024, 14, 1703. [Google Scholar] [CrossRef]
  25. Markelz, N.H.; Costich, D.E.; Brutnell, T.P. Photomorphogenic responses in maize seedling development. Plant Physiol. 2003, 133, 1578–1591. [Google Scholar] [CrossRef]
  26. Beauchamp, E.G.; Torrance, J.K. Temperature gradients within young maize plant stalks as influenced by aerial and root zone temperatures. Plant Soil. 1969, 30, 241–251. [Google Scholar] [CrossRef]
  27. Alam, M.R.; Nakasathien, S.; Molla, M.S.H.; Islam, M.A.; Maniruzzaman, M.; Ali, M.A.; Sarobol, E.; Vichukit, V.; Hassan, M.M.; Dessoky, E.S.; et al. Kernel water relations and kernel filling traits in maize (Zea mays L.) are influenced by water-deficit condition in a tropical environment. Front. Plant Sci. 2021, 12, 717178. [Google Scholar] [CrossRef] [PubMed]
  28. Sun, Z.C.; Geng, W.J.; Ren, B.Z.; Zhao, B.; Liu, P.; Zhang, J.W. Responses of the photosynthetic characteristics of summer maize to shading stress. J. Agron. Crop Sci. 2023, 209, 330–344. [Google Scholar] [CrossRef]
  29. Wang, L.; Liao, S.; Huang, S.; Ming, B.; Meng, Q.; Wang, P. Increasing concurrent drought and heat during the summer maize season in huang–huai–hai plain, China. Int. J. Climatol. 2018, 38, 3177–3190. [Google Scholar] [CrossRef]
Figure 1. Duration of growth stages in summer maize under different sowing dates (2023–2024). S1, S2, S3, S4, and S5 correspond to sowing dates of 5th May, 20th May, 4th June, 19th June, and 4th July, respectively. The numbers in the middle of the columns indicate the number of days for the corresponding growth stages of summer maize.
Figure 1. Duration of growth stages in summer maize under different sowing dates (2023–2024). S1, S2, S3, S4, and S5 correspond to sowing dates of 5th May, 20th May, 4th June, 19th June, and 4th July, respectively. The numbers in the middle of the columns indicate the number of days for the corresponding growth stages of summer maize.
Agriculture 15 02294 g001
Figure 2. Meteorological factors during summer maize growth period in 2023–2024. PP, SuD, AH, and AT represent precipitation, sunlight duration, air humidity, and average temperature, respectively.
Figure 2. Meteorological factors during summer maize growth period in 2023–2024. PP, SuD, AH, and AT represent precipitation, sunlight duration, air humidity, and average temperature, respectively.
Agriculture 15 02294 g002
Figure 3. Regression equations between different growth stages and meteorological factors. (A) PP in sowing-tasseling period vs sowing to tasseling duration. (B) SuD in sowing-tasseling period vs sowing to tasseling duration. (C) AH in sowing-tasseling period vs sowing to tasseling duration. (D) AT in sowing-tasseling period vs sowing to tasseling duration. (E) GDD in sowing-tasseling period vs sowing to tasseling duration. (F) PP in tasseling-maturity period vs tasseling to maturity duration. (G) SuD in tasseling-maturity period vs tasseling to maturity duration. (H) AH in tasseling-maturity period vs tasseling to maturity duration. (I) AT in tasseling-maturity period vs tasseling to maturity duration. (J) GDD in tasseling-maturity period vs tasseling to maturity duration. PP, SuD, AH, AT, and GDD represent precipitation, duration of sunlight, air humidity, average temperature, and growing degree day, respectively. ** indicates that the value is significant at the 0.01 level.
Figure 3. Regression equations between different growth stages and meteorological factors. (A) PP in sowing-tasseling period vs sowing to tasseling duration. (B) SuD in sowing-tasseling period vs sowing to tasseling duration. (C) AH in sowing-tasseling period vs sowing to tasseling duration. (D) AT in sowing-tasseling period vs sowing to tasseling duration. (E) GDD in sowing-tasseling period vs sowing to tasseling duration. (F) PP in tasseling-maturity period vs tasseling to maturity duration. (G) SuD in tasseling-maturity period vs tasseling to maturity duration. (H) AH in tasseling-maturity period vs tasseling to maturity duration. (I) AT in tasseling-maturity period vs tasseling to maturity duration. (J) GDD in tasseling-maturity period vs tasseling to maturity duration. PP, SuD, AH, AT, and GDD represent precipitation, duration of sunlight, air humidity, average temperature, and growing degree day, respectively. ** indicates that the value is significant at the 0.01 level.
Agriculture 15 02294 g003
Figure 4. Correlations between meteorological factors and agronomic traits of summer maize varieties during the sowing–tasseling stage (A) and tasseling–maturity stage (B). PP, SuD, AH, AT, and GDD represent precipitation, duration of sunlight, air humidity, average temperature, and growing degree day, respectively. PH, EH, StD, EL, EG, BTL, KRE, KRN, KW, and GY represent plant height, ear height, stem diameter, ear length, ear girth, bald tip length, kernel rows ear−1, kernel numbers row−1, 1000-kernel weight, and grain yield, respectively. * Correlation is significant at 0.05 level. ** Correlation is significant at 0.01 level.
Figure 4. Correlations between meteorological factors and agronomic traits of summer maize varieties during the sowing–tasseling stage (A) and tasseling–maturity stage (B). PP, SuD, AH, AT, and GDD represent precipitation, duration of sunlight, air humidity, average temperature, and growing degree day, respectively. PH, EH, StD, EL, EG, BTL, KRE, KRN, KW, and GY represent plant height, ear height, stem diameter, ear length, ear girth, bald tip length, kernel rows ear−1, kernel numbers row−1, 1000-kernel weight, and grain yield, respectively. * Correlation is significant at 0.05 level. ** Correlation is significant at 0.01 level.
Agriculture 15 02294 g004
Figure 5. Redundancy analysis of meteorological factors and agronomic traits of summer maize varieties during the sowing–tasseling stage (A) and tasseling–maturity stage (B). PP, SuD, AH, AT, and GDD represent precipitation, duration of sunlight, air humidity, average temperature, and growing degree day, respectively. PH, EH, StD, EL, EG, BTL, KRE, KRN, KW, and GY represent plant height, ear height, stem diameter, ear length, ear girth, bald tip length, kernel rows ear−1, kernel numbers row−1, 1000-kernel weight, and grain yield, respectively.
Figure 5. Redundancy analysis of meteorological factors and agronomic traits of summer maize varieties during the sowing–tasseling stage (A) and tasseling–maturity stage (B). PP, SuD, AH, AT, and GDD represent precipitation, duration of sunlight, air humidity, average temperature, and growing degree day, respectively. PH, EH, StD, EL, EG, BTL, KRE, KRN, KW, and GY represent plant height, ear height, stem diameter, ear length, ear girth, bald tip length, kernel rows ear−1, kernel numbers row−1, 1000-kernel weight, and grain yield, respectively.
Agriculture 15 02294 g005
Table 1. Differences in meteorological factors at different growth stages of summer maize with different sowing dates.
Table 1. Differences in meteorological factors at different growth stages of summer maize with different sowing dates.
VarietiesSowing DatesPP (mm)SuD (h)AH (%)AT (°C)GDD (°C)
2023202420232024202320242023202420232024
Sowing to tasseling stage
Zhongyu 3S1566.19109.6797.19830.3982.3052.7824.3222.83816.29757.09
S2470.61247.82775.33783.7481.3454.0726.5824.25912.06783.71
S3622.40232.22774.07833.1179.1553.7828.0526.22992.53940.82
S4568.15260.03791.96774.9377.5653.6229.7227.401124.03939.38
S5191.36306.44737.09800.2172.4650.8931.0728.711138.041047.65
Xianyu 1171S1566.19109.6797.19830.3982.3052.7824.3222.83816.29757.09
S2470.61247.82775.33783.7481.3454.0726.5824.25912.06783.71
S3622.40231.82774.07774.5279.1554.0928.0525.98992.53862.78
S4568.15260.03791.96774.9377.5653.6229.7227.401124.03939.38
S5194.42306.44865.34800.2173.7050.8929.9428.711276.161047.65
Chengdan 716S1566.19109.6768.86773.0882.5252.5924.1022.61775.62693.51
S2470.61247.82747.26754.381.7954.1326.3424.16865.95750.41
S3622.40232.22787.80788.8779.1254.0728.0826.031012.23881.42
S4568.24308.44831.79804.1176.9653.8229.9227.451195.23977.36
S5195.38330.04877.99840.8973.6551.2929.8928.631292.711099.12
Tasseling to maturity stage
Zhongyu 3S1201.23292.04701.17660.7374.6852.1130.5328.561046.79853.68
S2194.42174.42686.35686.2873.2449.9430.0729.101023.57916.94
S315.72248.42665.94657.9574.3055.3228.7428.35955.72880.65
S4275.88322.41721.84697.0880.8259.2224.1226.69819.04884.74
S5278.42339.20733.73733.9685.3966.8320.7222.93654.04775.66
Xianyu 1171S1201.23306.24701.17731.6974.6852.2630.5328.651046.79950.97
S2194.42250.42686.35737.4673.2451.4530.0728.741023.57974.37
S315.72344.62665.94728.6374.3054.9928.7428.33955.72971.36
S4275.88325.21721.84721.0080.8259.9924.1226.47819.04905.68
S5348.15339.20682.41722.6386.6566.8919.7223.05563.61769.90
Chengdan 716S1201.23292.04689.93718.0475.5152.3730.3328.351016.40917.26
S2194.42174.42675.99729.3272.3250.2230.7328.951036.27966.24
S315.72248.42639.90702.1974.0554.9128.8028.43921.17940.05
S4275.79277.00682.01716.2081.6559.9523.6026.18747.84889.72
S5347.19315.60669.76715.6686.9467.2619.6022.54547.06739.92
PP, SuD, AH, AT, and GDD represent precipitation, sunlight duration, air humidity, average temperature, and growing degree day, respectively. S1, S2, S3, S4, and S5 correspond to the sowing dates of 5th May, 20th May, 4th June, 19th June, and 4th July, respectively.
Table 2. Analysis of agronomic traits and yield of summer maize varieties under different sowing dates.
Table 2. Analysis of agronomic traits and yield of summer maize varieties under different sowing dates.
VarietiesSowing DatesPH (cm)EH (cm)StD (mm)EL (cm)EG (cm)BTL (cm)KREKRNKW (g)GY (t ha−1)
Zhongyu 3S1271.23 ± 2.36 a91.77 ± 1.18 a22.16 ± 0.07 a21.02 ± 0.59 a4.64 ± 0.04 a2.35 ± 0.04 a15.93 ± 1.41 a39.87 ± 0.75 a323.8 ± 13.29 a9.12 ± 0.16 a
S2266.08 ± 4.08 a99.18 ± 8.60 ab21.84 ± 0.04 b20.16 ± 0.88 a4.62 ± 0.02 a1.28 ± 0.48 a15.53 ± 0.66 a37.63 ± 0.38 ab335.82 ± 4.64 a7.22 ± 0.09 b
S3260.62 ± 3.79 a86.45 ± 0.68 b20.83 ± 0.07 c18.49 ± 0.75 ab4.48 ± 0.01 b1.90 ± 0.77 a14.53 ± 0.28 a32.53 ± 4.95 ab300.55 ± 14.36 ab6.52 ± 0.31 bc
S4248.57 ± 12.49 a81.35 ± 8.23 ab19.23 ± 0.02 e17.05 ± 0.18 b4.53 ± 0.12 ab2.24 ± 1.43 a14.80 ± 0.00 a26.05 ± 4.41 b269.46 ± 11.09 b5.36 ± 0.54 c
S5253.35 ± 9.22 a78.67 ± 3.82 b19.54 ± 0.06 d16.37 ± 0.26 b4.53 ± 0.03 ab1.80 ± 1.41 a14.67 ± 0.19 a31.95 ± 3.61 ab273.69 ± 31.7 ab6.05 ± 0.21 c
Xianyu 1171S1315.50 ± 8.25 a106.72 ± 7.14 ab23.61 ± 0.06 a22.10 ± 0.46 a4.65 ± 0.00 b2.73 ± 0.43 a16.80 ± 0.47 a37.07 ± 1.13 a358.17 ± 24.09 a9.77 ± 0.28 a
S2301.83 ± 18.34 ab110.10 ± 2.55 a23.21 ± 0.01 b21.88 ± 0.21 a4.82 ± 0.03 a2.54 ± 0.22 a17.00 ± 1.23 a36.07 ± 1.74 ab321.30 ± 9.19 a7.47 ± 0.11 b
S3289.67 ± 12.07 ab105.32 ± 3.13 a21.02 ± 0.07 c18.58 ± 0.71 b4.65 ± 0.01 b2.19 ± 1.36 a16.73 ± 0.57 a30.02 ± 3.70 ab267.08 ± 7.95 b6.04 ± 0.25 c
S4277.68 ± 7.42 b94.70 ± 1.23 b20.25 ± 0.05 d16.82 ± 1.28 b4.67 ± 0.03 b3.32 ± 2.50 a14.80 ± 0.47 a21.42 ± 9.22 ab290.41 ± 21.90 ab4.87 ± 1.29 bc
S5264.48 ± 26.80 ab93.32 ± 5.87 ab20.39 ± 0.05 d17.03 ± 1.15 b4.66 ± 0.09 ab2.34 ± 1.41 a15.37 ± 1.18 a22.40 ± 4.15 b267.36 ± 5.58 b5.04 ± 0.54 c
Chengdan 716S1270.00 ± 19.00 ab82.45 ± 4.22 a21.69 ± 0.98 a20.25 ± 1.04 ab4.66 ± 0.07 a1.82 ± 0.22 a16.43 ± 1.18 a35.47 ± 5.09 a318.77 ± 34.04 a8.00 ± 1.36 ab
S2270.20 ± 16.26 ab82.72 ± 0.54 a21.90 ± 0.42 ab20.33 ± 0.72 a4.74 ± 0.11 a2.06 ± 0.11 a16.70 ± 0.71 a35.20 ± 3.02 a346.72 ± 38.91 a7.37 ± 0.89 a
S3272.72 ± 4.17 a80.25 ± 3.04 a20.56 ± 0.70 ab16.94 ± 0.77 b4.67 ± 0.29 a3.42 ± 2.47 a15.30 ± 0.99 a29.80 ± 5.28 a290.02 ± 10.63 a5.71 ± 1.13 ab
S4249.68 ± 4.74 b76.88 ± 7.14 a19.07 ± 0.13 b16.90 ± 0.14 b4.69 ± 0.31 a2.42 ± 1.98 a14.43 ± 2.12 a20.08 ± 21.80 a338.90 ± 73.54 a2.82 ± 3.59 ab
S5265.47 ± 24.56 ab81.47 ± 22.58 a19.73 ± 0.35 b16.17 ± 1.00 b4.39 ± 0.13 a2.14 ± 0.63 a13.17 ± 1.18 a18.58 ± 9.78 a288.12 ± 17.98 a3.56 ± 0.58 b
PH, EH, StD, EL, EG, BTL, KRE, KRN, KW, and GY represent plant height, ear height, stem diameter, ear length, ear girth, bald tip length, kernel rows ear−1, kernel numbers row−1, 1000-kernel weight, and grain yield, respectively. S1, S2, S3, S4, and S5 correspond to the sowing dates of 5th May, 20th May, 4th June, 19th June, and 4th July, respectively. Different lowercase letters indicate significant differences among sowing dates at p < 0.05.
Table 3. Grey relational analysis of meteorological factors and agronomic traits of summer maize varieties.
Table 3. Grey relational analysis of meteorological factors and agronomic traits of summer maize varieties.
TraitsPP (mm)SuD (h)AH (%)AT (°C)GDD (°C)
Grey Relational DegreeSequenceGrey Relational DegreeSequenceGrey Relational DegreeSequenceGrey Relational DegreeSequenceGrey Relational DegreeSequence
Sowing to tasseling stage
PH (cm)0.55910.76810.58610.67410.6731
EH (cm)0.54730.67930.55820.6420.6622
StD (mm)0.55220.75820.55130.63530.6583
Tasseling to maturity stage
EL (cm)0.77240.85740.79320.88620.8623
EG (cm)0.80510.95410.79310.87540.8652
BTL (cm)0.72860.69370.70250.67370.6607
KRE0.79720.91320.76440.89410.8851
KRN0.74650.78150.68170.82250.8235
KW (g)0.78030.88230.77530.87830.8564
GY (t/ha)0.72470.76360.69860.81860.8096
PP, SuD, AH, AT, and GDD represent precipitation, sunlight duration, air humidity, average temperature, and growing degree day, respectively. PH, EH, StD, EL, EG, BTL, KRE, KRN, KW, and GY represent plant height, ear height, stem diameter, ear length, ear girth, bald tip length, kernel rows ear−1, kernel numbers row−1, 1000-kernel weight, and grain yield, respectively.
Disclaimer/Publisher’s Note: The statements, opinions and data contained in all publications are solely those of the individual author(s) and contributor(s) and not of MDPI and/or the editor(s). MDPI and/or the editor(s) disclaim responsibility for any injury to people or property resulting from any ideas, methods, instructions or products referred to in the content.

Share and Cite

MDPI and ACS Style

Long, Y.; Yang, Y.; He, C.; Liu, X. Influence of Meteorological Factors and Sowing Dates on Growth and Yield Traits of Summer Maize in Northeastern Sichuan, China. Agriculture 2025, 15, 2294. https://doi.org/10.3390/agriculture15212294

AMA Style

Long Y, Yang Y, He C, Liu X. Influence of Meteorological Factors and Sowing Dates on Growth and Yield Traits of Summer Maize in Northeastern Sichuan, China. Agriculture. 2025; 15(21):2294. https://doi.org/10.3390/agriculture15212294

Chicago/Turabian Style

Long, Yun, Yun Yang, Chuan He, and Xiaohong Liu. 2025. "Influence of Meteorological Factors and Sowing Dates on Growth and Yield Traits of Summer Maize in Northeastern Sichuan, China" Agriculture 15, no. 21: 2294. https://doi.org/10.3390/agriculture15212294

APA Style

Long, Y., Yang, Y., He, C., & Liu, X. (2025). Influence of Meteorological Factors and Sowing Dates on Growth and Yield Traits of Summer Maize in Northeastern Sichuan, China. Agriculture, 15(21), 2294. https://doi.org/10.3390/agriculture15212294

Note that from the first issue of 2016, this journal uses article numbers instead of page numbers. See further details here.

Article Metrics

Back to TopTop