Changes in Sheep Behavior before Lambing
Abstract
:1. Introduction
2. Materials and Methods
2.1. Data
2.2. Observations
- Standing: The sheep is still on all four legs.
- Lying: The midway transition of when the sheep is about to lie down to when they start to rise again.
- Walking: Movement of more than two steps.
- Shuffle: Sheep circles on the spot or moves slightly with a step or two.
- Contractions: Visible straining while lying down.
2.3. Statistical Analysis
3. Results
4. Discussion
5. Conclusions
Author Contributions
Funding
Institutional Review Board Statement
Informed Consent Statement
Data Availability Statement
Conflicts of Interest
References
- Dawkins, M.S. Behaviour as a tool in the assessment of animal welfare. Zoology 2003, 106, 383–387. [Google Scholar] [CrossRef]
- Weary, D.M.; Huzzey, J.M.; von Keyserlingk, M.A.G. Board-invited review: Using behavior to predict and identify ill health in animals. J. Anim. Sci. 2009, 87, 770–777. [Google Scholar] [CrossRef] [PubMed] [Green Version]
- Barwick, J.; Lamb, D.W.; Dobos, R.; Welch, M.; Trotter, M. Categorising sheep activity using a tri-axial accelerometer. Comput. Electron. Agric. 2018, 145, 289–297. [Google Scholar] [CrossRef]
- Carslake, C.; Vázquez-Diosdado, J.A.; Kaler, J. Machine learning algorithms to classify and quantify multiple behaviours in dairy calves using a sensor: Moving beyond classification in precision livestock. Sensors 2020, 21, 88. [Google Scholar] [CrossRef] [PubMed]
- Diosdado, J.; Barker, Z.; Hodges, H.; Amory, J.; Croft, D.; Bell, N.; Codling, E. Classification of behavior in housed dairy cows using an accelerometer-based activity monitoring system. Anim. Biotelemetry 2015, 3, 15. [Google Scholar] [CrossRef] [Green Version]
- Rahman, A.; Smith, D.; Little, B.; Ingham, A.; Greenwood, P.; Bishop-Hurley, G. Cattle behavior classification from collar, halter, and ear tag sensors. Inf. Process. Agric. 2018, 5, 124–133. [Google Scholar] [CrossRef]
- Benaissa, S.; Tuyttens, F.; Plets, D.; Pessemier, T.; Trogh, J.; Tanghe, E.; Martens, L.; Vandaele, L.; Van Nuffel, A.; Joseph, W.; et al. On the use of on-cow accelerometers for the classification of behaviors in dairy barns. Res. Vet. Sci. 2019, 125, 425–433. [Google Scholar] [CrossRef] [PubMed] [Green Version]
- Vázquez-Diosdado, J.A.; Paul, V.; Ellis, K.A.; Coates, D.; Loomba, R. A combined offline and online algorithm for real-time and long-term classification of sheep behaviour: Novel approach for precision livestock farming. Sensors 2019, 19, 3201. [Google Scholar] [CrossRef] [Green Version]
- Bell, M.J.; Tzimiropoulos, G. Novel monitoring systems to obtain dairy cattle phenotypes associated with sustainable production. Front. Sustain. Food Syst. 2018, 2, 31. [Google Scholar] [CrossRef]
- Zuko, M.; Jaja, I. Primiparous and multiparous Friesland, Jersey, and crossbred cows' behavior around parturition time at the pasture-based system in South Africa. J. Adv. Vet. Anim. Res. 2020, 7, 290–298. [Google Scholar] [CrossRef] [PubMed]
- Rahman, A.N. Hormonal changes in the uterus during pregnancy—Lessons from the ewe: A review. J. Agric. Rural Dev. 2008, 4, 1–7. [Google Scholar] [CrossRef] [Green Version]
- Huzzey, J.M.; von Keyserlingk, M.A.G.; Weary, D.M. Changes in feeding, drinking, and standing behavior of dairy cows during the transition period. J. Dairy Sci. 2005, 88, 2454–2461. [Google Scholar] [CrossRef] [Green Version]
- Barrier, A.C.; Haskell, M.J.; Macrae, A.I.; Dwyer, C.M. Parturition progress and behaviours in dairy cows with calving difficulty. Appl. Anim. Behav. Sci. 2012, 139, 209–217. [Google Scholar] [CrossRef]
- Jensen, M.B. Behaviour around the time of calving in dairy cows. Appl. Anim. Behav. Sci. 2012, 139, 195–202. [Google Scholar] [CrossRef]
- Miedema, H.M.; Cockram, M.S.; Dwyer, C.M.; MacRae, A.I. Changes in the behaviour of dairy cows during the 24 h before normal calving compared with behaviour during late pregnancy. Appl. Anim. Behav. Sci. 2011, 131, 8–14. [Google Scholar] [CrossRef]
- Arnold, G.W.; Morgan, P.D. Behaviour of the ewe and lamb at lambing and its relationship to lamb mortality. Appl. Anim. Ethol. 1975, 2, 25–46. [Google Scholar] [CrossRef]
- Fogarty, E.S.; Swain, D.L.; Cronin, G.M.; Moreas, L.E.; Trotter, M. Can accelerometer ear tags identify behavioural changes in sheep associated with parturition? Anim. Reprod. Sci. 2020, 216, 106345. [Google Scholar] [CrossRef] [PubMed]
- AFRC. Energy and Protein Requirements of Ruminants: An Advisorymanual Prepared by the AFRC Technical Committee on Responses to Nutrients; Cab International: Wallingford, VT, USA, 1993. [Google Scholar]
- Smid, A.-M.C.; Weary, D.M.; von Keyserlingk, M.A.G. The influence of different types of outdoor access on dairy cattle behavior. Front. Vet. Sci. 2020, 7, 257. [Google Scholar] [CrossRef]
- Black, R.A.; Krawczel, P.D. Effect of prepartum exercise on lying behavior, labor length, and cortisol concentrations. J. Dairy Sci. 2019, 102, 11250–11259. [Google Scholar] [CrossRef]
- Bailey, D.W.; Trotter, M.G.; Knight, C.W.; Thomas, M.G. Use of GPS tracking collars and accelerometers for rangeland livestock production research. Transl. Anim. Sci. 2018, 2, 81–88. [Google Scholar] [CrossRef]
- Munoz, C.; Campbell, A.; Hemsworth, P.; Doyle, R. Animal-Based Measures to Assess the Welfare of Extensively Managed Ewes. Animals 2018, 8, 2. [Google Scholar] [CrossRef] [Green Version]
- Neethirajan, S. Transforming the adaptation physiology of farm animals through sensors. Animals 2020, 10, 1512. [Google Scholar] [CrossRef] [PubMed]
- Alvarenga, F.A.P.; Borges, I.; Palkovič, L.; Rodina, J.; Oddy, V.H.; Dobos, R.C. Using a three-axis accelerometer to identify and classify sheep behaviour at pasture. Appl. Anim. Behav. Sci. 2016, 183, 104. [Google Scholar] [CrossRef]
- Fogarty, E.S.; Swain, D.L.; Cronin, G.M.; Moreas, L.E.; Trotter, M. Behaviour classification of extensively grazed sheep using machine learning. Comput. Electron. Agric. 2020, 169, 105175. [Google Scholar] [CrossRef]




| Variable | Mean (s.e.) | Df | F Statistic | p Value 5 | |
|---|---|---|---|---|---|
| Parity | Primiparous | 0.01 (77) | 1 | 0.0000002 | 0.999 |
| Multiparous | 0.01 (77) | ||||
| Time period 1 | Period 1 | 0.001 (14.3) | 1 | 0.0000002 | 0.999 |
| Period 2 | 0.13 (0.05) | ||||
| Assistance 2 | Assisted | 0.01 (78.5) | 1 | 0.002 | 0.962 |
| Unassisted | 0.01 (77.2) | ||||
| Behavior 3 | 4 | 8.7 | <0.001 | ||
| Time period × assistance | Period 1/Assisted | 0.001 (13.1) | 1 | 0.04 | 0.850 |
| Period 1/Unassisted | 0.001 (15.6) | ||||
| Period 2/Assisted | 0.14 (0.09) | ||||
| Period 2/Unassisted | 0.13 (0.05) | ||||
| Assistance × behavior | Assisted/Contractions | 0.000001 (0.01) | 4 | 0.04 | 0.998 |
| Assisted/Lying | 0.41 (0.08) | ||||
| Assisted/Shuffle | 0.07 (0.04) | ||||
| Assisted/Standing | 0.43 (0.07) | ||||
| Assisted/Walking | 0.02 (0.02) | ||||
| Unassisted/Contractions | 0.000001 (0.02) | ||||
| Unassisted/Lying | 0.38 (0.08) | ||||
| Unassisted/Shuffle | 0.08 (0.04) | ||||
| Unassisted/Standing | 0.40 (0.08) | ||||
| Unassisted/Walking | 0.03 (0.05) | ||||
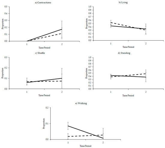
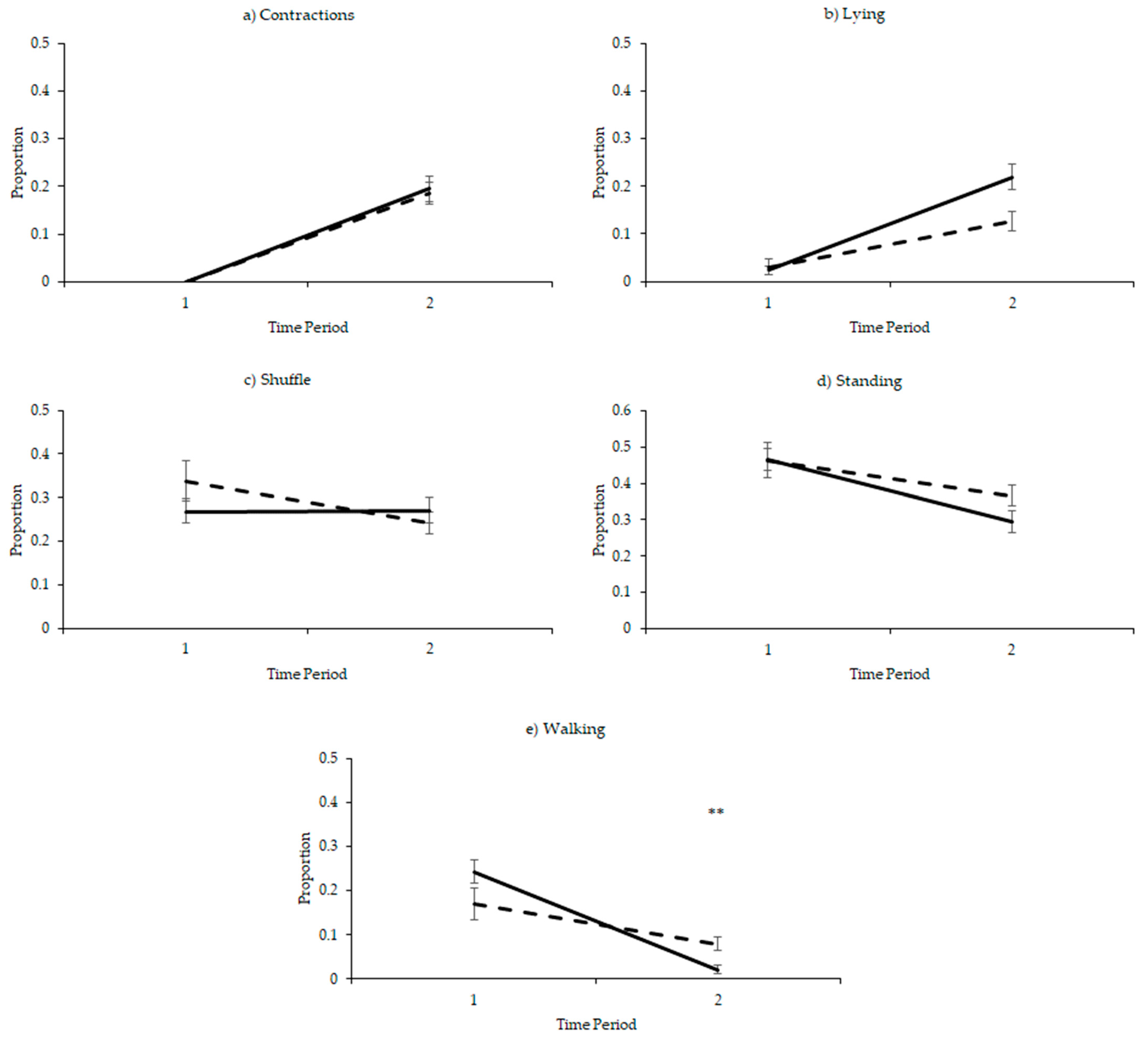
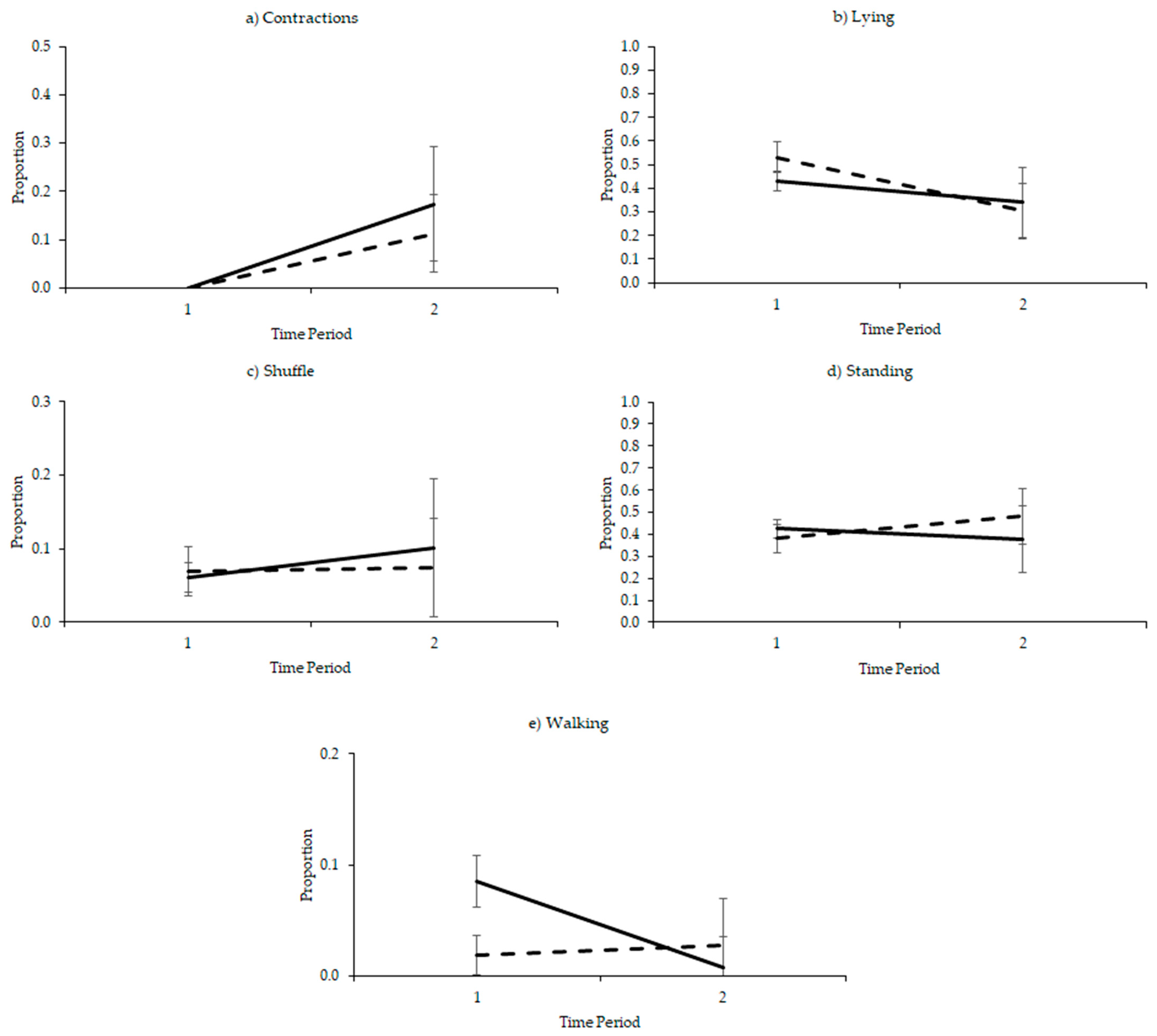
| Time period × behavior | Period 1/Contractions | 0 (0) | 4 | 0.5 | 0.715 |
| Period 1/Lying | 0.48 (0.04) | ||||
| Period 1/Shuffle | 0.07 (0.02) | ||||
| Period 1/Standing | 0.40 (0.04) | ||||
| Period 1/Walking | 0.04 (0.02) | ||||
| Period 2/Contractions | 0.14 (0.07) | ||||
| Period 2/Lying | 0.32 (0.09) | ||||
| Period 2/Shuffle | 0.09 (0.06) | ||||
| Period 2/Stand | 0.43 (0.10) | ||||
| Period 2/Walking | 0.02 (0.03) | ||||
| Time period × behavior × assistance 4 | 3 | 0.5 | 0.685 |
| Variable | Mean (s.e.) | Df | F Statistic | p Value 5 | |
|---|---|---|---|---|---|
| Parity | Primiparous | 0.02 (41.4) | 1 | 0.0000001 | 0.999 |
| Multiparous | 0.02 (41.4) | ||||
| Time period 1 | Period 1 | 0.002 (7.8) | 1 | 0.000001 | 0.999 |
| Period 2 | 0.17 (0.01) | ||||
| Assistance 2 | Assisted | 0.02 (38.7) | 1 | 1.5 | 0.219 |
| Unassisted | 0.02 (44.3) | ||||
| Behavior 3 | 4 | 53.4 | <0.001 | ||
| Time period × assistance | Period 1/Assisted | 0.002 (8.3) | 1 | 0.05 | 0.822 |
| Period 1/Unassisted | 0.002 (7.4) | ||||
| Period 2/Assisted | 0.18 (0.01) | ||||
| Period 2/Unassisted | 0.16 (0.02) | ||||
| Assistance × behavior | Assisted/Contractions | 0.000001 (0.01) | 4 | 0.7 | 0.612 |
| Assisted/Lying | 0.06 (0.02) | ||||
| Assisted/Shuffle | 0.29 (0.03) | ||||
| Assisted/Standing | 0.41 (0.03) | ||||
| Assisted/Walking | 0.12 (0.02) | ||||
| Unassisted/Contractions | 0.000001 (0.01) | ||||
| Unassisted/Lying | 0.08 (0.02) | ||||
| Unassisted/Shuffle | 0.27 (0.02) | ||||
| Unassisted/Standing | 0.38 (0.02) | ||||
| Unassisted/Walking | 0.08 (0.02) | ||||
| Time period × behavior | Period 1/Contractions | 0 (0) | 4 | 17.1 | <0.001 |
| Period 1/Lying | 0.03 (0.01) | ||||
| Period 1/Shuffle | 0.30 (0.03) | ||||
| Period 1/Standing | 0.46 (0.03) | ||||
| Period 1/Walking | 0.20 (0.02) | ||||
| Period 2/Contractions | 0.19 (0.02) | ||||
| Period 2/Lying | 0.17 (0.02) | ||||
| Period 2/Shuffle | 0.26 (0.02) | ||||
| Period 2/Standing | 0.33 (0.02) | ||||
| Period 2/Walking | 0.04 (0.01) | ||||
| Time period × behavior × assistance 4 | 3 | 5.0 | <0.01 |
Publisher’s Note: MDPI stays neutral with regard to jurisdictional claims in published maps and institutional affiliations. |
© 2021 by the authors. Licensee MDPI, Basel, Switzerland. This article is an open access article distributed under the terms and conditions of the Creative Commons Attribution (CC BY) license (https://creativecommons.org/licenses/by/4.0/).
Share and Cite
Waters, B.E.; McDonagh, J.; Tzimiropoulos, G.; Slinger, K.R.; Huggett, Z.J.; Bell, M.J. Changes in Sheep Behavior before Lambing. Agriculture 2021, 11, 715. https://doi.org/10.3390/agriculture11080715
Waters BE, McDonagh J, Tzimiropoulos G, Slinger KR, Huggett ZJ, Bell MJ. Changes in Sheep Behavior before Lambing. Agriculture. 2021; 11(8):715. https://doi.org/10.3390/agriculture11080715
Chicago/Turabian StyleWaters, Beatrice E., John McDonagh, Georgios Tzimiropoulos, Kimberley R. Slinger, Zoë J. Huggett, and Matt J. Bell. 2021. "Changes in Sheep Behavior before Lambing" Agriculture 11, no. 8: 715. https://doi.org/10.3390/agriculture11080715
APA StyleWaters, B. E., McDonagh, J., Tzimiropoulos, G., Slinger, K. R., Huggett, Z. J., & Bell, M. J. (2021). Changes in Sheep Behavior before Lambing. Agriculture, 11(8), 715. https://doi.org/10.3390/agriculture11080715

