Abstract
Today, consumers are very concerned regarding food quality, nutritional composition and positive health effects of consumed foods. In this context, the preference and consumption of organic products has been increasing worldwide. In the present work, sweet peppers in two maturation stages (i.e., green and red peppers) from organic and conventional production systems were evaluated in regards to phenolic composition and antioxidant activity. Nine phenolic compounds were identified and quantified by a high-performance liquid chromatography-diode-array detector (HPLC-DAD), namely resveratrol, meta-coumaric acid, ortho-coumaric acid, clorogenic acid, caffeic acid, myricetin, rutin, luteolin-7-O-glucoside and quercitin-3-O-rhamnoside. In contrast to the production system, the maturation stage showed a pronounced significant effect on the phenolic composition of the studied sweet peppers; in general, green peppers possessed higher contents than red ones. Meta-coumaric acid, ortho-coumaric acid and quercitin-3-O-rhamnoside were more abundant in green conventional peppers and chlorogenic acid, caffeic acid and rutin were found in higher levels in red organic peppers. Regarding the antioxidant activity, green conventional peppers showed the highest DPPH, ABTS•+ and total reducing capacities, while red conventional peppers had higher TEAC values. Finally, principal component analysis showed that the phenolic composition together with the antioxidant capacities could be used to differentiate the production system and the maturation stage of sweet peppers. This finding confirmed that both factors influenced the peppers’ phenolic composition and antioxidant capacity, allowing their possible use as maturation–production biomarkers.
1. Introduction
Sweet pepper (Capsicum annuum L.), is one of the most popular and consumed vegetables around the world. The high diversity of fruit forms and colors, in many cases related to its maturation degree, and also its pungency, specific taste and/or distinct aroma make sweet peppers very popular and an excellent ingredient to be included in many types of diets and dishes with high attractiveness for several types of consumers [1].
In the last decades, there has been an increasing concern by consumers for healthier, safer and high-quality foods produced under environmentally friendly practices and economically fair modes. In this sense, the worldwide demand for organic products has increased, and is expected to undergo a sharper increase in the coming years [2,3,4]. Consumers believe that organic products are of better quality, tastier, with high amounts of vitamins and other healthy compounds and are consequently more nutritious, and these perceptions are the main driver of the observed increase in preference for organic products [5]. This perception is usually related to the fact that the use of chemical fertilizers or synthetic plant protection products are not permitted in organic farming [6,7,8], being in-line with the reported higher levels of bioactive compounds reported for organic compared to conventional sweet peppers [8,9]. Sweet peppers are, in general, recognized as a potential food source of vitamins, phenolic compounds, carotenoids and flavonoids, which possess known positive health effects [8,10]. Besides the agronomic production system [11,12,13,14,15,16], the richness in bioactive compounds (e.g., carotenoids and phenolic compounds) and the related antioxidant capacities greatly depend on the sweet peppers’ cultivar [17,18,19,20] and on the fruits’ maturation stage [10,21]. Several phenolic compounds have been detected and quantified in sweet peppers. The phenolics have been detected in both free and bound forms [20]. Depending on the cultivar, production system, maturation stage, environmental-climatic conditions and geographical origin, several phenolics have been found, including flavonoids and hydroxycinnamic acids. In fact, apigenin, caffeic, chlorogenic, ferulic, p-courmaric, p-hydroxybenzoic, rosmarinic, sinapic and vanillic, acids, naringenin, quercetin-3-O-glucoside and luteolin have been found in different levels, not always considering the effect of some of the above mentioned factors [16,18,19,20,21,22,23,24,25,26,27].
Therefore, it still is of utmost interest to assess the specific phenolic composition of different sweet pepper cultivars, as well as to establish the possible effects of the production system and maturation stage. Indeed, it has been previously reported that the phenolic profiles alone or coupled with other chemical data (e.g., volatile fraction composition and antioxidant activity data, among others) allowed for differentiating peppers’ cultivars [26,28], such as red pepper cultivars grown under different shade and controlled-temperature conditions [20], fresh and cooked sweet peppers of two cultivars [27], sweet and hot peppers [29] as well as fresh and dried red peppers grown under conventional or organic systems [16]. Recently, the research team has shown that chemical-sensory data and potentiometric signal profiles, recorded using a lab-made electronic tongue could be satisfactorily used as biomarkers of sweet peppers’ agronomic production system (organic versus conventional) and the maturation stage (green versus red fruits) [30]. In the present work, we intended to evaluate the effect of the production system (organic and conventional) and maturation stage (green and red colors) on the phenolic composition and on the antioxidant activity of sweet peppers from the Entinas variety. These effects were further evaluated based on unsupervised (principal component analysis, PCA) and/or supervised (linear discriminant analysis, LDA) pattern recognition techniques. To limit/overcome the known influence of non-controlled external factors (e.g., sweet pepper varieties, agro-climatic conditions, soil compositions, harvest time-periods, among others), the study was limited to a single pepper variety grown by two producers within the same geographical area. This option allowed a deep evaluation of the two factors under study (production system and maturation stage), although it posed some additional difficulties in establishing an optimal and general study model.
2. Materials and Methods
2.1. Sweet Peppers Production System and Sampling
For this study, two different sweet peppers (Capsicum annuum L.) producers were selected. Both producers, one organic and one conventional, were located near Coimbra, in the center region of Portugal with around one kilometer of distance between fields. The organic producer followed the organic production European Commission guidelines [6], and the conventional producer followed the conventional rules of agricultural production without the limitations of use of pesticides and fertilizers. The peppers’ producers were selected taking into account some aspects, namely, soil with similar physical and chemical characteristics. Soil of both fields was analyzed before the experiment. The organic field presented a pH value of 6.4, organic matter 1.5%, 105 mg P2O5 kg−1 (available P) and 156 mg K2O kg−1 (available K), whereas the values for the conventional field were 6.0 for pH, 1.8% for organic matter, 181 mg P2O5 kg−1 for available P and 134 mg K2O kg−1 for available K. The production occurred in open field conditions. The planting of sweet pepper seedlings, from the Entinas variety, was performed in the last days of May 2018. The number of plants per hectare was 22 222 (75 cm between rows, 60 between plants). In both fields, plants were drip-irrigated with water from Mondego River, with a flow rate of 2.66 L s−1 per emitter during 20 min every two or three days according to the climatic conditions. In the organic field, nutritional requirements were supplied by the incorporation of 29.6 t ha−1 (5.8 g of N kg−1, 2.8 g P2O5 kg−1 and 5.3 g K2O kg−1) of horse manure on soil before planting. In the conventional field, chemical fertilizers were used at a rate of 700 kg ha−1 before sweet pepper planting. The fertilizer was composed of 7% N, 14% P2O5, 14% K2O, 3% CaO, 2% MgO, 9% SO3 and 0.02% B; this was reinforced in late July with 300 kg ha−1 of a fertilizer composed of 27% N and 4% CaO. A phytosanitary treatment was applied against aphids (100 g L−1 of deltamethrin) in the conventional field. The harvest of sweet peppers occurred in the second week of September 2018, and from each production system (organic and conventional) two different maturation stages were selected. The first, green, corresponds to completely developed fruits that have reached the requirements to be collected; and the red corresponds to an advancement of maturation when fruits are completely red. For each production system and each color, five independent 2 kg samples were collected, for a total of 20 independent samples. Afterward, the fruits were transported to the laboratory, washed, had all non-edible parts removed, frozen at −20 °C and lyophilized until analysis.
2.2. Sweet Peppers Phenolic Compounds Evaluation by High-Performance Liquid Chromatography-Diode-Array Detector (HPLC-DAD)
The evaluation of the phenolic composition of sweet pepper samples was performed using a solid–liquid extraction followed by a high-performance liquid chromatography (HPLC)-diode-array detector (DAD) injection to identify each phenolic present in each sample. The extraction of phenolic samples was performed by mixing 40 mg dried powder (dw) of each sample with 950 µL of 70% methanol and 50 µL of internal standard (naringin). Each mixture was agitated thoroughly in a vortex and placed in a thermoblock at 70 °C for 45 min, and then centrifuged (Centrifuge 5804 R, Eppendorf, Hamburg, Germany) at 4000 rpm for 15 min. The extracts were then filtered (Fisherbrand Ø 90 mm) and supernatants transferred to amber vials and stored at −20 °C (Chromacol 2-SVWK(A)ST-CPK, ThermoScientific, Langerwehe, Germany) until further analysis. The HPLC-DAD system used was a Gilson HPLC (Villers-le-bel, France) equipped with a Finnigan/Surveyor DAD (Thermo Electron, San Jose, CA, USA, C18 column (250 × 4.6 mm, 5 μm) (ACE, Aberdeen, Scotland) with an eluent composed of water with 0.1% of trifluoroacetic acid (TFA) (solvent A) and acetonitrile with 0.1% TFA (solvent B) and a flow rate of 1 mL min−1. The gradient used started from 0% solvent B at 0 min, 0% solvent B at 5 min, 20% solvent B at 15 min, 50% solvent B at 30 min, 100% solvent B at 45 min, 100% solvent B at 50 min, 0% solvent B at 55 min and 0% solvent B at 60 min. The chromatograms were recorded at 254, 280, 320 and 370 nm. The identification of phenolics was based on their peak retention times, UV spectra and UV max absorbance bands in comparison with commercial standards (resveratrol, meta-coumaric acid, ortho-coumaric acid, chlorogenic acid, caffeic acid, myricetin, rutin, luteolin-7-O-glucoside, quercitin-3-O-ramnoside; Extrasynthese, Genay, Rhône, France) and literature. Phenolics were quantified using the internal standard method and the results expressed in μg g−1 dw as the mean ± standard error of three replicates.
2.3. Sweet Peppers Antioxidant Activity Assays
2.3.1. Preparation of Extracts
The different samples were split according to the production system (organic and conventional) and maturation stage (green and red). All peppers were washed, cut, cleaned of seeds, frozen in plastic bags and then freeze-dried. Afterward, the extraction was performed using 600 mg of freeze-dried sample in 150 mL of water–methanol solution (70:30, v/v), at 70 °C for 45 min. Afterward, methanol was removed using a rotary evaporator (Stuart Re300), and the remaining water was removed by freeze-drying until a dry extract was obtained. Typical electron transfer antioxidant-based assays were performed, including DPPH, ABTS•+ and TEAC.
2.3.2. Determination of the Blocking Effect of 2,2-Diphenyl-1-Picrilhhydrazyl Free Radicals (DPPH)
The evaluation method used to detect the ability to block DPPH free radicals from pepper extracts was described by Hatano et al. [31]. Thus, 0.3 mL of extract with predetermined concentrations of each sample was mixed with 2.7 mL of a methanolic solution containing DPPH radicals (6 × 10−5 mol L−1) (Sigma–Aldrich, St Louis, MO, USA). The mixture was vigorously stirred and left to stand in the dark at room temperature for 60 min, until stable absorbance values were obtained. The spectrophotometric reading was done at 517 nm in a UV-Visible UV-1280 spectrophotometer model Shimadzu and the results were presented as a percentage of DPPH discoloration, using the following equation:
% Blocking effect = [(ADPPH − AA)/ADPPH] × 100
The antioxidant activity values corresponding to the absorbance of the solution with the sample extract and the ADPPH values the absorbance of the DPPH solution (white).
2.3.3. Radical Scavenging Activity (ABTS•+)
The formation of the ABTS radical [2,2′-azinobis-(3-ethylbenzothiazoline-6-sulfonic acid)] is the basis of one of the spectrophotometric methods that has been applied to measure the antioxidant activity of products. The peppers’ radical scavenging activity was carried out following the method of Sánchez et al. [32] with some modifications described below. To prepare the solution, 25 mL of ABTS•+ solution was used. The radical was generated using 0.440 mL of the potassium persulfate solution; after stirring, it was placed in the dark for 12 to 16 h. The solution was diluted with absolute ethanol until an absorbance of 0.70 ± 0.02 was obtained, read at λ = 734 nm. Once the radical was formed, 2 mL of ABTS•+ solution was mixed with 0.1 mL of the sample with the previously determined concentration. After 6 min of reaction, each sample was read at 734 nm on a Shimadzu UV-Visible UV-1280 spectrophotometer. The results were presented in percentage of ABTS•+ discoloration using the same equation presented in the free radical blocking effect (DPPH) method.
2.3.4. Reducing Power
To perform the assessment of the reducing power of the extracts, the method described by Berker et al. was used [33]. Thus, 1 mL of the extract solution was used, 2.5 mL of 0.2 M sodium phosphate buffer solution with a pH of 6.6 and 2.5 mL of potassium ferrocyanide (K3Fe(CN)6) to 1%. The formed mixture was stirred and incubated at 50 °C for 20 min in a water bath. After cooling the samples, 2.5 mL of 10% (w/v) trichloroacetic acid was added and stirred vigorously. After this, 2.5 mL of the mixture supernatant was removed and 2.5 mL of distilled water and 0.5 mL of 0.1% iron (III) chloride were added. After the mixture with all the necessary reagents was ready, we waited for 2 min and the reading to assess the reducing capacity was made at 700 nm absorbance. The results obtained were expressed in mg Trolox per g of sample.
2.4. Statistical Analysis
One-way ANOVA was applied to discuss the statistical significance of the agronomic production system–maturation stage effect on the individual and total phenolic composition as well as on the antioxidant radical scavenging activity. In the case that a statistically significant effect was detected (i.e., p-value < 0.05) the post-hoc multi-comparison Tukey’s test was further used to identify which levels were or were not significantly different. Boxplots were used to visualize the statistical results. As usual, the 1st, 2nd (median) and 3rd quartiles were plotted and the box bars represented the values that are within the 1st and 3rd quartiles. Additionally, whiskers were plotted (vertical lines) from the middle of the top and bottom edges of each box. The whiskers were 1.5 times the inner quartile spread in length, being measured from the median. The whiskers provided an arbitrary cutoff point to identify data points that were possible outside values. Minimum and maximum values that fell outside the whisker range were plotted (dot symbols) and symbolized possible extreme values or outliers.
In addition, the differentiation/discrimination of the agronomic production system and/or fruit’s maturation stage was also evaluated (unsupervised and supervised classifications) using, respectively, the principal component analysis (PCA) or the linear discriminant analysis (LDA). The unsupervised differentiation performance was evaluated using 3D-plots of the first three principal components (PCs). The supervised classification technique was implemented together with the simulated annealing (SA) algorithm (i.e., a variable selection meta-heuristic algorithm) to choose the non-redundant variables with the most discrimination potential and to minimize noise effects [34,35]. The predictive performances of the LDA-SA models were checked using two cross-validation (CV) variants, namely the leave-one-out cross-validation (LOO-CV) and the repeated K-fold-CV (with 10 repeats and K set equal to 4, allowing that 25% of the data were used for validation purposes at each iteration). For both variants, the percentage of correct classifications (i.e., the model’s sensitivity) was calculated. The statistical analysis was performed using the Subselect [35] and MASS [36] packages of the open source statistical program R (version 2.15.1), at a 5% significance level.
3. Results and Discussion
3.1. Phenolic Composition of Entinas Sweet Peppers
Nine phenolic compounds (caffeic, chlorogenic, m-coumaric and o-coumaric acids, luteolin-7-O-glucoside, myricetin, resveratrol, rutin and quercetin-3-O-rhamnoside) were detected by HPLC-DAD in all the studied Entinas sweet pepper samples grown under both conventional and organic systems and at the two maturation stages (green and red peppers). The contents (in μg g−1 dw) of the nine phenolic compounds quantified in Entinas peppers are shown in Figure 1 as well as in Table S1, according to the maturation stage (green and red peppers) and the agronomic production system (conventional and organic systems). The less abundant phenolic was m-coumaric acid (red organic peppers with a mean content of 1.15 μg g−1 dw) and the most abundant one was luteolin-7-O-glucoside (green conventional peppers with a mean content of 458.54 μg g−1 dw). Although the cultivar, production system, fruits’ maturation stage, environmental-climatic conditions and post-harvest treatments significantly influence the peppers’ phenolic composition and contents, in general, the identified phenolics and respective levels found for the Entinas peppers were in-line with the wide range of values previously reported for other sweet pepper cultivars [16,19,20,21,23,25,26,27,37]. As can be visualized, for each phenolic compound, the contents varied within each production system–maturation stage group. Still, significant statistical differences (p-values < 0.05, for one-way ANOVA) were found among the contents of the individual phenolic compounds of green and red peppers grown under conventional or organic systems. Green peppers had higher contents of chlorogenic, m-coumaric and o-coumaric acids, as well as of resveratrol, myricetin, luteolin-7-O-glucoside and quercetin-3-O-rhamnoside compared to red peppers; these two latter phenolics were the most abundant ones. This finding pointed out that, with the exception of caffeic acid and rutin, maturation promoted a significant decrease of the abundance of the majority of the individual phenolic compounds. Similar trends were reported for total phenolic contents decreasing with the ripening type in different pepper cultivars [38,39]. The observed decreasing trend could be tentatively attributed to the synthesis of amino acids (e.g., phenylalanine, tyrosine, among others), in the early stage of fruit ripening, which enter the metabolic pathway of the shikimic acid, acting as precursors of phenolic acid formation, leading to possible higher contents in green fruits. However, other works also showed that the phenolic content trend (decrease or increase) with the maturation stage could be cultivar-dependent [40]. Indeed, an increasing trend of the total phenolic contents (TPC) with the ripening time was described for green and red bell peppers [41].
Figure 1.
Individual phenolic compounds quantified (in μg g−1 dw), by High-Performance Liquid Chromatography-Diode-Array Detector (HPLC-DAD), in sweet pepper samples according to the maturation stage (green or red peppers) and agronomic production system (conventional or organic systems). Box bars represent the values that are within the 1st and 3rd quartiles and the horizontal line represents the 2nd quartile (median). Vertical lines from the middle of the top and bottom edges of each box represent the whiskers. Dot points represent minimum or maximum values that fall outside the whisker range (extreme values or outliers). Different lower case letters mean significant statistical differences (p-value < 0.05) among maturation–production levels.
On the other hand, although several studies reported that peppers grown under the organic system were richer in phenolics, namely in total phenol content compared to those grown under the conventional system [8,9,14,16], the results of the present study (Figure 1) show that, sometimes, conventional peppers possessed greater contents of some individual phenolic compound.
In fact, Entinas peppers produced in the conventional system had higher contents of m-coumaric and o-coumaric acids, myricetin, luteolin-7-O-glucoside and quercetin-3-O-rhamnoside, but lower contents of caffeic acid, resveratrol and rutin, compared to those grown under the organic system. However, Marín et al. [22] observed slight differences among the contents of individual and total phenolic compounds of green and red peppers cultivated under organic, integrated or soil-less systems.
The opposite findings reported in the literature, together with those of the present study clearly show the difficulty in attempting to establish a priori the effects of the agronomic production system and/or maturation stage on the phenolic composition of sweet peppers, pointing out the relevance of factors such as cultivar, environmental-climatic conditions and post-harvest treatments. If an optimal and general evaluation model was envisaged, a broader study would be needed, which should take into account different sweet pepper varieties grown in different geographical regions under different agronomic practices and subjected to different climatic conditions. However, several evaluation difficulties would arise from such a wide-ranging approach, leading to a complex data analysis where main conclusions could be hard to identify and further extrapolate to other practical cases.
3.2. Antioxidant Activity and Total Phenolic Content of Entinas Sweet Peppers
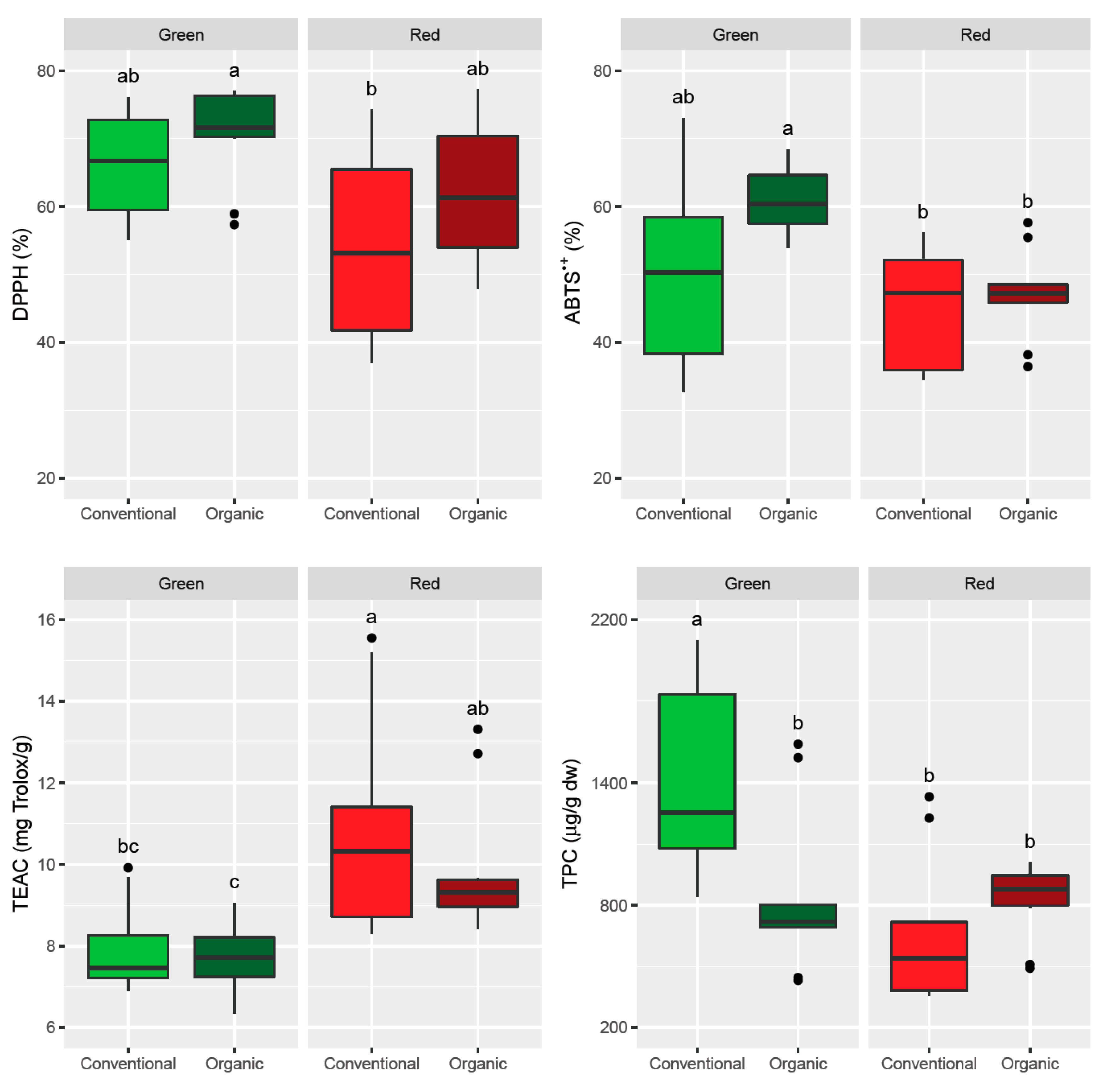
The total phenolic contents (TPC), calculated as the sum of the individual contents of the detected phenolics, as well as the antioxidant activities (DPPH, in %; ABTS•+, in %; and TEAC, in mg Trolox g−1) of the Entinas sweet peppers are shown in Figure 2, according to the production system (conventional and organic) and maturation stage (green and red). The mean TPC values varied from 656 to 1400 μg g−1 dw for red and green conventional peppers, respectively, which is in agreement with the wide range of literature values determined using either spectrophotometric (Folin–Ciocalteu based-method: 300–7700 μg g−1) [21,27,41,42,43] or chromatographic assays (LC coupled or not with MS: 120–4000 μg g−1) [16,20,27]. These values greatly depend on several factors, including, pepper cultivar, production system, environmental-climatic conditions, maturation stage and post-harvest treatments. Similarly, red and green conventional peppers showed, respectively, the lowest and highest mean DPPH (varying from 55% to 71%) and ABTS•+ (ranging between 45% and 61%) radical scavenging activities. An opposite finding was observed for TEAC, for which red conventional peppers had the greater values (11 mg Trolox g−1) and green conventional peppers had the lower ones (8 mg Trolox g−1). It should be noted that the DPPH values found are in accordance with the values reported by several research teams (varying from 45% to 87%) for different pepper cultivars at different maturation stages and grown under different agronomic systems [43,44,45].
Figure 2.
Antioxidant activities (DPPH, in %; ABTS•+, in %; and, TEAC, in mg Trolox g−1) and total phenolic contents (TPC) (sum of individual phenolics, in μg g−1 dw) of sweet peppers according to the maturation stage (green or red peppers) and agronomic production system (conventional or organic systems). Box bars represent the values that are within the 1st and 3rd quartiles and the horizontal line represents the 2nd quartile (median). Vertical lines from the middle of the top and bottom edges of each box represent the whiskers. Dot points represent minimum or maximum values that fall outside the whisker range (extreme values or outliers). Different lower case letters mean significant statistical differences (p-value < 0.05) among maturation–production levels.
Overall, green peppers had significantly greater DPPH and ABTS•+ activities compared to red peppers, probably due to the higher TPC, but showed lower TEAC. Thus, the TPC and antioxidant activity were favored by early maturation stage of Entinas peppers. By contrast, Lutz et al. [42] and Cisternas-Jamet et al. [41] observed an increase in the DPPH activity with ripening. Regarding the oxygen radical antioxidant capacity (ORAC), a similar increasing trend was found by Lutz et al. [42], although no clear effect of maturity was observed by Cisternas-Jamet et al. [41]. In addition, Martí et al. [46] did not find significant changes in the total antioxidant activity between green and red peppers of different cultivars. It should be noted that DPPH and ABTS•+ radical scavenging activity as well as the ferric reducing antioxidant power assay (FRAP) are greatly cultivar-dependent [21,27,43,47,48], which can partially explain the different trends found in the present study as well as in the literature. Concerning the agronomic production system effect on the radical scavenging activity, conventional peppers showed the highest TPC and TEAC but lower DPPH and ABTS•+ activities, compared to organic peppers.
3.3. Unsupervised and Supervised Entinas Peppers Differentiation Based on the Phenolic Profile and Antioxidant Radical Scavenging Data
The possible use of the phenolic composition (individual and total contents) and/or the related radical scavenging activity (DPPH, ABTS•+ and TEAC) data to act as possible biomarkers of Entinas peppers production system/maturation stage was further evaluated using unsupervised (PCA) and supervised (LDA) multivariate pattern recognition techniques. Previously these statistical techniques have been applied, for example, to differentiate pepper cultivars/maturation stage based on the phenolic composition [26], although different cultivars/maturation stages were grouped into the same clusters; or to distinguish fresh and dried peppers grown under conventional or organic systems [16], although in this case, the use of both phenolic and aroma compounds was required. Recently, the production system–maturation stage of Entinas peppers could be identified using chemical-sensory data or potentiometric signal profiles, recorded using a lab-made taste sensor device [30]. As reported by Guilherme et al. [30], LDA classification models could be established using non-redundant independent parameters selected by the simulated annealing (SA) algorithm, allowing the correct classification of 80–90% of the studied samples (leave-one-out cross-validation, LOO-CV). In the present study, the possibility of assessing the production system–maturation stage of Entinas peppers, based on the phenolic composition and antioxidant capacity was further evaluated using PCA and LDA-SA approaches.
Figure 3 shows the 3D-PCA plots based on the individual (caffeic, chlorogenic, m-coumaric and O-coumaric acids, luteolin-7-O-glucoside, myricetin, resveratrol, rutin and quercetin-3-O-rhamnoside) and total phenolic contents (TPC) together with the radical scavenging activities (DPPH, ABTS•+ and TEAC). As can be inferred, the three first principal components (1st, 2nd and 3rd PCs), which explained 80% of the total data variance, allowed a satisfactory differentiation of the studied Entinas peppers either considering simultaneously the production system–maturation stage (Figure 3a), or taking into account each factor separately (Figure 3b,c, for production system or maturation stage, respectively). Moreover, from a qualitative point of view, it is also clear that the abovementioned data would enable a better recognition of the maturation stage compared to the production system, pointing out that the phenolics composition and related antioxidant activities are more influenced by peppers’ maturation. To identify the parameters that had the higher discriminant power, LDA-SA models were established for each aim, i.e., to simultaneously discriminate the production system–maturation stage or each factor per se.
Figure 3.
Unsupervised differentiation (3D principal component analysis (PCA) plots) of Entinas sweet peppers based on the nine individual phenolics detected by HPLC-DAD (caffeic, chlorogenic, m-coumaric and o-coumaric acids, luteolin-7-O-glucoside, myricetin, resveratrol, rutin and quercetin-3-O-rhamnoside, μg g−1 dw), total phenolic content (TPC, μg g−1 dw) and radical scavenging activity data (DPPH, in %; ABTS•+, in %; and, TEAC, in mg Trolox g−1): (a) according to the agronomic production system (organic and conventional) and the maturation stage (green and red peppers); (b) according to the agronomic production system (organic and conventional) independently of the maturation stage; (c) according to the maturation stage (green and red peppers) independently of the agronomic production system.
For the simultaneous discrimination of the four production system–maturation stage levels a LDA-SA model with three discriminant functions was established based on seven non-redundant parameters (resveratrol, m-coumaric acid, chlorogenic acid, myricetin, quercetin-3-O-rhamnoside, TPC and TEAC) selected by the SA algorithm. The classification model allowed the correct classification of 100%, 75% and 76 ± 16% of the peppers, for the original data grouped (training), LOO-CV and repeated K-fold-CV (predictive internal validation variants). Although 5 of 20 peppers were misclassified, it should be remarked that, the misclassification occurred between the production system within the same maturation stage (i.e., green and red peppers were always correctly classified). Therefore, to further confirm this finding, LDA-SA models were also developed for predicting the peppers’ production system or maturation stage. For the production system, classification models with one discriminant function were obtained based on four non-redundant parameters (o-coumaric acid, chlorogenic acid, myricetin and DPPH). This model had sensitivities (i.e., correct classifications) of 100%, 90% and 89 ± 11% for the original data grouped, LOO-CV and repeated K-fold-CV. In this case, only 2 of the 20 peppers were misclassified, with one sample of each production system misclassified. Finally, for the maturation stage, a model with one discriminant function was also established based on only three phenolic compounds (resveratrol, m-coumaric acid and myricetin), which allowed 100% of correct classifications for training and both predictive cross-validation variants. The overall results clearly show that maturation stage could be easily predicted based on the peppers’ phenolic composition; this was also reliable for the assessment of the production system. Thus, phenolic and antioxidant data could be used as a preliminary peppers classification tool. However, for taking into account both factors simultaneously (i.e., production system and maturation stage) a data fusion approach, using other physicochemical data would be required.
4. Conclusions
The study carried out confirmed that the production system, as well as the maturation stage has a significant effect on the phenolic profile and on the antioxidant capacity of Entinas sweet peppers. Regarding the Entinas cultivar, it was observed that a lower maturation degree (i.e., green peppers) promoted the increase of the total phenolic content, the DPPH-radical scavenging activity and the bleaching of the ABTS radical cation, but a lower TEAC. Regarding the individual phenolic levels, the maturation effect greatly depended on the specific phenolic compound. Concerning the agronomic production system, the conventional system seemed to enhance the overall phenolic-antioxidant richness of the studied Entinas peppers, although this trend was not observed for all individual phenolics. Finally, the chemometric evaluation performed allowed us to verify that Entinas peppers’ phenolic-antioxidant levels could be satisfactorily used as discrimination biomarkers for both production system and maturation stage; this finding is more visible for the maturation stage recognition. Nevertheless, it should be emphasized that the abovementioned conclusions were established for a specific sweet pepper variety grown within a narrow geographical region and so, any extrapolation should be carefully made if different varieties grown under different agro-climatic conditions are considered in the future. Indeed, to establish an optimal and general model, other external factors must be included in a future study.
Supplementary Materials
The following are available online at https://www.mdpi.com/2077-0472/10/12/652/s1, Table S1: Individual phenolic compounds and total phenolc compounds quantified (in μg g−1 dw), by HPLC-DAD, and antioxidante activitires (DPPH, in %; ABTS•+, in %; and, TEAC, mg Trolox/g), mean ± standard deviation of 10 individual samples, in sweet pepper samples according to the maturation stage (green or red peppers) and agronomic production system (conventional or organic systems).
Author Contributions
Conceptualization, R.G. and J.A.P.; methodology, R.G., A.A., N.R. and A.M.P.; investigation, all authors; resources, A.A. and J.A.P.; writing—original draft preparation, R.G., A.A., N.R., A.M.P. and J.A.P.; writing—review and editing, A.M.P. and J.A.P. All authors have read and agreed to the published version of the manuscript.
Funding
The authors are grateful to the Foundation for Science and Technology (FCT, Portugal) for financial support by national funds FCT/MCTES to CIMO (UIDB/00690/2020). N.R. gives thanks to National funding by FCT–Foundation for Science and Technology, through the institutional scientific employment program–contract.
Conflicts of Interest
The authors declare no conflict of interest.
References
- Eggink, P.M.; Maliepaard, C.; Tikunov, Y.; Haanstra, J.P.W.; Bovy, A.G.; Visser, R.G.F. A taste of sweet pepper: Volatile and non-volatile chemical composition of fresh sweet pepper (Capsicum annuum) in relation to sensory evaluation of taste. Food Chem. 2012, 132, 301–310. [Google Scholar] [CrossRef] [PubMed]
- Massey, M.; O’Cass, A.; Otahal, P. A meta-analytic study of the factors driving the purchase of organic food. Appetite 2018, 125, 418–427. [Google Scholar] [CrossRef] [PubMed]
- Willer, H.; Lernoud, J. The World of Organic Agriculture. Statistics and Emerging Trends 2019; Research Institute of Organic Agriculture (FiBL): Frick, Switzerland; IFOAM–Organics International: Bonn, Germany, 2019; pp. 1–351. [Google Scholar]
- Denver, S.; Jensen, J.D.; Olsen, S.B.; Christensen, T. Consumer Preferences for ‘Localness’ and Organic Food Production. J. Food Prod. Mark. 2019, 25, 668–689. [Google Scholar] [CrossRef]
- Jensen, M.M.; Jørgensen, H.; Lauridsen, C. Comparison between conventional and organic agriculture in terms of nutritional quality of food—A critical review. CAB Rev. 2013, 8. [Google Scholar] [CrossRef]
- Council Regulation (EC) No 834/2007 of 28 June 2007 on organic production and labelling of organic products and repealing Regulation (EEC) No 2092/91. Off. J. Eur. Union. 2007, L189, 1–23.
- Baudry, J.; Péneau, S.; Allès, B.; Touvier, M.; Hercberg, S.; Galan, P.; Amiot, M.-J.; Lairon, D.; Méjean, C.; Kesse-Guyot, E. Food choice motives when purchasing in organic and conventional consumer clusters: Focus on sustainable concerns (The NutriNet-Santé Cohort Study). Nutrients 2017, 9, 88. [Google Scholar] [CrossRef]
- Hallmann, E.; Marszałek, K.; Lipowski, J.; Jasińska, U.; Kazimierczak, R.; Średnicka-Tober, D.; Rembiałkowska, E. Polyphenols and carotenoids in pickled bell pepper from organic and conventional production. Food Chem. 2019, 278, 254–260. [Google Scholar] [CrossRef]
- Barański, M.; Średnicka-Tober, D.; Volakakis, N.; Seal, C.; Sanderson, R.; Stewart, G.B.; Benbrook, C.; Biavati, B.; Markellou, E.; Giotis, C.; et al. Higher antioxidant and lower cadmium concentrations and lower incidence of pesticide residues in organically grown crops: A systematic literature review and meta-analyses. Br. J. Nutr. 2014, 112, 794–811. [Google Scholar] [CrossRef]
- Cisternas-Jamet, J.; Salvatierra-Martínez, R.; Vega-Gálvez, A.; Uribe, E.; Goñi, M.G.; Stoll, A. Root inoculation of green bell pepper (Capsicum annum) with Bacillus amyloliquefaciens BBC047: Effect on biochemical composition and antioxidant capacity. J. Sci. Food Agric. 2019, 99, 5131–5139. [Google Scholar] [CrossRef]
- Ritota, M.; Marini, F.; Sequi, P.; Valentini, M. Metabolomic characterization of Italian sweet pepper (Capsicum annum L.) by means of HRMAS-NMR Spectroscopy and multivariate analysis. J. Agric. Food Chem. 2010, 58, 9675–9684. [Google Scholar] [CrossRef]
- Sim, K.H.; Sil, H.Y. Antioxidant activities of red pepper (Capsicum annuum) pericarp and seed extracts. Int. J. Food Sci. Technol. 2008, 43, 1813–1823. [Google Scholar] [CrossRef]
- Sun, T.; Xu, Z.; Wu, C.-T.; Janes, M.; Prinyawiwatkul, W.; No, H.K. Antioxidant activities of different colored sweet bell peppers (Capsicum annuum L.). J. Food Sci. 2007, 72, S98–S102. [Google Scholar] [CrossRef] [PubMed]
- Del Amor, F.M.; Serrano-Martínez, A.; Fortea, M.A.; Núñez-Delicado, E. Differential effect of organic cultivation on the levels of phenolics, peroxidase and capsidiol in sweet peppers. J. Sci. Food Agric. 2008, 88, 770–777. [Google Scholar] [CrossRef]
- Flores, P.; López, A.; Fenoll, J.; Hellín, P.; Kelly, S. Classification of organic and conventional sweet peppers and lettuce using a combination of isotopic and bio-markers with multivariate analysis. J. Food Compos. Anal. 2013, 31, 217–225. [Google Scholar] [CrossRef]
- Guclu, G.; Keser, D.; Kelebek, H.; Keskin, M.; Emre Sekerli, Y.; Soysal, Y.; Selli, S. Impact of production and drying methods on the volatile and phenolic characteristics of fresh and powdered sweet red peppers. Food Chem. 2021, 338, 128129. [Google Scholar] [CrossRef]
- Chassy, A.W.; Bui, L.; Renaud, E.N.C.; van Horn, M.; Mitchell, A.E. Three year comparison of the content of antioxidant microconstituents and several quality characteristics in organic and conventionally managed tomatoes and bell peppers. J. Sci. Food Agric. 2006, 54, 8244–8252. [Google Scholar] [CrossRef]
- Morales-Soto, A.; Gómez-Caravaca, A.M.; García-Salas, P.; Segura-Carretero, A.; Fernández-Gutiérrez, A. High-performance liquid chromatography coupled to diode array and electrospray time-of-flight mass spectrometry detectors for a comprehensive characterization of phenolic and other polar compounds in three pepper (Capsicum annuum L.) samples. Food Res. Int. 2013, 51, 977–984. [Google Scholar] [CrossRef]
- Materska, M. Bioactive phenolics of fresh and freeze-dried sweet and semi-spicy pepper fruits (Capsicum annuum L.). J. Funct. Foods 2014, 7, 269–277. [Google Scholar] [CrossRef]
- Lekala, C.S.; Madani, K.S.H.; Phan, A.D.T.; Maboko, M.M.; Fotouo, H.; Soundy, P.; Sultanbawa, Y.; Sivakumar, D. Cultivar-specific responses in red sweet peppers grown under shade nets and controlled-temperature plastic tunnel environment on antioxidant constituents at harvest. Food Chem. 2019, 275, 85–94. [Google Scholar] [CrossRef]
- Alu’datt, M.H.; Rababah, T.; Alhamad, M.N.; Gammoh, S.; Ereifej, K.; Al-Karaki, G.; Tranchant, C.C.; Al-Duais, M.; Ghozlan, K.A. Contents, profiles and bioactive properties of free and bound phenolics extracted from selected fruits of the Oleaceae and Solanaceae families. LWT Food Sci. Technol. 2019, 109, 367–377. [Google Scholar] [CrossRef]
- Marín, A.; Gil, M.I.; Flores, P.; Hellín, P.; Selma, M.V. Microbial quality and bioactive constituents of sweet peppers from sustainable production systems. J. Agric. Food Chem. 2008, 56, 11334–11341. [Google Scholar] [CrossRef] [PubMed]
- Hallmann, E.; Rembiałkowska, E. Characterisation of antioxidant compounds in sweet bell pepper (Capsicum annuum L.) under organic and conventional growing systems. J. Sci. Food Agric. 2012, 92, 2409–2415. [Google Scholar] [CrossRef] [PubMed]
- Zhuang, C.; Chen, L.; Sun, L.; Cao, J. Bioactive characteristics and antioxidant activities of nine peppers. J. Funct. Foods 2012, 4, 331–338. [Google Scholar] [CrossRef]
- Rodrigues, C.A.; Nicácio, A.E.; Jardim, I.C.S.F.; Visentainer, J.V.; Maldaner, L. Determination of Phenolic Compounds in Red Sweet Pepper (Capsicum annuum L.) Using using a Modified Modified QuEChERS Method and UHPLC-MS/MS Analysis and Its Relation to Antioxidant Activity. J. Braz. Chem. Soc. 2019, 30, 1229–1240. [Google Scholar] [CrossRef]
- Fratianni, F.; D’acierno, A.; Cozzolino, A.; Spigno, P.; Riccardi, R.; Raimo, F.; Pane, C.; Zaccardelli, M.; Lombardo, V.T.; Tucci, M.; et al. Biochemical characterization of traditional varieties of sweet pepper (Capsicum annuum L.) of the Campania region, southern Italy. Antioxidants 2020, 9, 556. [Google Scholar] [CrossRef]
- Kelebek, H.; Sevindik, O.; Uzlasir, T.; Selli, S. LC-DAD/ESI MS/MS characterization of fresh and cooked Capia and Aleppo red peppers (Capsicum annuum L.) phenolic profiles. Eur. Food Res. Technol. 2020, 246, 1971–1980. [Google Scholar] [CrossRef]
- Sora, G.T.S.; Haminiuk, C.W.I.; da Silva, M.V.; Zielinski, A.A.F.; Gonçalves, G.A.; Bracht, A.; Peralta, R.M. A comparative study of the capsaicinoid and phenolic contents and in vitro antioxidant activities of the peppers of the genus Capsicum: An application of chemometrics. J. Food Sci. Technol. 2015, 52, 8086–8094. [Google Scholar] [CrossRef]
- Valle, A.D.; Dimmito, M.P.; Zengin, G.; Pieretti, S.; Mollica, A.; Locatelli, M.; Cichelli, A.; Novellino, E.; Ak, G.; Yerlikaya, S.; et al. Exploring the nutraceutical potential of dried pepper capsicum annuum L. on market from Altino in Abruzzo region. Antioxidants 2020, 9, 400. [Google Scholar] [CrossRef]
- Guilherme, R.; Rodrigues, N.; Marx, Í.M.G.; Dias, L.G.; Veloso, A.C.A.; Ramos, A.C.; Peres, A.M.; Pereira, J.A. Sweet peppers discrimination according to agronomic production mode and maturation stage using a chemical-sensory approach and an electronic tongue. Microchem. J. 2020, 157, 105034. [Google Scholar] [CrossRef]
- Hatano, T.; Kagawa, H.; Yasuhara, T.; Okuda, T. Two new flavonoids and other constituents in licorice root: Their relative astringency and radical scavenging effects. Chem. Pharm. Bull. 1988, 36, 2090–2097. [Google Scholar] [CrossRef]
- Sánchez, C.S.; González, A.M.T.; Parrilla, M.C.G.; Granados, J.J.Q.; Serrana, H.L.G.D.L.; Martínez, M.C.L. Different radical scavenging tests in virgin olive oil and their relation to the total phenol content. Anal. Chim. Acta 2007, 593, 103–107. [Google Scholar] [CrossRef] [PubMed]
- Berker, K.I.; Güçlü, K.; Tor, İ.; Apak, R. Comparative evaluation of Fe (III) reducing power-based antioxidant capacity assays in the presence of phenanthroline, batho-phenanthroline, tripyridyltriazine (FRAP), and ferricyanide reagents. Talanta 2007, 72, 1157–1165. [Google Scholar] [CrossRef] [PubMed]
- Bertsimas, D.; Tsitsiklis, J. Simulated annealing. Stat. Sci. 1993, 8, 10–15. [Google Scholar] [CrossRef]
- Cadima, J.; Cerdeira, J.O.; Minhoto, M. Computational aspects of algorithms for variable selection in the context of principal components. Comput. Stat. Data Anal. 2004, 47, 225–236. [Google Scholar] [CrossRef]
- Venables, W.N.; Ripley, B.D. Modern Applied Statistics with S (Statistics and Computing), 4th ed.; Springer: New York, NY, USA, 2002. [Google Scholar]
- Jeong, W.Y.; Jin, J.S.; Cho, Y.A.; Lee, J.H.; Park, S.; Jeong, S.W.; Kim, Y.-H.; Lim, C.-S.; Abd El-Aty, A.M.; Kim, G.-S.; et al. Determination of polyphenols in three Capsicum annuum L. (bell pepper) varieties using high-performance liquid chromatography-tandem mass spectrometry: Their contribution to overall antioxidant and anticancer activity. J. Sep. Sci. 2011, 34, 2967–2974. [Google Scholar] [CrossRef] [PubMed]
- Ghasemnezhad, M.; Sherafati, M.; Payvast, G.A. Variation in phenolic compounds, ascorbic acid and antioxidant activity of five coloured bell pepper (Capsicum annum) fruits at two different harvest times. J. Funct. Foods 2011, 3, 44–49. [Google Scholar] [CrossRef]
- Ekinci, M.; Turan, M.; Yildirim, E.; Güneş, A.; Kotan, R.; Dursun, A. Effect of plant growth promoting rhizobacteria on growth, nutrient, organic acid, amino acid and hormone content of cauliflower (Brassica oleracea L. var. botrytis) transplants. Acta Sci. Pol. Hortorum Cultus 2014, 13, 71–85. [Google Scholar]
- Howard, L.R.; Talcott, S.T.; Brenes, C.H.; Villalon, B. Changes in phytochemical and antioxidant activity of selected pepper cultivars (Capsicum species) as influenced by maturity. J. Agric. Food Chem. 2000, 48, 1713–1720. [Google Scholar] [CrossRef]
- Cisternas-Jamet, J.; Salvatierra-Martínez, R.; Vega-Gálvez, A.; Stoll, A.; Uribe, E.; Goñi, M.G. Biochemical composition as a function of fruit maturity stage of bell pepper (Capsicum annum) inoculated with Bacillus amyloliquefaciens. Sci. Hortic. 2020, 263, 109107. [Google Scholar] [CrossRef]
- Lutz, M.; Hernández, J.; Henríquez, C. Phenolic content and antioxidant capacity in fresh and dry fruits and vegetables grown in Chile. CYTA J. Food 2015, 13, 541–547. [Google Scholar]
- Hamed, M.; Kalita, D.; Bartolo, M.E.; Jayanty, S.S. Capsaicinoids, polyphenols and antioxidant activities of Capsicum annuum: Comparative study of the effect of ripening stage and cooking methods. Antioxidants 2019, 8, 364. [Google Scholar] [CrossRef] [PubMed]
- Zhang, D.; Hamauzu, Y. Phenolic compounds, ascorbic acid and antioxidant properties of green, red and yellow bell peppers. J. Food Agric. Environ. 2003, 1, 22–27. [Google Scholar]
- Wong, P.Y.; Tan, S.T. Comparison of total phenolic content and antioxidant activities in selected coloured plants. Br. Food J. 2020, 122, 3193–3201. [Google Scholar] [CrossRef]
- Martí, M.C.; Camejo, D.; Vallejo, F.; Romojaro, F.; Bacarizo, S.; Palma, J.M.; Sevilla, F.; Jiménez, A. Influence of Fruit Ripening Stage and Harvest Period on the Antioxidant Content of Sweet Pepper Cultivars. Plant Foods Hum. Nutr. 2011, 66, 416–423. [Google Scholar] [CrossRef] [PubMed]
- Aslani, L.; Mobli, M.; Keramat, J. Comparison of anti-oxidant activities and fruit quality attributes in four sweet bell pepper (Capsicum annuum L.) cultivars grown in two soilless media. J. Hortic. Sci. Biotechnol. 2016, 91, 497–505. [Google Scholar] [CrossRef]
- Alam, M.A.; Saleh, M.; Mohsin, G.M.; Nadirah, T.A.; Aslani, F.; Rahman, M.M.; Roy, S.K.; Juraimi, A.S.; Alam, M.Z. Evaluation of phenolics, capsaicinoids, antioxidant properties, and major macro-micro minerals of some hot and sweet peppers and ginger land-races of Malaysia. J. Food Process. Preserv. 2020, 44, e14483. [Google Scholar] [CrossRef]
Publisher’s Note: MDPI stays neutral with regard to jurisdictional claims in published maps and institutional affiliations. |
© 2020 by the authors. Licensee MDPI, Basel, Switzerland. This article is an open access article distributed under the terms and conditions of the Creative Commons Attribution (CC BY) license (http://creativecommons.org/licenses/by/4.0/).


