Effect of Sulfur-Enriched Vermicompost on the Growth of Brassica chinensis L. and the Spodoptera litura Fabricius Larvae Feeding
Abstract
:1. Introduction
2. Materials and Methods
2.1. VC, Crop, Soil, and Larvae
2.2. Sulfur Treatment Experiment
2.3. Pot Experiment
2.4. VC, Soil, Plant, and Larvae Analyses
2.5. Statistical Analysis
3. Results and Discussion
3.1. The Properties of the Two VCs
3.2. Sulfur Treatment
3.2.1. The Effect of Sulfur on Soil Properties
3.2.2. The Effect of Sulfur on Pak choi Growth
3.2.3. The Effect of Sulfur on S. litura Larvae
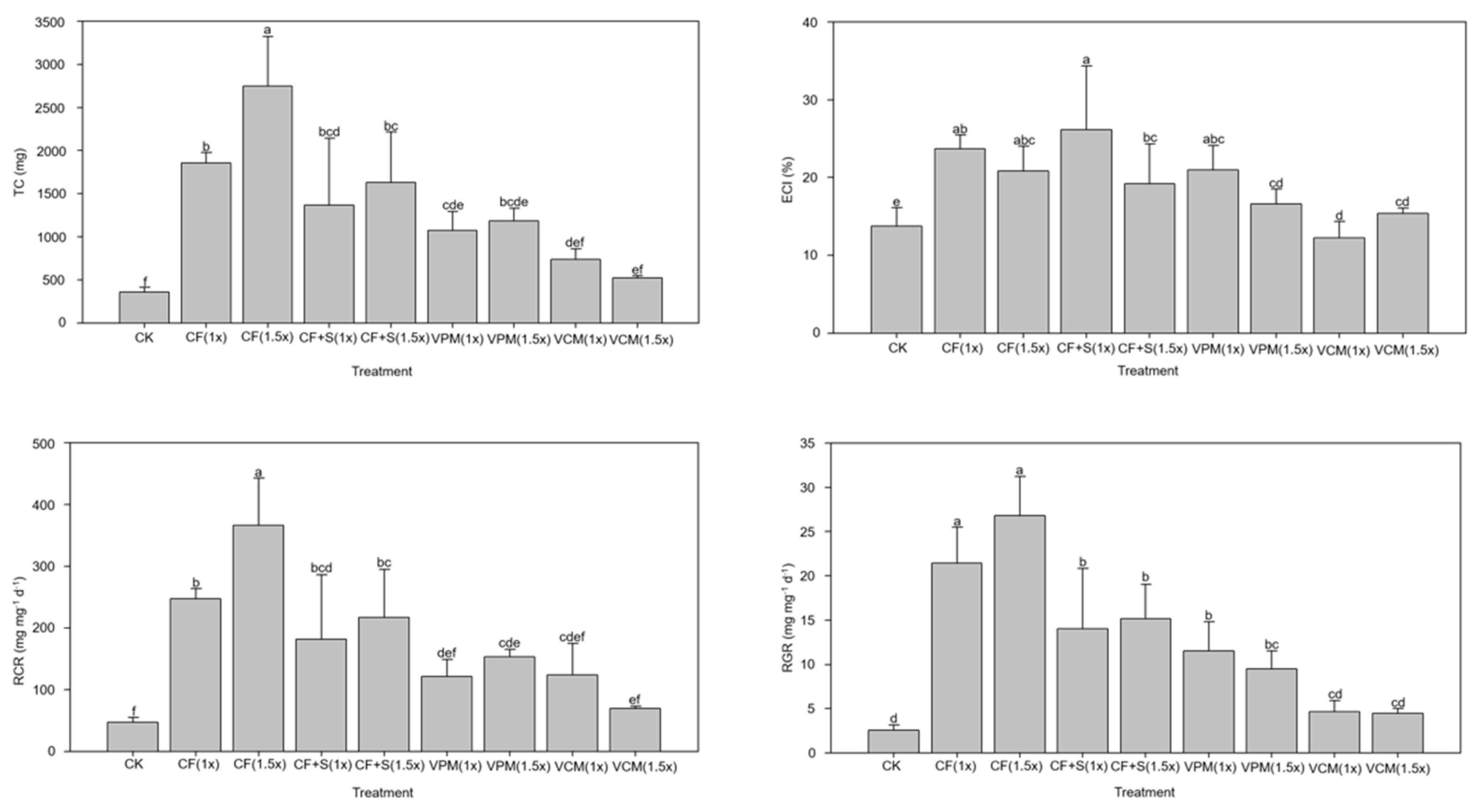
3.2.4. Short-Term Feeding Experiment
3.2.5. The Potential of the VCs to Suppress the Growth of S. litura Larvae
4. Conclusions
Author Contributions
Funding
Acknowledgments
Conflicts of Interest
References
- Hernandez, T.; Chocano, C.; Moreno, J.L.; Garcia, C. Towards a more sustainable fertilization: Combined use of compost and inorganic fertilization for tomato cultivation. Agric. Ecosyst. Environ. 2014, 196, 178–184. [Google Scholar] [CrossRef]
- El-Haddad, M.E.; Zayed, M.S.; El-Sayed, G.A.; Abd EL-Satar, A.M. Efficiency of compost and vermicompost in supporting the growth and chemical constituents of salvia officinalis L. cultivated in sand soil. Int. J. Recycl. Org. Waste Agric. 2020, 9, 49–59. [Google Scholar]
- Joshi, T.N.; Nepali, D.B.; Sah, R.; Bhattarai, T.; Midmore, D.J. A comparison of composting and vermicomposting for the disposal of poultry waste. Anim. Prod. Sci. 2020, 60, 986–992. [Google Scholar] [CrossRef]
- Sinha, R.K. Earthworms: The miracle of nature (Charles Darwin’s ‘unheralded soldiers of mankind & farmer’s friends’). Environmentalist 2009, 29, 339. [Google Scholar]
- Huang, K.; Xia, H.; Cui, G.; Li, F. Effects of earthworms on nitrification and ammonia oxidizers in vermicomposting systems for recycling of fruit and vegetable wastes. Sci. Total Environ. 2017, 578, 337–345. [Google Scholar] [CrossRef] [PubMed] [Green Version]
- Sharma, K.; Garg, V.K. Comparative analysis of vermicompost quality produced from rice straw and paper waste employing earthworm Eisenia foetida (Sav.). Bioresour. Technol. 2018, 250, 708–715. [Google Scholar] [CrossRef] [PubMed]
- Arancon, N.Q.; Edwards, C.A.; Bierman, P.; Metzger, J.D.; Lucht, C. Effects of vermicomposts produced from cattle manure, food waste and paper waste on the growth and yield of peppers in the field. Pedobiologia 2005, 49, 297–306. [Google Scholar] [CrossRef]
- Edwards, C.A.; Arancon, N.; Greytak, S. Effects of vermicompost teas on plant growth and disease. Biocycle 2006, 47, 28–31. [Google Scholar]
- Munroe, G. Manual of on-Farm Vermicomposting and Vermiculture; Publication of Organic Agriculture Centre of Canada: Truro, NS, Canada, 2007. [Google Scholar]
- Blouin, M.; Barrere, J.; Meyer, N.; Lartigue, S.; Barot, S.; Mathieu, J. Vermicompost significantly affects plant growth. A meta-analysis. Agron. Sust. Dev. 2019, 39, 34. [Google Scholar] [CrossRef]
- Yatoo, A.M.; Ali, M.N.; Baba, Z.A.; Hassan, B. Sustainable management of diseases and pests in crops by vermicompost and vermicompost tea. A review. Agron. Sustain. Dev. 2021, 41, 7. [Google Scholar] [CrossRef]
- Edwards, C.A.; Dominguez, J. Biology and ecology of earthworm species used for vermicomposting. In Vermiculture Technology: Earthworms, Organic Waste and Environmental Management; Edwards, C.A., Arancon, N.Q., Sherman, R.L., Eds.; CRC Press Publishing: Boca Raton, FL, USA, 2010; pp. 25–37. [Google Scholar]
- Blouin, M.; Hodson, M.E.; Delgado, E.A.; Baker, G.; Brussaard, L.; Butt, K.R.; Dai, J.; Dendooven, L.; Peres, G.; Tondoh, J.E.; et al. A review of earthworm impact on soil function and ecosystem services. Eur. J. Soil Sci. 2013, 64, 161–182. [Google Scholar] [CrossRef]
- Zhu, F.; Hou, J.T.; Xue, S.G.; Wu, C.; Wang, Q.L.; Hartley, W. Vermicompost and gypsum amendments improve aggregate formation in bauxite residue. Land Degrad. Dev. 2017, 28, 2109–2120. [Google Scholar] [CrossRef] [Green Version]
- Liu, M.L.; Wang, C.; Wang, F.Y.; Xie, Y.J. Vermicompost and humic fertilizer improve coastal saline soil by regulating soil aggregates and the bacterial community. Arch. Agron. Soil Sci. 2019, 65, 281–293. [Google Scholar] [CrossRef]
- Domínguez, J.; Aira, M.; Gómez-Brandón, M. Vermicomposting: Earthworms enhance the work of microbes. In Microbes at Work; Insam, H., Franke-Whittle, I., Goberna, M., Eds.; Springer: Berlin/Heidelberg, Germany, 2010; pp. 93–114. [Google Scholar]
- Yatoo, A.M.; Rasool, S.; Ali, S.; Majid, S.; Rehman, M.U.; Ali, M.N.; Eachkoti, R.; Rasool, S.; Rashid, S.M.; Farooq, S. Vermicomposting: An ecofriendly approach for recycling/management of organic wastes. In Bioremediation and Biotechnology; Springer: Cham, Switerland, 2020; pp. 167–187. [Google Scholar]
- Edwards, C.A.; Subler, S. Comparison of vermicomposting and composting. Biocycle 1997, 38, 57–59. [Google Scholar]
- Basco, M.J.; Bisen, K.; Keswani, C.; Singh, H.B. Biological management of Fusarium wilt of tomato using biofortified vermicompost. Mycosphere 2017, 8, 467–483. [Google Scholar] [CrossRef]
- Sedaghatbaf, R.; Samih, M.A.; Zohdi, H.; Zarabi, M. Vermicomposts of different origins protect tomato plants against the sweetpotato whitefly. Econ. Entomol. 2018, 111, 146–153. [Google Scholar] [CrossRef]
- Falk, K.L.; Tokuhisa, J.G.; Gershenzon, J. The effect of sulfur nutrition on plant glucosinolate content: Physiology and molecular mechanisms. Plant Biol. 2007, 9, 573–581. [Google Scholar] [CrossRef]
- Ahuja, I.; Rohloff, J.; Bones, A.M. Defence mechanisms of Brassicaceae: Implications for plant-insect interactions and potential for integrated pest management. A review. Agron. Sustain. Dev. 2010, 30, 311–348. [Google Scholar] [CrossRef] [Green Version]
- Yardim, E.N.; Arancon, N.Q.; Edwards, C.A.; Oliver, T.J.; Byrne, R.J. Suppression of tomato hornworm (Manduca quinquemaculata) and cucumber beetles (Acalymma vittatum and Diabotrica undecimpunctata) populations and damage by vermicomposts. Pedobiologia 2006, 50, 23–29. [Google Scholar] [CrossRef]
- Fong, C.J.; Chuang, Y.Y.; Lai, H.Y. Effects of amendment with various vermicomposts on the soil fertility, growth of Brassica chinensis L., and resistance of Spodoptera litura Fabricius larvae. Sustainability 2021, 13, 9441. [Google Scholar] [CrossRef]
- Thomas, G.W. Soil pH and soil acidity. In Methods of Soil Analysis: Part 3, SSSA Book Series No. 5, SSSA and ASA; Sparks, D.L., Page, A.L., Helmke, P.A., Loeppert, R.H., Soltanpour, P.N., Tabatabai, M.A., Johnston, C.T., Sumner, M.E., Eds.; SSSA Inc.: Madison, WI, USA; ASA Inc.: Madison, WI, USA, 1996; pp. 475–490. [Google Scholar]
- Rhoades, J.D. Salinity: Electrical conductivity and total dissolved solids. In Methods of Soil Analysis. Part 3. Chemical Methods; Sparks, D.L., Page, A.L., Helmke, P.A., Loeppert, R.H., Soltanpour, P.N., Tabatabai, M.A., Johmston, C.T., Sumner, M.E., Eds.; SSSA Inc.: Madison, WI, USA; ASA Inc.: Madison, WI, USA, 1996; pp. 417–435. [Google Scholar]
- Bremner, J.M. Nitrogen-Total. In Methods of Soil Analysis. Part 3. Chemical Methods; Sparks, D.L., Page, A.L., Helmke, P.A., Loeppert, R.H., Soltanpour, P.N., Tabatabai, M.A., Johmston, C.T., Sumner, M.E., Eds.; SSSA Inc.: Madison, WI, USA; ASA Inc.: Madison, WI, USA, 1996; pp. 1085–1121. [Google Scholar]
- Nelson, D.W.; Sommers, L.E. Total carbon, organic carbon, and organic matter. In Methods of Soil Analysis. Part 3. Chemical Methods; Sparks, D.L., Page, A.L., Helmke, P.A., Loeppert, R.H., Soltanpour, P.N., Tabatabai, M.A., Johmston, C.T., Sumner, M.E., Eds.; SSSA Inc.: Madison, WI, USA; ASA Inc.: Madison, WI, USA, 1996; pp. 961–1010. [Google Scholar]
- Jones, J.B.; Case, V.W. Sampling, handling and analyzing plant tissue samples. In Soil Testing and Plant Analysis, 3rd ed.; Westerman, R.L., Ed.; SSSA Inc.: Madison, WI, USA, 1990; pp. 389–427. [Google Scholar]
- Murphy, J.; Riley, J.P. A modified single solution method for the determination of phosphate in natural waters. Anal. Chim. Acta 1962, 27, 31–36. [Google Scholar] [CrossRef]
- Sparks, D.L.; Page, A.L.; Helmke, P.A.; Loeppert, R.H.; Soltanpour, P.N.; Tabatabai, M.A.; Johmston, C.T.; Sumner, M.E. (Eds.) Methods of Soil Analysis. Part 3. Chemical Methods; SSSA Inc.: Madison, WI, USA; ASA Inc.: Madison, WI, USA, 1996; pp. 869–919. [Google Scholar]
- Tabatabai, M.A. Sulfur. In Methods of Soil Analysis. Part 3. Chemical Methods; Sparks, D.L., Page, A.L., Helmke, P.A., Loeppert, R.H., Soltanpour, P.N., Tabatabai, M.A., Johmston, C.T., Sumner, M.E., Eds.; SSSA Inc.: Madison, WI, USA; ASA Inc.: Madison, WI, USA, 1996; pp. 921–960. [Google Scholar]
- Sumner, M.E.; Miller, W.P. Cation exchange capacity and exchange coefficients. In Methods of Soil Analysis. Part 3. Chemical Methods; Sparks, D.L., Page, A.L., Helmke, P.A., Loeppert, R.H., Soltanpour, P.N., Tabatabai, M.A., Johmston, C.T., Sumner, M.E., Eds.; SSSA Inc.: Madison, WI, USA; ASA Inc.: Madison, WI, USA, 1996; pp. 1201–1230. [Google Scholar]
- Kemper, W.D.; Rosenau, R.C. Aggregate stability and size distribution. In Methods of Soil Analysis: Part 1. Physical and Mineralogica Methods; Klute, A., Campbell, G.S., Jackson, R.D., Mortland, M.M., Nielsen, D.R., Eds.; SSSA Inc.: Madison, WI, USA; ASA Inc.: Madison, WI, USA, 1986; pp. 425–442. [Google Scholar]
- Hatano, T.; Kagawa, H.; Yasuhara, T.; Okuda, T. Two new flavonoids and other constituents in licorice root: Their relative astringency and radical scavenging effects. Chem. Pharm. Bull. 1988, 36, 2090–2097. [Google Scholar] [CrossRef] [Green Version]
- Farrar, R.R.; Barbour, J.D.; Kennedy, G.G. Quantifying food consumption and growth in insects. Ann. Entomol. Soc. Am. 1989, 82, 593–598. [Google Scholar] [CrossRef]
- Nawaz, A.; Ali, H.; Sufyan, M.; Gogi, M.D.; Arif, M.J.; Ali, A.; Qasim, M.; Islam, W.; Ali, N.; Bodla, I.; et al. In-vitro assessment of food consumption, utilization indices and losses promises of leafworm, Spodoptera litura (Fab.), on okra crop. Asia Pac. Entomol. 2020, 23, 60–66. [Google Scholar] [CrossRef]
- Edwards, C.A. Vermicomposting organic wastes: A review. Soil Zool. Sustain. Dev. 21st Century 2004, 1, 369–395. [Google Scholar]
- Negi, R.; Suthar, S. Degradation of paper mill wastewater sludge and cow dung by brown-rot fungi Oligoporus placenta and earthworm (Eisenia foetida) during vermicomposting. Clean. Prod. 2018, 201, 842–852. [Google Scholar] [CrossRef]
- Moral, R.; Paredes, C.; Bustamante, M.A.; Marhuenda-Egea, F.; Bernal, M.P. Utilisation of manure composts by high-value crops: Safety and environmental challenges. Bioresour. Technol. 2009, 100, 5454–5460. [Google Scholar] [CrossRef] [PubMed]
- Fahey, J.W.; Zalcmann, A.T.; Talalay, P. The chemical diversity and distribution of glucosinolates and isothiocyanates among plants. Phytochemistry 2001, 56, 5–51. [Google Scholar] [CrossRef]
- Kaviraj, S.S. Municipal solid waste management through vermicomposting employing exotic and local species of earthworms. Bioresour. Technol. 2003, 90, 169–173. [Google Scholar] [CrossRef]
- Maji, D.; Misra, P.; Singh, S.; Kalra, A. Humic acid rich vermicompost promotes plant growth by improving microbial community structure of soil as well as root nodulation and mycorrhizal colonization in the roots of Pisum sativum. Appl. Soil Ecol. 2017, 110, 97–108. [Google Scholar] [CrossRef]
- Scaglia, B.; Nunes, R.R.; Rezende, M.O.O.; Tambone, F.; Adani, F. Investigating organic molecules responsible of auxin-like activity of humic acid fraction extracted from vermicompost. Sci. Total Environ. 2016, 562, 289–295. [Google Scholar] [CrossRef] [PubMed]
- Shivran, A.C.; Yadav, B.L. Effect of NP fertilizers, vermicompost and sulphur on growth, yield and quality of clusterbean Cymopsis tetragonoloba (L.) and their residual effect on grain yield of succeeding wheat Triticum aestivum (L). Legum. Res. 2013, 36, 74–78. [Google Scholar]
- Kopittke, P.M.; Menzies, N.J. A review of the use of the basic cation saturation ratio the ideal soil. Soil Sci. Soc. Am. J. 2007, 71, 259–265. [Google Scholar] [CrossRef]
- Osemwota, I.O.; Omued, J.A.I.; Ogboghodo, A.I. Effect of calcium/magnesium ratio in soil on magnesium availability, yield, and yield components of maize. Comm. Soil Sci. Plant Anal. 2007, 38, 2849–2860. [Google Scholar] [CrossRef]
- Hussain, N.; Singh, A.; Saha, S.; Venkata, S.K.M.; Bhattacharyya, P.; Bhattacharya, S.S. Excellent N-fixing and P-solubilizing traits in earthworm gut-isolated bacteria: A vermicompost based assessment with vegetable market waste and rice straw feed mixtures. Bioresour. Technol. 2016, 222, 165–174. [Google Scholar] [CrossRef] [PubMed]
- Bryant, J.P.; Chapin, F.S.; Klein, D.R. Carbon nutrient balance of boreal plants in relation to vertebrate herbivory. Oikos 1983, 40, 357–368. [Google Scholar] [CrossRef] [Green Version]
- Herms, D.A.; Mattson, W.J. The dilemma of plants: To grow or defend. Q. Rev. Biol. 1992, 67, 283–335. [Google Scholar] [CrossRef] [Green Version]
- Lakhdar, A.; Falleh, H.; Ouni, Y.; Oueslati, S.; Debez, A.; Ksouri, R.; Abdelly, C. Municipal solid waste compost application improves productivity, polyphenol content, and antioxidant capacity of Mesembryanthemum edule. J. Hazard. Mater. 2011, 191, 373–379. [Google Scholar] [CrossRef] [PubMed]
- Wang, D.H.; Shi, Q.H.; Wang, X.F.; Wei, M.; Hu, J.Y.; Liu, J.; Yang, F.J. Influence of cow manure vermicompost on the growth, metabolite contents, and antioxidant activities of Chinese cabbage (Brassica campestris ssp chinensis). Biol. Fertil. Soils 2010, 46, 689–696. [Google Scholar] [CrossRef]
- Hansen, A.K.; Moran, N.A. The impact of microbial symbionts on host plant utilization by herbivorous insects. Mol. Ecol. 2014, 23, 1473–1496. [Google Scholar] [CrossRef]
- Sambangi, P.; Rani, P. Induction of phenolic acids and metals in Arachis hypogea L. plants due to feeding of three Lepidopteran pests. Arthropod-Plant Interact. 2013, 7, 517–525. [Google Scholar] [CrossRef]
- Alba, J.M.; Glas, J.J.; Schimmel, B.C.J.; Kant, M.R. Avoidance and suppression of plant defenses by herbivores and pathogens. Plant Interact. 2011, 6, 221–227. [Google Scholar] [CrossRef]
- Kant, M.R.; Jonckheere, W.; Knegt, B.; Lemos, F.; Liu, J.; Schimmel, B.C.J.; Villarroel, C.A.; Ataide, L.M.S.; Dermauw, W.; Glas, J.J.; et al. Mechanisms and ecological consequences of plant defence induction and suppression in herbivore communities. Ann. Bot. 2015, 115, 1015–1051. [Google Scholar] [CrossRef]
- Deans, C.A.; Sword, G.A.; Behmer, S.T. Revisiting macronutrient regulation in the polyphagous herbivore Helicoverpa zea (Lepidoptera: Noctuidae): New insights via nutritional geometry. Insect Physiol. 2015, 81, 21–27. [Google Scholar] [CrossRef]
- Schoonhoven, L.; Van Loon, J.; Dicke, M. Insect-Plant Biology; Oxford University Press Publishing: Oxford, UK, 2005; pp. 48–127. [Google Scholar]



| pH | EC | Water Content | OM | TN | P2O5 | K2O | CaO | MgO | S | |
|---|---|---|---|---|---|---|---|---|---|---|
| dS m−1 | % | |||||||||
| VPM | 6.9 | 5.2 | 46.8 | 68.3 | 2.4 | 2.5 | 1.2 | 4.3 | 1.0 | 0.33 |
| VCM | 8.5 | 2.1 | 34.0 | 70.2 | 1.7 | 1.4 | 1.3 | 4.5 | 0.9 | 0.51 |
| Treatment | pH | EC | OM | WAS | Avail. N | Avail. P | Ex. K | Avail. S | Ex. Ca | Ex. Mg | Ca/Mg |
|---|---|---|---|---|---|---|---|---|---|---|---|
| mS m−1 | % | mg kg−1 | g kg−1 | mg kg−1 | Mole Ratio | ||||||
| Without Spodoptera litura | |||||||||||
| CK | 8.69 ± 0.05 a | 8.04 ± 0.28 k | 2.78 ± 0.09 d | 57.7 ± 5.6 a | 13.5 ± 0.0 bc | 6.61 ± 1.05 j | 45.1 ± 2.8 ef | 3.74 ± 1.02 d | 3.27 ± 0.04 def | 236 ± 8 fg | 8.33 ± 0.28 ab |
| CF (1×) | 8.41 ± 0.02 b | 11.3 ± 1.7 ghij | 2.81 ± 0.08 d | 52.6 ± 8.2 abcd | 20.2 ± 8.2 b | 15.7 ± 1.2 hi | 55.5 ± 4.6 ef | 3.73 ± 0.81 d | 3.14 ± 0.06 gh | 217 ± 9 gh | 8.69 ± 0.38 a |
| CF (1.5×) | 8.27 ± 0.05 c | 13.5 ± 1.5 efg | 2.79 ± 0.06 d | 51.0 ± 11.8 ab | 33.8 ± 16.8 a | 20.4 ± 0.4 fg | 57.3 ± 3.8 def | 4.25 ± 0.86 d | 3.16 ± 0.11 fgh | 217 ± 9 gh | 8.73 ± 0.26 a |
| CF + S (1×) | 8.10 ± 0.02 de | 19.1 ± 1.9 c | 2.75 ± 0.10 d | 58.2 ± 7.0 abc | 18.6 ± 10.0 b | 14.1 ± 0.7 i | 52.3 ± 4.7 ef | 107 ± 20 c | 3.20 ± 0.05 efg | 224 ± 13 fgh | 8.60 ± 0.37 ab |
| CF + S (1.5×) | 7.86 ± 0.04 i | 29.3 ± 0.6 a | 2.80 ± 0.06 d | 56.0 ± 8.5 bcd | 13.5 ± 4.8 bc | 18.5 ± 2.8 gh | 47.5 ± 4.8 ef | 198 ± 18 b | 3.22 ± 0.09 defg | 229 ± 8 fgh | 8.47 ± 0.25 ab |
| VPM (1×) | 8.12 ± 0.05 d | 12.1 ± 2.3 ghi | 4.02 ± 0.14 b | 53.2 ± 7.7 d | 8.45 ± 2.93 c | 30.3 ± 0.8 cd | 70.1 ± 10.2 cde | 5.77 ± 3.10 d | 3.55 ± 0.12 b | 389 ± 21 cd | 5.49 ± 0.23 e |
| VPM (1.5×) | 8.06 ± 0.03 def | 16.0 ± 0.6 de | 4.20 ± 0.24 b | 44.8 ± 3.2 cd | 13.5 ± 4.8 bc | 42.5 ± 1.5 b | 60.8 ± 4.6 cdef | 9.53 ± 0.81 d | 3.40 ± 0.06 c | 409 ± 3 c | 5.00 ± 0.11 efg |
| VCM (1×) | 8.26 ± 0.03 c | 17.4 ± 0.5 cd | 3.71 ± 0.05 c | 41.3 ± 2.8 abcd | 8.45 ± 2.93 c | 34.4 ± 3.1 c | 140 ± 15 b | 8.53 ± 0.41 d | 3.55 ± 0.09 ab | 392 ± 14 c | 5.44 ± 0.14 e |
| VCM (1.5×) | 8.27 ± 0.10 c | 15.5 ± 3.7 def | 4.95 ± 0.35 a | 50.9 ± 12.2 bcd | 13.5 ± 6.7 bc | 49.9 ± 5.2 a | 240 ± 55 a | 6.97 ± 3.61 d | 3.67 ± 0.05 a | 468 ± 24 a | 4.72 ± 0.25 fg |
| Infested with S. litura | |||||||||||
| CK | 8.41 ± 0.02 b | 11.0 ± 0.4 hij | 2.72 ± 0.05 d | 62.6 ± 2.1 a | 10.1 ± 5.6 c | 7.95 ± 0.43 j | 43.1 ± 1.1 f | 4.90 ± 0.51 d | 3.06 ± 0.01 hi | 242 ± 10 f | 7.60 ± 0.32 cd |
| CF (1×) | 8.25 ± 0.05 c | 9.15 ± 0.89 jk | 2.74 ± 0.06 d | 53.9 ± 6.6 abcd | 10.1 ± 3.4 c | 14.6 ± 0.4 hi | 46.4 ± 2.9 ef | 1.86 ± 0.16 d | 2.86 ± 0.02 j | 213 ± 10 h | 8.06 ± 0.37 bc |
| CF (1.5×) | 8.10 ± 0.07 de | 10.8 ± 1.4 hij | 2.67 ± 0.08 d | 59.8 ± 3.8 ab | 18.6 ± 5.6 b | 23.4 ± 4.0 ef | 50.9 ± 5.7 ef | 2.06 ± 0.30 d | 2.87 ± 0.03 j | 231 ± 12 fgh | 7.49 ± 0.32 d |
| CF + S (1×) | 7.95 ± 0.02 h | 22.3 ± 1.2 b | 2.64 ± 0.02 d | 59.4 ± 5.5 abc | 10.1 ± 3.4 c | 14.7 ± 0.3 hi | 41.4 ± 1.4 f | 114 ± 12 c | 3.04 ± 0.10 hi | 238 ± 21 f | 7.73 ± 0.83 cd |
| CF + S (1.5×) | 7.65 ± 0.02 j | 30.2 ± 2.2 a | 2.78 ± 0.09 d | 49.4 ± 11.2 bcd | 20.2 ± 4.8 b | 27.0 ± 2.9 de | 44.9 ± 3.2 ef | 225 ± 20 a | 2.95 ± 0.04 ij | 235 ± 15 fg | 7.57 ± 0.52 cd |
| VPM (1×) | 8.02 ± 0.01 fg | 13.0 ± 2.8 fgh | 4.17 ± 0.11 b | 47.4 ± 8.1 d | 10.1 ± 3.4 c | 29.9 ± 0.4 d | 81.4 ± 22.2 cd | 8.85 ± 6.19 d | 3.14 ± 0.07 gh | 366 ± 13 e | 5.15 ± 0.12 ef |
| VPM (1.5×) | 7.98 ± 0.03 gh | 10.5 ± 0.3 hij | 4.74 ± 0.21 a | 48.2 ± 5.1 cd | 13.5 ± 0.0 bc | 41.4 ± 5.9 b | 66.0 ± 1.9 cdef | 2.65 ± 0.30 d | 3.29 ± 0.14 cde | 408 ± 5 c | 4.84 ± 0.24 fg |
| VCM (1×) | 8.09 ± 0.05 def | 10.1 ± 0.4 ijk | 4.10 ± 0.23 b | 52.1 ± 10.3 abcd | 18.6 ± 3.0 b | 27.3 ± 1.2 de | 83.2 ± 5.7 c | 4.17 ± 1.74 d | 3.16 ± 0.03 fgh | 370 ± 6 de | 5.13 ± 0.06 ef |
| VCM (1.5×) | 8.05 ± 0.02 efg | 11.7 ± 0.7 ghi | 4.87 ± 0.07 a | 50.0 ± 3.7 bcd | 10.1 ± 3.4 c | 44.2 ± 1.9 b | 154 ± 18 b | 4.62 ± 0.13 d | 3.33 ± 0.05 cd | 445 ± 7 b | 4.49 ± 0.03 g |
| F-value | 87.6 | 49.2 | 108.6 | 0.78 | 4.51 | 77.9 | 33.1 | 207 | 28.7 | 163 | 71.9 |
| F17,54,0.95 | 1.82 | ||||||||||
| Treatment | SPAD Reading | Shoot Height | Fresh Weight |
|---|---|---|---|
| cm | g Plant−1 | ||
| Without Spodoptera litura | |||
| CK | 6.93 ± 0.51 h | 19.0 ± 1.4 hij | 2.83 ± 0.29 f |
| CF (1×) | 14.6 ± 1.7 a | 25.6 ± 2.8 bcd | 20.9 ± 2.5 def |
| CF (1.5×) | 14.0 ± 0.6 ab | 26.5 ± 2.5 bc | 28.3 ± 4.7 bcd |
| CF + S (1×) | 11.8 ± 1.1 bcdef | 23.1 ± 3.6 defg | 18.1 ± 1.8 def |
| CF + S (1.5×) | 14.8 ± 1.2 a | 30.9 ± 2.5 a | 46.0 ± 1.5 ab |
| VPM (1×) | 13.5 ± 1.7 abc | 22.2 ± 2.1 efg | 11.1 ± 0.5 def |
| VPM (1.5×) | 12.8 ± 1.1 abcd | 23.5 ± 1.7 def | 22.6 ± 3.0 def |
| VCM (1×) | 10.4 ± 0.3 efg | 18.2 ± 1.8 ij | 4.91 ± 0.22 ef |
| VCM (1.5×) | 10.8 ± 1.1 defg | 18.8 ± 1.4 hij | 5.91 ± 0.40 ef |
| Infested with S. litura | |||
| CK | 5.15 ± 0.82 h | 16.7 ± 1.7 j | 3.05 ± 0.88 f |
| CF (1×) | 12.7 ± 1.8 abcde | 25.2 ± 2.8 cd | 23.7 ± 0.3 cdef |
| CF (1.5×) | 12.2 ± 1.9 bcdef | 24.7 ± 5.1 cde | 21.8 ± 3.0 def |
| CF + S (1×) | 12.8 ± 1.8 abcd | 23.3 ± 5.4 def | 51.3 ± 16.8 a |
| CF + S (1.5×) | 12.7 ± 1.1 abcde | 28.4 ± 2.9 ab | 44.8 ± 15.8 abc |
| VPM (1×) | 11.3 ± 0.6 cdefg | 23.4 ± 2.9 def | 21.6 ± 0.2 def |
| VPM (1.5×) | 13.1 ± 1.9 abc | 24.8 ± 2.7 cde | 26.3 ± 8.9 bcde |
| VCM (1×) | 10.0 ± 0.4 fg | 20.4 ± 2.3 ghi | 9.42 ± 0.27 def |
| VCM (1.5×) | 9.40 ± 1.34 g | 21.3 ± 1.8 fgh | 8.00 ± 1.18 def |
| F-value | 10.4 | 15.1 | 3.96 |
| F17,54,0.95 | 1.82 | ||
| Treatment | N | P | K | Ca | Mg | S |
|---|---|---|---|---|---|---|
| % | ||||||
| Without Spodoptera litura | ||||||
| CK | 1.16 ± 0.12 de | 0.199 ± 0.083 h | 2.97 ± 0.24 ef | 3.46 ± 0.25 bcd | 0.417 ± 0.023 cde | 0.011 ± 0.012 f |
| CF (1×) | 2.52 ± 0.39 b | 0.403 ± 0.064 cdef | 2.93 ± 0.43 efg | 4.15 ± 0.62 ab | 0.411 ± 0.027 def | 0.040 ± 0.009 def |
| CF (1.5×) | 2.81 ± 0.27 b | 0.447 ± 0.125 abcde | 2.95 ± 0.04 ef | 3.68 ± 0.47 bcd | 0.352 ± 0.065 ef | 0.037 ± 0.001 def |
| CF + S (1×) | 2.93 ± 0.08 b | 0.321 ± 0.034 fg | 3.52 ± 0.11 bcd | 3.31 ± 0.70 cd | 0.399 ± 0.022 def | 0.387 ± 0.046 b |
| CF + S (1.5×) | 2.87 ± 0.06 b | 0.389 ± 0.113 def | 3.78 ± 0.35 ab | 3.82 ± 0.70 bc | 0.454 ± 0.077 abcd | 0.477 ± 0.094 a |
| VPM (1×) | 1.66 ± 0.05 cd | 0.475 ± 0.019 abcd | 2.61 ± 0.20 fgh | 2.30 ± 0.26 f | 0.383 ± 0.028 def | 0.048 ± 0.007 def |
| VPM (1.5×) | 1.61 ± 0.34 cde | 0.520 ± 0.110 abc | 3.05 ± 0.36 def | 3.20 ± 0.25 cde | 0.445 ± 0.033 bcd | 0.038 ± 0.010 def |
| VCM (1×) | 1.23 ± 0.10 de | 0.472 ± 0.076 abcd | 3.41 ± 0.02 bcde | 2.31 ± 0.24 f | 0.398 ± 0.012 def | 0.063 ± 0.009 de |
| VCM (1.5×) | 1.14 ± 0.10 de | 0.482 ± 0.066 abcd | 3.29 ± 0.06 bcde | 2.93 ± 0.98 def | 0.395 ± 0.054 def | 0.055 ± 0.002 de |
| Infested with S. litura | ||||||
| CK | 1.68 ± 0.29 cd | 0.268 ± 0.059 gh | 3.20 ± 0.21 cde | 3.63 ± 0.31 bcd | 0.518 ± 0.033 ab | 0.029 ± 0.003 ef |
| CF (1×) | 2.70 ± 0.29 b | 0.556 ± 0.075 a | 3.35 ± 0.42 bcde | 3.47 ± 0.38 bcd | 0.433 ± 0.076 bcde | 0.038 ± 0.007 def |
| CF (1.5×) | 4.12 ± 0.93 a | 0.514 ± 0.066 abc | 3.58 ± 0.71 bc | 4.63 ± 0.13 a | 0.499 ± 0.025 abc | 0.039 ± 0.010 def |
| CF + S (1×) | 1.89 ± 0.31 c | 0.340 ± 0.080 efg | 2.94 ± 0.08 ef | 3.34 ± 0.33 cd | 0.373 ± 0.044 def | 0.281 ± 0.021 c |
| CF + S (1.5×) | 3.82 ± 0.88 a | 0.489 ± 0.086 abcd | 4.13 ± 0.66 a | 3.99 ± 0.99 abc | 0.534 ± 0.142 a | 0.324 ± 0.014 c |
| VPM (1×) | 1.04 ± 0.10 e | 0.346 ± 0.035 efg | 2.42 ± 0.09 gh | 2.29 ± 0.21 f | 0.329 ± 0.026 f | 0.030 ± 0.005 def |
| VPM (1.5×) | 1.16 ± 0.21 de | 0.431 ± 0.054 bcdef | 2.35 ± 0.11 h | 2.34 ± 0.23 f | 0.372 ± 0.019 def | 0.031 ± 0.009 def |
| VCM (1×) | 1.39 ± 0.03 cde | 0.483 ± 0.044 abcd | 3.59 ± 0.11 bc | 2.37 ± 0.19 f | 0.392 ± 0.037 def | 0.073 ± 0.003 d |
| VCM (1.5×) | 1.24 ± 0.12 de | 0.541 ± 0.012 ab | 3.77 ± 0.20 ab | 2.45 ± 0.09 ef | 0.413 ± 0.013 def | 0.063 ± 0.002 de |
| F-value | 21.5 | 5.48 | 7.00 | 6.73 | 3.26 | 90.6 |
| F17,54,0.95 | 1.82 | |||||
| Treatment | Total Phenolics | Total Flavonoids | DPPH Scavenging Ability |
|---|---|---|---|
| mg-GAE g-DW−1 | mg-QE g-DW−1 | % | |
| Without Spodoptera litura | |||
| CK | 5.58 ± 0.00 cdef | 12.4 ± 0.0 cde | 52.9 ± 0.0 gh |
| CF (1×) | 5.82 ± 0.51 bcde | 28.5 ± 9.9 ab | 80.3 ± 7.0 abcd |
| CF (1.5×) | 4.55 ± 0.23 fgh | 12.7 ± 4.5 cde | 63.0 ± 2.8 efg |
| CF + S (1×) | 5.66 ± 0.35 cde | 35.3 ± 3.1 a | 69.8 ± 10.61 cdef |
| CF + S (1.5×) | 5.41 ± 0.38 def | 20.7 ± 1.1 abcde | 85.0 ± 7.4 ab |
| VPM (1×) | 5.79 ± 0.05 bcde | 8.36 ± 4.72 e | 69.0 ± 1.1 cdef |
| VPM (1.5×) | 5.57 ± 0.01 def | 9.81 ± 0.36 e | 75.1 ± 2.0 abcde |
| VCM (1×) | 5.84 ± 0.26 bcde | 10.2 ± 2.2 de | 69.4 ± 4.9 cdef |
| VCM (1.5×) | 5.55 ± 0.23 def | 9.09 ± 0.36 e | 75.9 ± 1.1 abcde |
| Infested with S. litura | |||
| CK | 3.95 ± 0.00 h | 7.70 ± 0.00 e | 41.4 ± 0.0 h |
| CF (1×) | 6.18 ± 0.10 bcd | 27.3 ± 8.7 abc | 78.0 ± 3.4 abcde |
| CF (1.5×) | 7.85 ± 1.09 a | 25.2 ± 9.7 abcd | 77.6 ± 11.9 abcde |
| CF + S (1×) | 6.75 ± 0.11 b | 25.3 ± 10.5 abcd | 80.6 ± 6.0 abcd |
| CF + S (1.5×) | 5.29 ± 0.29 defg | 16.7 ± 5.1 bcde | 71.0 ± 2.2 bcdef |
| VPM (1×) | 5.70 ± 0.01 bcde | 6.91 ± 0.36 h | 83.0 ± 2.1 abc |
| VPM (1.5×) | 6.67 ± 0.51 bc | 11.6 ± 2.2 de | 87.2 ± 1.9 a |
| VCM (1×) | 4.88 ± 0.06 efgh | 6.54 ± 0.73 e | 66.9 ± 3.1 defg |
| VCM (1.5×) | 4.22 ± 0.38 gh | 7.63 ± 1.09 e | 58.8 ± 0.1 fg |
| F-value | 6.31 | 3.12 | 5.35 |
| F17,54,0.95 | 1.82 | ||
| Treatment | TC | ECI | RCR | RGR |
|---|---|---|---|---|
| mg | % | mg mg−1 d−1 | ||
| CF (1×) | 1.000 b | 1.000 ab | 1.000 ab | 1.000 a |
| CF (1.5×) | 1.460 a | 0.888 abc | 1.410 a | 1.220 a |
| CF + S (1×) | 0.812 bc | 1.010 a | 0.720 bc | 0.559 b |
| CF + S (1.5×) | 0.968 b | 0.743 bcd | 0.979 ab | 0.624 b |
| VPM (1×) | 0.697 bcd | 0.738 bcd | 0.688 bc | 0.514 b |
| VPM (1.5×) | 0.609 bcd | 0.721 cd | 0.603 bc | 0.426 bc |
| VCM (1×) | 0.471 cd | 0.484 d | 0.473 c | 0.236 c |
| VCM (1.5×) | 0.337 d | 0.594 d | 0.347 c | 0.212 c |
| F-value | 10.9 | 4.26 | 7.23 | 18.7 |
| F17,54,0.95 | 2.31 | |||
Publisher’s Note: MDPI stays neutral with regard to jurisdictional claims in published maps and institutional affiliations. |
© 2022 by the authors. Licensee MDPI, Basel, Switzerland. This article is an open access article distributed under the terms and conditions of the Creative Commons Attribution (CC BY) license (https://creativecommons.org/licenses/by/4.0/).
Share and Cite
Fong, C.-J.; Chuang, Y.-Y.; Lai, H.-Y. Effect of Sulfur-Enriched Vermicompost on the Growth of Brassica chinensis L. and the Spodoptera litura Fabricius Larvae Feeding. Agriculture 2022, 12, 494. https://doi.org/10.3390/agriculture12040494
Fong C-J, Chuang Y-Y, Lai H-Y. Effect of Sulfur-Enriched Vermicompost on the Growth of Brassica chinensis L. and the Spodoptera litura Fabricius Larvae Feeding. Agriculture. 2022; 12(4):494. https://doi.org/10.3390/agriculture12040494
Chicago/Turabian StyleFong, Chang-Jun, Yi-Yuan Chuang, and Hung-Yu Lai. 2022. "Effect of Sulfur-Enriched Vermicompost on the Growth of Brassica chinensis L. and the Spodoptera litura Fabricius Larvae Feeding" Agriculture 12, no. 4: 494. https://doi.org/10.3390/agriculture12040494
APA StyleFong, C.-J., Chuang, Y.-Y., & Lai, H.-Y. (2022). Effect of Sulfur-Enriched Vermicompost on the Growth of Brassica chinensis L. and the Spodoptera litura Fabricius Larvae Feeding. Agriculture, 12(4), 494. https://doi.org/10.3390/agriculture12040494

