Frailty Is a Better Predictor than Age of Mortality and Perioperative Complications after Surgery for Degenerative Cervical Myelopathy: An Analysis of 41,369 Patients from the NSQIP Database 2010–2018
Abstract
1. Introduction
2. Experimental Section
2.1. Data Source
2.2. Patient Population
2.3. Baseline Characteristics
2.4. Calculation of Frailty Indices
2.5. Outcomes
2.6. Statistical Analysis
2.7. Ethics Approval
3. Results
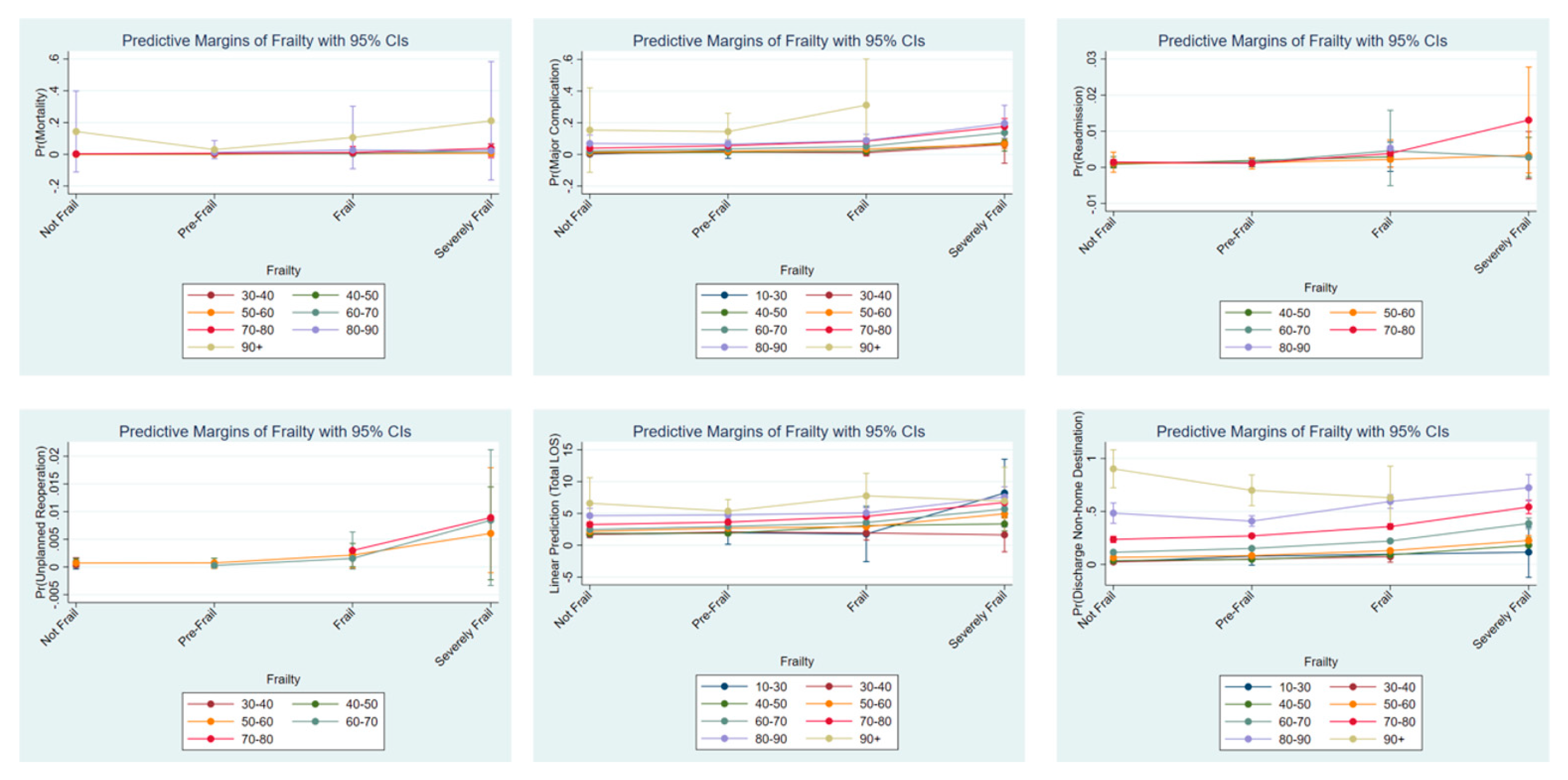
3.1. Univariate Analysis of Age and Frailty Indices on Outcomes
3.2. Multivariable Analysis Adjusting for Approach, Number of Levels Operated and Gender
4. Discussion
5. Conclusions
Author Contributions
Funding
Acknowledgments
Conflicts of Interest
References
- Karadimas, S.K.; Erwin, W.M.; Ely, C.G.; Dettori, J.R.; Fehlings, M.G. Pathophysiology and Natural History of Cervical Spondylotic Myelopathy. Spine 2013, 38, S21–S36. [Google Scholar] [CrossRef] [PubMed]
- Nouri, A.; Tetreault, L.; Singh, A.; Karadimas, S.K.; Fehlings, M.G. Degenerative Cervical Myelopathy. Spine 2015, 40, E675–E693. [Google Scholar] [CrossRef] [PubMed]
- Wilson, J.R.F.; Badhiwala, J.; Jiang, F.; Wilson, J.R.; Kopjar, B.; Vaccaro, A.R.; Fehlings, M.G. The Impact of Older Age on Functional Recovery and Quality of Life Outcomes after Surgical Decompression for Degenerative Cervical Myelopathy: Results from an Ambispective, Propensity-Matched Analysis from the CSM-NA and CSM-I International, Multi-Center Studies. J. Clin. Med. 2019, 8, 1708. [Google Scholar] [CrossRef]
- Wilson, J.R.; Badhiwala, J.H.; Moghaddamjou, A.; Martin, A.R.; Fehlings, M.G. Degenerative Cervical Myelopathy; A Review of the Latest Advances and Future Directions in Management. Neurospine 2019, 16, 494–505. [Google Scholar] [CrossRef] [PubMed]
- Institute of Medicine Initial National Priorities for Comparative Effectiveness Research. Initial National Priorities for Comparative Effectiveness Research; The National Academies Press: Washington, DC, USA, 2009. [Google Scholar]
- Davies, B.M.; Khan, D.Z.; Mowforth, O.D.; McNair, A.G.K.; Gronlund, T.; Kolias, A.G.; Tetreault, L.; Starkey, M.L.; Sadler, I.; Sarewitz, E.; et al. RE-CODE DCM (REsearch Objectives and Common Data Elements for Degenerative Cervical Myelopathy): A Consensus Process to Improve Research Efficiency in DCM, Through Establishment of a Standardized Dataset for Clinical Research and the Definition of the Research Priorities. Glob. Spine J. 2019, 9, 65S–76S. [Google Scholar] [CrossRef]
- Fehlings, M.G.; Tetreault, L.A.; Riew, K.D.; Middleton, J.W.; Aarabi, B.; Arnold, P.M.; Brodke, D.S.; Burns, A.S.; Carette, S.; Chen, R.; et al. A Clinical Practice Guideline for the Management of Patients with Degenerative Cervical Myelopathy: Recommendations for Patients with Mild, Moderate, and Severe Disease and Nonmyelopathic Patients with Evidence of Cord Compression. Glob. Spine J. 2017, 7, 70S–83S. [Google Scholar] [CrossRef] [PubMed]
- Oh, T.; Lafage, R.; Lafage, V.; Protopsaltis, T.; Challier, V.; Shaffrey, C.; Kim, H.J.; Arnold, P.; Chapman, J.R.; Schwab, F.; et al. Comparing Quality of Life in Cervical Spondylotic Myelopathy with Other Chronic Debilitating Diseases Using the Short Form Survey 36-Health Survey. World Neurosurg. 2017, 106, 699–706. [Google Scholar] [CrossRef] [PubMed]
- Badhiwala, J.H.; Witiw, C.D.; Nassiri, F.; A Akbar, M.; Mansouri, A.; Wilson, J.R.; Fehlings, M.G. Efficacy and Safety of Surgery for Mild Degenerative Cervical Myelopathy: Results of the AOSpine North America and International Prospective Multicenter Studies. Neurosurgery 2019, 84, 890–897. [Google Scholar] [CrossRef]
- Fehlings, M.G.; Ibrahim, A.; Tetreault, L.; Albanese, V.; Alvarado, M.; Arnold, P.; Barbagallo, G.M.V.; Bartels, R.H.M.A.; Bolger, C.; Defino, H.L.A.; et al. A Global Perspective on the Outcomes of Surgical Decompression in Patients with Cervical Spondylotic Myelopathy. Spine 2015, 40, 1322–1328. [Google Scholar] [CrossRef]
- Fehlings, M.G.; Wilson, J.R.; Kopjar, B.; Yoon, S.T.; Arnold, P.M.; Massicotte, E.M.; Vaccaro, A.R.; Brodke, D.S.; Shaffrey, C.I.; Smith, J.S.; et al. Efficacy and Safety of Surgical Decompression in Patients with Cervical Spondylotic Myelopathy. J. Bone Jt. Surg. Am. 2013, 95, 1651–1658. [Google Scholar] [CrossRef]
- Tetreault, L.; Palubiski, L.M.; Kryshtalskyj, M.; Idler, R.K.; Martin, A.R.; Ganau, M.; Wilson, J.R.; Kotter, M.; Fehlings, M.G. Significant Predictors of Outcome Following Surgery for the Treatment of Degenerative Cervical Myelopathy. Neurosurg. Clin. North. Am. 2018, 29, 115–127.e35. [Google Scholar] [CrossRef] [PubMed]
- Fehlings, M.; Wilson, J.R.F.; Jiang, F. Clinical predictors of complications and outcomes in degenerative cervical myeloradiculopathy. Indian Spine J. 2019, 2, 59. [Google Scholar] [CrossRef]
- Badhiwala, J.; Witiw, C.D.; Nassiri, F.; Jaja, B.N.; Akbar, M.A.; Mansouri, A.; Merali, Z.; Ibrahim, G.M.; Wilson, J.R.; Fehlings, M.G. Patient phenotypes associated with outcome following surgery for mild degenerative cervical myelopathy: A principal component regression analysis. Spine J. 2018, 18, 2220–2231. [Google Scholar] [CrossRef]
- Tetreault, L.; Tan, G.; Kopjar, B.; Côté, P.; Arnold, P.; Nugaeva, N.; Barbagallo, G.M.V.; Fehlings, M.G. Clinical and Surgical Predictors of Complications Following Surgery for the Treatment of Cervical Spondylotic Myelopathy. Neurosurgery 2015, 79, 33–44. [Google Scholar] [CrossRef]
- Fehlings, M.G.; Tetreault, L.; Nater, A.; Choma, T.; Harrop, J.; Mroz, T.; Santaguida, C.; Smith, J.S. The Aging of the Global Population. Neurosurgery 2015, 77, S1–S5. [Google Scholar] [CrossRef] [PubMed]
- Tetreault, L.; Ibrahim, A.K.; Côté, P.; Singh, A.; Fehlings, M.G. A systematic review of clinical and surgical predictors of complications following surgery for degenerative cervical myelopathy. J. Neurosurg. Spine 2016, 24, 77–99. [Google Scholar] [CrossRef]
- Lakomkin, N.; Zuckerman, S.L.; Stannard, B.; Montejo, J.; Sussman, E.S.; Virojanapa, J.; Kuzmik, G.; Goz, V.; Hadjipanayis, C.G.; Cheng, J.S. Preoperative Risk Stratification in Spine Tumor Surgery. Spine 2019, 44, E782–E787. [Google Scholar] [CrossRef]
- Meng, X.; Press, B.; Renson, A.; Wysock, J.S.; Taneja, S.S.; Huang, W.C.; Bjurlin, M.A. Discriminative Ability of Commonly Used Indexes to Predict Adverse Outcomes After Radical Cystectomy: Comparison of Demographic Data, American Society of Anesthesiologists, Modified Charlson Comorbidity Index, and Modified Frailty Index. Clin. Genitourin. Cancer 2018, 16, e843–e850. [Google Scholar] [CrossRef]
- Ondeck, N.T.; Bovonratwet, P.; Ibe, I.K.; Bohl, D.D.; McLynn, R.P.; Cui, J.J.; Baumgaertner, M.R.; Grauer, J.N. Discriminative Ability for Adverse Outcomes After Surgical Management of Hip Fractures. J. Orthop. Trauma 2018, 32, 231–237. [Google Scholar] [CrossRef]
- Shah, R.; Ms, J.D.B.; Ms, J.C.H.; Varley, P.R.; Wisniewski, M.K.; Shinall, M.C.; Arya, S.; Johnson, J.; Nelson, J.B.; Youk, A.; et al. Validation of the Risk Analysis Index for Evaluating Frailty in Ambulatory Patients. J. Am. Geriatr. Soc. 2020, 68, 1818–1824. [Google Scholar] [CrossRef]
- Varley, P.R.; Borrebach, J.D.; Arya, S.; Massarweh, N.N.; Bilderback, A.L.; Wisniewski, M.K.; Nelson, J.B.; Johnson, J.T.; Johanning, J.M.; Hall, D.E. Clinical Utility of the Risk Analysis Index as a Prospective Frailty Screening Tool within a Multi-practice, Multi-hospital Integrated Healthcare System. Ann. Surg. 2020. [Google Scholar] [CrossRef] [PubMed]
- Shin, J.I.; Kothari, P.; Phan, K.; Kim, J.S.; Leven, D.; Lee, N.J.; Cho, S.K.-W. Frailty Index as a Predictor of Adverse Postoperative Outcomes in Patients Undergoing Cervical Spinal Fusion. Spine 2017, 42, 304–310. [Google Scholar] [CrossRef]
- Lukasiewicz, A.M.; Basques, B.A.; Bohl, D.D.; Webb, M.L.; Samuel, A.M.; Grauer, J.N. Myelopathy Is Associated with Increased All-Cause Morbidity and Mortality Following Anterior Cervical Discectomy and Fusion. Spine 2015, 40, 443–449. [Google Scholar] [CrossRef] [PubMed]
- Shiloach, M.; Frencher, S.K.; Steeger, J.E.; Rowell, K.S.; Bartzokis, K.; Tomeh, M.G.; Richards, K.E.; Ko, C.Y.; Hall, B.L. Toward Robust Information: Data Quality and Inter-Rater Reliability in the American College of Surgeons National Surgical Quality Improvement Program. J. Am. Coll. Surg. 2010, 210, 6–16. [Google Scholar] [CrossRef] [PubMed]
- Yagi, M.; Michikawa, T.; Hosogane, N.; Fujita, N.; Okada, E.; Suzuki, S.; Tsuji, O.; Nagoshi, N.; Asazuma, T.; Tsuji, T.; et al. The 5-Item Modified Frailty Index Is Predictive of Severe Adverse Events in Patients Undergoing Surgery for Adult Spinal Deformity. Spine 2019, 44, E1083–E1091. [Google Scholar] [CrossRef]
- Rockwood, K.; Song, X.; Macknight, C.; Bergman, H.; Hogan, D.B.; McDowell, I.; Mitnitski, A. A global clinical measure of fitness and frailty in elderly people. Can. Med. Assoc. J. 2005, 173, 489–495. [Google Scholar] [CrossRef]
- Ondeck, N.T.; Bohl, D.D.; Bovonratwet, P.; Anandasivam, N.S.; Cui, J.J.; McLynn, R.P.; Grauer, J.N. Predicting Adverse Outcomes After Total Hip Arthroplasty. J. Am. Acad. Orthop. Surg. 2018, 26, 735–743. [Google Scholar] [CrossRef]
- Miller, E.; Lenke, L.G.; Espinoza-Rebmann, K.; Neuman, B.J.; Sciubba, D.M.; Smith, J.S.; Qiu, Y.; Dahl, B.; Matsuyama, Y.; Fehlings, M.G.; et al. Use of the Adult Spinal Deformity (ASD) Frailty Index (ASD-FI) to Predict Major Complications in the Scoli-Risk 1 Multicenter, International Patient Database. Spine J. 2016, 16, S131–S132. [Google Scholar] [CrossRef]
- Searle, S.D.; Mitnitski, A.; Gahbauer, E.A.; Gill, T.M.; Rockwood, K. A standard procedure for creating a frailty index. BMC Geriatrics 2008, 8, 24. [Google Scholar] [CrossRef]
- Subramaniam, S.; Aalberg, J.J.; Soriano, R.P.; Divino, C.M. New 5-Factor Modified Frailty Index Using American College of Surgeons NSQIP Data. J. Am. Coll. Surg. 2018, 226, 173–181.e8. [Google Scholar] [CrossRef]
- Fehlings, M.G.; Barry, S.; Kopjar, B.; Yoon, S.T.; Arnold, P.; Massicotte, E.M.; Vaccaro, A.; Brodke, D.S.; Shaffrey, C.; Smith, J.S.; et al. Anterior Versus Posterior Surgical Approaches to Treat Cervical Spondylotic Myelopathy. Spine 2013, 38, 2247–2252. [Google Scholar] [CrossRef] [PubMed]
- Evaniew, N.; Belley-Côté, E.P.; Fallah, N.; Noonan, V.K.; Rivers, C.S.; Dvorak, M.F. Methylprednisolone for the Treatment of Patients with Acute Spinal Cord Injuries: A Systematic Review and Meta-Analysis. J. Neurotrauma 2016, 33, 468–481. [Google Scholar] [CrossRef]
- Banaszek, D.; Inglis, T.; Marion, T.; Charest-Morin, R.; Moskven, E.; Rivers, C.S.; Kurban, D.; Flexman, A.M.; Ailon, T.; Dea, N.; et al. Effect of Frailty on Outcome after Traumatic Spinal Cord Injury. J. Neurotrauma 2020, 37, 839–845. [Google Scholar] [CrossRef] [PubMed]
- Charest-Morin, R.; Street, J.T.; Zhang, H.; Roughead, T.; Ailon, T.; Boyd, M.; Dvorak, M.F.; Kwon, B.K.; Paquette, S.; Dea, N.; et al. Frailty and sarcopenia do not predict adverse events in an elderly population undergoing non-complex primary elective surgery for degenerative conditions of the lumbar spine. Spine J. 2017, 18, 245–254. [Google Scholar] [CrossRef] [PubMed]
- Al Shakarchi, J.; Fairhead, J.; Rajagopalan, S.; Pherwani, A.; Jaipersad, A. Impact of Frailty on Outcomes in Patients Undergoing Open Abdominal Aortic Aneurysm Repair. Ann. Vasc. Surg. 2020, 67, 100–104. [Google Scholar] [CrossRef] [PubMed]
- Pandit, V.; Lee, A.; Zeeshan, M.; Goshima, K.; Tan, T.-W.; Jhajj, S.; Trinidad, B.; Weinkauf, C.; Zhou, W. Effect of frailty syndrome on the outcomes of patients with carotid stenosis. J. Vasc. Surg. 2020, 71, 1595–1600. [Google Scholar] [CrossRef]
- Yagi, M.; Michikawa, T.; Hosogane, N.; Fujita, N.; Okada, E.; Suzuki, S.; Tsuji, O.; Nagoshi, N.; Asazuma, T.; Tsuji, T.; et al. Treatment for Frailty Does Not Improve Complication Rates in Corrective Surgery for Adult Spinal Deformity. Spine 2019, 44, 723–731. [Google Scholar] [CrossRef]

| NSQIP Variables | CSHA-FI | mCCI (Weighting) | |
|---|---|---|---|
| MFI-11 | MFI-5 | ||
| Functional health status prior to admission | Functional health status prior to admission | Changes in daily activities | Ascites/Esophageal Varices (3) |
| Diabetes Mellitus | Diabetes Mellitus | Diabetes Mellitus | Diabetes Mellitus (1) |
| History of Severe COPD | History of Severe COPD | Respiratory problems | History of Severe COPD (1) |
| Hypertension requiring medication | Hypertension requiring medication | Arterial hypertension | Renal Failure (2) |
| Congestive Heart failure within 30 days of admission | Congestive Heart failure within 30 days of admission | Congestive heart failure | Congestive heart failure (1) |
| Myocardial Infarction within past 6 months prior to surgery | Myocardial Infarction | Prior Myocardial Infarction (1) | |
| Previous Cardiac Surgery OR Angina <1 month prior to surgery | Cardiac problems | Disseminated Cancer (6) | |
| Impaired sensorium | Clouding or delirium | ||
| History of TIA or Cerebrovascular Accident with no deficits | Cerebrovascular problems | Prior TIA or Cerebrovascular Accident (1) | |
| Cerebrovascular Accident with deficits | History of stroke | Hemiplegia (2) | |
| Previous intervention for peripheral vascular disease OR Rest pain/Gangrene secondary to peripheral vascular disease | Decreased peripheral pulses | Peripheral Vascular Disease (1) | |
| 40 years old or less (0) | |||
| 41–50 years old (1) | |||
| 51–60 years old (2) | |||
| 61–70 years old (3) | |||
| 71 years old+ (4) |
| Coding System | Code | Description |
|---|---|---|
| ICD-9-CM | 721.1 | Cervical spondylosis with myelopathy |
| 722.71 | Intervertebral disc disorder with myelopathy, cervical region | |
| ICD-10-CM | M47.12 | Other spondylosis with myelopathy, cervical region |
| M50.00, M50.01, M50.02, M50.03 | Cervical disc disorder with myelopathy | |
| CPT | 22551 | Arthrodesis, anterior interbody, including disc space preparation, discectomy, osteophytectomy and decompression of spinal cord and/or nerve roots; cervical below C2+ Each additional interspace 22552 |
| 22600 | Arthrodesis, posterior or posterolateral technique, single level; cervical below C2 segment+ Each additional vertebral segment 22614 | |
| 22856 | Cervical arthroplasty (anterior) | |
| 63081 | Cervical corpectomy (anterior) | |
| 63001 | Posterior cervical laminoplasty | |
| 63045, 63015 | Posterior cervical laminectomy |
| Age Mean (95% CI) | 56.6 (56.5–56.7) |
| Distribution (n): | |
| 18–30 | 627 |
| 30–40 | 3728 |
| 40–50 | 8858 |
| 50–60 | 12,427 |
| 60–70 | 9966 |
| 70–80 | 4745 |
| 80–90 | 931 |
| 90+ | 87 |
| Gender | |
| Male | 22,191 (54%) |
| Female | 19,167 (46%) |
| Ethnicity | |
| White | 30,778 (74%) |
| Black/African American | 5260 (13%) |
| Asian | 897 (2.1%) |
| American Indian | 222 (0.5%) |
| Native Hawaiian/Pacific Islands | 141 (0.4%) |
| Unknown | 4071 (10%) |
| Approach (where defined) | |
| Anterior | 27,380 (80%) |
| Posterior | 5945 (17%) |
| Combined | 962 (3%) |
| Distribution of Frailty | |
| MFI5 | |
| Not frail | 18,482 (45%) |
| Pre-frail | 14,904 (36%) |
| Frail | 6816 (16%) |
| Severely Frail | 1167 (3%) |
| MFI11 | |
| Not frail | 4650 (40%) |
| Pre-frail | 4406 (37%) |
| Frail | 2239 (19%) |
| Severely Frail | 463 (4%) |
| mCCI score | |
| 0 | 4125 (10%) |
| 1–2 | 17,613 (43%) |
| 3–4 | 14,670 (35%) |
| 5–6 | 4645 (11%) |
| >6 | 316 (1%) |
| ASA | |
| 1 | 1359 (3%) |
| 2 | 19,289 (47%) |
| 3 | 19,354 (47%) |
| 4 | 1325 (3%) |
| Mortality | Major Complication (Pneumonia, DVT/PE, MI, Cardiac Arrest, Wound Infection/Dehiscence, Sepsis, CVA) | Unplanned Readmission | Reoperation | Length of Hospital Stay (Regression Coefficient) | Discharge to Non-Home Destination | |
|---|---|---|---|---|---|---|
| Age | 1.09 (1.08–1.11) * | 1.06 (1.05–1.06) * | 1.05 (1.03–1.07) * | 1.07 (0.99–1.04) | 1.072 (1.070–1.075) * | |
| MFI5 | ||||||
| Pre-frail | 4.89 (2.72–8.79) * | 2.40 (2.06–2.80) * | 1.30 (0.71–2.40) | 0.57 (0.22–1.51) | 0.82 (0.70–.94) * | 2.22 (2.07–2.38) * |
| Frail | 8.37 (4.58–15.32) * | 3.80 (3.22–4.48) * | 3.40 (1.89–6.12) * | 2.71 (1.26–5.86) * | 1.67 (1.52–1.82) * | 3.85 (3.56–4.12) * |
| Severely Frail | 27.70 (14.29–53.69) * | 11.63 (9.44–14.33) * | 6.37 (2.80–14.50) * | 8.57 (3.41–21.52) * | 3.74 (3.42–4.06) * | 8.67 (7.62–9.86) * |
| MFI11 | ||||||
| Pre-frail | 4.45 (1.68–11.81) * | 1.87 (1.45–2.41) * | 1.11 (0.59–2.09) | 0.49 (0.18–1.28) | 0.80 (0.47–1.13) * | 1.71 (1.53–1.91) * |
| Frail | 7.11 (2.62–19.29) * | 2.84 (2.17–3.72) * | 2.75 (1.51–5.01) * | 1.92 (0.88–4.22) | 1.83 (1.42–2.24) * | 2.89 (2.56–3.26) * |
| Severely Frail | 20.51 (6.98–60.26) * | 7.39 (5.30–10.31) * | 3.74 (1.56–8.95) * | 4.68 (1.77–12.38) * | 4.39 (3.61–5.16) * | 7.81 (6.38–9.56) * |
| mCCI | 1.76 (1.62–1.90) * | 1.51 (1.47–1.56) * | 1.40 (1.25–1.58) * | 1.32 (1.11–1.57) * | 0.53 (0.50–0.56) * | 1.59 (1.56–1.62) * |
| ASA | 4.14 (3.12–5.50) * | 3.60 (3.26–3.98) * | 1.40 (1.25–1.85) * | 1.32 (1.12–1.57) * | 1.58 (1.50–1.67) * | 3.35 (3.19–3.53) * |
| Age by Decade | Mortality | Major Complication (Pneumonia, DVT/PE, MI, Cardiac Arrest, Wound Infection/Dehiscence, Sepsis, CVA) | Unplanned Readmission | Reoperation | Length of Hospital Stay (Regression Coefficient) | Discharge to Non-Home Destination |
|---|---|---|---|---|---|---|
| 30–40 | 0.0044 (0.0005–0.038) * | 1.04 (0.41–2.70) | 0.046 (0.0041–0.51) * | 0.32 (0.067–1.50) | −0.13 (−0.59–0.32) | 0.84 (0.56–1.25) |
| 40–50 | 0.015 (0.047–0.046) * | 1.55 (0.63–3.81) | 0.097 (0.012–0.77) * | 0.40 (0.14–1.16) * | 0.11 (−0.33–0.55) | 1.30 (0.90–1.90) |
| 50–60 | 0.023 (0.0086–0.066) * | 2.87 (1.17–6.97) * | 0.12 (0.016–0.90) * | 0.76 (0.33–1.78) | 0.73 (0.29–1.15) * | 2.23 (1.54–3.23) * |
| 60–70 | 0.073 (0.028–0.19) * | 4.93 (2.03–11.96) * | 0.19 (0.025–1.43) | 0.42 (0.15–1.15) | 1.23 (0.79–1.67) * | 4.29 (2.96–6.21) * |
| 70–80 | 0.17 (0.065–0.43) * | 9.03 (3.72–21.92) * | 0.35 (0.046–2.61) | † | 2.21 (1.75–2.66) * | 9.36 (6.45–13.58) * |
| 80–90 | 0.21 (0.074–0.63) * | 11.69 (4.71–29.04) * | 0.27 (0.029–2.70) | † | 3.23 (2.68–3.78) * | 20.73 (14.05–30.57) * |
| 90+ | † | 19.90 (6.82–58.05) * | † | † | 3.87 (2.65–5.09) * | 52.24 (28.78–94.82) * |
| Mortality | Major Complication (Pneumonia, DVT/PE, MI, Cardiac Arrest, Wound Infection/Dehiscence, Sepsis, CVA) | Unplanned Readmission | Reoperation | Length of Hospital Stay (Regression Coefficient) | Discharge to Non-Home Destination | |
|---|---|---|---|---|---|---|
| Age | 1.08 (1.05–1.10) * | 1.04 (1.03–1.05) * | 1.02 (0.99–1.04) | 0.98 (0.95–1.02) | 0.021 (0.015–0.026) * | 1.05 (1.05–1.06) * |
| MFI5 | ||||||
| score | 2.03 (1.65–2.51) * | 1.67 (1.54–1.80) * | 1.58 (1.14–2.18) * | 2.25 (1.51–3.36) * | 0.61 (0.53–0.69) * | 1.60 (1.53–1.67) * |
| Pre-frail | 2.07 (1.09–3.92) * | 1.48 (1.24–1.77) * | 0.80 (0.35–1.80) | 0.54 (0.15–1.87) | 0.31 (0.17–0.45) * | 1.28 (1.17–1.40) * |
| Frail | 3.19 (1.64–6.17) * | 2.27 (1.87–2.75) * | 2.67 (1.27–5.63) * | 2.87 (1.06–7.83) * | 0.92 (0.74–1.09) * | 2.15 (1.94–2.38) * |
| Severely Frail | 10.84 (5.28–22.30) * | 5.83 (4.54–7.48) * | 3.47 (1.18–10.21) * | 10.71 (3.57–32.17) * | 2.84 (2.47–3.21) * | 4.94 (4.19–5.83) * |
| MFI11 | ||||||
| Pre-frail | 1.70 (0.55–5.32) | 1.16 (0.86–1.57) | 0.95 (0.42–2.13) | 0.56 (0.16–1.91) | 0.55 (0.11–0.99) * | 1.25 (1.07–1.46) * |
| Frail | 2.81 (0.89–8.88) | 1.68 (1.21–2.32) * | 2.51 (1.15–5.49) * | 2.55 (0.92–7.12) | 1.14 (0.86–1.95) * | 2.24 (1.90–2.65) * |
| Severely Frail | 7.68 (2.21–26.61) * | 4.12 (2.80–6.23) * | 3.16 (1.06–9.43) * | 7.99 (2.51–25.40) * | 4.01 (3.00–5.06) * | 5.60 (4.29–7.32) * |
| mCCI | 1.53 (0.35–1.74) * | 1.35 (1.28–1.43) * | 1.36 (1.10–1.68) * | 1.60 (1.25–2.05) * | 0.40 (0.34–0.46) * | 1.30 (1.26–1.35) * |
| ASA | 2.48 (1.06–1.10) * | 2.54 (2.25–2.86) * | 1.87 (1.13–3.09) * | 1.88 (0.98–3.59) | 1.02 (0.92–1.12) * | 2.49 (2.32–2.66) * |
| Mortality | Major Complication (Pneumonia, DVT/PE, MI, Cardiac Arrest, Wound Infection/Dehiscence, Sepsis, CVA) | Unplanned Readmission | Unplanned Reoperation | Hospital Stay 30 Days or Greater after Index Case | Discharge to Non-Home Destination | |
|---|---|---|---|---|---|---|
| Base model (approach, number of levels, gender) | 0.68 | 0.68 | 0.74 | 0.77 | 0.69 | 0.72 |
| Base model + Age | 0.80 | 0.74 | 0.77 | 0.76 | 0.76 | 0.80 |
| Base model + MFI5 | 0.77 | 0.74 | 0.78 | 0.82 | 0.73 | 0.78 |
| Base model + MFI11 | 0.75 | 0.70 | 0.73 | 0.78 | 0.69 | 0.76 |
| Base model + mCCI | 0.81 | 0.75 | 0.79 | 0.80 | 0.78 | 0.80 |
| Base model + ASA | 0.76 | 0.75 | 0.76 | 0.78 | 0.79 | 0.79 |
| Final multivariable model (age, MFI-5, approach, number of levels, gender) | 0.83 | 0.76 | 0.79 | 0.84 | 0.78 | 0.81 |
Publisher’s Note: MDPI stays neutral with regard to jurisdictional claims in published maps and institutional affiliations. |
© 2020 by the authors. Licensee MDPI, Basel, Switzerland. This article is an open access article distributed under the terms and conditions of the Creative Commons Attribution (CC BY) license (http://creativecommons.org/licenses/by/4.0/).
Share and Cite
Wilson, J.R.F.; Badhiwala, J.H.; Moghaddamjou, A.; Yee, A.; Wilson, J.R.; Fehlings, M.G. Frailty Is a Better Predictor than Age of Mortality and Perioperative Complications after Surgery for Degenerative Cervical Myelopathy: An Analysis of 41,369 Patients from the NSQIP Database 2010–2018. J. Clin. Med. 2020, 9, 3491. https://doi.org/10.3390/jcm9113491
Wilson JRF, Badhiwala JH, Moghaddamjou A, Yee A, Wilson JR, Fehlings MG. Frailty Is a Better Predictor than Age of Mortality and Perioperative Complications after Surgery for Degenerative Cervical Myelopathy: An Analysis of 41,369 Patients from the NSQIP Database 2010–2018. Journal of Clinical Medicine. 2020; 9(11):3491. https://doi.org/10.3390/jcm9113491
Chicago/Turabian StyleWilson, Jamie R. F., Jetan H. Badhiwala, Ali Moghaddamjou, Albert Yee, Jefferson R. Wilson, and Michael G. Fehlings. 2020. "Frailty Is a Better Predictor than Age of Mortality and Perioperative Complications after Surgery for Degenerative Cervical Myelopathy: An Analysis of 41,369 Patients from the NSQIP Database 2010–2018" Journal of Clinical Medicine 9, no. 11: 3491. https://doi.org/10.3390/jcm9113491
APA StyleWilson, J. R. F., Badhiwala, J. H., Moghaddamjou, A., Yee, A., Wilson, J. R., & Fehlings, M. G. (2020). Frailty Is a Better Predictor than Age of Mortality and Perioperative Complications after Surgery for Degenerative Cervical Myelopathy: An Analysis of 41,369 Patients from the NSQIP Database 2010–2018. Journal of Clinical Medicine, 9(11), 3491. https://doi.org/10.3390/jcm9113491

