EMG, Rate of Perceived Exertion, Pain, Tolerability and Possible Adverse Effects of a Knee Extensor Exercise with Progressive Elastic Resistance in Patients with Severe Haemophilia
Abstract
1. Introduction
2. Experimental Section
2.1. Participants
2.2. Procedure
2.3. EMG Processing
2.4. Statistical Analysis
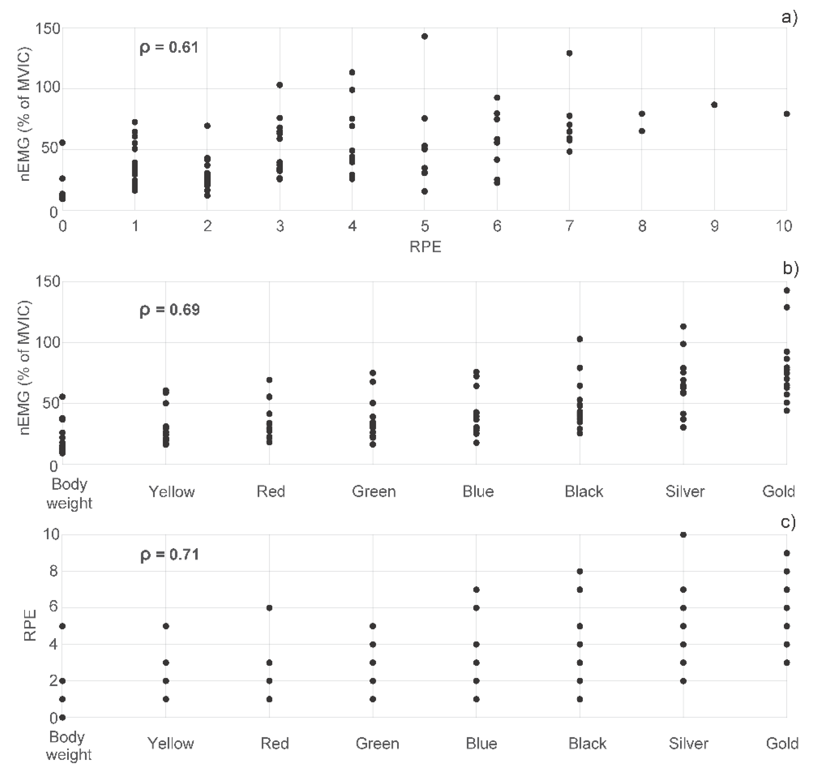
3. Results
4. Discussion
5. Conclusions
Author Contributions
Funding
Acknowledgments
Conflicts of Interest
References
- Zimmerman, B.; Valentino, L.A. Hemophilia: In review. Pediatr. Rev. 2013, 34, 289–294. [Google Scholar] [CrossRef] [PubMed]
- Fernández, R.M.; Peciña, A.; Sánchez, B.; Lozano-Arana, M.D.; García-Lozano, J.C.; Pérez-Garrido, R.; Núñez, R.; Borrego, S.; Antiñolo, G. Experience of Preimplantation Genetic Diagnosis for Hemophilia at the University Hospital Virgen Del Rocío in Spain: Technical and Clinical Overview. Biomed Res. Int. 2015, 2015, 406096. [Google Scholar]
- Srivastava, A.; Brewer, A.K.; Mauser-Bunschoten, E.P.; Key, N.S.; Kitchen, S.; Llinas, A.; Ludlam, C.A.; Mahlangu, J.N.; Mulder, K.; Poon, M.C.; et al. Guidelines for the management of hemophilia. Haemophilia 2013, 19, 1–47. [Google Scholar] [CrossRef] [PubMed]
- Rodriguez-Merchan, E.C. Musculoskeletal complications of hemophilia. HSS J. 2010, 6, 37–42. [Google Scholar] [CrossRef] [PubMed]
- Goto, M.; Takedani, H.; Nitta, O.; Kawama, K. Joint function and arthropathy severity in patients with hemophilia. J. Jpn. Phys. Ther. Assoc. 2015, 18, 15–22. [Google Scholar] [CrossRef] [PubMed]
- Wagner, B.; Krüger, S.; Hilberg, T.; Ay, C.; Hasenoehrl, T.; Huber, D.F.-X.; Crevenna, R. The effect of resistance exercise on strength and safety outcome for people with haemophilia: A systematic review. Haemophilia 2020, 26, 200–215. [Google Scholar] [CrossRef] [PubMed]
- Strike, K.; Mulder, K.; Michael, R. Exercise for haemophilia (Review). Cochrane Libr. 2016, 1, 1–55. [Google Scholar]
- Souza, J.C.; Simoes, H.G.; Campbell, C.S.G.; Pontes, F.L.; Boullosa, D.A.; Prestes, J. Haemophilia and exercise. Int. J. Sports Med. 2012, 33, 83–88. [Google Scholar] [CrossRef] [PubMed]
- Schäfer, G.S.; Valderramas, S.; Gomes, A.R.; Budib, M.B.; Wolff, L.P.; Ramos, A.A.T. Physical exercise, pain and musculoskeletal function in patients with haemophilia: A systematic review. Haemophilia 2016, 22, e119–e129. [Google Scholar] [CrossRef] [PubMed]
- Calatayud, J.; Pérez-Alenda, S.; Carrasco, J.J.; Escriche-Escuder, A.; Cruz-Montecinos, C.; Andersen, L.L.; Bonanad, S.; Querol, F.; Casaña, J. Electromyographic and Safety Comparisons of Common Lower Limb Rehabilitation Exercises for People with Hemophilia. Phys. Ther. 2020, 100, 116–126. [Google Scholar] [CrossRef] [PubMed]
- Calatayud, J.; Pérez-Alenda, S.; Carrasco, J.J.; Escriche, A.; Cruz-Montecinos, C.; Andersen, L.L.; Bonanad, S.; Querol, F.; Casaña, J. Upper-Body Exercises With External Resistance Are Well Tolerated and Enhance Muscle Activity in People with Hemophilia. Phys. Ther. 2019, 99, 411–419. [Google Scholar] [CrossRef] [PubMed]
- Calatayud, J.; Pérez-Alenda, S.; Carrasco, J.J.; Cruz-Montecinos, C.; Andersen, L.L.; Bonanad, S.; Querol, F.; Megías-Vericat, J.E.; Casaña, J. Safety and Effectiveness of Progressive Moderate-to-Vigorous Intensity Elastic Resistance Training on Physical Function and Pain in People with Hemophilia. Phys. Ther. 2020. [Google Scholar] [CrossRef] [PubMed]
- Freire, A.P.C.F.; Marçal Camillo, C.A.; de Alencar Silva, B.S.; Uzeloto, J.S.; de Francisco Lima, F.; Alberto Gobbo, L.; Ramos, D.; Cipulo Ramos, E.M. Resistance training using different elastic components offers similar gains on muscle strength to weight machine equipment in Individuals with COPD: A randomized controlled trial. Physiother. Theory Pract. 2020, 24, 1–14. [Google Scholar] [CrossRef] [PubMed]
- Jenkins, N.D.M.; Miramonti, A.A.; Hill, E.C.; Smith, C.M.; Cochrane-Snyman, K.C.; Housh, T.J.; Cramer, J.T. Greater neural adaptations following high- vs. low-load resistance training. Front. Physiol. 2017, 8, 1–15. [Google Scholar] [CrossRef] [PubMed]
- Eckard, T.G.; Padua, D.A.; Hearn, D.W.; Pexa, B.S.; Frank, B.S. The Relationship Between Training Load and Injury in Athletes: A Systematic Review. Sport Med. 2018, 48, 1929–1961. [Google Scholar] [CrossRef] [PubMed]
- Saw, A.E.; Main, L.C.; Gastin, P.B. Monitoring the athlete training response: Subjective self-reported measures trump commonly used objective measures: A systematic review. Br. J. Sports Med. 2016, 50, 281–291. [Google Scholar] [CrossRef] [PubMed]
- Naclerio, F.; Rodríguez-Romo, G.; Barriopedro-Moro, M.I.; Jiménez, A.; Alvar, B.A.; Triplett, N.T. Control of resistance training intensity by the OMNI perceived exertion scale. J. Strength Cond. Res. 2011, 25, 1879–1888. [Google Scholar] [CrossRef] [PubMed]
- Hilliard, P.; Funk, S.; Zourikian, N.; Bergstrom, B.-M.; Bradley, C.S.; Mclimont, M.; Manco-Johnson, M.; Petrini, P.; Van Den Berg, M.; Feldman, B.M. Hemophilia joint health score reliability study. Haemophilia 2006, 12, 518–525. [Google Scholar] [CrossRef] [PubMed]
- Kurtze, N.; Rangul, V.; Hustvedt, B.-E.; Flanders, W.D. Reliability and validity of self-reported physical activity in the Nord-Trøndelag Health Study—HUNT 1. Scand. J. Public Health 2008, 36, 52–61. [Google Scholar] [CrossRef] [PubMed]
- SENIAM. Available online: http://www.seniam.org/ (accessed on 14 August 2020).
- Jakobsen, M.D.; Sundstrup, E.; Andersen, C.H.; Bandholm, T.; Thorborg, K.; Zebis, M.K.; Andersen, L.L. Muscle activity during knee-extension strengthening exercise performed with elastic tubing and isotonic resistance. Int. J. Sports Phys. Ther. 2012, 7, 606–616. [Google Scholar] [PubMed]
- Farrar, J.T.; Troxel, A.B.; Stott, C.; Duncombe, P.; Jensen, M.P. Validity, reliability, and clinical importance of change in a 0-10 numeric rating scale measure of spasticity: A post hoc analysis of a randomized, double-blind, placebo-controlled trial. Clin Ther. 2008, 30, 974–985. [Google Scholar] [CrossRef] [PubMed]
- Skals, S.; Vinstrup, J.; Sundstrup, E.; Jakobsen, M.D.; Andersen, C.H.; Andersen, L.L. Shoulder and arm muscle activity during elastic band exercises performed in a hospital bed. Phys. Sportsmed. 2018, 46, 233–241. [Google Scholar] [CrossRef] [PubMed]
- Brandt, M.; Jakobsen, M.D.; Thorborg, K.; Sundstrup, E.; Jay, K.; Andersen, L.L. Perceived loading and muscle activity during hip strengthening exercises: Comparison of elastic resistance and machine exercises. Int. J. Sports Phys. Ther. 2013, 8, 811–819. [Google Scholar] [PubMed]
- van den Tillaar, R.; Andersen, V.; Saeterbakken, A.H. Comparison of muscle activation and kinematics during free-weight back squats with different loads. PLoS ONE 2019, 14, e0217044. [Google Scholar] [CrossRef] [PubMed]
- Andersen, L.L.; Andersen, C.H.; Mortensen, O.S.; Poulsen, O.M.; Bjørnlund, I.B.T.; Zebis, M.K. Muscle activation and perceived loading during rehabilitation exercises: Comparison of dumbbells and elastic resistance. Phys. Ther. 2010, 90, 538–549. [Google Scholar] [CrossRef] [PubMed]
- Colado, J.C.; Garcia-Masso, X.; Travis Triplett, N.; Calatayud, J.; Flandez, J.; Behm, D.G.; Rogers, M.E. Construct and concurrent validation of a new resistance intensity scale for exercise with thera-band® elastic bands. J. Sport Sci. Med. 2014, 13, 758–766. [Google Scholar]
- Jakobsen, M.D.; Sundstrup, E.; Andersen, C.H.; Aagaard, P.; Andersen, L.L. Muscle activity during leg strengthening exercise using free weights and elastic resistance: Effects of ballistic vs. controlled contractions. Hum. Mov. Sci. 2013, 32, 65–78. [Google Scholar] [CrossRef] [PubMed]
- Jones, C.M.; Griffiths, P.C.; Mellalieu, S.D. Training Load and Fatigue Marker Associations with Injury and Illness: A Systematic Review of Longitudinal Studies. Sport Med. 2017, 47, 943–974. [Google Scholar] [CrossRef] [PubMed]
- Soucie, J.M.; Monahan, P.E.; Kulkarni, R.; Konkle, B.A.; Mazepa, M.A. The frequency of joint hemorrhages and procedures in nonsevere hemophilia A vs. B. Blood Adv. 2018, 2, 2136–2144. [Google Scholar] [CrossRef] [PubMed]
- Khair, K.; Mazzucconi, M.G.; Parra, R.; Santagostino, E.; Tsakiris, D.A.; Hermans, C.; Oldenburg, J.; Spotts, G.; Steinitz-Trost, K.; Gringeri, A.; et al. Pattern of bleeding in a large prospective cohort of haemophilia A patients: A three-year follow-up of the AHEAD (Advate in HaEmophilia A outcome Database) study. Haemophilia 2018, 24, 85–96. [Google Scholar] [CrossRef] [PubMed]
- Kim, G.-J.; Oh, H.; Lee, S.; Lee, K.; Kim, K. Effects of resistance exercise using the elastic band on the pain and function of patients with degenerative knee arthritis. J. Phys. Ther. Sci. 2020, 32, 52–54. [Google Scholar] [CrossRef] [PubMed]
- Nyberg, A.; Lindström, B.; Rickenlund, A.; Wadell, K. Low-load/high-repetition elastic band resistance training in patients with COPD: A randomized, controlled, multicenter trial. Clin. Respir. J. 2015, 9, 278–288. [Google Scholar] [CrossRef] [PubMed]
- van Waart, H.; Buffart, L.M.; Stuiver, M.M.; van Harten, W.H.; Sonke, G.S.; Aaronson, N.K. Adherence to and satisfaction with low-intensity physical activity and supervised moderate-high intensity exercise during chemotherapy for breast cancer. Support. Care Cancer 2020, 28, 2115–2126. [Google Scholar] [CrossRef] [PubMed]
- Teixeira, P.J.; Carraça, E.V.; Markland, D.; Silva, M.N.; Ryan, R.M. Exercise, physical activity, and self-determination theory: A systematic review. Int. J. Behav. Nutr. Phys. Act. 2012, 9, 78. [Google Scholar] [CrossRef] [PubMed]








| Mean | SD | |
| Age (years) | 39.0 | 9.8 |
| Height (cm) | 174.6 | 9.2 |
| Body mass (kg) | 81.0 | 14.9 |
| FVIII dose (IU/Kg) | 24.5 | 10.0 |
| Median | Q1–Q3 | |
| HJHS 1 dominant knee | 0.0 | 0.0–2.0 |
| HJHS 1 non-dominant knee | 0.0 | 0.0–7.8 |
| HJHS 1 total | 29.0 | 16.5–40.8 |
| Frequency | N (%) |
|---|---|
| Never | 0 |
| <1 time/week | 1 (7.14) |
| 1 time/week | 2 (14.29) |
| 2–3 times/week | 5 (35.71) |
| Almost daily | 6 (42.86) |
| Intensity | |
| Take it easy | 8 (57.14) |
| Push some | 4 (28.57) |
| Near to exhaustion | 2 (14.29) |
| Duration | |
| <15 min | 0 |
| 16–30 min | 1 (7.14) |
| 30–60 min | 7 (50.00) |
| >1 h | 6 (42.86) |
| Resistance training | |
| Yes | 10 (71.43) |
| No | 4 (28.57) |
| Frequency | |
| 1 time/week | 3 (30.00) |
| 2 times/week | 4 (40.00) |
| 3 times/week | 2 (20.00) |
| 4 times/week | 1 (10.00) |
| Years of experience | |
| 1 year | 3 (33.33) |
| 2 years | 3 (33.33) |
| ≥3 years | 3 (33.33) |
| Intensity | |
| Moderate (60–70%) | 9 (90.00) |
| Heavy (>80%) | 1 (10.00) |
© 2020 by the authors. Licensee MDPI, Basel, Switzerland. This article is an open access article distributed under the terms and conditions of the Creative Commons Attribution (CC BY) license (http://creativecommons.org/licenses/by/4.0/).
Share and Cite
Calatayud, J.; Navarro-Navarro, J.; Carrasco, J.J.; Pérez-Alenda, S.; Cruz-Montecinos, C.; Andersen, L.L.; Querol-Giner, F.; Casaña, J. EMG, Rate of Perceived Exertion, Pain, Tolerability and Possible Adverse Effects of a Knee Extensor Exercise with Progressive Elastic Resistance in Patients with Severe Haemophilia. J. Clin. Med. 2020, 9, 2801. https://doi.org/10.3390/jcm9092801
Calatayud J, Navarro-Navarro J, Carrasco JJ, Pérez-Alenda S, Cruz-Montecinos C, Andersen LL, Querol-Giner F, Casaña J. EMG, Rate of Perceived Exertion, Pain, Tolerability and Possible Adverse Effects of a Knee Extensor Exercise with Progressive Elastic Resistance in Patients with Severe Haemophilia. Journal of Clinical Medicine. 2020; 9(9):2801. https://doi.org/10.3390/jcm9092801
Chicago/Turabian StyleCalatayud, Joaquín, Jonás Navarro-Navarro, Juan J. Carrasco, Sofía Pérez-Alenda, Carlos Cruz-Montecinos, Lars L. Andersen, Felipe Querol-Giner, and José Casaña. 2020. "EMG, Rate of Perceived Exertion, Pain, Tolerability and Possible Adverse Effects of a Knee Extensor Exercise with Progressive Elastic Resistance in Patients with Severe Haemophilia" Journal of Clinical Medicine 9, no. 9: 2801. https://doi.org/10.3390/jcm9092801
APA StyleCalatayud, J., Navarro-Navarro, J., Carrasco, J. J., Pérez-Alenda, S., Cruz-Montecinos, C., Andersen, L. L., Querol-Giner, F., & Casaña, J. (2020). EMG, Rate of Perceived Exertion, Pain, Tolerability and Possible Adverse Effects of a Knee Extensor Exercise with Progressive Elastic Resistance in Patients with Severe Haemophilia. Journal of Clinical Medicine, 9(9), 2801. https://doi.org/10.3390/jcm9092801

