Physiological Traits of Thirty-Five Tomato Accessions in Response to Low Temperature
Abstract
:1. Introduction
2. Materials and Methods
2.1. Plant Material and Growth Conditions
2.2. Data collection on Vegetative and Reproductive Growth
2.3. Data Analysis
3. Results
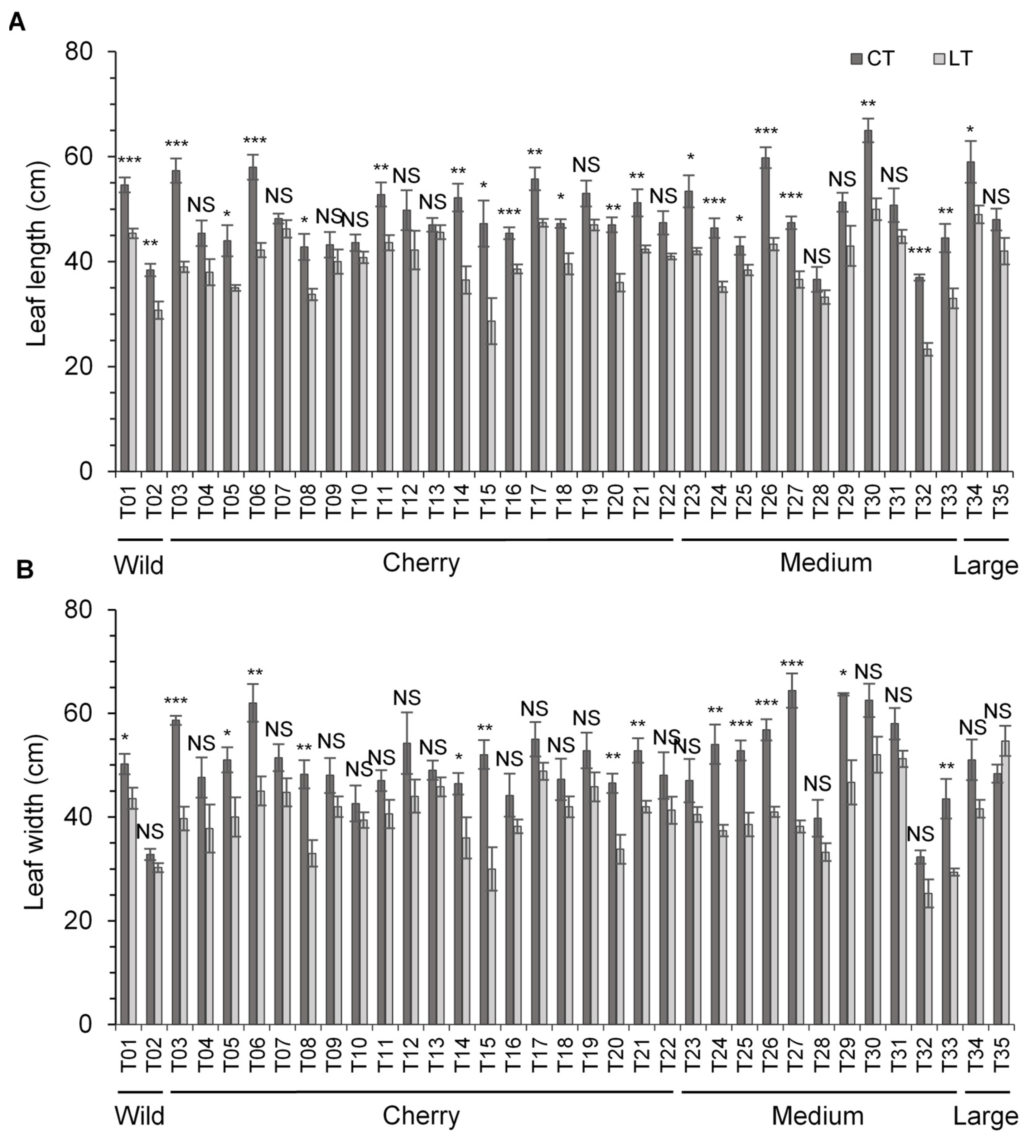
3.1. The Analysis of the Vegetative Traits with Different Fruit Type
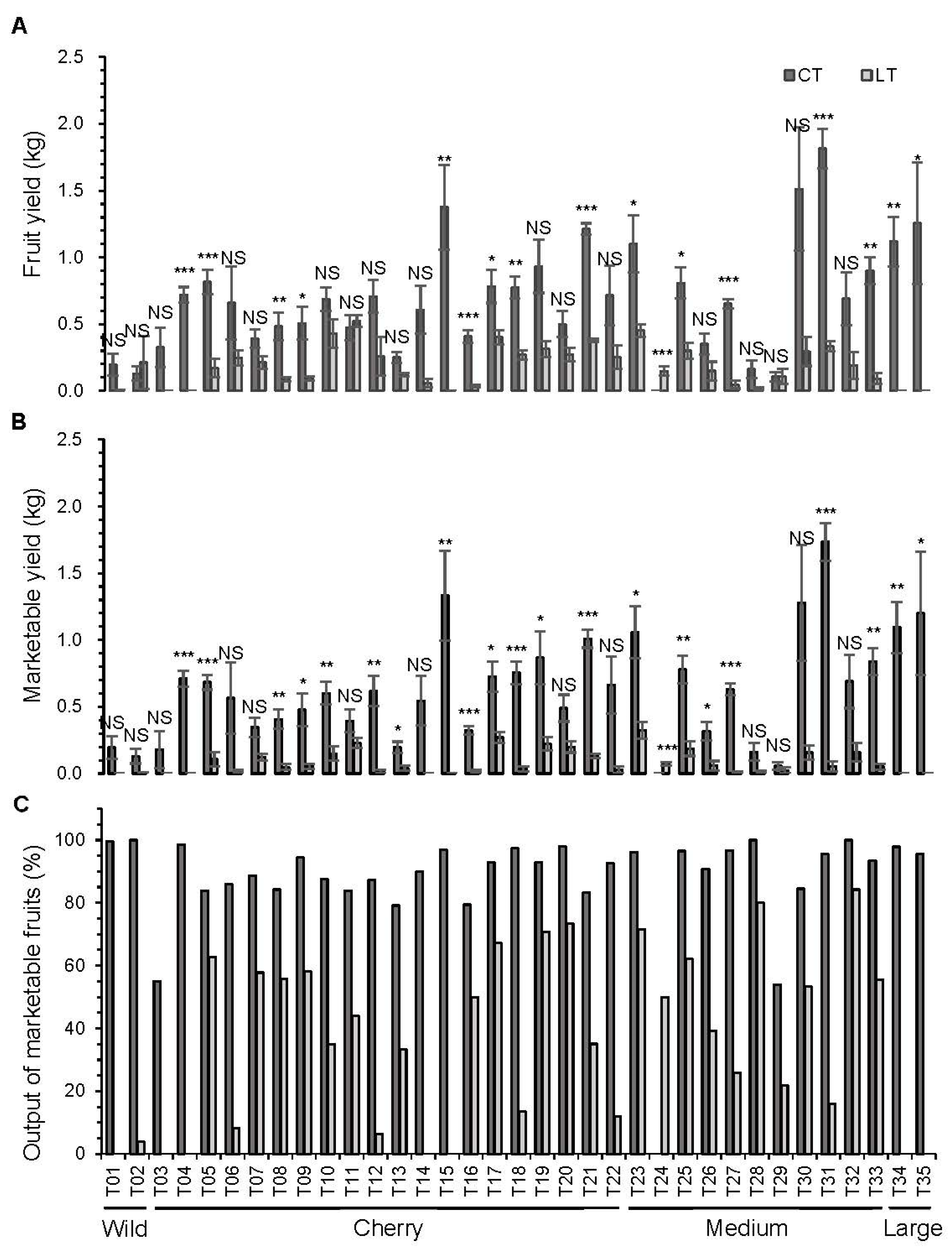
3.2. The Analysis of the Reproductive Traits with Different Fruit Type
3.3. The Principal Component Analysis (PCA) of Physiological Traits
3.4. Clustering Analysis
4. Discussion
5. Conclusions
Supplementary Materials
Author Contributions
Funding
Institutional Review Board Statement
Informed Consent Statement
Data Availability Statement
Conflicts of Interest
References
- Willcox, J.K.; Catignani, G.L.; Lazarus, S. Tomatoes and Cardiovascular Health. Crit. Rev. Food Sci. Nutr. 2003, 43, 1–18. [Google Scholar] [CrossRef] [PubMed]
- Kimura, S.; Sinha, N. Tomato (Solanum lycopersicum): A Model Fruit-Bearing Crop. Cold Spring Harb. Protoc. 2008. [Google Scholar] [CrossRef]
- Van Ploeg, D.; Heuvelink, E. Influence of sub-optimal temperature on tomato growth and yield: A review. J. Hortic. Sci. Biotechnol. 2005, 80, 652–659. [Google Scholar] [CrossRef]
- De Koning, A.N.M. The effect of different day/night temperature regimes on growth, development and yield of glasshouse tomatoes. J. Hortic. Sci. 1988, 63, 465–471. [Google Scholar] [CrossRef]
- Ro, S.; Chea, L.; Ngoun, S.; Stewart, Z.P.; Roeurn, S.; Theam, P.; Lim, S.; Sor, R.; Kosal, M.; Roeun, M. Response of Tomato Genotypes under Different High Temperatures in Field and Greenhouse Conditions. Plants 2021, 10, 449. [Google Scholar] [CrossRef]
- Theocharis, A.; Clément, C.; Barka, E.A. Physiological and molecular changes in plants grown at low temperatures. Planta 2012, 235, 1091–1105. [Google Scholar] [CrossRef]
- Shinozaki, K.; Yamaguchi-Shinozaki, K. Molecular responses to dehydration and low temperature: Differences and cross-talk between two stress signaling pathways. Curr. Opin. Plant Biol. 2000, 3, 217–223. [Google Scholar] [CrossRef]
- Wang, W.-X.; Vinocur, B.; Altman, A. Plant responses to drought, salinity and extreme temperatures: Towards genetic engineering for stress tolerance. Planta 2003, 218, 1–14. [Google Scholar] [CrossRef]
- Hoek, I.; Cate, C.H.H.T.; Keijzer, C.J.; Schel, J.H.; Dons, H.J. Development of the Fifth Leaf is Indicative for Whole Plant Performance at Low Temperature in Tomato. Ann. Bot. 1993, 72, 367–374. [Google Scholar] [CrossRef]
- Venema, J.H.; Posthumus, F.; De Vries, M.; Van Hasselt, P.R. Differential response of domestic and wild Lycopersicon species to chilling under low light: Growth, carbohydrate content, photosynthesis and the xanthophyll cycle. Physiol. Plant. 1999, 105, 81–88. [Google Scholar] [CrossRef]
- Foolad, M.; Lin, G. Relationship between Cold Tolerance during Seed Germination and Vegetative Growth in Tomato: Germplasm Evaluation. J. Am. Soc. Hortic. Sci. 2000, 125, 679–683. [Google Scholar] [CrossRef]
- Picken, A.J.F. A review of pollination and fruit set in the tomato (Lycopersicon esculentum Mill.). J. Hortic. Sci. 1984, 59, 1–13. [Google Scholar] [CrossRef]
- Adams, S.R.; Cockshull, K.E.; Cave, C.R.J. Effect of Temperature on the Growth and Development of Tomato Fruits. Ann. Bot. 2001, 88, 869–877. [Google Scholar] [CrossRef]
- Sawhney, V.K.; Polowick, P.L. Fruit development in tomato: The role of temperature. Can. J. Bot. 1985, 63, 1031–1034. [Google Scholar] [CrossRef]
- Hurd, R.G.; Graves, C.J. Some effects of air and root temperatures on the yield and quality of glasshouse tomatoes. J. Hortic. Sci. 1985, 60, 359–371. [Google Scholar] [CrossRef]
- Sherzod, R.; Yang, E.Y.; Cho, M.C.; Chae, S.Y.; Kim, J.H.; Nam, C.W.; Chae, W.B. Traits Affecting Low Temperature Tolerance in Tomato and Its Application to Breeding Program. Plant Breed. Biotechnol. 2019, 7, 350–359. [Google Scholar] [CrossRef]
- Xiaoa, F.; Yang, Z.; Zhua, L. Low temperature and weak light affect greenhouse tomato growth and fruit quality. J. Plant Sci. 2018, 6, 16–24. [Google Scholar]
- Wittwer, S. Cold exposure of tomato seedlings and flower formation. Proc. Amer. Soc. Hort. Sci. 1956, 67, 369–376. [Google Scholar]
- Rylski, I. Fruit set and development of seeded and seedless tomato fruits under diverse regimes of temperature and pollination. J. Am. Soc. Hortic. Sci. 1979, 104, 835–838. [Google Scholar]
- Ercan, N.; Vural, H. The effects of low temperatures on fruit set of tomatoes. Acta Hortic. 1994, 336, 65–72. [Google Scholar] [CrossRef]
- Smeets, L.; Garretsen, F. Growth analyses of tomato genotypes grown under low night temperatures and low light intensity. Euphytica 1986, 35, 701–715. [Google Scholar] [CrossRef]
- Nieuwhof, M.; Garretsen, F.; Van Oeveren, J. Growth analyses of tomato genotypes grown under low energy conditions. Neth. J. Agric. Sci. 1991, 39, 191–196. [Google Scholar] [CrossRef]
- Rural Development Administration (RDA). Data Book of Agricultural Products Income for the Improvement of Agricultural Management in 2019; Rural Development Administration: Jeonju, Korea, 2020. [Google Scholar]
- Paul, E.M.M.; Hardwick, R.C.; Parker, P.F. Genotypic Variation in the Response to Sub-Optimal Temperatures of Growth in Tomato (Lycopersicon Esculentum Mill.). N. Phytol. 1984, 98, 221–230. [Google Scholar] [CrossRef]
- Franco, T. Effects of Stressful and Unstressful Low Temperature on Vegetable Crops: Morphological and Physiological Aspects. Acta Hortic. 1991, 287, 67–76. [Google Scholar] [CrossRef]
- Elings, A.; Kempkes, F.; Kaarsemaker, R.; Ruijs, M.; Van De Braak, N.; Dueck, T. The Energy Balance and Energy-Saving Measures in Greenhouse Tomato Cultivation. Acta Hortic. 2005, 691, 67–74. [Google Scholar] [CrossRef] [Green Version]
- Yang, E.-Y.; Rajametov, S.; Cho, M.-C.; Jeong, H.-B.; Chae, W.-B. Factors Affecting Tolerance to Low Night Temperature Differ by Fruit Types in Tomato. Agriculture 2021, 11, 681. [Google Scholar] [CrossRef]
- Abdul-Baki, A.A. Tolerance of Tomato Cultivars and Selected Germplasm to Heat Stress. J. Am. Soc. Hortic. Sci. 1991, 116, 1113–1116. [Google Scholar] [CrossRef]
- Zhang, X.; Fowler, S.G.; Cheng, H.; Lou, Y.; Rhee, S.Y.; Stockinger, E.J.; Thomashow, M.F. Freezing-sensitive tomato has a functional CBF cold response pathway, but a CBF regulon that differs from that of freezing-tolerant Arabidopsis. Plant J. 2004, 39, 905–919. [Google Scholar] [CrossRef]
- Goodstal, F.J.; Kohler, G.R.; Randall, L.B.; Bloom, A.J.; St.Clair, D.A. A major QTL introgressed from wild Lycopersicon hirsutum confers chilling tolerance to cultivated tomato (Lycopersicon esculentum). Theor. Appl. Genet. 2005, 111, 898–905. [Google Scholar] [CrossRef]
- Chinnusamy, V.; Zhu, J.-K.; Sunkar, R. Gene Regulation During Cold Stress Acclimation in Plants. Methods Mol. Biol. 2010, 639, 39–55. [Google Scholar] [CrossRef] [Green Version]
- Zhu, J.; Dong, C.H.; Zhu, J.K. Interplay between cold-responsive gene regulation, metabolism and RNA processing during plant cold acclimation. Curr. Opin. Plant Biol. 2007, 10, 290–295. [Google Scholar] [CrossRef]
- Miura, K.; Shiba, H.; Ohta, M.; Kang, S.W.; Sato, A.; Yuasa, T.; Iwaya-Inoue, M.; Kamada, H.; Ezura, H. SlICE1 encoding a MYC-type transcription factor controls cold tolerance in tomato, Solanum lycopersicum. Plant Biotechnol. 2012, 29, 253–260. [Google Scholar] [CrossRef] [Green Version]
- Dieleman, J.A.; Heuvelink, E. Factors affecting the number of leaves preceding the first inflorescence in the tomato. J. Hortic. Sci. 1992, 67, 1–10. [Google Scholar] [CrossRef]
- Khayat, E.; Ravad, D.; Zieslin, N. The effects of various night-temperature regimes on the vegetative growth and fruit production of tomato plants. Sci. Hortic. 1985, 27, 9–13. [Google Scholar] [CrossRef]
- Nieuwhof, M.; Keizer, L.; Van Oeveren, J. Effects of temperature on growth and development of adult plants of genotypes of tomato (Lycopersicon esculentum Mill.). J. Genet. Breed 1997, 50, 185–193. [Google Scholar]
- Venema, J.H.; Posthumus, F.; van Hasselt, P.R. Impact of Suboptimal Temperature on Growth, Photosynthesis, Leaf Pigments and Carbohydrates of Domestic and High-altitude Wild Lycopersicon Species. J. Plant Physiol. 1999, 155, 711–718. [Google Scholar] [CrossRef]
- Améglio, T.; Cochard, H.; Ewers, F.W. Stem diameter variations and cold hardiness in walnut trees. J. Exp. Bot. 2001, 52, 2135–2142. [Google Scholar] [CrossRef] [PubMed]
- Calvert, A. Effect of the Early Environment on the Development of Flowering in Tomato II. Light and Temperature Interactions. J. Hortic. Sci. 1959, 34, 154–162. [Google Scholar] [CrossRef]
- Phatak, S. Top and root temperature effects on tomato flowering. J. Am. Soc. Hortic. Sci. 1966, 88, 527–531. [Google Scholar]
- Fernandez-Muñoz, R.; Cuartero, J. Effects of temperature and irradiance on stigma exsertion, ovule viability and embryo development in tomato. J. Hortic. Sci. 1991, 66, 395–401. [Google Scholar] [CrossRef]
- Li, J.; Ji, L. Adjusting multiple testing in multilocus analyses using the eigenvalues of a correlation matrix. Heredity 2005, 95, 221–227. [Google Scholar] [CrossRef] [PubMed] [Green Version]
- Mata-Nicolás, E.; Montero-Pau, J.; Gimeno-Paez, E.; Garcia-Carpintero, V.; Ziarsolo, P.; Menda, N.; Mueller, L.A.; Blanca, J.; Cañizares, J.; Knaap, E.V.D.; et al. Exploiting the diversity of tomato; the development of a phenotypically and genetically detailed germplasm collection. Hortic. Res. 2020, 7, 66. [Google Scholar] [CrossRef] [PubMed]






Publisher’s Note: MDPI stays neutral with regard to jurisdictional claims in published maps and institutional affiliations. |
© 2021 by the authors. Licensee MDPI, Basel, Switzerland. This article is an open access article distributed under the terms and conditions of the Creative Commons Attribution (CC BY) license (https://creativecommons.org/licenses/by/4.0/).
Share and Cite
Rajametov, S.N.; Lee, K.; Jeong, H.-B.; Cho, M.-C.; Nam, C.-W.; Yang, E.-Y. Physiological Traits of Thirty-Five Tomato Accessions in Response to Low Temperature. Agriculture 2021, 11, 792. https://doi.org/10.3390/agriculture11080792
Rajametov SN, Lee K, Jeong H-B, Cho M-C, Nam C-W, Yang E-Y. Physiological Traits of Thirty-Five Tomato Accessions in Response to Low Temperature. Agriculture. 2021; 11(8):792. https://doi.org/10.3390/agriculture11080792
Chicago/Turabian StyleRajametov, Sherzod Nigmatullayevich, Kwanuk Lee, Hyo-Bong Jeong, Myeong-Cheoul Cho, Chun-Woo Nam, and Eun-Young Yang. 2021. "Physiological Traits of Thirty-Five Tomato Accessions in Response to Low Temperature" Agriculture 11, no. 8: 792. https://doi.org/10.3390/agriculture11080792
APA StyleRajametov, S. N., Lee, K., Jeong, H.-B., Cho, M.-C., Nam, C.-W., & Yang, E.-Y. (2021). Physiological Traits of Thirty-Five Tomato Accessions in Response to Low Temperature. Agriculture, 11(8), 792. https://doi.org/10.3390/agriculture11080792

