Bamboo Biochar and Zinc Oxide Nanoparticles Improved the Growth of Maize (Zea mays L.) and Decreased Cadmium Uptake in Cd-Contaminated Soil
Abstract
1. Introduction
2. Materials and Methods
2.1. Materials and Field Experiment
2.2. Experimental Setup
2.3. Plant Harvesting
2.4. Determination of Chlorophyll and Gas-Exchange Parameters
2.5. Determination of Electrolyte Leakage (EL) and Antioxidant Enzymes
2.6. Determination of Cd and Zn Concentrations
2.7. Statistical Analysis
3. Results
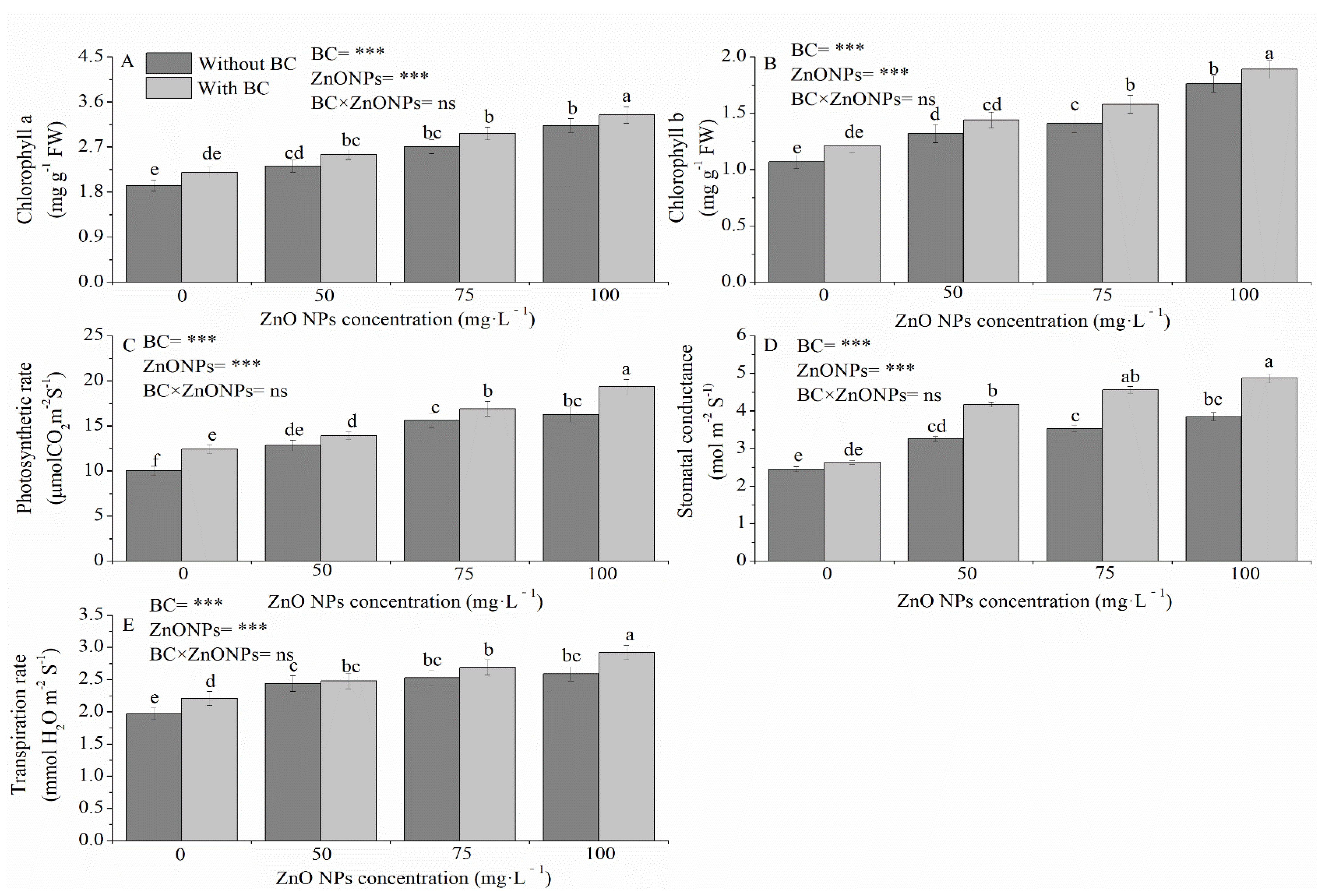
3.1. Plant Growth and Photosynthesis
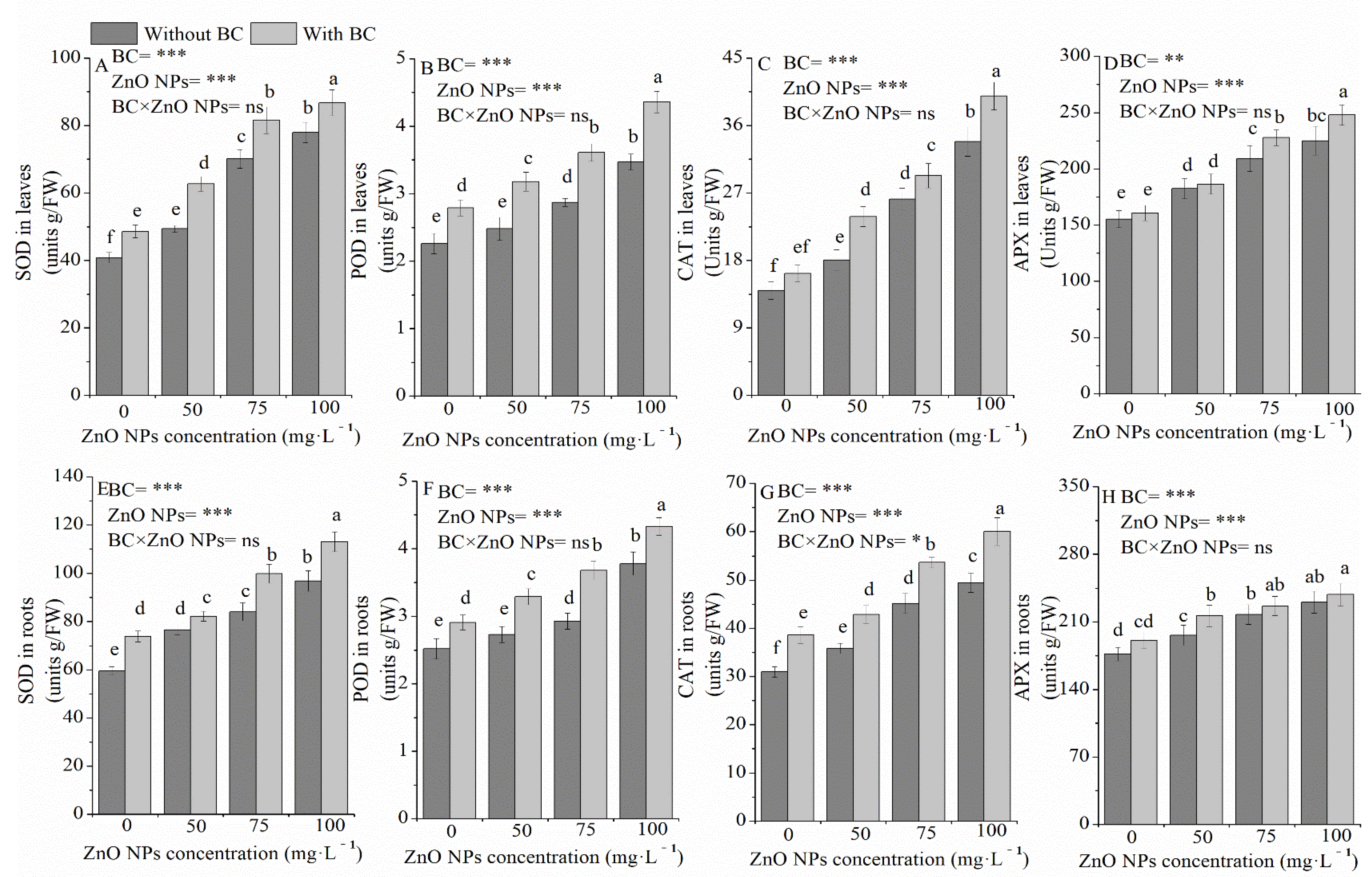
3.2. Oxidative Stress and Antioxidant Enzymes of Maize Leaves and Roots
3.3. Antioxidant Enzymes of Maize Leaves and Roots
3.4. Cadmium and Zn Concentrations in Plants and Post Soil Analysis
3.5. Soil Bioavailable Cd and pH after Harvesting the Maize
3.6. Correlation Analysis
4. Discussion
5. Conclusions
Author Contributions
Funding
Institutional Review Board Statement
Informed Consent Statement
Data Availability Statement
Conflicts of Interest
References
- Mahmood, A.; Mahmoud, A.H.; El-Abedein, A.I.Z.; Ashraf, A.; Almunqedhi, B.M. A comparative study of metals concentration in agricultural soil and vegetables irrigated by wastewater and tube well water. J. King Saud Univ. Sci. 2020, 32, 1861–1864. [Google Scholar] [CrossRef]
- Murtaza, G.; Javed, W.; Hussain, A.; Wahid, A.; Murtaza, B.; Owens, G. Metal uptake via phosphate fertilizer and city sewage in cereal and legume crops in Pakistan. Environ. Sci. Pollut. Res. 2015, 22, 9136–9147. [Google Scholar] [CrossRef]
- Babak, B.; Madjid, D.; Miklas, S. Response of vegetables to cadmium-enriched soil. Water 2014, 6, 1246–1256. [Google Scholar]
- Chen, H.; Teng, Y.; Lu, S.; Wang, Y.Y.; Wang, J.S. Contamination features and health risks of soil heavy metals in China. Sci. Total Environ. 2015, 512, 143–153. [Google Scholar] [CrossRef] [PubMed]
- Yin, D.; Wang, X.; Peng, B.; Tan, C.; Ma, L.Q. Effect of biochar and Fe-biochar on Cd and As mobility and transfer in soil-rice system. Chemosphere 2017, 186, 928–937. [Google Scholar] [CrossRef] [PubMed]
- Ali, B.; Gill, R.A.; Yang, S.; Gill, M.B.; Farooq, M.A.; Liu, D.; Daud, M.K.; Ali, S.; Zhou, W. Regulation of cadmium-induced proteomic and metabolic changes by 5- aminolevulinic acid in leaves of Brassica napus L. PLoS ONE 2015, 10, e0123328. [Google Scholar] [CrossRef]
- Rehman, M.Z.; Rizwan, M.; Ali, S.; Fatima, N.; Yousaf, B.; Naeem, A.; Sabir, M.; Ahmad, H.R.; Ok, Y.S. Contrasting effects of biochar, compost and farm manure on alleviation of nickel toxicity in maize (Zea mays L.) in relation to plant growth, photosynthesis and metal uptake. Ecotoxicol. Environ. Saf. 2016, 133, 218–225. [Google Scholar] [CrossRef]
- Wang, L.; Chen, W.; Zhou, W. Assessment of future drought in Southwest China based on CMIP5 multimodel projections. Adv. Atmos. Sci. 2014, 31, 1035–1050. [Google Scholar] [CrossRef]
- Rizwan, M.; Ali, S.; Hussain, A.; Ali, Q.; Shakoor, M.B.; Rehman, M.Z.; Farid, M.; Asma, M. Effect of zinc-lysine on growth, yield and cadmium uptake in wheat (Triticum aestivum L.) and health risk assessment. Chemosphere 2017, 187, 35–42. [Google Scholar] [CrossRef]
- Li, Y.; Shen, F.; Guo, H.; Wang, Z.; Yang, G.; Wang, L.; Zhang, Y.; Zeng, Y.; Deng, S. Phytotoxicity assessment on corn stover biochar, derived from fast pyrolysis, based on seed germination, early growth, and potential plant cell damage. Environ. Sci. Pollut. Res. 2015, 22, 9534–9543. [Google Scholar] [CrossRef]
- Roberts, D.A.; Paul, N.A.; Dworjanyn, S.A.; Bird, M.I.; Nys, R.D. Biochar from commercially cultivated seaweed for soil amelioration. Sci. Rep. 2015, 51, 9665. [Google Scholar] [CrossRef] [PubMed]
- Ma, J.Y.; Ni, X.; Huang, Q.Y.; Liu, D.; Ye, Z.Q. Effect of bamboo biochar on reducing grain cadmium content in two contrasting wheat genotypes. Environ. Sci. Pollut. Res. 2021, 28, 17405–17416. [Google Scholar] [CrossRef] [PubMed]
- Liu, Y.X.; Wang, Y.Y.; Lu, H.H.; Lonappan, L.S.; Satinder, K.B.; He, L.L.; Chen, J.Y.; Yang, S.M. Biochar application as a soil amendment for decreasing cadmium availability in soil and accumulation in Brassica chinensis. J. Soils Sediments 2018, 18, 2511–2519. [Google Scholar] [CrossRef]
- Kim, H.S.; Kim, K.R.; Kim, H.J.; Yoon, J.H.; Yang, J.E.; Ok, Y.S.; Owens, G.; Kim, K.H. Effect of biochar on heavy metal immobilization and uptake by lettuce (Lactuca sativa L.) in agricultural soil. Environ. Earth Sci. 2015, 74, 1249–1259. [Google Scholar] [CrossRef]
- Xu, Z.Y.; Tang, M.; Chen, H.; Ban, Y.H.; Zhang, H.H. Microbial community structure in the rhizosphere of Sophora viciifolia grown at a lead and zinc mine of northwest China. Sci. Total Environ. 2012, 435–436, 453–464. [Google Scholar] [CrossRef] [PubMed]
- Irshad, M.A.; Nawaz, R.; Rehman, M.Z.; Imran, M.; Ahmad, M.J.; Ahmad, S.; Inaam, A.; Razzaq, A.; Rizwan, M.; Ali, S. Synthesis and characterization of titanium dioxide nanoparticles by chemical and green methods and their antifungal activities against wheat rust. Chemosphere 2020, 258, 127352. [Google Scholar] [CrossRef]
- Shankar, L.; Raskar, S. Influence of zinc oxide nanoparticles on growth, flowering and seed productivity in onion. Int. J. Curr. Microbiol. Appl. Sci. 2014, 3, 874–881. [Google Scholar]
- Mukherjee, A.; Peralta-Videa, J.R.; Bandyopadhyay, S.; Rico, C.M.; Zhao, L.; Gardea-Torresdey, J.L. Physiological effects of nanoparticulate ZnO in green peas (Pisum sativum L.) cultivated in soil. Metallomics 2014, 6, 132–138. [Google Scholar] [CrossRef]
- Rezaei, M.; Abbasi, H. Foliar application of nano-chelate and non-nanochelate of zinc on plant resistance physiological processes in cotton (Gossipium hirsutum L.). Iran. J. Plant Physiol. 2014, 4, 1137–1144. [Google Scholar]
- Soliman, A.S.; El-feky, S.A.; Darwish, E. Alleviation of salt stress on Moringa peregrina using foliar application of nanofertilizers. J. Hortic. For. 2015, 7, 36–47. [Google Scholar]
- Hussain, A.; Ali, S.; Rizwan, M.; Rehman, M.Z.; Javed, M.R.; Imran, M.; Chatha, S.A.S.; Nazir, R. Zinc oxide nanoparticles alter the wheat physiological response and reduce the cadmium uptake by plants. Environ. Pollut. 2018, 242, 1518–1526. [Google Scholar] [CrossRef] [PubMed]
- Venkatachalam, P.; Jayaraj, M.; Manikandan, R.; Geetha, N.; Rene, E.R.; Sharma, N.C.; Sahi, S.V. Zinc oxide nanoparticles (ZnONPs) alleviate heavy metal-induced toxicity in Leucaena leucocephala seedlings: A physiochemical analysis. Plant Physiol. Biochem. 2017, 110, 59–69. [Google Scholar] [CrossRef] [PubMed]
- Bashir, A.; ur Rehman, M.Z.; Hussaini, K.M.; Adrees, M.; Qayyum, M.F.; Sayal, A.U.; Rizwan, M.; Ali, S.; Alsahli, A.A.; Alyemeni, M.N. Combined use of zinc nanoparticles and co-composted biochar enhanced wheat growth and decreased Cd concentration in grains under Cd and drought stress: A field study. Environ. Technol. Innov. 2021, 23, 101518. [Google Scholar] [CrossRef]
- Haripriya, P.; Stella, P.M.; Anusuya, S. Foliar Spray of Zinc Oxide Nanoparticles Improves Salt Tolerance in Finger Millet Crops under Glasshouse Condition. Sciol Biotechnol. 2018, 1, 20–29. [Google Scholar]
- Mallikarjuna, M.G.; Thirunavukkarasu, N.; Hossain, F.; Bhat, J.S.; Jha, S.K.; Rathore, A.; Agrawal, P.K.; Pattanayak, A.; Reddy, S.S.; Gularia, S.K.; et al. Stability performance of inductively coupled plasma mass spectrometry-phenotyped kernel minerals concentration and grain yield in maize in different agro-climatic zones. PLoS ONE 2015, 10, 0139067. [Google Scholar]
- Gupta, H.S.; Hossain, F.; Nepolean, T.; Vignesh, M.; Mallikarjuna, M.G. Understanding genetic and molecular bases of Fe and Zn accumulation towards development of micronutrient-enriched maize. In Nutrient Use Efficiency: From Basics to Advances; Rakshit, A., Singh, H., Sen, A., Eds.; Springer India: New Delhi, India, 2015; pp. 255–282. [Google Scholar]
- Lichtenthaler, H.K. Chlorophylls and carotenoids-pigments of photosynthetic biomembranes. In Methods in Enzymology; Colowick, S.P., Kaplan, N.O., Eds.; Academic Press: San Diego, CA, USA, 1987; Volume 148, pp. 350–382. [Google Scholar]
- Dionisio-Sese, M.L.; Tobita, S. Antioxidant responses of rice seedlings to salinity stress. Plant Sci. 1998, 135, 1–9. [Google Scholar] [CrossRef]
- Zou, Q. Experimental Guidance in Plant Physiology; China Agricultural Press: Beijing, China, 2000; pp. 161–167. [Google Scholar]
- Nakanoy, Y.; Asada, K. Hydrogen peroxide is scavenged by ascorbate-specific peroxidase in spinach chloroplasts. Plant Cell Physiol. 1981, 22, 867–880. [Google Scholar]
- Sharma, P.; Yadav, P.; Ghosh, C.; Singh, B. Heavy Metal Capture from the Suspended Particulate Matter by Morus Alba and Evidence of Foliar Uptake and Translocation of PM Associated Zinc Using Radiotracer (65zn). Chemosphere 2020, 254, 126863. [Google Scholar] [CrossRef]
- Zheljazkov, V.D.; Nielsen, N.E. Effect of Heavy Metals o Peppermint and Cornmint. Plant Soil 1996, 178, 59–66. [Google Scholar] [CrossRef]
- Abbas, T.; Rizwan, M.; Ali, S.; Adrees, M.; Mahmood, A.; Rehman, M.Z.; Ibrahim, M.; Arshad, M.; Qayyum, M.F. Biochar application increased the growth and yield and reduced cadmium in drought stressed wheat grown in an aged contaminated soil. Ecotoxicol. Environ. Saf. 2018, 148, 825–833. [Google Scholar] [CrossRef]
- Bayçu, G.; Gevrek-Kürüm, N.; Moustaka, J.; Csatári, I.; Rognes, S.E.; Moustakas, M. Cadmium-zinc accumulation and photosystem II responses of Noccaea caerulescens to Cd and Zn exposure. Environ. Sci. Pollut. Res. 2017, 3, 2840–2850. [Google Scholar] [CrossRef] [PubMed]
- Aujum, S.A.; Tanveer, M.; Hussain, S.; Ullah, E.; Wang, L.C.; Kham, I.; Samad, R.A.; Tung, S.A.; Anam, M.; Shahzad, B. Morpho-physiological growth and yield responses of two contrasting maize cultivars to cadmium exposure. Clean-Soil Air Water 2016, 44, 29–36. [Google Scholar]
- Pullagurala, V.L.R.; Adisa, I.O.; Rawat, S.; Kalagara, S.; Hernandez-Viezcas, J.A.; Peralta-Videa, J.R.; Gardea-Torresdey, J.L. ZnO nanoparticles increase photosynthetic pigments and decrease lipid peroxidation in soil grown cilantro (Coriandrum sativum). Plant Physiol. Biochem. 2018, 132, 120–127. [Google Scholar] [CrossRef]
- Dimkpa, C.O.; White, J.C.; Elmer, W.H.; Gardea-Torresdey, J. Nanoparticle and ionic Zn promote nutrient loading of sorghum grain under low NPK fertilization. J. Agric. Food Chem. 2017, 65, 8552–8559. [Google Scholar] [CrossRef]
- Rao, S.; Shekhawat, G.S. Toxicity of ZnO engineered nanoparticles and evaluation of their effect on growth, metabolism and tissue specific accumulation in Brassica juncea. J. Environ. Chem. Eng. 2014, 2, 105–114. [Google Scholar] [CrossRef]
- Huang, G.; Ding, C.; Zhou, Z.; Zhang, T.; Wang, X. A tillering application of zinc fertilizer based on basal stabilization reduces Cd accumulation in rice (Oryza sativa L.). Ecotoxicological Environ. Saf. 2019, 167, 338–344. [Google Scholar] [CrossRef] [PubMed]
- Khan, Z.S.; Rizwan, M.; Hafeez, M.; Ali, S.; Javed, M.R.; Adrees, M. The accumulation of cadmium in wheat (Triticum aestivum) as influenced by zinc oxide nanoparticles and soil moisture conditions. Environ. Sci. Pollut. Res. 2019, 26, 19859–19870. [Google Scholar] [CrossRef]
- Li, C.; Wang, P.; Lombi, E.; Cheng, M.; Tang, C.; Howard, D.L.; Menzies, N.W.; Kopittke, P.M. Absorption of foliar-applied Zn fertilizers by trichomes in soybean and tomato. J. Exp. Bot. 2018, 69, 2717–2729. [Google Scholar] [CrossRef]
- Read, T.L.; Doolette, C.L.; Li, C.; Schjoerring, J.K.; Kopittke, P.M.; Donner, E.; Lombi, E. Optimising the foliar uptake of zinc oxide nanoparticles: Do leaf surface properties and particle coating affect absorption? Physiol. Plant 2020, 170, 384–397. [Google Scholar] [CrossRef]
- Ditta, A.; Arshad, M. Applications and perspectives of using nanomaterials for sustainable plant nutrition. Nanotechnol. Rev. 2016, 5, 209–229. [Google Scholar] [CrossRef]
- Monreal, C.M.; DeRosa, M.; Mallubhotla, S.C.; Bindraban, P.S.; Dimkpa, C. Nanotechnologies for increasing the crop use efficiency of fertilizer-micronutrients. Biol. Fertil. Soils 2016, 52, 423–437. [Google Scholar] [CrossRef]
- Seshadri, B.; Bolan, N.S.; Wijesekara, H.; Kunhikrishnan, A.; Thangarajan, R.; Qi, F.; Matheyarasu, R.; Rocco, C.; Mbene, K.; Naidu, R. Phosphorus–cadmium interactions in paddy soils. Geoderma 2016, 270, 43–59. [Google Scholar] [CrossRef]
- Cui, L.Q.; Pan, G.X.; Li, L.Q.; Bian, R.J.; Liu, X.Y.; Yan, J.L.; Quan, G.X.; Ding, C.; Chen, T.M.; Liu, Y.; et al. Continuous immobilization of cadmium and lead in biocharamended contaminated paddy soil: A five-year field experiment. Ecol. Eng. 2016, 93, 1–8. [Google Scholar] [CrossRef]
- Shi, J.; Ye, J.; Fang, H.; Zhang, S.; Xu, C. Effects of Copper Oxide Nanoparticles on Paddy Soil Properties and Compoents. Nanomater 2018, 8, 839. [Google Scholar] [CrossRef]
- Cullen, L.G.; Tilston, E.L.; Mitchell, G.R.; Collins, C.D.; Shaw, L.J. Assessing the impact of nano-and micro-scale zerovalent iron particles on soil microbial activities: Particle reactively interferes with assay conditions and interpretation of genuine microbial effects. Chemosphere 2011, 82, 1675–1682. [Google Scholar] [CrossRef]





| Treatments | Plant Height (cm) | Spike Height (cm) | Spike Length (cm) | Spike Width (cm) | Shoot Dry Weight (g) | Root Dry Weight (g) |
|---|---|---|---|---|---|---|
| CK | 150.72 ± 4.51 e | 58.51 ± 1.63 e | 18.37 ± 1.35 f | 3.79 ± 0.13 e | 23.68 ± 1.15 d | 6.45 ± 0.25 c |
| T1 | 167.58 ± 4.08 cd | 67.34 ± 1.17 cd | 19.89 ± 1.08 ef | 4.01 ± 0.25 ef | 27.04 ± 1.77 cd | 6. 94 ± 0.24 bc |
| T2 | 174.04 ± 5.86 bc | 70.01 ± 2.82 cd | 21.56 ± 1.21 e | 4.71 ± 0.18 d | 29.61 ± 1.94 bc | 7.66 ± 0.33 ab |
| T3 | 185.92 ± 5.42 ab | 80.38 ± 2.77 c | 27.75 ± 1.07 d | 5.12 ± 0.12 cd | 32.14 ± 1.09 b | 7.78 ± 0.26 a |
| T4 | 192.26 ± 6.09 ab | 87.55 ± 2.51 bc | 31.48 ± 1.25 cd | 5.84 ± 0.21 cd | 36.18 ± 1.66 b | 8.54 ± 0.44 ab |
| T5 | 186.45 ± 5.09 ab | 77.46 ± 2.78 bc | 25.48 ± 1.32 bc | 5.05 ± 0.27 bc | 31.88 ± 1.31 ab | 8.13 ± 0.47 a |
| T6 | 198.49 ± 4.55 ab | 83.47 ± 2.07 ab | 29.31 ± 1.11 ab | 5.63 ± 0.18 abc | 34.95 ± 1.08 ab | 8.35 ± 0.37 a |
| T7 | 211.77 ± 5.66 a | 91.93 ± 2.83 a | 33.53 ± 1.24 a | 6.23 ± 0.28 a | 39.94 ± 1.08 a | 8.79 ± 0.67 a |
| BC | 0.000 *** | 0.025 ** | 0.000 *** | 0.048 ** | 0.027 ** | 0.000 *** |
| ZnO NPs | 0.036 ** | 0.047 ** | 0.000 *** | 0.000 *** | 0.024 ** | 0.041 ** |
| BC × ZnO NPs | ns | ns | ns | ns | ns | ns |
| Treatments | 0 (mg·L−1) | 50 (mg·L−1) | 75 (mg·L−1) | 100 (mg·L−1) |
|---|---|---|---|---|
| pH | ||||
| Without biochar | 6.78 ± 0.09 d | 6.87 ± 0.12 cd | 7.03 ± 0.05 bc | 7.14 ± 0.14 ab |
| With biochar | 6.82 ± 0.096 d | 6.98 ± 0.12 cd | 6.95 ± 0.11 bcd | 7.25 ± 0.09 a |
| Cd | ||||
| Without biochar | 0.74 ± 0.07 a | 0.63 ± 0.07 abc | 0.58 ± 0.06 bcd | 0.52 ± 0.08 cd |
| With biochar | 0.71 ± 0.06 ab | 0.57 ± 0.12 bcd | 0.47 ± 0.09 d | 0.43 ± 0.08 d |
Publisher’s Note: MDPI stays neutral with regard to jurisdictional claims in published maps and institutional affiliations. |
© 2022 by the authors. Licensee MDPI, Basel, Switzerland. This article is an open access article distributed under the terms and conditions of the Creative Commons Attribution (CC BY) license (https://creativecommons.org/licenses/by/4.0/).
Share and Cite
Zha, Y.; Zhao, B.; Niu, T. Bamboo Biochar and Zinc Oxide Nanoparticles Improved the Growth of Maize (Zea mays L.) and Decreased Cadmium Uptake in Cd-Contaminated Soil. Agriculture 2022, 12, 1507. https://doi.org/10.3390/agriculture12091507
Zha Y, Zhao B, Niu T. Bamboo Biochar and Zinc Oxide Nanoparticles Improved the Growth of Maize (Zea mays L.) and Decreased Cadmium Uptake in Cd-Contaminated Soil. Agriculture. 2022; 12(9):1507. https://doi.org/10.3390/agriculture12091507
Chicago/Turabian StyleZha, Yan, Bo Zhao, and Tianxin Niu. 2022. "Bamboo Biochar and Zinc Oxide Nanoparticles Improved the Growth of Maize (Zea mays L.) and Decreased Cadmium Uptake in Cd-Contaminated Soil" Agriculture 12, no. 9: 1507. https://doi.org/10.3390/agriculture12091507
APA StyleZha, Y., Zhao, B., & Niu, T. (2022). Bamboo Biochar and Zinc Oxide Nanoparticles Improved the Growth of Maize (Zea mays L.) and Decreased Cadmium Uptake in Cd-Contaminated Soil. Agriculture, 12(9), 1507. https://doi.org/10.3390/agriculture12091507
