Drying Kinetics and Mass Transfer Characteristics of Walnut under Hot Air Drying
Abstract
1. Introduction
2. Materials and Methods
2.1. Material Preparation
2.2. Drying Experiment
2.3. Drying Characteristic Parameters
2.4. Effective Moisture Diffusivity
- (1)
- The moisture diffuses radially from inside to the surface of the particle and evaporates at the surface.
- (2)
- In the beginning, the moisture was evenly distributed throughout the mass of a sphere;
- (3)
- In relation to the center of the sphere, the mass transfer was symmetrical;
- (4)
- Compared to the internal resistance of the walnut sample, the surface mass transfer resistance was negligible.
- (5)
- The Deff was constant.
2.5. Mass Transfer Coefficient
2.6. Activation Energy
2.7. Lightness
2.8. Drying Kinetics
2.9. Statistical Analysis
3. Results and Discussion
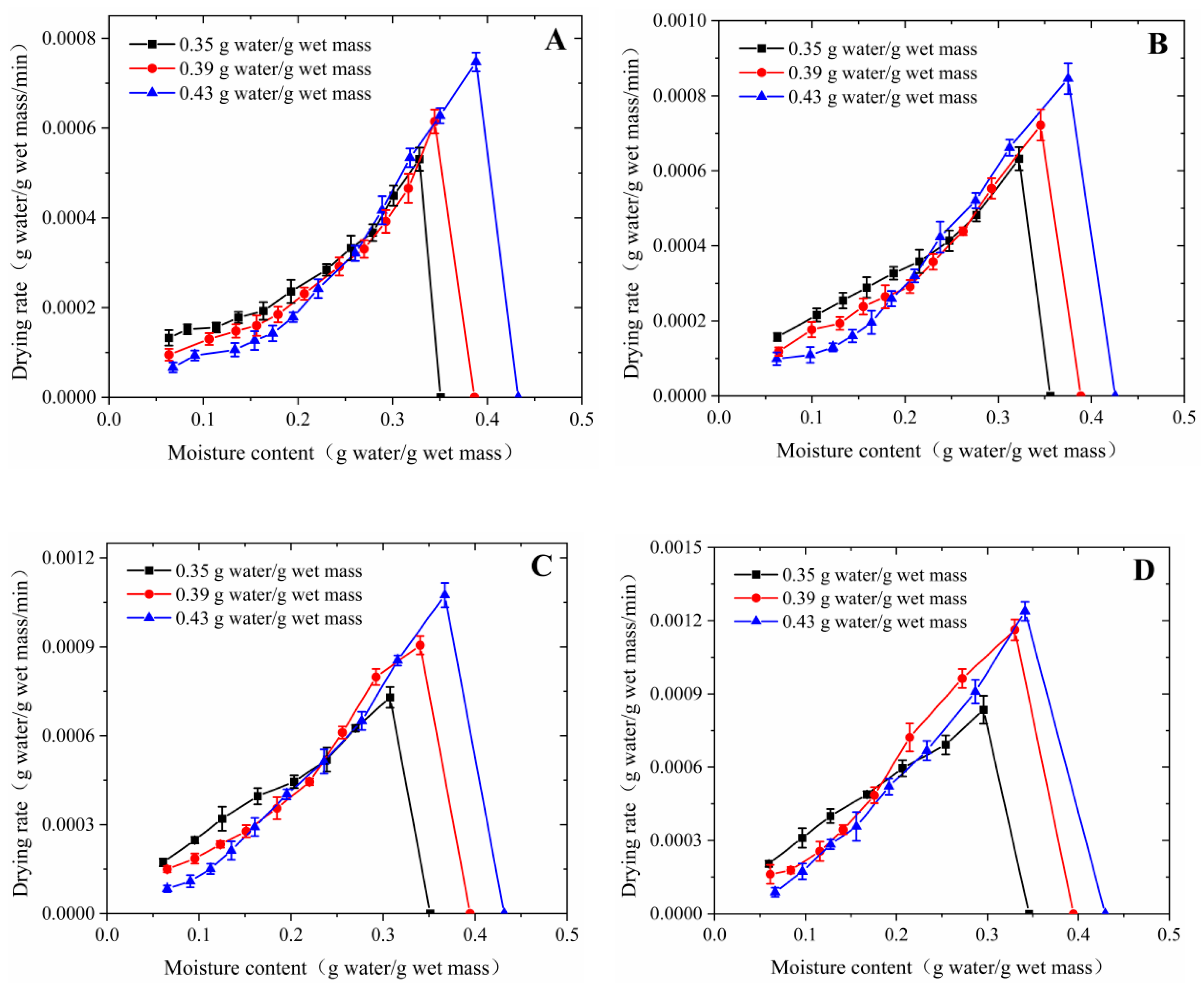
3.1. Drying Characteristics
3.2. Effective Moisture Diffusivity
3.3. Mass Transfer Coefficient
3.4. Activation Energy
3.5. Lightness of the Walnut Kernel
3.6. Kinetic Analyses on the Hot Air Drying Process
4. Conclusions
Author Contributions
Funding
Institutional Review Board Statement
Data Availability Statement
Acknowledgments
Conflicts of Interest
References
- Erfani, A.; Pirouzifard, M.K.; Almasi, H.; Gheybi, N.; Pirsa, S. Application of cellulose plate modified with encapsulated cinnamomum zelanicum essential oil in active packaging of walnut kernel. Food Chem. 2022, 381, 132246. [Google Scholar] [CrossRef]
- Man, X.L.; Li, L.; Zeng, Y.; Tang, Y.R.; Yang, J.L.; Fan, X.W.; Zhang, Y.C.; Zhang, H.; Su, G.G.; Wang, J.P. Mechanical impact characteristics of hollow shell granule based on continuous damage theory. Powder Technol. 2023, 429, 118946. [Google Scholar] [CrossRef]
- Chen, C.; Pan, Z.L. Postharvest processing of tree nuts: Current status and future prospects-A comprehensive review, Compr. Rev. Food Sci. F 2022, 21, 1702–1731. [Google Scholar] [CrossRef] [PubMed]
- Liu, M.Z.; Li, C.H.; Cao, C.M.; Wang, L.Q.; Li, X.P.; Che, J.; Yang, H.M.; Zhang, X.W.; Zhao, H.Y.; He, G.Z.; et al. Walnut Fruit Processing Equipment: Academic Insights and Perspectives. Food Eng. Rev. 2021, 13, 822–857. [Google Scholar] [CrossRef]
- Dolgun, G.K.; Aktas, M.; Dolgun, E.C. Infrared convective drying of walnut with energy-exergy perspective. J. Food Eng. 2021, 306, 110638. [Google Scholar] [CrossRef]
- Zhu, D.Q.; Ma, J.; Jiang, R.; Yuan, J.H.; Wang, C.X.; Zhu, H. Parameter optimization of hickory nut drying by phased varying power microwave. Trans. CSAE 2016, 32, 268–274. [Google Scholar] [CrossRef]
- Zhou, X.; Gao, H.; Mitcham, E.J.; Wang, S. Comparative analyses of three dehydration methods on drying characteristics and oil quality of in-shell walnuts. Dry. Technol. 2018, 36, 477–490. [Google Scholar] [CrossRef]
- Zhang, B.; Zheng, A.; Zhou, L.; Huang, Z.; Wang, S. Developing Hot Air-Assisted Radio Frequency Drying Protocols for in-Shell Walnuts. J. Food Agric. 2016, 28, 459–467. [Google Scholar] [CrossRef]
- Mao, Y.X.; Wang, P.H.; Wu, Y.; Hou, L.X.; Wang, S.J. Effects of various radio frequencies on combined drying and disinfestation treatments for in-shell walnuts. LWT-Food Sci. Technol. 2021, 144, 111246. [Google Scholar] [CrossRef]
- Fu, M.; Qu, Q.; Yang, X.; Zhang, X. Effect of intermittent oven drying on lipid oxidation, fatty acids composition and antioxidant activities of walnut. LWT-Food Sci. Technol. 2016, 65, 1126–1132. [Google Scholar] [CrossRef]
- Qu, Q.; Yang, X.; Fu, M.; Chen, Q.; Zhang, X.; He, Z.; Qiao, X. Effects of Three Conventional Drying Methods on the Lipid Oxidation, Fatty Acids Composition, and Antioxidant Activities of Walnut (Juglans regia L.). Dry Technol. 2016, 34, 822–829. [Google Scholar] [CrossRef]
- Chen, C.; Zhang, W.P.; Venkitasamy, C.; Khir, R.; McHugh, T.; Pan, Z.L. Walnut structure and its influence on the hydration and drying characteristics. Dry. Technol. 2019, 38, 975–986. [Google Scholar] [CrossRef]
- Chen, C.; Venkitasamy, C.; Zhang, W.P.; Deng, L.Z.; Meng, X.Y.; Pan, Z.L. Effect of step-down temperature drying on energy consumption and product quality of walnuts. J. Food Eng. 2020, 285, 110105. [Google Scholar] [CrossRef]
- Chen, C.; Upadhyaya, S.; Khir, R.; Pan, Z.L. Simulation of walnut drying under hot air heating using a nonequilibrium multiphase transfer model. Dry. Technol. 2020, 40, 987–1001. [Google Scholar] [CrossRef]
- Hassan-Beygi, S.R.; Aghbashlo, M.; Kianmehr, M.H.; Massah, J. Drying characteristics of walnut (Juglans regia L.) during convection drying. Int. Agrophysics 2009, 23, 129–135. [Google Scholar] [CrossRef]
- Zhu, D.W.; Cao, C.M.; Ding, Z.Y.; Liu, W.W.; Zhang, N.S.; Wang, J.X. Hot-air drying characteristics and technical parameters optimization of kernel hickory (Carya cathayensis Sarg.). Trans. CSAE 2011, 27, 364–369. [Google Scholar] [CrossRef]
- Yang, Z.; Luo, X.W.; Li, C.Y. Distribution of rice kernel moisture content at harvest. Trans. CSAM 2005, 21, 38–41. Available online: http://www.tcsae.org/cn/article/id/20050309?viewType=citedby-info (accessed on 15 December 2023).
- Chen, C.; Pan, Z.L. Heat and moisture transfer studies on walnuts during hot air drying in a fixed-bed column dryer. Appl. Therm. Eng. 2021, 199, 117554. [Google Scholar] [CrossRef]
- Huang, Y.; Huang, J.L.; Zheng, B.D. Microwave vacuum drying properties and kinetics model of white fungus. Trans. CSAE 2010, 26, 362–367. [Google Scholar] [CrossRef]
- Khir, R.; Pan, Z.L.; Salim, A.; Hartsough, B.R.; Mohamed, S. Moisture diffusivity of rough rice under infrared radiation drying. LWT-Food Sci. Technol. 2011, 44, 1126–1132. [Google Scholar] [CrossRef]
- Kaveh, M.; Abbaspour-Gilandeh, Y.; Nowacka, M. Optimisation of microwave-rotary drying process and quality parameters of terebinth. Biosyst. Eng. 2021, 208, 113–130. [Google Scholar] [CrossRef]
- Dadalı, G.; Apar, K.D.; Ozbek, B. Estimation of effective moisture diffusivity of okra for microwave drying. Dry. Technol. 2007, 25, 1445–1450. [Google Scholar] [CrossRef]
- Khan, M.I.H.; Kumar, C.; Joardder, M.U.H.; Karim, M.A. Determination of appropriate effective diffusivity for different food materials. Dry. Technol. 2017, 35, 335–346. [Google Scholar] [CrossRef]
- Teymori-Omran, M.; Askari Asli-Ardeh, E.; Taghinezhad, E.; Motevali, A.; Szumny, A.; Nowacka, M. Enhancing Energy Efficiency and retention of bioactive compounds in apple drying: Comparative analysis of combined hot air–infrared drying strategies. Appl. Sci. 2023, 13, 7612. [Google Scholar] [CrossRef]
- Chayjan, R.A.; Sabziparvar, A.A. Modeling moisture diffusivity, activation energy and specific energy consumption of squash seeds in a semi fluidized and fluidized bed drying. J. Food Sci. Technol. 2011, 50, s13197–s132011. [Google Scholar] [CrossRef] [PubMed]
- Zeng, Y.; Mao, B.Q.; Jia, F.G.; Han, Y.L.; Li, G.R. Modelling of grain breakage of in a vertical rice mill based on dem simulation combining particle replacement model. Biosyst. Eng. 2022, 215, 32–48. [Google Scholar] [CrossRef]
- Song, Z.L.; Jing, C.M.; Yao, L.S.; Zhao, X.Q.; Sun, J.; Wang, W.L.; Mao, Y.P.; Ma, C.Y. Coal slime hot air/microwave combined drying characteristics and energy analysis. Fuel Process Technol. 2016, 156, 491–499. [Google Scholar] [CrossRef]
- Vera, C.M.; Vizcarra, M.G. Concentration-dependent moisture diffusion coefficient estimation in peas drying considering shrinkage: An observer approach. Biosyst. Eng. 2022, 218, 256–273. [Google Scholar] [CrossRef]
- Chen, C.; Venkitasamy, C.; Zhang, W.P.; Khir, R.; Upadhyaya, S.; Pan, Z.L. Effective moisture diffusivity and drying simulation of walnuts under hot air. Int. J. Heat. Mass. Tran. 2020, 150, 119283. [Google Scholar] [CrossRef]
- Li, L.; Mao, B.Q.; Zeng, Y.; Tang, Y.R.; Man, X.L.; Fan, X.W.; Zhang, Y.C.; Zhang, H. Experimental study on crack irregularity of hollow shell particle under impact loading. Powder Technol. 2023, 427, 118704. [Google Scholar] [CrossRef]
- Dak, M.; Pareek, N.K. Effective moisture diffusivity of pomegranate arils under going microwave-vacuum drying. J. Food Eng. 2014, 122, 117–121. [Google Scholar] [CrossRef]
- Crank, J. The Mathematics of Diffusion; Oxford University Press: Oxford, UK, 1977. [Google Scholar]
- Dincer, I.; Hussain, M.M. Development of a new Bi-Di correlation for solids drying. Int. J. Heat. Mass. Tran. 2002, 45, 3065–3069. [Google Scholar] [CrossRef]
- Dincer, I. Development of a new number (the Dincer number) for forcedconvection heat transfer in heating and cooling applications. Int. J. Energy Res. 1996, 20, 419–422. [Google Scholar] [CrossRef]
- Fiorentini, C.; Demarchi, S.M.; Ruiz, N.A.Q.; Irigoyen, R.M.T.; Giner, S.A. Arrhenius activation energy for water diffusion during drying of tomato leathers: The concept of characteristic product temperature. Biosyst. Eng. 2015, 132, 39–46. [Google Scholar] [CrossRef]
- Darvishi, H.; Mohammadi, P.; Azadbakht, M.; Farhudi, Z. Effect of different drying conditions on the mass transfer characteristics of kiwi slices. J. Agr. Sci. Technol. 2018, 20, 249–264. Available online: https://jast.modares.ac.ir/article-23-10509-en.html (accessed on 10 October 2021).
- Yu, H.M.; Li, H.Y.; Zhang, X.Y.; Wang, H.Y.; Sun, Y. Drying kinetic model of microwave coupled with hot air drying of straw-based nutrient seedling-growing bowl tray. Trans. CSAM 2020, 51, 339–348. [Google Scholar] [CrossRef]
- Ishibashi, R.; Numata, T.; Tanigawa, H.; Tsuruta, T. In-situ measurements of drying and shrinkage characteristics during microwave vacuum drying of radish and potato. J. Food Eng. 2022, 323, 110988. [Google Scholar] [CrossRef]
- Zhou, Y.H.; Staniszewska, I.; Liu, Z.L.; Zielinska, D.; Xiao, H.W.; Pan, Z.L.; Nowak, K.W.; Zielinska, M. Microwave-vacuum-assisted drying of pretreated cranberries: Drying kinetics, bioactive compounds and antioxidant activity. LWT-Food Sci. Technol. 2021, 146, 111464. [Google Scholar] [CrossRef]
- Lu, Y.J.; Ren, G.Y.; Duan, X.; Zhang, L.D.; Ling, Z.Z. Moisture migration properties and quality changes of fresh in-shell peanuts during hot air drying. Food Sci. 2020, 41, 86–92. [Google Scholar] [CrossRef]
- Venkitasamy, C.; Zhu, C.; Brandl, M.T.; Niederholzer, F.J.A.; Zhang, R.; Mchugh, T.H.; Pan, Z. Feasibility of using sequential infrared and hot air for almond drying and inactivation of Enterococcus faecium NRRL B-2354. LWT Food Sci. Technol. 2018, 95, 123–128. [Google Scholar] [CrossRef]
- Chen, Y.N.; Li, M.; Dharmasiri, T.S.K.; Song, X.Y.; Liu, F.; Wang, X. Novel ultrasonic-assisted vacuum drying technique for dehydrating garlic slices and predicting the quality properties by low field nuclear magnetic resonance. Food Chem. 2020, 306, 125625. [Google Scholar] [CrossRef]
- Shen, L.Y.; Zhu, Y.; Liu, C.H.; Wang, L.; Liu, H.; Kamruzzaman, M.; Liu, C.; Zhang, Y.P.; Zheng, X.Z. Modelling of moving drying process and analysis of drying characteristics for germinated brown rice under continuous microwave drying. Biosyst. Eng. 2020, 195, 64–88. [Google Scholar] [CrossRef]
- Chen, A.Q.; Achkar, G.E.; Liu, B.; Bennacer, R. Experimental study on moisture kinetics and microstructure evolution in apples during high power microwave drying process. J. Food Eng. 2020, 29, 110362. [Google Scholar] [CrossRef]
- Ni, J.; Ding, C.; Zhang, Y.; Song, Z.; Hu, X.; Hao, T. Electrohydrodynamic Drying of Chinese Wolfberry in a Multiple Needle-to-Plate Electrode System. Foods 2019, 8, 152. [Google Scholar] [CrossRef] [PubMed]
- Jiang, C.; Wan, F.; Zang, Z.; Zhang, Q.; Ma, G.; Huang, X. Effect of an Ultrasound Pre-Treatment on the Characteristics and Quality of Far-Infrared Vacuum Drying with Cistanche Slices. Foods 2022, 11, 866. [Google Scholar] [CrossRef] [PubMed]
- Mirzaei-Baktash, H.; Hamdami, N.; Torabi, P.; Fallah-Joshaqani, S.; Dalvi-Isfahan, M. Impact of different pretreatments on drying kinetics and quality of button mushroom slices dried by hot-air or electrohydrodynamic drying. LWT-Food Sci. Technol. 2022, 155, 112894. [Google Scholar] [CrossRef]
- Wiktor, A.; Dadan, M.; Nowacka, M.; Rybak, K.; Witrowa-Rajchert, D. The impact of combination of pulsed electric field and ultrasound treatment on air drying kinetics and quality of carrot tissue. LWT-Food Sci. Technol. 2019, 110, 71–79. [Google Scholar] [CrossRef]
- Xiao, A.; Ding, C. Effect of electrohydrodynamic (EHD) on drying kinetics and quality characteristics of shiitake mushroom. Foods 2022, 11, 1303. [Google Scholar] [CrossRef] [PubMed]
- Yu, F.; Yang, Z.; Tao, Z.C.; Yong, Z.Y. Optimization of pea seed intermittent drying assisted with ultrasound technology. Int. J. Food Eng. 2020, 16, 20190225. [Google Scholar] [CrossRef]
- Perazzini, H.; Leonel, A.; Perazzini, M.T.B. Energy of activation, instantaneous energy consumption, and coupled heat and mass transfer modeling in drying of sorghum grains. Biosyst. Eng. 2021, 210, 181–192. [Google Scholar] [CrossRef]
- An, N.N.; Lv, W.Q.; Li, D.; Wang, L.J.; Wang, Y. Effects of hot-air microwave rolling blanching pretreatment on the drying of turmeric (Curcuma longa L.): Physiochemical properties and microstructure evaluation. Food Chem. 2023, 398, 133925. [Google Scholar] [CrossRef] [PubMed]
- Wang, H.; Fang, X.M.; Sutar, P.P.; Meng, J.S.; Wang, J.; Yu, X.L.; Xiao, H.W. Effects of vacuum-steam pulsed blanching on drying kinetics, colour, phytochemical contents, antioxidant capacity of carrot and the mechanism of carrot quality changes revealed by texture, microstructure and ultrastructure. Food Chem. 2021, 338, 127799. [Google Scholar] [CrossRef] [PubMed]
- Shen, L.Y.; Wang, L.; Zheng, C.Y.; Liu, C.H.; Zhu, Y.; Liu, H.; Liu, C.; Shi, Y.K.; Zheng, X.Z.; Xu, H. Continuous microwave drying of germinated brown rice: Effects of drying conditions on fissure and color, and modeling of moisture content and stress inside kernel. Dry. Technol. 2020, 39, 669–697. [Google Scholar] [CrossRef]
- Silva, E.S.D.; Brando, S.C.R.; Silva, A.L.D.; Silva, J.H.F.D.; Coêlho, A.C.D.; Azoubel, P.M. Ultrasound-assisted vacuum drying of nectarine. J. Food Eng. 2019, 246, 119–124. [Google Scholar] [CrossRef]
- Zhou, M.; Cong, L.; Bi, J.F.; Jin, X.; Lyu, J.; Li, X. Towards understanding the enhancement of moisture diffusion during intermediate-infrared drying of peach pomace based on the glass transition theory. Innov. Food Sci. Emerg. Technol. 2019, 54, 143–151. [Google Scholar] [CrossRef]










| Test No. | IMC (g Water/g Wet Mass) | Drying Temperature (°C) |
|---|---|---|
| 1 | 0.35 | 50 |
| 2 | 0.35 | 60 |
| 3 | 0.35 | 70 |
| 4 | 0.35 | 80 |
| 5 | 0.39 | 50 |
| 6 | 0.39 | 60 |
| 7 | 0.39 | 70 |
| 8 | 0.39 | 80 |
| 9 | 0.43 | 50 |
| 10 | 0.43 | 60 |
| 11 | 0.43 | 70 |
| 12 | 0.43 | 80 |
| No. | Model Name | Model Formula | Parameter |
|---|---|---|---|
| 1 | Newton | k | |
| 2 | Page | k, n | |
| 3 | Henderson and Pabis | a, k | |
| 4 | Two term | a, b, k0, k1 | |
| 5 | Two-term exponential | a, k | |
| 6 | Verma et al | a, g, k | |
| 7 | Logarithmic | a, c, k | |
| 8 | Wang and Singh | a, b | |
| 9 | Midilli et al | a, n, k | |
| 10 | Weibull distribution | a, b, k, n |
| No. | IMC | Td | MCE | t | DRMAX | DRAVG | TS |
|---|---|---|---|---|---|---|---|
| 1 | 0.351 ± 0.017 | 50 | 0.064 ± 0.003 | 1300 ± 8 | 0.00053 ± 0.00002 | 0.00027 ± 0.00001 | 47.57 ± 0.8 |
| 2 | 0.356 ± 0.015 | 60 | 0.063 ± 0.003 | 1000 ± 5 | 0.00063 ± 0.00002 | 0.00031 ± 0.00001 | 57.56 ± 1.3 |
| 3 | 0.351 ± 0.012 | 70 | 0.062 ± 0.003 | 800 ± 5 | 0.00073 ± 0.00002 | 0.00043 ± 0.00001 | 67.84 ± 0.6 |
| 4 | 0.348 ± 0.016 | 80 | 0.061 ± 0.003 | 660 ± 5 | 0.00084 ± 0.00002 | 0.00050 ± 0.00001 | 77.32 ± 0.9 |
| 5 | 0.386 ± 0.012 | 50 | 0.063 ± 0.003 | 1600 ± 8 | 0.00061 ± 0.00002 | 0.00028 ± 0.00001 | 47.34 ± 1.1 |
| 6 | 0.389 ± 0.013 | 60 | 0.064 ± 0.003 | 1200 ± 6 | 0.00072 ± 0.00002 | 0.00034 ± 0.00001 | 57.29 ± 1.2 |
| 7 | 0.394 ± 0.016 | 70 | 0.065 ± 0.003 | 950 ± 5 | 0.00091 ± 0.00002 | 0.00044 ± 0.00001 | 67.43 ± 0.8 |
| 8 | 0.395 ± 0.014 | 80 | 0.063 ± 0.003 | 800 ± 5 | 0.00116 ± 0.00003 | 0.00053 ± 0.00001 | 77.08 ± 1.0 |
| 9 | 0.433 ± 0.018 | 50 | 0.068 ± 0.003 | 1950 ± 8 | 0.00075 ± 0.00002 | 0.00030 ± 0.00001 | 47.28 ± 1.1 |
| 10 | 0.427 ± 0.013 | 60 | 0.063 ± 0.003 | 1500 ± 8 | 0.00085 ± 0.00002 | 0.00034 ± 0.00001 | 57.33 ±1.3 |
| 11 | 0.432 ± 0.017 | 70 | 0.065 ± 0.003 | 1250 ± 6 | 0.00107 ± 0.00003 | 0.00043 ± 0.00001 | 67.43 ± 0.7 |
| 12 | 0.430 ± 0.020 | 80 | 0.067 ± 0.003 | 1000 ± 5 | 0.00124 ± 0.00003 | 0.00053 ± 0.00001 | 77.22 ± 0.9 |
| IMC (g Water/g Wet Mass) | Td (°C) | Linear Regression Equation | Deff (m2/s) | R2 |
|---|---|---|---|---|
| 0.35 | 50 | 6.82 × 10−10 | 0.995 | |
| 0.35 | 60 | 9.29 × 10−10 | 0.998 | |
| 0.35 | 70 | 1.18 × 10−9 | 0.999 | |
| 0.35 | 80 | 1.44 × 10−9 | 0.999 | |
| 0.39 | 50 | 5.85 × 10−10 | 0.998 | |
| 0.39 | 60 | 7.96 × 10−10 | 0.999 | |
| 0.39 | 70 | 9.94 × 10−10 | 0.997 | |
| 0.39 | 80 | 1.24 × 10−9 | 0.989 | |
| 0.43 | 50 | 4.94 × 10−10 | 0.987 | |
| 0.43 | 60 | 6.69 × 10−10 | 0.983 | |
| 0.43 | 70 | 8.12 × 10−10 | 0.974 | |
| 0.43 | 80 | 9.98 × 10−10 | 0.961 |
| Model | R2 | RMSE | χ2 | |||
|---|---|---|---|---|---|---|
| No. | Range | Average | Range | Average | Range | Average |
| 1 | 0.98639~0.99986 | 0.9944 | 0.00385~0.05005 | 0.0254 | 0.00012~0.03257 | 0.01019 |
| 2 | 0.99721~0.99994 | 0.9988 | 0.00213~0.01418 | 0.0086 | 0.00004~0.00181 | 0.00093 |
| 3 | 0.98107~0.99984 | 0.9924 | 0.00355~0.03609 | 0.0203 | 0.00010~0.01693 | 0.00615 |
| 4 | 0.98107~0.99996 | 0.9979 | 0.00169~0.03609 | 0.0079 | 0.00003~0.01693 | 0.00179 |
| 5 | 0.99696~0.99985 | 0.9987 | 0.00391~0.02062 | 0.0098 | 0.00012~0.00553 | 0.00143 |
| 6 | 0.99855~0.99996 | 0.9997 | 0.00173~0.01010 | 0.0044 | 0.00003~0.00123 | 0.00027 |
| 7 | 0.99225~0.99995 | 0.9979 | 0.00189~0.02239 | 0.0104 | 0.00003~0.00652 | 0.00162 |
| 8 | 0.84622~0.99911 | 0.9531 | 0.00944~0.15905 | 0.0696 | 0.00071~0.31629 | 0.08745 |
| 9 | 0.99840~0.99994 | 0.9996 | 0.00204~0.01003 | 0.0048 | 0.00003~0.00121 | 0.00034 |
| 10 | 0.98213~0.99997 | 0.9972 | 0.00135~0.03401 | 0.0086 | 0.00002~0.01503 | 0.00225 |
| IMC (g Water/g Wet Mass) | Td (°C) | a | g | k | R2 | RMSE | χ2 |
|---|---|---|---|---|---|---|---|
| 0.35 | 50 | 0.0318 | 0.0012 | 0.0223 | 0.9986 | 0.0101 | 0.00123 |
| 0.35 | 60 | 0.0046 | 0.0017 | 2.0145 | 0.9993 | 0.0067 | 0.00045 |
| 0.35 | 70 | −1.6165 | 0.0024 | 0.0026 | 0.9998 | 0.0035 | 0.00011 |
| 0.35 | 80 | −0.0547 | 0.0027 | 0.0068 | 0.9999 | 0.0018 | 0.00003 |
| 0.39 | 50 | 0.0930 | 0.0010 | 0.0107 | 0.9996 | 0.0051 | 0.00031 |
| 0.39 | 60 | 0.9241 | 0.0121 | 0.0014 | 0.9999 | 0.0029 | 0.00009 |
| 0.39 | 70 | 0.1598 | 0.0017 | 0.0088 | 0.9997 | 0.0043 | 0.00019 |
| 0.39 | 80 | 0.4349 | 0.0016 | 0.0059 | 0.9997 | 0.0047 | 0.00019 |
| 0.43 | 50 | 0.2664 | 0.0008 | 0.0056 | 0.9998 | 0.0035 | 0.00016 |
| 0.43 | 60 | 0.3582 | 0.0009 | 0.0046 | 0.9995 | 0.0054 | 0.00035 |
| 0.43 | 70 | 0.5174 | 0.0047 | 0.0010 | 0.9999 | 0.0017 | 0.00003 |
| 0.43 | 80 | 0.6154 | 0.0009 | 0.0048 | 0.9999 | 0.0032 | 0.00009 |
Disclaimer/Publisher’s Note: The statements, opinions and data contained in all publications are solely those of the individual author(s) and contributor(s) and not of MDPI and/or the editor(s). MDPI and/or the editor(s) disclaim responsibility for any injury to people or property resulting from any ideas, methods, instructions or products referred to in the content. |
© 2024 by the authors. Licensee MDPI, Basel, Switzerland. This article is an open access article distributed under the terms and conditions of the Creative Commons Attribution (CC BY) license (https://creativecommons.org/licenses/by/4.0/).
Share and Cite
Man, X.; Li, L.; Fan, X.; Zhang, H.; Lan, H.; Tang, Y.; Zhang, Y. Drying Kinetics and Mass Transfer Characteristics of Walnut under Hot Air Drying. Agriculture 2024, 14, 182. https://doi.org/10.3390/agriculture14020182
Man X, Li L, Fan X, Zhang H, Lan H, Tang Y, Zhang Y. Drying Kinetics and Mass Transfer Characteristics of Walnut under Hot Air Drying. Agriculture. 2024; 14(2):182. https://doi.org/10.3390/agriculture14020182
Chicago/Turabian StyleMan, Xiaolan, Long Li, Xiuwen Fan, Hong Zhang, Haipeng Lan, Yurong Tang, and Yongcheng Zhang. 2024. "Drying Kinetics and Mass Transfer Characteristics of Walnut under Hot Air Drying" Agriculture 14, no. 2: 182. https://doi.org/10.3390/agriculture14020182
APA StyleMan, X., Li, L., Fan, X., Zhang, H., Lan, H., Tang, Y., & Zhang, Y. (2024). Drying Kinetics and Mass Transfer Characteristics of Walnut under Hot Air Drying. Agriculture, 14(2), 182. https://doi.org/10.3390/agriculture14020182

