Transparent and Black Film Mulching Improve Photosynthesis and Yield of Summer Maize in North China Plain
Abstract
:1. Introduction
2. Materials and Methods
2.1. Research Site and Experimental Design
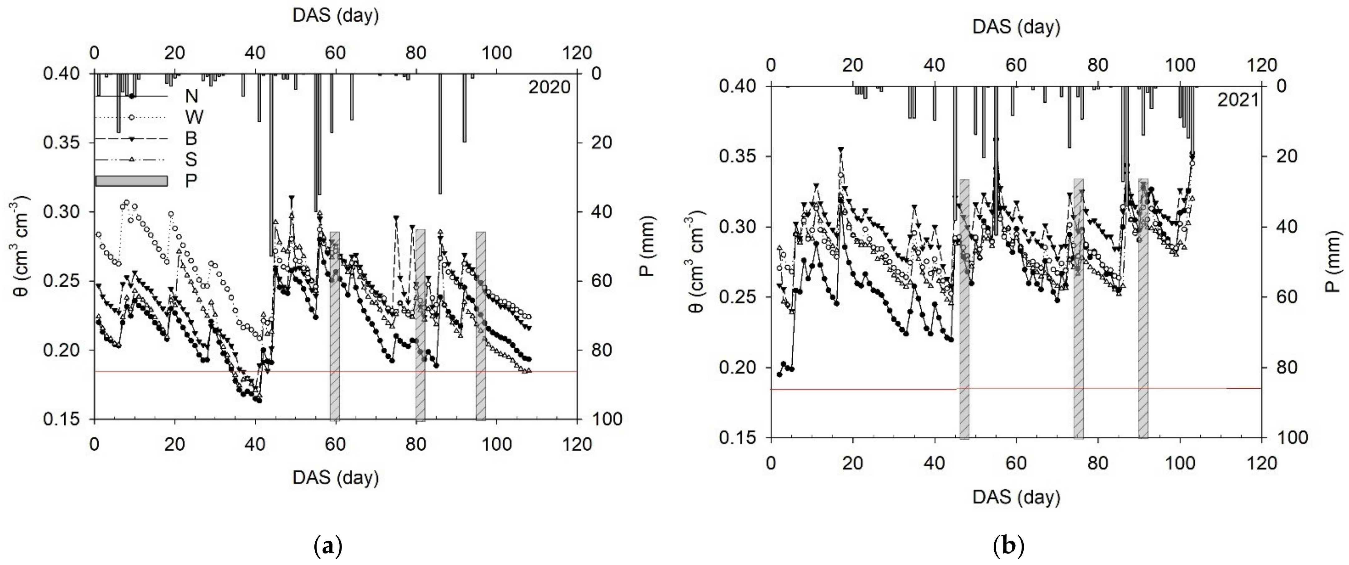
2.2. Soil Water Content and Soil Temperature
2.3. Air Temperature and Relative Humidity
2.4. Photosynthetic Physiological Parameters
2.5. Leaf Area Index and Yield
2.6. Statistical Analysis
3. Results
3.1. Field Microenvironment
3.2. Leaf Area Index
3.3. Yield and Water Use Efficiency
3.4. Photosynthetic Capacity
3.5. Biological Factors of Leaves
3.6. A Comprehensive Evaluation of the Relationship between Factors Affecting Yield
4. Discussion
4.1. Growth and Yield
4.2. Photosynthetic Physiological Parameters
5. Conclusions
Supplementary Materials
Author Contributions
Funding
Data Availability Statement
Acknowledgments
Conflicts of Interest
References
- Ray, D.K.; Mueller, N.D.; West, P.C.; Foley, J.A. Yield trends are Insufficient to double global crop production by 2050. PLoS ONE 2013, 8, e66428. [Google Scholar] [CrossRef] [PubMed] [Green Version]
- Lesk, C.; Rowhani, P.; Ramankutty, N. Influence of extreme weather disasters on global crop production. Nature 2016, 529, 84–87. [Google Scholar] [CrossRef] [PubMed]
- Van Zelm, E.; Zhang, Y.; Testerink, C. Salt tolerance mechanisms of plants. Annu Rev. Plant. Biol. 2020, 71, 403–433. [Google Scholar] [CrossRef] [PubMed] [Green Version]
- Martins, J.D.; Rodrigues, G.C.; Paredes, P.; Carlesso, R.; Oliveira, Z.B.; Knies, A.E.; Petry, M.T.; Pereira, L.S. Dual crop coefficients for maize in southern Brazil: Model testing for sprinkler and drip irrigation and mulched soil. Biosyst. Eng. 2013, 115, 291–310. [Google Scholar] [CrossRef]
- Wang, J.D.; Zhang, Y.Q.; Sui, J.; Zhao, Y.F.; Ma, F.S. Effect of straw mulching and fertilizing on the growth and yield of maize under surface drip irrigation. J. Irrig. Drain. 2016, 35, 1–6. [Google Scholar] [CrossRef]
- Zhang, Y.; Sun, M.H. The Effect of straw mulching coupled with furrow irrigation on root distribution and yield of summer maize. J. Irrig. Drain. 2021, 40, 16–21. [Google Scholar] [CrossRef]
- Chen, Z.J.; Zhang, L.L.; Jiang, H.; Sun, S.J. Effects of plastic film mulching and planting density on soil temperature and maize yield in rain-fed area of Northeast China. Chin. J. Ecol. 2017, 36, 2169–2176. [Google Scholar]
- He, G.; Wang, Z.H.; Hui, X.L.; Huang, T.M.; Luo, L.C. Black film mulching can replace transparent film mulching in crop production. Field Crops Res. 2021, 261, 108026. [Google Scholar] [CrossRef]
- Xu, M.M.; Zhao, Y.F.; Zhang, Y.Q.; Wang, J.D. Effects of adequate drip irrigation with different mulching treatments on spring maize yield and water use efficiency. Water Sav. Irrig. 2020, 12, 1–7. [Google Scholar]
- Yu, Y.Y.; Turner, N.C.; Gong, Y.H.; Li, F.M.; Fang, C.; Ge, L.J.; Ye, J.S. Benefits and limitations to straw- and plastic-film mulch on maize yield and water use efficiency: A meta-analysis across hydrothermal gradients. Eur. J. Agron. 2018, 99, 138–147. [Google Scholar] [CrossRef]
- Hu, Y.; Ju, H.G.; Zhao, X.; Cao, T.H.; Liang, X.H. Effects of different mulching conditions on the yield of middle-late mature maize in the cool area of Eastern Jilin Province. J. Northeast. Agric. Sci. 2019, 44, 20–25, 42. [Google Scholar] [CrossRef]
- Ding, B.; Liang, X.H.; Zhao, X.; Li, S.L.; Sun, R.D. Effect of Different Coverage Methods on Dry Matter Accumulation and Yield of Maize in Low Temperature Cold Zone. Available online: https://kns.cnki.net/kcms/detail/46.1068.S.20210107.1504.010.html (accessed on 18 January 2021).
- Li, Y.Y.; Huang, Z.B.; Huang, S.Y. Response of maize growth and water-photosynthesis characteristic to different combination of air humidity with soil moisture. Bull. Soil Water Conserv. 1999, 19, 23–26. [Google Scholar]
- Wang, D.; Heckathorn, S.A.; Barua, D. Effects of elevated CO2 on the tolerance of photosynthesis to acute heat stress in C3, C4, and CAM species. Am. J. Bot. 2008, 95, 165–176. [Google Scholar] [CrossRef] [PubMed]
- Liu, L.; Hao, L.h.; Li, F.; Guo, L.L.; Zhang, X.X.; He, C.L.; Zheng, Y.P. Effects of CO2 concentration and temperature on leaf photosynthesis and water use efficiency in maize. Trans. Chin. Soc. Agric. Eng. 2020, 36, 122–129. [Google Scholar] [CrossRef]
- Zhou, Q.Y.; Li, M.C.; Qi, D.L.; Huang, C.Y.; Wang, Z.C. Effects of nitrogen rate on physiological characteristics of spring maize under waterlogging at jointing stage. J. Irrig. Drain. 2020, 39, 40–44. [Google Scholar] [CrossRef]
- Wang, C.J.; Zhang, Y.Q.; Wang, J.D.; Xu, D.; Gong, S.H.; Wu, Z.D. Photosynthetic response of water-saving and yield-increasing of mulched drip irrigation for spring maize (Zea mays L.) in northeast China. Trans. Chin. Soc. Agric. Eng. 2019, 35, 90–97. [Google Scholar] [CrossRef]
- Duan, M.; Mao, X.M.; Xu, Z.Q.; Zhao, Y. Effects of water deficit and mulching on leaf gas exchange parameters and yield in seed-maize grain filling stage. J. Drain. Irrig. Mach. Eng. 2018, 36, 1065–1070. [Google Scholar]
- Hikosaka, K. Interspecific difference in the photosynthesis-nitrogen relationship: Patterns, physiological causes, and ecological importance. J. Plant. Res. 2004, 117, 481–494. [Google Scholar] [CrossRef]
- Vos, J.; Putten, P.E.L.v.d.; Birch, C.J. Effect of nitrogen supply on leaf appearance, leaf growth, leaf nitrogen economy and photosynthetic capacity in maize (Zea mays L.). Field Crops Res. 2005, 93, 64–73. [Google Scholar] [CrossRef]
- Zhang, Y.Q.; Wang, J.D.; Gong, S.H.; Xu, D.; Mo, Y. Straw mulching enhanced the photosynthetic capacity of field maize by increasing the leaf N use efficiency. Agric. Water Manag. 2019, 218, 60–67. [Google Scholar] [CrossRef]
- Zhang, Y.Q.; Wang, J.D.; Gong, S.H.; Sui, J. Photosynthetic response of yield enhancement by nitrogen fertilization in winter wheat fields with drip irrigation. Trans. Chin. Soc. Agric. Eng. 2017, 31, 170–177. [Google Scholar] [CrossRef]
- Flexas, J.; Medrano, H. Drought-inhibition of photosynthesis in C3 plants: Stomatal and non-stomatal limitations revisited. Ann. Bot 2002, 89, 183–189. [Google Scholar] [CrossRef] [PubMed] [Green Version]
- Pinheiro, C.; Chaves, M.M. Photosynthesis and drought: Can we make metabolic connections from available data? J. Exp. Bot 2011, 62, 869–882. [Google Scholar] [CrossRef] [PubMed] [Green Version]
- Von Caemmerer, S. Biochemical Models of Leaf Photosynthesis; CSIRO Publishing: Victoria, Australia, 2000. [Google Scholar]
- Tatsumi, K.; Kuwabara, Y.; Motobayashi, T. Monthly variability in the photosynthetic capacities, leaf mass per area and leaf nitrogen contents of rice (Oryza sativa L.) plants and their correlations. J. Agric. Meteorol. 2019, 75, 111–119. [Google Scholar] [CrossRef] [Green Version]
- Miner, G.L.; Bauerle, W.L. Seasonal responses of photosynthetic parameters in maize and sunflower and their relationship with leaf functional traits. Plant. Cell Environ. 2019, 42, 1561–1574. [Google Scholar] [CrossRef] [PubMed]
- Zhang, Y.S.; Yu, Z.R.; Driessen, P.M. Growing degree-days requirements for plant and leaf development of summer maize (Zea mays)—An experimental and simulation study. Chin. J. Appl. Ecol. 2001, 12, 561–565. [Google Scholar]
- Liu, Y.; Li, Y.F.; Li, J.S.; Yan, H.J. Effects of mulched drip irrigation on water and heat conditions in field and maize yield in sub-humid region of Northeast China. Trans. Chin. Soc. Agric. 2015, 46, 93–104. [Google Scholar]
- Sun, S.J.; Chen, Z.J.; Jiang, H.; Zhang, L.L. Black film mulching and plant density influencing soil water temperature conditions and maize root growth. Vadose Zone J. 2018, 17, 1–12. [Google Scholar] [CrossRef] [Green Version]
- Yang, Y.H.; Ding, J.L.; Zhang, Y.H.; Wu, J.C.; Zhang, J.M.; Pan, X.Y.; Gao, C.; Wang, Y.; He, F. Effects of tillage and mulching measures on soil moisture and temperature, photosynthetic characteristics and yield of winter wheat. Agric. Water Manag. 2018, 201, 299–308. [Google Scholar] [CrossRef]
- Allen, R.G.; Pereira, L.S.; Raes, D.; Smith, M. Crop. Evapotranspiration-Guidelines for Computing Crop. Water Requirements—FAO Irrigation and Drainage Paper 56; Food and Agriculture Organization of the United Nations: Rome, Italy, 1998. [Google Scholar]
- Yang, W.B. Effect of soil accumulative temperature on growt and development of root system and above-ground part of maize in plastic dilm mulched field. Acta Phytoecol. ET Geobot. Sin. 1989, 13, 282–288. [Google Scholar]
- Sun, S.J.; Jiang, H.; Chen, Z.J.; Zhu, Z.C. Effects of surface-layer accumulated temperature on major growth traits of spring maize when un-mulched or under clear or black plastic film mulches. Acta Prataculturae Sinica. 2019, 28, 61–72. [Google Scholar]
- Otegui, M. Growth, water use, and kernel abortion of maize subjected to drought at silking. Field Crops Res. 1995, 40, 87–94. [Google Scholar] [CrossRef]
- Puntel, L.A. Field Characterization of Maize Photosynthesis Response to Light and Leaf Area Index under Different Nitrogen Levels: A Modeling Approach. Master’s Thesis, Crop Production and Physiology Department, Iowa State University, Ames, IA, USA, 2012. [Google Scholar]
- Steduto, P.; Hsiao, T.C. Maize canopies under two soil water regimes II. Seasonal trends of evapotranspiration, carbon dioxide assimilation and canopy conductance, and as related to leaf area index. Agric. For. Meteorol. 1998, 89, 185–200. [Google Scholar] [CrossRef]
- Zhang, Y.Q.; Wang, J.D.; Gong, S.H.; Xu, D.; Sui, J.; Wu, Z.D.; Mo, Y. Effects of film mulching on evapotranspiration, yield and water use efficiency of a maize field with drip irrigation in Northeastern China. Agric. Water Manag. 2018, 205, 90–99. [Google Scholar] [CrossRef]
- Liao, Q.; Gu, S.; Kang, S.; Du, T.; Tong, L.; Wood, J.D.; Ding, R. Mild water and salt stress improve water use efficiency by decreasing stomatal conductance via osmotic adjustment in field maize. Sci Total Environ. 2022, 805, 150364. [Google Scholar] [CrossRef]
- Perdomo, J.A.; Carmo-Silva, E.; Hermida-Carrera, C.; Flexas, J.; Galmes, J. Acclimation of biochemical and diffusive components of photosynthesis in rice, wheat, and maize to heat and water deficit: Implications for Modeling Photosynthesis. Front. Plant. Sci. 2016, 7, 1719. [Google Scholar] [CrossRef] [Green Version]
- Wang, S.; Guan, K.; Wang, Z.; Ainsworth, E.A.; Zheng, T.; Townsend, P.A.; Li, K.; Moller, C.; Wu, G.; Jiang, C. Unique contributions of chlorophyll and nitrogen to predict crop photosynthetic capacity from leaf spectroscopy. J. Exp. Bot 2021, 72, 341–354. [Google Scholar] [CrossRef]
- Yendrek, C.R.; Tomaz, T.; Montes, C.M.; Cao, Y.; Morse, A.M.; Brown, P.J.; McIntyre, L.M.; Leakey, A.D.; Ainsworth, E.A. High-throughput phenotyping of maize leaf physiological and biochemical traits using hyperspectral reflectance. Plant. Physiol 2017, 173, 614–626. [Google Scholar] [CrossRef]
- Wang, C.J.; Zhang, Y.Q.; Wang, J.D.; Xu, D.; Gong, S.H.; Wu, Z.D.; Mo, Y.; Zhang, Y.Y. Plastic film mulching with drip irrigation promotes maize (Zea mays L.) yield and water-use efficiency by improving photosynthetic characteristics. Arch. Agron. Soil Sci. 2020, 67, 191–204. [Google Scholar] [CrossRef]
- Wang, J.D.; Zhang, Y.Q.; Gong, S.H.; Xu, D.; Juan, S.; Zhao, Y.F. Evapotranspiration, crop coefficient and yield for drip-irrigated winter wheat with straw mulching in North China Plain. Field Crops Res. 2018, 217, 218–228. [Google Scholar] [CrossRef]
- Xiao, L.G.; Zhao, R.Q.; Kuhn, N.J. Straw mulching is more important than no tillage in yield improvement on the Chinese Loess Plateau. Soil Tillage Res. 2019, 194, 104314. [Google Scholar] [CrossRef]







| Years | Times | Growth Stages | Date | Irrigation (mm) | Nutrients (kg/ha) | ||
|---|---|---|---|---|---|---|---|
| N | P2O5 | K2O | |||||
| 2020 | 1 | Jointing stage | 8/1 | 5 | 156 | 108 | 135 |
| 2 | Tasseling period | 8/16 | 5 | 48 | 27 | ||
| 3 | Filling stage | 9/13 | 5 | 36 | |||
| Total | 15 | 240 | 135 | 135 | |||
| 2021 | 1 | Seedling stage | 6/27 | 50 | |||
| 2 | Jointing stage | 8/2 | 5 | 156 | 108 | 135 | |
| 3 | Tasseling period | 8/22 | 5 | 84 | 27 | ||
| Total | 60 | 240 | 135 | 135 | |||
| Years | Treatments | Ear Length (cm) | Ear Diameter (mm) | Kernels/ear | Hundred Kernel Mass (g) | Yield (t/ha) |
|---|---|---|---|---|---|---|
| 2020 | CK | 19.43 | 54.29a | 481.29b | 33.32ab | 12.58b |
| W | 19.25 | 54.38a | 501.63a | 34.24a | 13.48a | |
| B | 19.25 | 54.13a | 505.50a | 33.95a | 13.47a | |
| S | 19.25 | 53.5b | 489.38ab | 32.39b | 12.44b | |
| p value | 0.903 | 0.064 | 0.073 | 0.052 | 0.027 | |
| 2021 | CK | 17.63 | 49.63 | 410.75b | 27.35bc | 10.37b |
| W | 18.00 | 49.5 | 462.13a | 27.97ab | 11.40a | |
| B | 17.75 | 49.75 | 445.50a | 28.43a | 11.66a | |
| S | 17.50 | 49.38 | 409.50b | 26.62c | 10.16b | |
| p value | 0.455 | 0.905 | <0.001 | 0.007 | 0.001 |
| Years | Parameters | Treatments | Jointing Stage | Filling Stage | Mature Stage |
|---|---|---|---|---|---|
| 2020 | Vmax | CK | 42.7 ± 2.4a | 40.9 ± 4.7 | 30.2 ± 5.7 |
| (µmol m⁻2 s⁻¹) | W | 44.2 ± 4.7ab | 42.3 ± 3.6 | 33.5 ± 3.1 | |
| B | 50.2 ± 1.8c | 39.4 ± 3.5 | 36.6 ± 4.4 | ||
| S | 47 ± 3.9bc | 40.5 ± 4.5 | 35.1 ± 5.3 | ||
| p value | 0.005 | 0.723 | 0.186 | ||
| Vpmax | CK | 123.6 ± 19.6 | 115.4 ± 16.7 | 104.3 ± 16.1 | |
| (µmol m⁻2 s⁻¹) | W | 120.3 ± 25.4 | 121.7 ± 20.9 | 96.2 ± 18.6 | |
| B | 142.8 ± 15.4 | 120.8 ± 18.2 | 103.8 ± 14.4 | ||
| S | 134.1 ± 24.1 | 116.2 ± 8.5 | 116.3 ± 11.2 | ||
| p value | 0.281 | 0.905 | 0.328 | ||
| 2021 | Vmax | CK | 41.7 ± 6.3a | 39.4 ± 1.8 | 27.9 ± 1.8a |
| (µmol m⁻2 s⁻¹) | W | 48.9 ± 3.0b | 36.4 ± 4.7 | 31.5 ± 3.3bc | |
| B | 47.0 ± 0.9b | 38.6 ± 3.6 | 29.6 ± 3.0ab | ||
| S | 47.0 ± 4.1b | 38.0 ± 5.5 | 33.1 ± 4.3c | ||
| p value | 0.066 | 0.685 | 0.033 | ||
| Vpmax | CK | 173.1 ± 35.3 | 126.3 ± 3.4 | 98.4 ± 8.7 | |
| (µmol m⁻2 s⁻¹) | W | 222.9 ± 45.5 | 122.5 ± 20.4 | 92.0 ± 15.7 | |
| B | 191.5 ± 41.3 | 113.4 ± 15.0 | 94.7 ± 22.7 | ||
| S | 195.3 ± 35.7 | 111.9 ± 19.3 | 109.0 ± 25.2 | ||
| p value | 0.296 | 0.429 | 0.386 |
| Years | Parameters | Treatments | Jointing Stage | Filling Stage | Mature Stage |
| 2020 | LMA | CK | 21.2 ± 3.29 | 33.8 ± 1.12 | 33.7 ± 0.8 |
| (g/m2) | W | 23.3 ± 5.57 | 32.7 ± 0.94 | 35.5 ± 2.29 | |
| B | 24.8 ± 2.66 | 34.4 ± 1.72 | 35.1 ± 2.63 | ||
| S | 21.0 ± 5.78 | 34.5 ± 2.31 | 35.0 ± 2.31 | ||
| p value | 0.49 | 0.29 | 0.48 | ||
| Nmass | CK | 37.3 ± 1.5ab | 34.6 ± 3.0 | 30.9 ± 1.6 | |
| (g/kg) | W | 38.2 ± 0.9a | 35.3 ± 1.9 | 31.3 ± 0.8 | |
| B | 37.5 ± 0.2ab | 33.9 ±1.1 | 30.6 ± 1.2 | ||
| S | 36.6 ± 0.6b | 33.6 ± 2.8 | 30.6 ± 2.6 | ||
| p value | 0.09 | 0.6 | 0.86 | ||
| SPAD | CK | — | 54.4 ± 2.72 | 53.9 ± 3.19ab | |
| W | — | 59.2 ± 3.28 | 57.4 ± 2.94c | ||
| B | — | 57.9 ± 3.58 | 51.1 ± 2.93a | ||
| S | — | 57.9 ± 2.73 | 55.0 ± 3.01bc | ||
| p value | 0.13 | 0.02 | |||
| 2021 | LMA | CK | 25.7 ± 1.86a | 30.9 ± 1.32 | 29.4 ± 1.29a |
| (g/m2) | W | 28.2 ± 1.32b | 30.4 ± 1.41 | 29.1 ± 1.62a | |
| B | 26.1 ± 1.32ab | 32.0 ± 1.01 | 30.1 ± 1.41ab | ||
| S | 27.0 ± 1.57b | 30.7 ± 1.68 | 31.1 ± 1.77b | ||
| p value | 0.02 | 0.27 | 0.15 | ||
| Nmass | CK | 36.7 ± 1.9 | 34.6 ± 0.8ab | 29.6 ± 2.1 | |
| (g/kg) | W | 39.6 ± 4.1 | 35.7 ± 1.8b | 30.5 ± 1.1 | |
| B | 37.3 ± 1.1 | 33.8 ± 1.4a | 29.7 ± 1.7 | ||
| S | 37.1 ± 0.9 | 34.0 ± 0.7a | 29.5 ± 1.0 | ||
| p value | 0.16 | 0.08 | 0.7 | ||
| SPAD | CK | 52.6 ± 3.46 | 58.0 ± 1.30 | 49.2 ± 2.71a | |
| W | 54.8 ± 1.21 | 58.4 ± 3.39 | 53.0 ± 2.01b | ||
| B | 53.2 ± 1.77 | 56.0 ± 2.35 | 49.7 ± 4.94ab | ||
| S | 54.7 ± 2.65 | 57.5 ± 2.48 | 53.0 ± 2.11b | ||
| p value | 0.21 | 0.63 | 0.09 |
| Indicator’s Category | Project | Factors | Unit |
|---|---|---|---|
| Field microenvironment | x1 | θ | cm3cm−3 |
| x2 | Soil temperature | ℃ | |
| Growth index | x3 | LAI | |
| Physiological index | x4 | Maximum rate of carboxylation | µmol m⁻2 s⁻¹ |
| Yield components | x5 | Ear diameter | mm |
| x6 | Kernels per ear |
| Factors | LAI | Soil Temperature | θ | Maximum Carboxylation Rate | Ear Diameter | Kernels Per Ear |
|---|---|---|---|---|---|---|
| Correlation coefficient | 0.995 | 0.972 | 0.972 | 0.894 | 0.876 | 0.36 |
| Correlation rank | 1 | 2 | 3 | 4 | 5 | 6 |
Publisher’s Note: MDPI stays neutral with regard to jurisdictional claims in published maps and institutional affiliations. |
© 2022 by the authors. Licensee MDPI, Basel, Switzerland. This article is an open access article distributed under the terms and conditions of the Creative Commons Attribution (CC BY) license (https://creativecommons.org/licenses/by/4.0/).
Share and Cite
Qin, S.; Zhang, Y.; Wang, J.; Wang, C.; Mo, Y.; Gong, S. Transparent and Black Film Mulching Improve Photosynthesis and Yield of Summer Maize in North China Plain. Agriculture 2022, 12, 719. https://doi.org/10.3390/agriculture12050719
Qin S, Zhang Y, Wang J, Wang C, Mo Y, Gong S. Transparent and Black Film Mulching Improve Photosynthesis and Yield of Summer Maize in North China Plain. Agriculture. 2022; 12(5):719. https://doi.org/10.3390/agriculture12050719
Chicago/Turabian StyleQin, Shanshan, Yanqun Zhang, Jiandong Wang, Chuanjuan Wang, Yan Mo, and Shihong Gong. 2022. "Transparent and Black Film Mulching Improve Photosynthesis and Yield of Summer Maize in North China Plain" Agriculture 12, no. 5: 719. https://doi.org/10.3390/agriculture12050719
APA StyleQin, S., Zhang, Y., Wang, J., Wang, C., Mo, Y., & Gong, S. (2022). Transparent and Black Film Mulching Improve Photosynthesis and Yield of Summer Maize in North China Plain. Agriculture, 12(5), 719. https://doi.org/10.3390/agriculture12050719

