Influence of Androgen Receptor on the Prognosis of Breast Cancer
Abstract
1. Introduction
2. Materials and Methods
2.1. Study Subjects
2.2. Preparation of Tissue Microarray and Immunohistochemistry of AR
2.3. Definition of Variables
2.4. Statistical Analyses
3. Results
3.1. Baseline Characteristics of the Study Subjects
3.2. Classification Method to Define Low vs. High Expression of AR
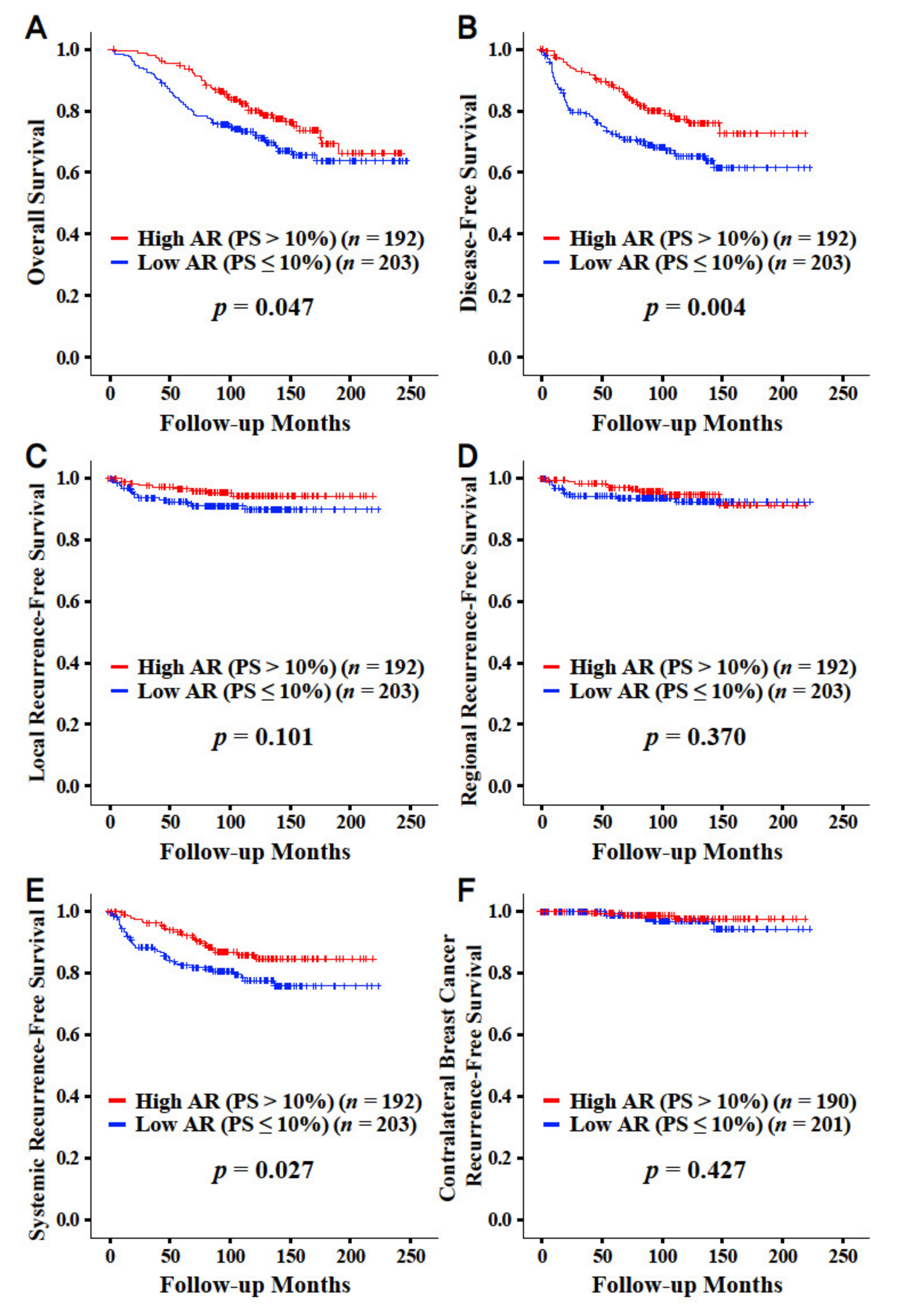
3.3. Survival Analysis According to AR Status
3.4. Univariable and Multivariable Analyses
3.5. Subgroup Survival Analyses According to the Expression Level of AR
4. Discussion
5. Conclusions
Supplementary Materials
Author Contributions
Funding
Acknowledgments
Conflicts of Interest
Abbreviations
| AR | androgen receptor |
| CI | confidence interval |
| ER | estrogen receptor |
| HER2 | human epidermal growth factor receptor 2 |
| HR | hazard ratio |
| HRc | hormone receptor |
| PR | progesterone receptor |
References
- Kono, M.; Fujii, T.; Lim, B.; Karuturi, M.S.; Tripathy, D.; Ueno, N.T. Androgen Receptor Function and Androgen Receptor-Targeted Therapies in Breast Cancer: A Review. JAMA Oncol. 2017, 3, 1266–1273. [Google Scholar] [CrossRef]
- Kensler, K.H.; Regan, M.M.; Heng, Y.J.; Baker, G.M.; Pyle, M.E.; Schnitt, S.J.; Hazra, A.; Kammler, R.; Thurlimann, B.; Colleoni, M.; et al. Prognostic and predictive value of androgen receptor expression in postmenopausal women with estrogen receptor-positive breast cancer: Results from the Breast International Group Trial 1-98. Breast Cancer Res. 2019, 21, 30. [Google Scholar] [CrossRef] [PubMed]
- Vera-Badillo, F.E.; Templeton, A.J.; de Gouveia, P.; Diaz-Padilla, I.; Bedard, P.L.; Al-Mubarak, M.; Seruga, B.; Tannock, I.F.; Ocana, A.; Amir, E. Androgen receptor expression and outcomes in early breast cancer: A systematic review and meta-analysis. J. Natl. Cancer Inst. 2014, 106, djt319. [Google Scholar] [CrossRef]
- Bozovic-Spasojevic, I.; Zardavas, D.; Brohee, S.; Ameye, L.; Fumagalli, D.; Ades, F.; de Azambuja, E.; Bareche, Y.; Piccart, M.; Paesmans, M.; et al. The Prognostic Role of Androgen Receptor in Patients with Early-Stage Breast Cancer: A Meta-analysis of Clinical and Gene Expression Data. Clin. Cancer Res. 2017, 23, 2702–2712. [Google Scholar] [CrossRef]
- Yu, Q.; Niu, Y.; Liu, N.; Zhang, J.Z.; Liu, T.J.; Zhang, R.J.; Wang, S.L.; Ding, X.M.; Xiao, X.Q. Expression of androgen receptor in breast cancer and its significance as a prognostic factor. Ann. Oncol. 2011, 22, 1288–1294. [Google Scholar] [CrossRef] [PubMed]
- Jiang, H.S.; Kuang, X.Y.; Sun, W.L.; Xu, Y.; Zheng, Y.Z.; Liu, Y.R.; Lang, G.T.; Qiao, F.; Hu, X.; Shao, Z.M. Androgen receptor expression predicts different clinical outcomes for breast cancer patients stratified by hormone receptor status. Oncotarget 2016, 7, 41285–41293. [Google Scholar] [CrossRef] [PubMed]
- Proverbs-Singh, T.; Feldman, J.L.; Morris, M.J.; Autio, K.A.; Traina, T.A. Targeting the androgen receptor in prostate and breast cancer: Several new agents in development. Endocr. Relat. Cancer 2015, 22, 87–106. [Google Scholar] [CrossRef] [PubMed]
- Peters, A.A.; Buchanan, G.; Ricciardelli, C.; Bianco-Miotto, T.; Centenera, M.M.; Harris, J.M.; Jindal, S.; Segara, D.; Jia, L.; Moore, N.L.; et al. Androgen receptor inhibits estrogen receptor-alpha activity and is prognostic in breast cancer. Cancer Res. 2009, 69, 6131–6140. [Google Scholar] [CrossRef]
- Wong, Y.C.; Xie, B. The role of androgens in mammary carcinogenesis. Ital. J. Anat. Embryol. 2001, 106, 111–125. [Google Scholar]
- Fioretti, F.M.; Sita-Lumsden, A.; Bevan, C.L.; Brooke, G.N. Revising the role of the androgen receptor in breast cancer. J. Mol. Endocrinol. 2014, 52, 257–265. [Google Scholar] [CrossRef]
- Choi, J.E.; Kang, S.H.; Lee, S.J.; Bae, Y.K. Androgen receptor expression predicts decreased survival in early stage triple-negative breast cancer. Ann. Surg. Oncol. 2015, 22, 82–89. [Google Scholar] [CrossRef] [PubMed]
- Asano, Y.; Kashiwagi, S.; Onoda, N.; Kurata, K.; Morisaki, T.; Noda, S.; Takashima, T.; Ohsawa, M.; Kitagawa, S.; Hirakawa, K. Clinical verification of sensitivity to preoperative chemotherapy in cases of androgen receptor-expressing positive breast cancer. Br. J. Cancer 2016, 114, 14–20. [Google Scholar] [CrossRef] [PubMed]
- Elebro, K.; Borgquist, S.; Simonsson, M.; Markkula, A.; Jirstrom, K.; Ingvar, C.; Rose, C.; Jernstrom, H. Combined Androgen and Estrogen Receptor Status in Breast Cancer: Treatment Prediction and Prognosis in a Population-Based Prospective Cohort. Clin. Cancer Res. 2015, 21, 3640–3650. [Google Scholar] [CrossRef] [PubMed]
- Aleskandarany, M.A.; Abduljabbar, R.; Ashankyty, I.; Elmouna, A.; Jerjees, D.; Ali, S.; Buluwela, L.; Diez-Rodriguez, M.; Caldas, C.; Green, A.R.; et al. Prognostic significance of androgen receptor expression in invasive breast cancer: Transcriptomic and protein expression analysis. Breast Cancer Res. Treat 2016, 159, 215–227. [Google Scholar] [CrossRef]
- Park, S.; Koo, J.S.; Kim, M.S.; Park, H.S.; Lee, J.S.; Lee, J.S.; Kim, S.I.; Park, B.W.; Lee, K.S. Androgen receptor expression is significantly associated with better outcomes in estrogen receptor-positive breast cancers. Ann. Oncol. 2011, 22, 1755–1762. [Google Scholar] [CrossRef]
- Kim, Y.; Jae, E.; Yoon, M. Influence of Androgen Receptor Expression on the Survival Outcomes in Breast Cancer: A Meta-Analysis. J. Breast Cancer 2015, 18, 134–142. [Google Scholar] [CrossRef]
- Agrawal, A.; Ziolkowski, P.; Grzebieniak, Z.; Jelen, M.; Bobinski, P.; Agrawal, S. Expression of Androgen Receptor in Estrogen Receptor-positive Breast Cancer. Appl. Immunohistochem Mol. Morphol. 2016, 24, 550–555. [Google Scholar] [CrossRef]
- Zhang, W.; Luo, J.; Yang, F.; Wang, Y.; Yin, Y.; Strom, A.; Gustafsson, J.A.; Guan, X. BRCA1 inhibits AR-mediated proliferation of breast cancer cells through the activation of SIRT1. Sci. Rep. 2016, 6, 22034. [Google Scholar] [CrossRef]
- Tsang, J.Y.; Ni, Y.B.; Chan, S.K.; Shao, M.M.; Law, B.K.; Tan, P.H.; Tse, G.M. Androgen receptor expression shows distinctive significance in ER positive and negative breast cancers. Ann. Surg. Oncol. 2014, 21, 2218–2228. [Google Scholar] [CrossRef]
- Hu, R.; Dawood, S.; Holmes, M.D.; Collins, L.C.; Schnitt, S.J.; Cole, K.; Marotti, J.D.; Hankinson, S.E.; Colditz, G.A.; Tamimi, R.M. Androgen receptor expression and breast cancer survival in postmenopausal women. Clin. Cancer Res. 2011, 17, 1867–1874. [Google Scholar] [CrossRef]
- Allred, D.C.; Harvey, J.M.; Berardo, M.; Clark, G.M. Prognostic and predictive factors in breast cancer by immunohistochemical analysis. Mod. Pathol. 1998, 11, 155–168. [Google Scholar] [PubMed]
- Hammond, M.E.; Hayes, D.F.; Dowsett, M.; Allred, D.C.; Hagerty, K.L.; Badve, S.; Fitzgibbons, P.L.; Francis, G.; Goldstein, N.S.; Hayes, M.; et al. American Society of Clinical Oncology/College of American Pathologists guideline recommendations for immunohistochemical testing of estrogen and progesterone receptors in breast cancer. Arch. Pathol. Lab. Med. 2010, 134, 907–922. [Google Scholar] [CrossRef] [PubMed]
- Allison, K.H.; Hammond, M.E.H.; Dowsett, M.; McKernin, S.E.; Carey, L.A.; Fitzgibbons, P.L.; Hayes, D.F.; Lakhani, S.R.; Chavez-MacGregor, M.; Perlmutter, J.; et al. Estrogen and Progesterone Receptor Testing in Breast Cancer: ASCO/CAP Guideline Update. J. Clin. Oncol. 2020. [Google Scholar] [CrossRef] [PubMed]
- Wolff, A.C.; Hammond, M.E.; Hicks, D.G.; Dowsett, M.; McShane, L.M.; Allison, K.H.; Allred, D.C.; Bartlett, J.M.; Bilous, M.; Fitzgibbons, P.; et al. Recommendations for human epidermal growth factor receptor 2 testing in breast cancer: American Society of Clinical Oncology/College of American Pathologists clinical practice guideline update. Arch. Pathol. Lab. Med. 2014, 138, 241–256. [Google Scholar] [CrossRef] [PubMed]
- Ricciardelli, C.; Bianco-Miotto, T.; Jindal, S.; Butler, L.M.; Leung, S.; McNeil, C.M.; O’Toole, S.A.; Ebrahimie, E.; Millar, E.K.A.; Sakko, A.J.; et al. The Magnitude of Androgen Receptor Positivity in Breast Cancer Is Critical for Reliable Prediction of Disease Outcome. Clin. Cancer Res. 2018, 24, 2328–2341. [Google Scholar] [CrossRef]
- Lehmann, B.D.; Bauer, J.A.; Chen, X.; Sanders, M.E.; Chakravarthy, A.B.; Shyr, Y.; Pietenpol, J.A. Identification of human triple-negative breast cancer subtypes and preclinical models for selection of targeted therapies. J. Clin. Invest. 2011, 121, 2750–2767. [Google Scholar] [CrossRef]
- Wang, C.; Pan, B.; Zhu, H.; Zhou, Y.; Mao, F.; Lin, Y.; Xu, Q.; Sun, Q. Prognostic value of androgen receptor in triple negative breast cancer: A meta-analysis. Oncotarget 2016, 7, 46482–46491. [Google Scholar] [CrossRef]
- Qu, Q.; Mao, Y.; Fei, X.C.; Shen, K.W. The impact of androgen receptor expression on breast cancer survival: A retrospective study and meta-analysis. PloS One 2013, 8, e82650. [Google Scholar] [CrossRef]
- Loibl, S.; Muller, B.M.; von Minckwitz, G.; Schwabe, M.; Roller, M.; Darb-Esfahani, S.; Ataseven, B.; du Bois, A.; Fissler-Eckhoff, A.; Gerber, B.; et al. Androgen receptor expression in primary breast cancer and its predictive and prognostic value in patients treated with neoadjuvant chemotherapy. Breast Cancer Res. Treat 2011, 130, 477–487. [Google Scholar] [CrossRef]
- McGhan, L.J.; McCullough, A.E.; Protheroe, C.A.; Dueck, A.C.; Lee, J.J.; Nunez-Nateras, R.; Castle, E.P.; Gray, R.J.; Wasif, N.; Goetz, M.P.; et al. Androgen receptor-positive triple negative breast cancer: A unique breast cancer subtype. Ann. Surg. Oncol. 2014, 21, 361–367. [Google Scholar] [CrossRef]
- Pistelli, M.; Caramanti, M.; Biscotti, T.; Santinelli, A.; Pagliacci, A.; De Lisa, M.; Ballatore, Z.; Ridolfi, F.; Maccaroni, E.; Bracci, R.; et al. Androgen receptor expression in early triple-negative breast cancer: Clinical significance and prognostic associations. Cancers 2014, 6, 1351–1362. [Google Scholar] [CrossRef] [PubMed]
- Doane, A.S.; Danso, M.; Lal, P.; Donaton, M.; Zhang, L.; Hudis, C.; Gerald, W.L. An estrogen receptor-negative breast cancer subset characterized by a hormonally regulated transcriptional program and response to androgen. Oncogene 2006, 25, 3994–4008. [Google Scholar] [CrossRef] [PubMed]
- Gerratana, L.; Basile, D.; Buono, G.; De Placido, S.; Giuliano, M.; Minichillo, S.; Coinu, A.; Martorana, F.; De Santo, I.; Del Mastro, L.; et al. Androgen receptor in triple negative breast cancer: A potential target for the targetless subtype. Cancer Treat Rev. 2018, 68, 102–110. [Google Scholar] [CrossRef] [PubMed]
- Gucalp, A.; Traina, T.A. Targeting the androgen receptor in triple-negative breast cancer. Curr. Probl. Cancer 2016, 40, 141–150. [Google Scholar] [CrossRef] [PubMed]



| Characteristics | All | Low AR (≤10%) | High AR (>10%) | pa | |||
|---|---|---|---|---|---|---|---|
| No. | % | No. | % | No. | % | ||
| Total | 395 | 100.00% | 203 | 51.40% | 192 | 48.60% | |
| Mean age (years) | 53.3 ± 12.3 | 53.7 ± 12.7 | 52.8 ± 11.8 | 0.491 | |||
| Tumor size (cm) | 0.016 | ||||||
| ≤2 | 137 | 34.70% | 59 | 29.10% | 78 | 40.60% | |
| >2 | 258 | 65.30% | 144 | 70.90% | 114 | 59.40% | |
| Nodal positivity | 0.131 | ||||||
| Negative | 219 | 55.40% | 120 | 59.10% | 99 | 51.60% | |
| Positive | 176 | 44.60% | 83 | 40.90% | 93 | 48.40% | |
| Stage | 0.279 | ||||||
| Stage I | 99 | 25.10% | 44 | 21.70% | 55 | 28.60% | |
| Stage II | 201 | 50.90% | 108 | 53.20% | 93 | 48.40% | |
| Stage III | 95 | 24.10% | 51 | 25.10% | 44 | 22.90% | |
| Estrogen receptor | <0.001 | ||||||
| Negative | 131 | 33.20% | 105 | 51.70% | 26 | 13.50% | |
| Positive | 264 | 66.80% | 98 | 48.30% | 166 | 86.50% | |
| Progesterone receptor | <0.001 | ||||||
| Negative | 154 | 39.00% | 101 | 49.80% | 53 | 27.60% | |
| Positive | 241 | 61.00% | 102 | 50.20% | 139 | 72.40% | |
| HER2 | 0.049 | ||||||
| Negative | 312 | 79.80% | 169 | 83.70% | 143 | 75.70% | |
| Positive | 79 | 20.20% | 33 | 16.30% | 46 | 24.30% | |
| Unknown | 4 | 1.00% | 1 | 0.50% | 3 | 1.60% | |
| Subtype | <0.001 | ||||||
| HRc(+)/HER2(-) | 238 | 60.30% | 102 | 50.20% | 136 | 70.80% | |
| HRc(+)/HER2(+) | 50 | 12.70% | 18 | 8.90% | 32 | 16.70% | |
| HRc(-)/HER2(+) | 29 | 7.30% | 15 | 7.40% | 14 | 7.30% | |
| HRc(-)/HER2(-) | 74 | 18.70% | 67 | 33.00% | 7 | 3.60% | |
| Unknown | 4 | 1.00% | 1 | 0.50% | 3 | 1.60% | |
| Histologic grade | <0.001 | ||||||
| 1, 2 | 227 | 57.90% | 98 | 48.50% | 129 | 67.90% | |
| 3 | 165 | 42.10% | 104 | 51.50% | 61 | 32.10% | |
| Unknown | 3 | 0.80% | 1 | 0.50% | 2 | 1.00% | |
| Lymphovascular invasion | 0.529 | ||||||
| Negative | 240 | 60.90% | 120 | 59.40% | 120 | 62.50% | |
| Positive | 154 | 39.10% | 82 | 40.60% | 72 | 37.50% | |
| Unknown | 1 | 0.30% | 1 | 0.50% | 0 | 0.00% | |
| Age (years) | 0.466 | ||||||
| ≤50 | 188 | 47.60% | 93 | 45.80% | 95 | 49.50% | |
| >50 | 207 | 52.40% | 110 | 54.20% | 97 | 50.50% | |
| Body mass index (kg/m2) | 0.279 | ||||||
| ≤25 | 227 | 58.10% | 112 | 55.40% | 115 | 60.80% | |
| >25 | 164 | 41.90% | 90 | 44.60% | 74 | 39.20% | |
| Unknown | 4 | 1.00% | 1 | 0.50% | 3 | 1.60% | |
| Operation | 0.718 | ||||||
| Lumpectomy | 118 | 29.90% | 59 | 29.10% | 59 | 30.70% | |
| Mastectomy | 277 | 70.10% | 144 | 70.90% | 133 | 69.30% | |
| Radiation therapy | 0.937 | ||||||
| No | 228 | 58.00% | 117 | 58.20% | 111 | 57.80% | |
| Yes | 165 | 42.00% | 84 | 41.80% | 81 | 42.20% | |
| Unknown | 2 | 0.50% | 2 | 1.00% | 0 | 0.00% | |
| Chemotherapy | 0.264 | ||||||
| No | 77 | 19.70% | 35 | 17.50% | 42 | 22.00% | |
| Yes | 314 | 80.30% | 165 | 82.50% | 149 | 78.00% | |
| Unknown | 4 | 1.00% | 3 | 1.50% | 1 | 0.50% | |
| Anti-HER2 therapy | 0.401 | ||||||
| No | 376 | 95.70% | 194 | 96.50% | 182 | 94.80% | |
| Yes | 17 | 4.30% | 7 | 3.50% | 10 | 5.20% | |
| Unknown | 2 | 0.50% | 2 | 1.00% | 0 | 0.00% | |
| Endocrine therapy | <0.001 | ||||||
| No | 107 | 27.40% | 74 | 36.80% | 33 | 17.40% | |
| Yes | 284 | 72.60% | 127 | 63.20% | 157 | 82.60% | |
| Unknown | 4 | 1.00% | 2 | 1.00% | 2 | 1.00% | |
| Characteristics (All) | Univariable Analysis | Multivariable Analysis | ||||||||||
|---|---|---|---|---|---|---|---|---|---|---|---|---|
| HR | 95% CI | p | Model 1 b | Model 2 c | ||||||||
| HR | 95% CI | p | HR | 95% CI | p | |||||||
| AR, high vs. low a | 0.678 | 0.462 | 0.997 | 0.048 | 0.586 | 0.381 | 0.901 | 0.015 | 0.619 | 0.414 | 0.924 | 0.019 |
| Tumor size (cm), >2 vs. ≤2 | 2.171 | 1.368 | 3.444 | 0.001 | 1.574 | 0.95 | 2.607 | 0.078 | 1.658 | 1.017 | 2.705 | 0.043 |
| Nodal positivity, positive vs. negative | 2.484 | 1.675 | 3.685 | <0.001 | 1.811 | 1.116 | 2.94 | 0.016 | 1.905 | 1.192 | 3.045 | 0.007 |
| Estrogen receptor, positive vs. negative | 0.936 | 0.626 | 1.399 | 0.746 | 1.355 | 0.766 | 2.396 | 0.297 | ||||
| Progesterone receptor, positive vs. negative | 0.843 | 0.574 | 1.24 | 0.386 | 0.705 | 0.431 | 1.155 | 0.165 | ||||
| HER2, positive vs. negative | 0.789 | 0.476 | 1.31 | 0.36 | 0.762 | 0.448 | 1.298 | 0.318 | ||||
| Histologic grade, 3 vs. 1, 2 | 1.376 | 0.942 | 2.01 | 0.099 | 1.196 | 0.784 | 1.825 | 0.406 | ||||
| Lymphovascular invasion, positive vs. negative | 1.85 | 1.262 | 2.712 | 0.002 | 1.519 | 0.957 | 2.409 | 0.076 | 1.475 | 0.946 | 2.302 | 0.087 |
| Age (years), >50 vs. ≤50 | 1.797 | 1.211 | 2.667 | 0.004 | 1.252 | 0.804 | 1.949 | 0.32 | 1.374 | 0.909 | 2.077 | 0.132 |
| Body mass index (kg/m2), >25 vs. ≤25 | 1.337 | 0.913 | 1.957 | 0.135 | 1.011 | 0.681 | 1.501 | 0.957 | ||||
| Operation, mastectomy vs. lumpectomy | 4.013 | 2.089 | 7.71 | <0.001 | 3.085 | 1.511 | 6.298 | 0.002 | 2.68 | 1.371 | 5.238 | 0.004 |
| Radiation therapy, yes vs. no | 0.833 | 0.558 | 1.241 | 0.368 | 1.237 | 0.756 | 2.023 | 0.397 | ||||
| Chemotherapy, yes vs. no | 0.431 | 0.287 | 0.647 | <0.001 | 0.34 | 0.21 | 0.551 | <0.001 | 0.39 | 0.251 | 0.606 | <0.001 |
| Anti-HER2 therapy, yes vs. no | 0.837 | 0.265 | 2.65 | 0.763 | 1 | 0.299 | 3.346 | 0.999 | ||||
| Endocrine therapy, yes vs. no | 0.781 | 0.516 | 1.183 | 0.243 | 0.901 | 0.503 | 1.615 | 0.727 | ||||
| Characteristics (All) | Univariable Analysis | Multivariable Analysis | ||||||||||
|---|---|---|---|---|---|---|---|---|---|---|---|---|
| HR | 95% CI | p | Model 1 b | Model 2 c | ||||||||
| HR | 95% CI | p | HR | 95% CI | p | |||||||
| AR, high vs. low a | 0.56 | 0.377 | 0.834 | 0.004 | 0.43 | 0.274 | 0.674 | <0.001 | 0.495 | 0.328 | 0.745 | 0.001 |
| Tumor size (cm), >2 vs. ≤2 | 2.106 | 1.325 | 3.348 | 0.002 | 1.312 | 0.794 | 2.17 | 0.289 | 1.298 | 0.797 | 2.114 | 0.294 |
| Nodal positivity, positive vs. negative | 3.103 | 2.058 | 4.679 | <0.001 | 2.308 | 1.397 | 3.813 | 0.001 | 2.227 | 1.373 | 3.61 | 0.001 |
| Estrogen receptor, positive vs. negative | 0.867 | 0.578 | 1.299 | 0.489 | 1.709 | 0.943 | 3.098 | 0.078 | ||||
| Progesterone receptor, positive vs. negative | 0.872 | 0.589 | 1.29 | 0.492 | 0.696 | 0.418 | 1.159 | 0.164 | ||||
| HER2, positive vs. negative | 1.054 | 0.659 | 1.688 | 0.826 | 0.78 | 0.453 | 1.345 | 0.371 | ||||
| Histologic grade, 3 vs. 1, 2 | 1.411 | 0.961 | 2.073 | 0.079 | 1.316 | 0.857 | 2.022 | 0.21 | ||||
| Lymphovascular invasion, positive vs. negative | 2.306 | 1.561 | 3.406 | <0.001 | 1.692 | 1.065 | 2.69 | 0.026 | 1.545 | 0.991 | 2.409 | 0.055 |
| Age (years), >50 vs. ≤50 | 1.026 | 0.698 | 1.508 | 0.896 | 0.733 | 0.475 | 1.131 | 0.16 | ||||
| Body mass index (kg/m2), >25 vs. ≤25 | 1.056 | 0.715 | 1.559 | 0.784 | 0.916 | 0.603 | 1.389 | 0.679 | ||||
| Operation, mastectomy vs. lumpectomy | 3.676 | 2.013 | 6.714 | <0.001 | 3.162 | 1.627 | 6.146 | 0.001 | 3.037 | 1.643 | 5.613 | <0.001 |
| Radiation therapy, yes vs. no | 0.891 | 0.6 | 1.323 | 0.568 | 1.024 | 0.636 | 1.648 | 0.923 | ||||
| Chemotherapy, yes vs. no | 0.828 | 0.516 | 1.327 | 0.432 | 0.555 | 0.319 | 0.966 | 0.037 | ||||
| Anti-HER2 therapy, yes vs. no | 2.279 | 1.105 | 4.7 | 0.026 | 3.207 | 1.378 | 7.466 | 0.007 | 2.284 | 1.096 | 4.759 | 0.027 |
| Endocrine therapy, yes vs. no | 0.699 | 0.46 | 1.061 | 0.092 | 0.762 | 0.409 | 1.419 | 0.392 | ||||
© 2020 by the authors. Licensee MDPI, Basel, Switzerland. This article is an open access article distributed under the terms and conditions of the Creative Commons Attribution (CC BY) license (http://creativecommons.org/licenses/by/4.0/).
Share and Cite
Hwang, K.-T.; Kim, Y.A.; Kim, J.; Park, J.H.; Choi, I.S.; Hwang, K.R.; Chai, Y.J.; Park, J.H. Influence of Androgen Receptor on the Prognosis of Breast Cancer. J. Clin. Med. 2020, 9, 1083. https://doi.org/10.3390/jcm9041083
Hwang K-T, Kim YA, Kim J, Park JH, Choi IS, Hwang KR, Chai YJ, Park JH. Influence of Androgen Receptor on the Prognosis of Breast Cancer. Journal of Clinical Medicine. 2020; 9(4):1083. https://doi.org/10.3390/jcm9041083
Chicago/Turabian StyleHwang, Ki-Tae, Young A Kim, Jongjin Kim, Jeong Hwan Park, In Sil Choi, Kyu Ri Hwang, Young Jun Chai, and Jin Hyun Park. 2020. "Influence of Androgen Receptor on the Prognosis of Breast Cancer" Journal of Clinical Medicine 9, no. 4: 1083. https://doi.org/10.3390/jcm9041083
APA StyleHwang, K.-T., Kim, Y. A., Kim, J., Park, J. H., Choi, I. S., Hwang, K. R., Chai, Y. J., & Park, J. H. (2020). Influence of Androgen Receptor on the Prognosis of Breast Cancer. Journal of Clinical Medicine, 9(4), 1083. https://doi.org/10.3390/jcm9041083

