Trends in Psychiatric Hospitalization of Children and Adolescents in Spain between 2005 and 2015
Abstract
1. Introduction
2. Experimental Section
3. Results
Analysis of Hospitalization Rate Trends
- Bipolar Disorders Trend Changed in 2007, with Two Upward Trends in 2005–2007 and 2007–2015.
- Hyperactivity disorders showed two upward trends in 2005–2007 and 2007–2015 with a joinpoint in 2007.
- Other groups
- (1)
- For psychosis, depressive disorders, adaptive disorders, substance abuse and other disorders, slightly ascending—although statistically non-significant—trends were observed.
- (2)
- For anxiety disorders and behavioral disorders groups, a slight downward trend was observed although without statistical significance.
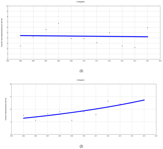
- Eating disorders was the only group that presented an upward and continuous trend throughout the study period. This statistically significant increase showed an annual percentage of change of 7.8% (Figure 1).
4. Discussion
5. Conclusions
Author Contributions
Funding
Acknowledgments
Conflicts of Interest
References
- Ravens-Sieberer, U.; as the BELLA study group; Wille, N.; Erhart, M.; Bettge, S.; Wittchen, H.-U.; Rothenberger, A.; Herpertz-Dahlmann, B.; Resch, F.; Hölling, H.; et al. Prevalence of mental health problems among children and adolescents in Germany: Results of the BELLA study within the National Health Interview and Examination Survey. Eur. Child Adolesc. Psychiatry 2008, 17, 22–33. [Google Scholar] [CrossRef] [PubMed]
- Merikangas, K.R.; He, J.; Brody, D.; Fisher, P.W.; Bourdon, K.; Koretz, D.S. Prevalence and treatment of mental disorders among US children in the 2001-2004 NHANES–PubMed-NCBI. Available online: https://pubmed.publicaciones.saludcastillayleon.es/pubmed/20008426 (accessed on 15 February 2018).
- Kessler, R.C.; Avenevoli, S.; Costello, J.; Green, J.G.; Gruber, M.J.; McLaughlin, K.A.; Petukhova, M.; Sampson, N.A.; Zaslavsky, A.M.; Merikangas, K.R. Severity of 12-month DSM-IV disorders in the National Comorbidity Survey Replication Adolescent Supplement. Arch. Gen. Psychiatry 2012, 69, 381–389. [Google Scholar] [PubMed]
- Barkmann, C.; Schulte-Markwort, M. Prevalence of emotional and behavioral disorders in children and adolescents in Germany—A systematic literature review. Psychiatr. Prax. 2004, 31, 278–287. [Google Scholar] [CrossRef] [PubMed]
- Litmanen, J.; Fröjd, S.; Marttunen, M.; Isomaa, R.; Kaltiala-Heino, R. Are eating disorders and their symptoms increasing in prevalence among adolescent population? Nord. J. Psychiatry 2017, 71, 61–66. [Google Scholar] [CrossRef]
- Swanson, S.A.; Crow, S.J.; Le Grange, D.; Swendsen, J.; Merikangas, K.R. Prevalence and correlates of eating disorders in adolescents. Results from the national comorbidity survey replication adolescent supplement. Arch. Gen. Psychiatry 2011, 68, 714–723. [Google Scholar] [CrossRef]
- Gathright, M.M.; Holmes, K.J.; Morris, E.M.; Gatlin, D.A. An Innovative, Interdisciplinary Model of Care for Inpatient Child Psychiatry: An Overview. J. Behav. Health Serv. Res. 2016, 43, 648–660. [Google Scholar] [CrossRef]
- Peebles, R.; Lesser, A.; Park, C.C.; Heckert, K.; Timko, C.A.; Lantzouni, E.; Liebman, R.; Weaver, L. Outcomes of an inpatient medical nutritional rehabilitation protocol in children and adolescents with eating disorders. J. Eat. Disord. 2017, 5, 7. [Google Scholar] [CrossRef]
- Shafer, A. Inpatient Psychiatric Hospitalization in Texas 1999 to 2010. TexMed 2019, 1, 115. [Google Scholar]
- Boege, I.; Corpus, N.; Schepker, R.; Kilian, R.; Fegert, J.M. Cost-effectiveness of intensive home treatment enhanced by inpatient treatment elements in child and adolescent psychiatry in Germany: A randomised trial. Eur. Psychiatry 2015, 1, 583–589. [Google Scholar] [CrossRef]
- Derenne, J. The Role of Higher Levels of Care for Eating Disorders in Youth. Child Adolesc. Psychiatr. Clin. N. Am. 2019, 28, 573–582. [Google Scholar] [CrossRef]
- Baxter, A.J.; Patton, G.; Scott, K.M.; Degenhardt, L.; Whiteford, H.A. Global epidemiology of mental disorders: What are we missing? PLoS ONE 2013, 8, e65514. [Google Scholar] [CrossRef]
- Erskine, H.E.; Baxter, A.J.; Patton, G.; Moffitt, T.E.; Patel, V.; Whiteford, H.A.; Scott, J.G. The global coverage of prevalence data for mental disorders in children and adolescents. Epidemiol. Psychiatr. Sci. 2017, 26, 395–402. [Google Scholar] [CrossRef] [PubMed]
- Musolino, C.; Warin, M.; Wade, T.; Gilchrist, P. ‘Healthy anorexia’: The complexity of care in disordered eating. Soc. Sci. Med. 2015, 139, 18–25. [Google Scholar] [CrossRef]
- Doran, C.M.; Kinchin, I. A review of the economic impact of mental illness. Aust. Health Rev. Publ. Aust. Hosp. Assoc. 2019, 43, 43–48. [Google Scholar] [CrossRef] [PubMed]
- Meléndez Frigola, C.; Arroyo Borrell, E.; Saez, M. Data Analysis of Subacute Patients with Registered Information in the Minimum Basic Data Set for Social-Healthcare (CMBD-RSS), Spain. Rev. Esp. Salud. Publica 2016, 90, e1–e7. [Google Scholar] [PubMed]
- Button, K.S.; Ioannidis, J.P.A.; Mokrysz, C.; Nosek, B.A.; Flint, J.; Robinson, E.S.J.; Munafò, M.R. Power failure: Why small sample size undermines the reliability of neuroscience. Nat. Rev. Neurosci. 2013, 14, 365–376. [Google Scholar] [CrossRef]
- Cifras Oficiales de Población | Estadística | Junta de Castilla y León. Available online: https://estadistica.jcyl.es/web/jcyl/Estadistica/es/Plantilla100/1284300554709/_/_/_ (accessed on 28 May 2019).
- Olsen, H.E.; Ikeda, C.T.; Echko, M.M.; Ballestreros, K.E.; Manguerra, H.; Martopullo, I.; Millear, A.; Shields, C.; Smith, A.; Strub, B.; et al. Diseases, Injuries, and Risk Factors in Child and Adolescent Health, 1990 to 2017: Findings From the Global Burden of Diseases, Injuries, and Risk Factors 2017 Study. JAMA Pediatr. 2019, 173, e190337. [Google Scholar]
- Inzitari, M.; Espinosa Serralta, L.; Pérez Bocanegra, M.C.; Roquè Fíguls, M.; Argimón Pallàs, J.M.; Farré Calpe, J. Intermediate hospital care for subacute elderly patients as an alternative to prolonged acute hospitalization. Gac. Sanit. 2012, 26, 166–169. [Google Scholar] [CrossRef][Green Version]
- Boscarino, J.A.; Moorman, A.C.; Rupp, L.B.; Zhou, Y.; Lu, M.; Teshale, E.H.; Gordon, S.C.; Spradling, P.R.; Schmidt, M.A.; Trinacty, C.M.; et al. Comparison of ICD-9 Codes for Depression and Alcohol Misuse to Survey Instruments suggest these Codes should be used with Caution. Dig. Dis. Sci. 2017, 62, 2704–2712. [Google Scholar] [CrossRef]
- Gfroerer, J.C.; Adams, E.H.; Moien, M. Drug abuse discharges from non-federal short-stay hospitals. Am. J. Public Health 1988, 78, 1559–1562. [Google Scholar] [CrossRef]
- Kim, H.J.; Fay, M.P.; Feuer, E.J.; Midthune, D.N. Permutation tests for joinpoint regression with applications to cancer rates. Stat. Med. 2000, 19, 335–351. [Google Scholar] [CrossRef]
- Joinpoint Trend Analysis Software Provided by US National Cancer Institute. Surveillance Research Program. Available online: http://surveillance.cancer.gov/joinpoint/ (accessed on 16 March 2017).
- Miquel, L.; Rehm, J.; Shield, K.D.; Vela, E.; Bustins, M.; Segura, L.; Colom, J.; Anderson, P.; Gual, A. Alcohol, tobacco and health care costs: A population-wide cohort study (n = 606947 patients) of current drinkers based on medical and administrative health records from Catalonia. Eur. J. Public Health 2018, 28, 674–680. [Google Scholar] [CrossRef] [PubMed]
- Morris, J.; Simpson, A.V.; Voy, S.J. Length of stay of inpatients with eating disorders. Clin. Psychol. Psychother. 2015, 22, 45–53. [Google Scholar] [CrossRef] [PubMed]
- Current Issues in Transitioning from Pediatric to Adult-Based Care for Youth with Chronic Health Care Needs–PubMed-NCBI. Available online: https://www.ncbi.nlm.nih.gov/pubmed/26340879 (accessed on 17 October 2019).
- Bonanno, M.; Ogez, D.; Bourque, C.J.; Laverdière, C.; Sultan, S. The Role of Pediatric Psychologists in the Transition of Youth to Adult Health Care: A Descriptive Qualitative Study of Their Practice and Recommendations. J. Clin. Psychol. Med. Settings 2019, 26, 353–363. [Google Scholar] [CrossRef]
- Halmi, K.A. Anorexia nervosa: An increasing problem in children and adolescents. Dialogues Clin. Neurosci. 2009, 11, 100–103. [Google Scholar]
- Wang, M.; Brunekreef, B.; Gehring, U.; Szpiro, A.; Hoek, G.; Beelen, R. A new technique for evaluating land use regression models and their impact on health effect estimates. Epidemiol. Camb. Mass. 2016, 27, 51–56. [Google Scholar] [CrossRef]




| No. | Diagnosis Group | ICD-9 |
|---|---|---|
| I | Psychosis (including depressive psychosis) | 295.00–295.99, 297.00–297.99, 298.00–298.99, 299.00–299.99 |
| II | Bipolar disorders | 296.00–296.19, 296.40–296.81, 296.89–296.99 |
| III | Depressive (non-psychotic) disorders: | 296.20–296.39, 296.82, 300.40–300.59, 301.10, 309.00–309.19, 311.00–311.99 |
| IV | Anxiety disorders | 300.00–300.39, 307.20–307.23, 308.00–308.99, 313.00–313.29 |
| V | Adaptation disorders | 309.20–309.99 |
| VI | Behavioral disorders | 312.00–312.99 |
| VII | Substance abuse | 291.00–292.99, 303.00–305.99 |
| VIII | Eating disorders | 307.10–307.19, 307.50–307.59 |
| IX | Hyperactivity disorder | 314.00–314.99 |
| X | Others | 293.00–294.99, 300.60–301.09, 301.11–302.99, 306.00–307.09, 307.40–307.00, 307.60–307.99, 313.30–313.99, 315.00–319.99 |
| Year | Population of Castilla y León (under 18 Years Old) | Total Child Discharges (n) | Psychiatric Discharges (under 18 Years Old) | Annual Rate (Discharges by Psychiatric Pathology in Children under 18/100,000) |
|---|---|---|---|---|
| 2005 | 361,237 | 23,208 | 99 | 27.7 |
| 2006 | 361,145 | 24,015 | 92 | 25.8 |
| 2007 | 363,298 | 24,517 | 136 | 38.1 |
| 2008 | 367,478 | 23,083 | 170 | 45.6 |
| 2009 | 370,396 | 22,549 | 140 | 39.2 |
| 2010 | 370,762 | 22,583 | 132 | 36.9 |
| 2011 | 370,362 | 22,381 | 135 | 4.8 |
| 2012 | 369,460 | 21,016 | 154 | 43.2 |
| 2013 | 367,697 | 21,443 | 145 | 40.7 |
| 2014 | 364,334 | 20,884 | 170 | 47.6 |
| 2015 | 358,788 | 20,842 | 178 | 49.8 |
| TOTAL | 340,443 | 1551 |
| Year | Psychosis | Bipolar Disorder | Depressive Disorders | Anxiety Disorders | Adaptive Disorders | Behavioral Disorders | Substance Abuse | Eating Disorders | Hyperactive Disorders | Others |
|---|---|---|---|---|---|---|---|---|---|---|
| 2005 | 5 | 0 | 2.2 | 3 | 3.6 | 2.5 | 0.8 | 7.6 | 0.3 | 2.5 |
| 2006 | 4.8 | 0.3 | 2.5 | 1.4 | 2 | 4.2 | 1.1 | 5.6 | 1.7 | 2.2 |
| 2007 | 5.6 | 1.4 | 2 | 2.5 | 3.4 | 5.6 | 1.4 | 8.2 | 4.7 | 3.3 |
| 2008 | 8.4 | 1.7 | 2.5 | 5.6 | 2.8 | 6.7 | 0.3 | 9 | 5.6 | 5 |
| 2009 | 7.3 | 1.4 | 1.1 | 4.8 | 3.9 | 3.9 | 1.7 | 5.6 | 4.5 | 5 |
| 2010 | 7 | 0.6 | 1.4 | 2.2 | 5.9 | 3.9 | 1.1 | 9 | 3.4 | 2.5 |
| 2011 | 6.7 | 1.1 | 2 | 2 | 3.9 | 3.1 | 1.7 | 7.9 | 4.7 | 4.8 |
| 2012 | 6.2 | 2.2 | 2 | 3.4 | 3.9 | 5 | 1.4 | 13.2 | 4 | 2 |
| 2013 | 7.3 | 2 | 2.5 | 2.2 | 3.9 | 2.5 | 0.8 | 12.1 | 4.2 | 3.1 |
| 2014 | 5.9 | 2.5 | 3.7 | 3.4 | 7.3 | 2.2 | 0.3 | 12.6 | 5.9 | 3.9 |
| 2015 | 7.8 | 2.5 | 2.2 | 3.1 | 2.5 | 5.9 | 2.5 | 13.5 | 5 | 4.8 |
| Psychosis | Bipolar Disorder | Depressive Disorders | Anxiety Disorders | Adaptive Disorders | Behavioral Disorders | Substance Abuse | Eating Disorders | Hyperactive Disorders | Others | Total | |
|---|---|---|---|---|---|---|---|---|---|---|---|
| Cases (n) | 257 | 56 | 86 | 120 | 154 | 163 | 47 | 371 | 157 | 140 | 1551 |
| Average age years (SD) | 14.6 (2.6) | 15.1 (2.4) | 15.3 (1.9) | 14.1 (3.1) | 14.4 (2.7) | 14.7 (2.0) | 16 (2.5) | 14.6 (2.1) | 12.6 (3.0) | 14.3 (3.0) | 14.4 (2.6) |
| Age (%) | |||||||||||
| 0–6 | 1.2% | 0% | 0% | 2.5% | 1.3% | 0.6% | 2.1% | 0.3% | 1.9% | 2.1% | 1.1% |
| 7–12 | 15.6% | 12.5% | 9.3% | 23.3% | 16.9% | 8.0% | 0% | 14.6% | 41.4% | 19.3% | 17.3% |
| 13–18 | 83.3% | 87.5% | 90.7% | 74.2% | 81.8% | 91.4% | 97.9% | 85.2% | 56.7% | 78.6% | 81.6% |
| Sex (%) | |||||||||||
| Men | 77.8% | 67.9% | 36% | 49.2% | 40.9% | 54% | 66% | 18.1% | 76.4% | 53.6% | 49.8% |
| Women | 22.2% | 32.1% | 64% | 50.8% | 50.1% | 46% | 34% | 81.9% | 23.6% | 46.4% | 50.2% |
| Area | |||||||||||
| Urban | 79.6% | 58.2% | 70.9% | 67.8% | 77.3% | 66.3% | 85.1% | 75.6% | 72.3% | 73.9% | 73.8% |
| Rural | 20.4% | 41.8% | 29.1% | 32.2% | 22.7% | 33.7% | 14.9% | 24.4% | 27.7% | 26.1% | 26.2% |
| Psychosis | Bipolar Disorder | Depressive Disorders | Anxiety Disorders | Adaptive Disorders | Behavioral Disorders | Substance Abuse | Eating Disorders | Hyperactive Disorders | Others | Total | |
|---|---|---|---|---|---|---|---|---|---|---|---|
| Average stay days (DE) | 19.6 (28.5) | 19.8 (12.3) | 14.5 (13.9) | 14.7 (13.5) | 12.6 (9.0) | 8.9 (9.2) | 11.2 (8.2) | 29.2 (21.8) | 18.4 (15.5) | 13.8 (18.2) | 18.5 (19.9) |
© 2019 by the authors. Licensee MDPI, Basel, Switzerland. This article is an open access article distributed under the terms and conditions of the Creative Commons Attribution (CC BY) license (http://creativecommons.org/licenses/by/4.0/).
Share and Cite
Llanes-Álvarez, C.; Andrés-de Llano, J.M.; Álvarez-Navares, A.I.; Pastor-Hidalgo, M.T.; Roncero, C.; Franco-Martín, M.A. Trends in Psychiatric Hospitalization of Children and Adolescents in Spain between 2005 and 2015. J. Clin. Med. 2019, 8, 2111. https://doi.org/10.3390/jcm8122111
Llanes-Álvarez C, Andrés-de Llano JM, Álvarez-Navares AI, Pastor-Hidalgo MT, Roncero C, Franco-Martín MA. Trends in Psychiatric Hospitalization of Children and Adolescents in Spain between 2005 and 2015. Journal of Clinical Medicine. 2019; 8(12):2111. https://doi.org/10.3390/jcm8122111
Chicago/Turabian StyleLlanes-Álvarez, Carlos, Jesús M. Andrés-de Llano, Ana I. Álvarez-Navares, M. Teresa Pastor-Hidalgo, Carlos Roncero, and Manuel A. Franco-Martín. 2019. "Trends in Psychiatric Hospitalization of Children and Adolescents in Spain between 2005 and 2015" Journal of Clinical Medicine 8, no. 12: 2111. https://doi.org/10.3390/jcm8122111
APA StyleLlanes-Álvarez, C., Andrés-de Llano, J. M., Álvarez-Navares, A. I., Pastor-Hidalgo, M. T., Roncero, C., & Franco-Martín, M. A. (2019). Trends in Psychiatric Hospitalization of Children and Adolescents in Spain between 2005 and 2015. Journal of Clinical Medicine, 8(12), 2111. https://doi.org/10.3390/jcm8122111

