Chemical and Spectroscopic Parameters Are Equally Sensitive in Describing Soil Organic Matter Changes After Decades of Different Fertilization
Abstract
1. Introduction
2. Materials and Methods
2.1. Site Description and Experimental Design
2.2. Soil Sampling and Sample Processing
2.3. Statistics
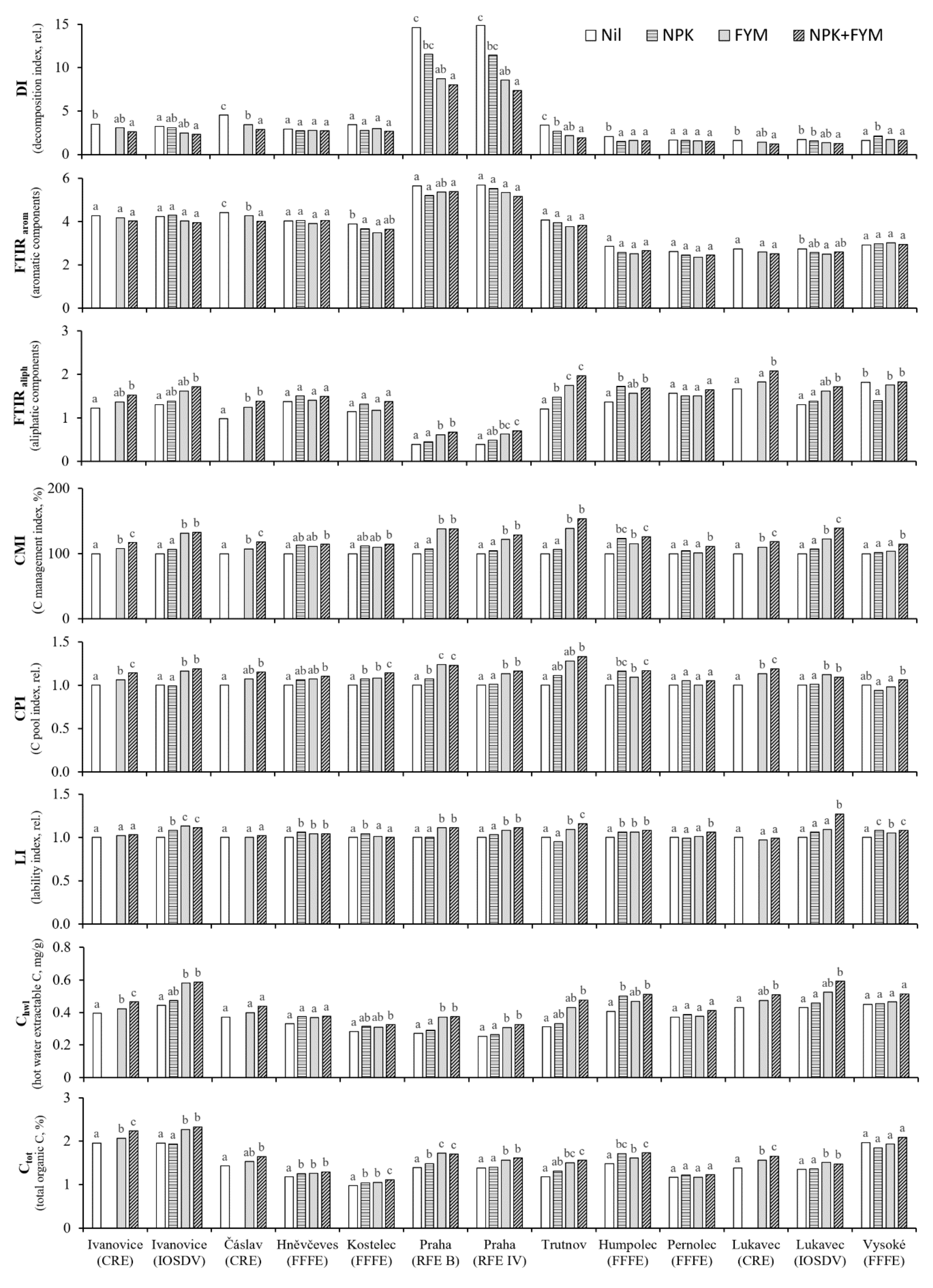
3. Results and Discussion
3.1. Total Organic C
3.2. Hot Water Extractable C
3.3. Indices Derived from Chemical Analyses
3.4. FTIR Spectroscopy-Aliphatic and Aromatic SOM Components
3.5. Index Derived from FTIR Spectra
3.6. Relationships
3.7. Detection of Soil Organic Carbon Changes
4. Conclusions
Author Contributions
Funding
Conflicts of Interest
References
- Maillard, E.; Angers, D.A. Animal manure application and soil organic carbon stocks: A meta-analysis. Glob. Chang. Biol. 2013, 20, 666–679. [Google Scholar] [CrossRef] [PubMed]
- Moeskops, B.; Buchan, D.; Van Beneden, S.; Fievez, V.; Sleutel, S.; Gasper, M.S.; D’Hose, T.; De Neve, S. The impact of exogenous organic matter on SOM contents and microbial soil quality. Pedobiologia 2012, 55, 175–184. [Google Scholar] [CrossRef]
- Jangid, K.; Williams, M.A.; Franzluebbers, A.J.; Sanderlin, J.S.; Reeves, J.H.; Jenkins, M.B.; Endale, D.M.; Coleman, D.S.; Whitman, W.B. Relative impacts of land-use, management intensity and fertilization upon soil microbial community structure in agricultural systems. Soil Biol. Biochem. 2008, 40, 2843–2853. [Google Scholar] [CrossRef]
- Mikanová, O.; Šimon, T.; Kopecký, J.; Ságová-Marečková, M. Soil biological characteristics and microbial community structure in a field experiment. Open Life Sci. 2015, 10, 249–259. [Google Scholar] [CrossRef]
- Gu, Y.; Zhang, X.; Tum, S.; Lindstrom, K. Soil microbial biomass, crop yields, and bacterial community structure as affected by long-term fertilizer treatments under wheat-rice cropping. Eur. J. Soil. Biol. 2009, 45, 239–246. [Google Scholar] [CrossRef]
- Wei, D.; Yang, Q.; Zhang, J.Z.; Wang, S.; Chen, X.L.; Zhang, X.L.; Li, W.Q. Bacterial community structure and diversity in a black soil as affected by long-term fertilization. Pedeosphere 2008, 18, 582–592. [Google Scholar] [CrossRef]
- Yang, X.; Ren, W.; Sun, B.; Zhang, S. Effects of contrasting soil management regimes on total and labile soil organic carbon fractions in a loess soil in China. Geoderma 2012, 177–178, 49–56. [Google Scholar] [CrossRef]
- Körschens, M. Importance of soil organic matter (SOM) for biomass production and environment (a review). Arch. Agron. Soil Sci. 2002, 48, 89–94. [Google Scholar] [CrossRef]
- Körschens, M.; Kubát, J. Soil organic matter—Climate change—Carbon sequestration? The importance of long-term field experiments. In 60th Anniversary of Long-Term Field Experiments in the Czech Republic. Book of Abstracts and Proceedings of the International Conference; Crop Research Institute: Prague, Czech Republic, 2015; pp. 43–50. [Google Scholar]
- Haynes, R.J. Labile organic matter fractions as central components of the quality of agricultural soils: An overview. Adv. Agron. 2005, 85, 221–268. [Google Scholar]
- Ghani, A.; Dexter, M.; Perrot, K.W. Hot-water extractable carbon in soils: A sensitive measurement for determining impacts of fertilization, grazing and cultivation. Soil Biol. Biochem. 2003, 35, 1231–1243. [Google Scholar] [CrossRef]
- Blair, G.J.; Lefroy, R.D.B.; Lisle, L. Soil carbon fractions based on their degree of oxidation and the development of a carbon management index for agricultural systems. Aust. J. Agric. Res. 1995, 46, 1459–1466. [Google Scholar] [CrossRef]
- Demyan, M.S.; Rasche, F.; Schulz, E.; Breulmann, M.; Müller, T.; Cadisch, G. Use of specific peaks obtained by diffuse reflectance Fourier transform mid-infrared spectroscopy to study the composition of organic matter in a Haplic Chernozem. Eur. J. Soil Sci. 2012, 63, 189–199. [Google Scholar] [CrossRef]
- Chefetz, B.; Hader, Y.; Chen, Y. Dissolved organic carbon fractions formed during composting of municipal solid waste: Properties and significance. Acta Hydrochim. Hydrobiol. 1998, 26, 172–179. [Google Scholar] [CrossRef]
- Calderón, F.; Haddix, M.; Conant, R.; Magrini-Bair, K.; Paul, E. Diffuse-Reflectance Fourier Transform Mid-Infrared Spectroscopy as a method of characterizing changes in soil organic matter. Soil Sci. Soc. Am. J. 2013, 77, 1591–1600. [Google Scholar] [CrossRef]
- Stehlíková, I.; Madaras, M.; Lipavský, J.; Šimon, T. Study on some soil quality changes obtained from long-term experiments. Plant Soil Environ. 2016, 62, 74–79. [Google Scholar] [CrossRef]
- Körschens, M.; Schulz, E.; Behm, R. Hot water extractable carbon and nitrogen of soils as a criterion for their ability of N-release. Zbl. Mikrobiol. 1990, 145, 305–311. [Google Scholar]
- Kuzyakov, Y.; Friedel, J.K.; Stahr, K. Review of mechanisms and quantification of priming effects. Soil Biol. Biochem. 2000, 32, 1485–1498. [Google Scholar] [CrossRef]
- Li, Z.P.; Liu, M.; Wu, X.C.; Han, F.X.; Zhang, T.L. Effects of long-term chemical fertilization and organic amendments on dynamics of soil organic C and total N in paddy soil derived from barren land in subtropical China. Soil Till. Res. 2010, 106, 268–274. [Google Scholar] [CrossRef]
- Qi, R.; Li, J.; Lin, Z.; Li, Z.; Li, Y.; Yang, X.; Zhang, J.; Zhao, B. Temperature effects on soil organic carbon, soil labile organic carbon fractions, and soil enzyme activities under long-term fertilization regimes. Appl. Soil Ecol. 2016, 102, 36–45. [Google Scholar] [CrossRef]
- Schulz, E.; Körschens, M. Characterization of the decomposable part of soil organic matter (SOM) and transformation processes by hot water extraction. Eurasian Soil Sci. 1998, 31, 809–813. [Google Scholar]
- Margenot, A.J.; Calderón, F.J.; Bowles, T.M.; Parikh, S.J.; Jackson, L.E. Soil organic matter functional group composition in relation to organic carbon, nitrogen, and phosphorus fractions in organically managed tomato fields. Soil Sci. Soc. Am. J. 2015, 79, 772–782. [Google Scholar] [CrossRef]
- Leifeld, J.; Bassin, S.; Fuhrer, J. Carbon stocks in Swiss agricultural soils predicted by land-use, soil characteristics, and altitude. Agric. Ecosyst. Environ. 2005, 105, 255–266. [Google Scholar] [CrossRef]
- Rial, M.; Cortizas, A.M.; Rodríguez-Lado, L. Mapping soil organic carbon content using spectroscopic and environmental data: A case study in acidic soils from NW Spain. Sci. Total Environ. 2016, 539, 26–35. [Google Scholar] [CrossRef] [PubMed]
- Paustian, K.; Collier, S.; Baldock, J.; Burgess, R.; Creque, J.; DeLonge, M.; Dungait, J.; Ellert, B.; Frank, S.; Goddard, T.; et al. Quantifying carbon for agricultural soil management: From the current status toward a global soil information system. Carbon Manag. 2019, 10, 567–587. [Google Scholar] [CrossRef]


| Site | °N | °E | Alt.(m) | T(°C) | Prec. (mm) | Taxonomical Units | Texture Class | Clay Content (<0.002) (%) | 
|---|---|---|---|---|---|---|---|---|
| Ivanovice | 49.31 | 17.10 | 225 | 8.8 | 549 | Luvi-haplic Chernozem | Loam | 22 | 
| Čáslav | 49.89 | 15.39 | 240 | 8.9 | 555 | Orthic Greyzem | Loam | 21 | 
| Hněvčeves | 50.31 | 15.72 | 265 | 8.2 | 573 | Orthic Luvisol | Clay-loam | 20 | 
| Kostelec | 50.13 | 16.19 | 290 | 7.6 | 681 | Orthic Luvisol | Sandy-loam | 20 | 
| Praha-Ruzyně | 50.09 | 14.30 | 340 | 7.9 | 472 | Orthic Luvisol | Clay-loam | 33 | 
| Trutnov | 50.56 | 15.89 | 427 | 7.5 | 750 | Euthric Cambisol | Sandy-loam | 18 | 
| Humpolec | 49.56 | 15.35 | 525 | 6.5 | 667 | Stagno-gleyic Cambisol | Sandy-loam | 17 | 
| Pernolec | 49.78 | 12.68 | 530 | 7.1 | 559 | Stagno-gleyic Cambisol | Sandy-loam | 18 | 
| Lukavec | 49.56 | 14.98 | 610 | 6.8 | 667 | Stagno-gleyic Cambisol | Sandy-loam | 14 | 
| Vysoké nad Jizerou | 50.67 | 15.41 | 670 | 6.5 | 995 | Dystric Cambisol | Loamy-sand | 15 | 
| Experiment | Crop Rotation a | N | P | K | Manure | 
|---|---|---|---|---|---|
| kg ha−1 year−1 | t ha −1 year−1 | ||||
| RFE field B | SW-SB | 100 | 26 | 75 | 10.5 | 
| RFE field IV | AL-AL-WW-SB-SBA-POT-WW-SB-SBA | 63 | 24 | 109 | 6.5 | 
| CRE | various-(WW or TR)-POT or CB or SM)-(SBA or WW) | 80 | 40 | 80 | 10 | 
| Trutnov exp. | WW-POT-SBA-LCM-WW-POT-O-CL | 71 | 33 | 99 | 10 | 
| FFFE | AL (CL b)-WW-SM-WW-SBA-SB (POT b)-SBA | 100 | 40 | 70 | 10 | 
| IOSDV | SB (POT c)-SBA-WBA | 120 | 35 | 83 | 10 | 
| Parameter | Ctot | Chwl | FTIRaliph | FTIRarom | DI | CPI | LI | 
|---|---|---|---|---|---|---|---|
| Chwl | 0.636 ** | ||||||
| FTIRaliph | 0.205 | 0.741 ** | |||||
| FTIRarom | 0.080 | −0.576 ** | −0.818 ** | ||||
| DI | −0.074 | −0.634 ** | −0.906 ** | 0.840 ** | |||
| CPI | 0.215 | 0.296 * | 0.178 | 0.118 | −0.044 | ||
| LI | 0.312 * | 0.515 ** | 0.130 | 0.003 | −0.073 | 0.466 ** | |
| CMI | 0.292 * | 0.439 ** | 0.177 | 0.091 | −0.057 | 0.909 ** | 0.791 ** | 
© 2020 by the authors. Licensee MDPI, Basel, Switzerland. This article is an open access article distributed under the terms and conditions of the Creative Commons Attribution (CC BY) license (http://creativecommons.org/licenses/by/4.0/).
Share and Cite
Šimon, T.; Madaras, M. Chemical and Spectroscopic Parameters Are Equally Sensitive in Describing Soil Organic Matter Changes After Decades of Different Fertilization. Agriculture 2020, 10, 422. https://doi.org/10.3390/agriculture10090422
Šimon T, Madaras M. Chemical and Spectroscopic Parameters Are Equally Sensitive in Describing Soil Organic Matter Changes After Decades of Different Fertilization. Agriculture. 2020; 10(9):422. https://doi.org/10.3390/agriculture10090422
Chicago/Turabian StyleŠimon, Tomáš, and Mikuláš Madaras. 2020. "Chemical and Spectroscopic Parameters Are Equally Sensitive in Describing Soil Organic Matter Changes After Decades of Different Fertilization" Agriculture 10, no. 9: 422. https://doi.org/10.3390/agriculture10090422
APA StyleŠimon, T., & Madaras, M. (2020). Chemical and Spectroscopic Parameters Are Equally Sensitive in Describing Soil Organic Matter Changes After Decades of Different Fertilization. Agriculture, 10(9), 422. https://doi.org/10.3390/agriculture10090422
 
        
 
       