Does the Deep Placement of Fertilizers Increase Potato Yields, Fertilization Efficiency and Reduce N2O Emissions from the Soil?
Abstract
1. Introduction
2. Materials and Methods
2.1. Experiment Location and Soil and Meteorological Conditions
2.2. Experiment Design
2.3. Measurements and Analysis
- −
- plant yield (the accumulation of biomass of above-ground parts, roots and potato tubers)
- −
- nutrient uptake by above- and below-ground parts of the plant in the final crop
- −
- was calculated according to the Formula (1):
- NN,PU is nutrient (N, P) uptake by plants (kg ha−1);
- Y is the yield of plant parts (above-ground parts, roots, potato tubers);
- NN,PC is the nutrient content in plants (g kg−1);
- −
- nutrients (N, P) use efficiency was calculated according to the Formula (2):
- NN,PUE is the nutrient use efficiency (NUE or PUE) (%);
- NN,PU is nutrient (N, P) uptake by plants on fertilized treatment (kg ha−1);
- NN,PUcontrol is nutrient (N, P) uptake by plants on control treatment (kg ha−1);
- DN,P—the dose of nutrient in fertilizers (kg ha−1);
2.4. N2O-N Emissions from Soil
2.5. Statistical Analysis
3. Results
3.1. Accumulation of Plant Biomass
3.2. Potato Tuber Yield
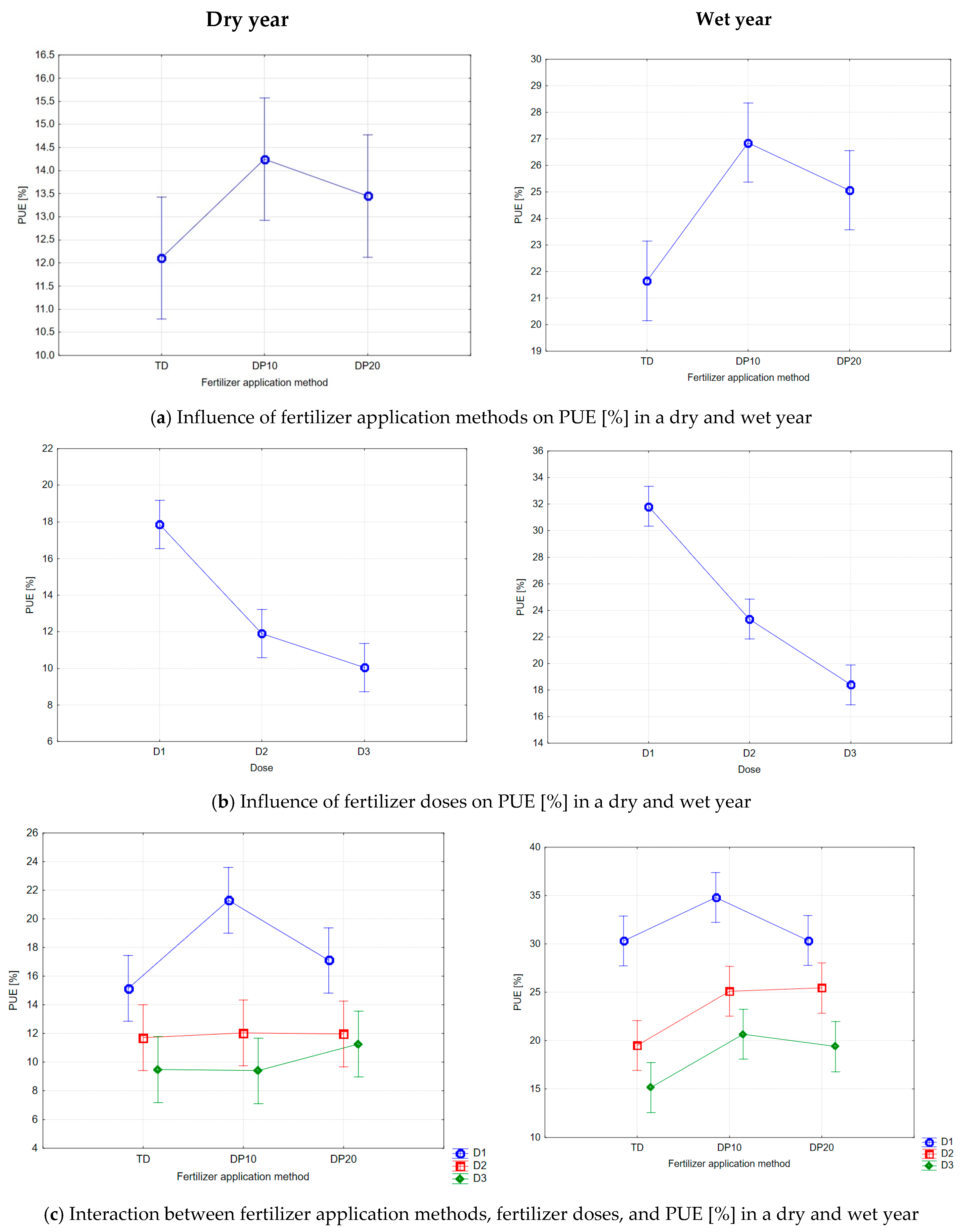
3.3. Nitrogen and Phosphorus Use Efficiency
3.4. N2O-N Soil Emissions
4. Discussion
4.1. Effect of Fertilizer Application and Rate on Biomass Accumulation and Potato Yield
4.2. Nitrogen and Phosphorus Uptake and Efficiency
4.3. Nutrient Losses
5. Conclusions
Author Contributions
Funding
Institutional Review Board Statement
Data Availability Statement
Conflicts of Interest
References
- Statistical; Agriculture, Yearly Output. 2021. Available online: https://ec.europa.eu/eurostat/statistics-explained/images/4/46/Production_of_potatoes%2C_including_seed%2C_2020_T1Rev.png (accessed on 22 January 2024).
- Westermann, D.T. Nutritional requirements of potatoes. Am. J. Potato Res. 2005, 82, 301–307. [Google Scholar] [CrossRef]
- Horneck, D.; Rosen, C. Measuring nutrient accumulation rates of potatoes—Tools for better management. Better Crops 2008, 92, 94–96. [Google Scholar]
- Parry, M.L. Assessment of Potential Effects and Adaptation for Climate Change in Europe: The Europe ACACIA Project; Jackson Environmental Institute, University of East Anglia: Norwich, UK, 2000; p. 324. [Google Scholar]
- Grizzetti, B.; Bouraoui, F.; De Marsily, G. Assessing nitrogen pressures on European surface water. Glob. Biogeochem. Cycles 2008, 22, 1–14. [Google Scholar] [CrossRef]
- Namdev, G.R.; Bajpai, A.; Malik, S. Effect of chemical fertilizers on water quality of irrigation reservoir (Kaliasote Reservoir) of Bhopal (MP). Curr. World Environ. 2011, 6, 169–172. [Google Scholar]
- Hénault, C.; Grossel, A.; Mary, B.; Roussel, M.; Léonard, J. Nitrous Oxide Emission by Agricultural Soils: A Review of Spatial and Temporal Variability for Mitigation. Pedosphere 2012, 22, 426–433. [Google Scholar] [CrossRef]
- Wang, C.; Lv, J.; Coulter, J.A.; Xie, J.; Yu, J.; Li, J.; Zhang, J.; Tang, C.; Niu, T.; Gan, Y. Slow-release fertilizer improves the growth, quality, and nutrient utilization of wintering Chinese chives (Allium tuberosum rottler ex spreng.). Agronomy 2020, 10, 381. [Google Scholar] [CrossRef]
- Shaviv, A. Advanced in controlled-release fertilizers. Adv. Agron. 2001, 71, 1–49. [Google Scholar]
- Niedziński, T.; Sierra, M.J.; Łabętowicz, J.; Noras, K.; Cabrales, C.; Millán, R. Release of nitrogen from granulate mineral and organic fertilizers and its effect on selected chemical parameters of soil. Agronomy 2021, 11, 1981. [Google Scholar] [CrossRef]
- Trenkel, M.E. Slow-and Controlled-Release and Stabilized Fertilizers: An Option for Enhancing Nutrient Use Efficiency in Agriculture, 2nd ed.; International Fertilizer Industry Association (IFA): Paris, France, 2010. [Google Scholar]
- Abou-Zied, S.T.; AbdEl-Lateef, E.M.; Hanem, A.S.; Hozayn, M.M.; Soad, M.E.A.; Amel, L.A.E.L.; Essa, R.E. Effect of different slow release nitrogen fertilizer forms on yield and chemical constituents of maize and soybean. Middle East J. Agric. Res. 2014, 3, 645–655. [Google Scholar]
- Yang, L.J.; Han, X.R.; Zhan, X.M.; Yang, J.F.; Fang, D.W.; Zou, D.B. Effects of slow release nitrogen fertilizers on yield of maize and rice, nitrogen use efficiency and inorganic N residue. J. Shenyang Agric. Univ. 2012, 43, 184–188. [Google Scholar]
- Geng, J.; Sun, Y.; Zhang, M.; Li, C.; Yang, Y.; Liu, Z.; Li, S. Long-term effects of controlled release urea application on crop yields and soil fertility under rice-oilseed rape rotation system. Field Crops Res. 2015, 184, 65–73. [Google Scholar] [CrossRef]
- Zeng, W.; Liu, Z.; Zhang, M.; Shi, Y.; Zhu, Q.; Sun, Y.; Zhou, H.; Li, C.; Yang, Y.; Geng, J. Improving crop yields, nitrogen use efficiencies, and profits by using mixtures of coated controlled-released and uncounted urea in a wheat-maize system. Field Crops Res. 2017, 205, 106–115. [Google Scholar] [CrossRef]
- Wilson, M.L.; Rosen, C.J.; Moncrief, J.F. Potato response to a polymer-coated urea on an irrigated, coarse-textured soil. Agron. J. 2009, 101, 897–905. [Google Scholar] [CrossRef]
- Rutkowska, B.; Szulc, W.; Szara, E.; Skowrońska, M.; Jadczyszyn, T. Soil N2O emissions under conventional and reduced tillage methods and maize cultivation. Plant Soil Environ. 2017, 63, 342–347. [Google Scholar] [CrossRef]
- Nkebiwe, P.M.; Weinmann, M.; Bar-Tal, A.; Muller, T. Fertilizer placement to improve crop nutrient acquisition and yield: A review and meta-analysis. Field Crops Res. 2016, 196, 389–401. [Google Scholar] [CrossRef]
- Khalofah, A.; Khan, M.I.; Arif, M.; Hussain, A.; Ullah, R.; Irfan, M.; Mahpara, S.; Shah, R.U.; Ansari, M.J.; Kintl, A.; et al. Deep placement of nitrogen fertilizer improves yield, nitrogen use efficiency and economic returns of transplanted fine rice. PLoS ONE 2021, 16, e0247529. [Google Scholar] [CrossRef] [PubMed]
- Islam, S.M.M.; Gaihre, Y.K.; Islam, M.N.; Jahan, A.; Sarkar, M.A.R.; Singh, U.; Islam, A.; Mahmud, A.A.; Akter, M.; Islam, M.R. Effects of integrated nutrient management and urea deep placement on rice yield, nitrogen use efficiency, farm profits and greenhouse gas emissions in saline soils of Bangladesh. Sci. Total Environ. 2024, 909, 168660. [Google Scholar] [CrossRef] [PubMed]
- Wu, M.; Li, G.; Li, W.; Liu, J.; Liu, M.; Jiang, C.; Li, Z. Nitrogen fertilizer deep placement for increased grain yield and nitrogen recovery efficiency in rice grown in subtropical China. Front. Plant Sci. 2017, 8, 1227. [Google Scholar] [CrossRef]
- Chen, Y.; Ping, F.; Tian, H.; Ashraf, U.; Mo, Z.; Duan, M.; Li, L.; Tang, X.; Pan, S. Deep Placement of Nitrogen Fertilizer Affects Grain Yield, Nitrogen Recovery Efficiency, and Root Characteristics in Direct-Seeded Rice. J. Plant Growth Regul. 2021, 40, 379–387. Available online: https://assets.researchsquare.com/files/rs-4021/v1/7831879e-c4af-4482-b6a1-7e6b7dfa6e92.pdf?c=1631826499 (accessed on 11 February 2024). [CrossRef]
- Li, L.; Tian, H.; Zhang, M.; Fan, P.; Ashraf, U.; Liu, H.; Chen, X.; Duan, M.; Tang, X.; Wang, Z.; et al. Deep placement of nitrogen fertilizer increases rice yield and nitrogen use efficiency with fewer greenhouse gas emissions in a mechanical direct-seeded cropping system. Crop J. 2021, 9, 1386–1396. [Google Scholar] [CrossRef]
- Egner, M.T.; Riehm, H.; Domingo, W.R. Untersuchungen uber die chemishe boden-analyse als grundlage fur die beurteilung des nahrsoffzustandes der boden. II. Chemiche extraktionsmethoden zur phosphor und kalimbestimmung kungl.Lantbrukshoegskolans. Annales 1960, 26, 199–215. [Google Scholar]
- Plant Breeding and Acclimatization Institute—National Research Institute Bonin Research Center. Available online: http://ziemniak-bonin.pl/ (accessed on 11 February 2024).
- Hutchinson, G.L.; Livingston, G.P. Use of Chamber Systems to Measure Trace Gas; Fluxes, L.A., Mosier, A.R., Duxbury, J.M., Rolston, D.E., Eds.; Agricultural Ecosystem Effects on Trace Gases and Global Climate Change; Special Publication: Madison, WI, USA, 1993; pp. 63–78. [Google Scholar]
- Djaman, K.; Irmak, S.; Koudahe, K.; Allen, S. Irrigation management in potato (Solanum tuberosum L.) production: A review. Sustainability 2021, 13, 1504. [Google Scholar] [CrossRef]
- Dahal, K.; Li, X.Q.; Tai, H.; Creelman, A.; Bizimungu, B. Improving potato stress tolerance and tuber yield under a climate change scenario—A current overview. Front. Plant Sci. 2019, 10, 563. [Google Scholar] [CrossRef] [PubMed]
- Zarzyńska, K.; Boguszewska-Mańkowska, D.; Nosalewicz, A. Differences in size and architecture of the potato cultivars root system and their tolerance to drought stress. Plant Soil Environ. 2017, 63, 159164. [Google Scholar] [CrossRef]
- Krouk, G.; Ruffel, S.; Gutiérrez, R.A.; Gojon, A.; Crawford, N.M.; Coruzzi, G.M.; Lacombe, B.A. framework integrating plant growth with hormones and nutrients. Trends Plant Sci. 2011, 16, 178–182. [Google Scholar] [CrossRef]
- Lima, J.E.; Kojima, S.; Takahashi, H.; von Wirén, N. Ammonium triggers lateral root branching in Arabidopsis in an AMMONIUM TRANSPORTER1;3-dependent manner. Plant Cell 2010, 22, 3621–3633. [Google Scholar] [CrossRef]
- Jones, B.; Ljung, K. Subterranean space exploration: The development of root system architecture. Curr. Opin. Plant Biol. 2012, 15, 97–102. [Google Scholar] [CrossRef] [PubMed]
- López-Bucio, J.; Cruz-Ramírez, A.; Herrera-Estrella, L. The role of nutrient availability in regulating root architecture. Curr. Opin. Plant Biol. 2003, 6, 280–287. [Google Scholar] [CrossRef]
- Bélanger, G.; Walsh, J.R.; Richards, J.E.; Milbum, P.H.; Ziadi, N. Tuber growth and biomass partitioning of two potato cultivars grown under different n fertilization rates with and without irrigation. Am. J. Potato Res. 2001, 78, 109–117. [Google Scholar] [CrossRef]
- Niedziński, T.; Rutkowska, B.; Łabętowicz, J.; Szulc, W. Effect of deep placement fertilization on the distribution of biomass, nutrients, and root system development in potato plants. Plants 2023, 12, 1880. [Google Scholar] [CrossRef]
- Ruža, A.; Skrabule, I.; Vaivode, A. Influence of nitrogen on potato productivity and nutrient use efficiency. Proc. Latv. Acad. Sci. B Nat. Exact Appl. Sci. 2013, 67, 247–253. [Google Scholar] [CrossRef]
- Ierna, A.; Pandino, G.; Lombardo, S.; Mauromicale, G. Tuber yield, water and fertilizer productivity in early potato as affected by a combination of irrigation and fertilization. Agric. Water Manag. 2011, 101, 35–41. [Google Scholar] [CrossRef]
- Xu, Y.; He, P.; Xu, X.; Qiu, S.; Ullah, S.; Gao, Q.; Zhou, W. Estimating nutrient uptake requirements for potatoes based on quefts analysis in China. Agron. J. 2019, 111, 2387–2394. [Google Scholar] [CrossRef]
- Blecharczyk, A.; Kowalczewski, P.Ł.; Sawinska, Z.; Rybacki, P.; Radzikowska-Kujawska, D. Impact of Crop Sequence and Fertilization on Potato Yield in a Long-Term Study. Plants 2023, 12, 495. [Google Scholar] [CrossRef] [PubMed]
- Trawczyński, C. Influence of nitrogen fertilization on the yield, quality and nitrogen utilization efficiency of early potato tubers harvested on two dates. J. Elem. 2019, 24, 1253–1267. [Google Scholar] [CrossRef]
- Hinsinger, P.; Plassard, C.; Tang, C.; Jaillard, B. Origins of root-mediated pH changes in the rhizosphere and their responses to environmental constraints: A review. Plant Soil 2003, 248, 43–59. [Google Scholar] [CrossRef]
- Sosulski, T.; Szara, E.; Szymańska, M.; Stępień, W. N2O emission and nitrogen and carbon leaching from the soil in relation to long-term and current mineral and organic fertilization—A laboratory study. Plant Soil Environ. 2017, 63, 97–104. [Google Scholar] [CrossRef]
- Rychel, K.; Meurer, K.H.E.; Getahun, G.T.; Bergström, L.; Kirchmann, H.; Kätterer, T. Lysimeter deep N fertilizer placement reduced leaching and improved N use efficiency. Nutr. Cycl. Agroecosyst. 2023, 126, 213–228. [Google Scholar] [CrossRef]
- Butterbach-Bahl, K.; Baggs, E.M.; Dannenmann, M.; Kiese, R.; Zechmeister-Boltenstern, S. Nitrous oxide emissions from soils: How well do we understand the processes and their controls? Philos. Trans. R. Soc. Lond. B Biol. Sci. 2013, 368, 20130122. [Google Scholar] [CrossRef]
- Zhu, X.; Burger, M.; Doane, T.A.; Horwath, W.R. Ammonia oxidation pathways and nitrifier denitrification are significant source of N2O and NO under low oxygen availability. Proc. Natl. Acad. Sci. USA 2013, 110, 6328–6333. [Google Scholar] [CrossRef]
- Sosulski, T.; Szara, E.; Szymańska, M.; Stępień, W.; Rutkowska, B.; Szulc, W. Soil N2O emissions under conventional tillage conditions and from forest soil. Soil Tillage Res. 2019, 190, 86–91. [Google Scholar] [CrossRef]
- Singh, P.; Bhatia, A.; Subhash, N.; Dua, V.K.; Rawal, S.; Kumar, M.; Sharma, J.; Kumar, S.; Chaukhande, P.; Mankar, P. Greenhouse gas emissions from potato crop. Potato J. 2022, 49, 100–103. [Google Scholar]
- Liu, X.; Mosier, A.R.; Halvorson, A.D.; Zhang, F.S. The impact of nitrogen placement and tillage on NO, CO2 fluxes from a clay loam soil. Plant Soil 2006, 280, 177–188. [Google Scholar] [CrossRef]
- Hosen, Y.; Paisancharoen, K.; Tsuruta, H. Effects of deep application of urea on NO and N2O emissions from an Andisol. Nutr. Cycl. Agroecosyst. 2002, 63, 197–206. [Google Scholar] [CrossRef]
- European Commission. Forging a Climate-Resilient Europe—The New EU Strategy on Adaptation to Climate Change. 2021. Available online: https://eur-lex.europa.eu/legal-content/EN/TXT/PDF/?uri=CELEX:52021DC0082 (accessed on 22 January 2024).
- Sosulski, T.; Stępien, W.; Wąs, A.; Szymańska, M. N2O and CO2 Emissions from Bare Soil: Effect of Fertilizer Management. Agriculture 2020, 10, 602. [Google Scholar] [CrossRef]
- Szara, E.; Sosulski, T.; Szymańska, M.; Szyszkowska, K. Usefulness of Mehlich-3 test in the monitoring of phosphorus dispersion from Polish arable soils. Environ. Monit. Assess. 2018, 190, 298. [Google Scholar] [CrossRef] [PubMed]
- Szara, E.; Sosulski, T.; Szymańska, M.; Stępień, W. Phosphate sorption and p soil-test in sandy loam soil as affected by manure and lime applications in a long-term fertilization experiment. Fresenius Environ. Bull. 2017, 26, 3191–3199. [Google Scholar]
- Iyamuremye, F.; Dick, R.P.; Baham, J. Organic amendments and phosphates dynamics: I. Phosphorus chemistry and sorption. Soil Sci. 1996, 161, 426–435. [Google Scholar] [CrossRef]
- You, Y.; Whalen, J.K.; Hendershot, W.H. Phosphate sorption and release in a sandy-loam soil as influenced by fertilizer sources. Soil Sci. Soc. Am. J. 2007, 71, 118–124. [Google Scholar]





| Fertilizer Application Method | Doses * | |||||||
|---|---|---|---|---|---|---|---|---|
| D0 | D1 | D2 | D3 | |||||
| N | P2O5 | N | P2O5 | N | P2O5 | N | P2O5 | |
| kg ha−1 | ||||||||
| TD ** | 0 | 0 | 50 | 25 | 100 | 50 | 150 | 75 |
| DP10 *** | ||||||||
| DP20 *** | ||||||||
| Year | Treatment | Part of Plant | 56th Day of Vegetation | 78th Day of Vegetation | 99th Day of Vegetation | 123rd Day of Vegetation | ||||||||||||
|---|---|---|---|---|---|---|---|---|---|---|---|---|---|---|---|---|---|---|
| Dose | ||||||||||||||||||
| D0 | D1 | D2 | D3 | D0 | D1 | D2 | D3 | D0 | D1 | D2 | D3 | D0 | D1 | D2 | D3 | |||
| dry | TD | Above ground | 9.1 a | 9.6 a | 11.4 b | 12.9 c | 13.0 a | 14.4 ab | 14.9 b | 16.2 b | 17.1 a | 19.2 bc | 20.9 c | 23.0 d | 19.3 a | 20.3 ab | 21.2 bc | 22.5 cd |
| Tubers | 3.7 a | 4.8 b | 5.3 bc | 5.9 cd | 10.6 a | 13.6 b | 15.2 b | 15.8 b | 16.8 a | 19.3 b | 20.9 c | 21.4 c | 19.6 a | 22.5 b | 24.1 bc | 23.7 bc | ||
| Roots | 0.6 a | 0.7 b | 0.8 b | 0.9 c | 0.8 a | 0.9 b | 1.0 b | 1.1 c | 0.8 a | 1.0 b | 1.0 b | 1.2 c | - | - | - | - | ||
| DP10 | Above ground | 9.1 a | 11.2 c | 10.7 bc | 13.4 d | 13.0 a | 15.9 b | 16.3 b | 16.8 b | 17.1 a | 20.1 bc | 21.9 c | 23.3 d | 19.3 a | 22.6 bc | 23.5 cd | 24.2 de | |
| Tubers | 3.7 a | 4.9 b | 5.4 b | 5.5 b | 10.6 a | 14.4 b | 14.5 b | 16.2 c | 16.8 a | 19.6 b | 21.5 c | 23.0 d | 19.6 a | 24.8 b | 23.7 b | 24.0 b | ||
| Roots | 0.6 a | 0.7 b | 0.9 c | 0.9 cd | 0.8 a | 1.1 b | 1.2 b | 1.2 c | 0.8 a | 1.2 b | 1.2 b | 1.3 c | - | - | - | - | ||
| DP20 | Above ground | 9.1 a | 9.7 a | 11.3 b | 13.1 c | 13.0 a | 14.0 ab | 14.8 ab | 15.5 b | 17.1 a | 18.3 ab | 19.2 bc | 21.0 c | 19.3 a | 20.8 ab | 21.9 b | 24.0 cd | |
| Tubers | 3.7 a | 5.1 b | 6.2 c | 6.7 cd | 10.6 a | 13.6 b | 15.5 c | 16.0 c | 16.8 a | 19.4 b | 21.7 c | 23.1 d | 19.6 a | 23.4 b | 23.9 b | 26.9 c | ||
| Roots | 0.6 a | 0.7 bc | 0.8 cd | 0.8 d | 0.8 a | 0.9 b | 1.1 c | 1.1 cd | 0.8 a | 0.9 b | 1.2 c | 1.2 cd | - | - | - | - | ||
| wet | TD | Above ground | 8.8 a | 10.2 b | 11.2 c | 12.1 cd | 11.7 a | 15.3 b | 16.7 c | 18.4 d | 19.0 a | 22.5 a | 24.5 b | 27.2 bc | 28.2 a | 29.1 ab | 31.0 bc | 32.2 c |
| Tubers | 3.9 a | 5.0 b | 5.6 bc | 6.2 cd | 16.6 a | 21.2 b | 23.5 c | 24.0 cd | 22.6 a | 28.4 b | 29.4 b | 31.9 b | 28.0 a | 34.4 b | 38.1 c | 39.5 c | ||
| Roots | 0.9 a | 1.0 ab | 1.0 b | 1.1 b | 1.1 a | 1.1 a | 1.3 b | 1.3 b | 1.0 a | 1.2 b | 1.3 c | 1.4 cd | - | - | - | - | ||
| DP10 | Above ground | 8.8 a | 11.2 b | 12.1 bc | 12.9 cd | 11.7 a | 16.2 b | 17.5 c | 18.9 d | 19.0 a | 24.3 b | 27.0 bc | 29.8 c | 28.2 a | 30.6 ab | 32.4 bc | 34.5 c | |
| Tubers | 3.9 a | 5.2 b | 5.6 bc | 5.8 c | 16.6 a | 22.0 b | 23.6 c | 23.9 c | 22.6 a | 29.7 b | 33.4 bc | 34.9 c | 28.0 a | 35.5 b | 39.3 c | 41.6 c | ||
| Roots | 0.9 a | 1.0 ab | 1.1 b | 1.3 c | 1.1 a | 1.1 a | 1.2 b | 1.2 b | 1.0 a | 1.5 b | 1.5 b | 1.6 c | - | - | - | - | ||
| DP20 | Above ground | 8.8 a | 11.3 b | 12.2 bc | 12.7 cd | 11.7 a | 14.3 b | 15.4 b | 18.5 d | 19.0 a | 23.2 b | 25.4 bc | 28.8 cd | 28.2 a | 30.0 a | 32.6 b | 35.9 c | |
| Tubers | 3.9 a | 5.4 b | 6.5 c | 7.0 cd | 16.6 a | 20.6 b | 22.7 c | 24.7 d | 22.6 a | 28.6 b | 30.0 bc | 33.7 cd | 28.0 a | 36.4 b | 41.2 c | 42.4 cd | ||
| Roots | 0.9 a | 1.1 b | 1.2 cd | 1.3 d | 1.1 a | 1.2 b | 1.2 b | 1.2 b | 1.0 a | 1.3 b | 1.5 c | 1.5 c | - | - | - | - | ||
| Source of Variation | Square Sum | df | Mean Squar | F | p |
|---|---|---|---|---|---|
| Dry Year | |||||
| Intercept | 20,935.79 | 1 | 20,935.79 | 38,000.05 | 0.000 |
| Fertilizer application method | 9.95 | 2 | 4.98 | 9.03 | 0.000 |
| Dose | 10.27 | 2 | 5.13 | 9.32 | 0.000 |
| Fertilizer application method × Dose | 25.47 | 4 | 6.37 | 11.56 | 0.000 |
| Residual | 14.88 | 27 | 0.55 | ||
| Wet year | |||||
| Intercept | 53,944.18 | 1 | 53,944.18 | 36,832.13 | 0.000 |
| Fertilizer application method | 43.53 | 2 | 21.77 | 14.86 | 0.000 |
| Dose | 212.23 | 2 | 106.12 | 72.45 | 0.000 |
| Fertilizer application method × Dose | 2.81 | 4 | 0.70 | 0.48 | 0.75 |
| Residual | 39.54 | 27 | 1.46 | ||
| Nutrient | Year | Treatment | Dose | |||
|---|---|---|---|---|---|---|
| D0 | D1 | D2 | D3 | |||
| Nitrogen | Dry | TD | 77.2 a | 100.0 b | 115.8 c | 121.9 c |
| DP10 | 110.4 b | 119.7 b | 131.8 c | |||
| DP20 | 105.3 b | 119.0 c | 135.2 d | |||
| Wet | TD | 113.1 a | 150.9 b | 169.4 c | 189.9 d | |
| DP10 | 158.0 b | 185.7 c | 207.4 d | |||
| DP20 | 157.7 b | 192.3 cd | 206.9 d | |||
| Phosphorus | Dry | TD | 14.4 a | 18.2 b | 20.2 c | 21.5 c |
| DP10 | 19.7 b | 20.4 b | 21.4 b | |||
| DP20 | 18.7 b | 20.4 c | 22.8 d | |||
| Wet | TD | 20.3 a | 27.9 b | 30.1 bc | 31.7 c | |
| DP10 | 29.0 b | 32.9 c | 35.8 d | |||
| DP20 | 27.9 b | 33.0 c | 34.9 c | |||
Disclaimer/Publisher’s Note: The statements, opinions and data contained in all publications are solely those of the individual author(s) and contributor(s) and not of MDPI and/or the editor(s). MDPI and/or the editor(s) disclaim responsibility for any injury to people or property resulting from any ideas, methods, instructions or products referred to in the content. |
© 2024 by the authors. Licensee MDPI, Basel, Switzerland. This article is an open access article distributed under the terms and conditions of the Creative Commons Attribution (CC BY) license (https://creativecommons.org/licenses/by/4.0/).
Share and Cite
Niedziński, T.; Szymańska, M.; Łabętowicz, J.; Sosulski, T. Does the Deep Placement of Fertilizers Increase Potato Yields, Fertilization Efficiency and Reduce N2O Emissions from the Soil? Agriculture 2024, 14, 368. https://doi.org/10.3390/agriculture14030368
Niedziński T, Szymańska M, Łabętowicz J, Sosulski T. Does the Deep Placement of Fertilizers Increase Potato Yields, Fertilization Efficiency and Reduce N2O Emissions from the Soil? Agriculture. 2024; 14(3):368. https://doi.org/10.3390/agriculture14030368
Chicago/Turabian StyleNiedziński, Tomasz, Magdalena Szymańska, Jan Łabętowicz, and Tomasz Sosulski. 2024. "Does the Deep Placement of Fertilizers Increase Potato Yields, Fertilization Efficiency and Reduce N2O Emissions from the Soil?" Agriculture 14, no. 3: 368. https://doi.org/10.3390/agriculture14030368
APA StyleNiedziński, T., Szymańska, M., Łabętowicz, J., & Sosulski, T. (2024). Does the Deep Placement of Fertilizers Increase Potato Yields, Fertilization Efficiency and Reduce N2O Emissions from the Soil? Agriculture, 14(3), 368. https://doi.org/10.3390/agriculture14030368

