The Overlooked Burden of Atopic Comorbidities in Eosinophilic Esophagitis: Insights from a Real-Life Comprehensive Multidisciplinary Evaluation
Abstract
1. Introduction
2. Materials and Methods
2.1. Study Design
2.2. Specialist Consultation
2.2.1. Dermatology Consultation
2.2.2. ENT Evaluation
2.2.3. Immunology and Allergy Assessment
2.2.4. Pulmonology Evaluation
2.3. Statistical Analysis
3. Results
3.1. Study Population
3.2. Post-Consultation Analysis of T2 Comorbidities
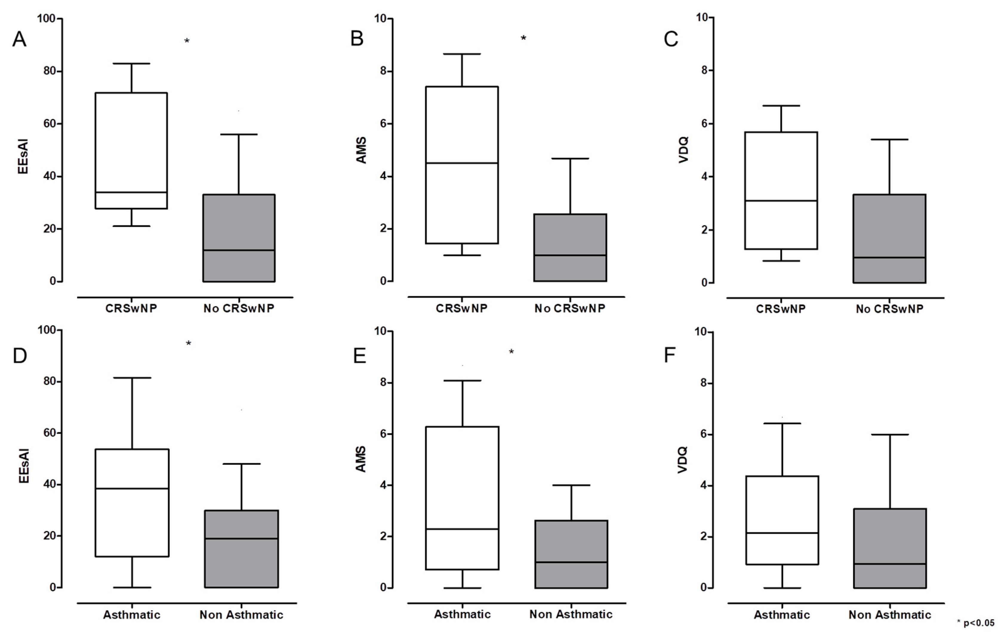
3.3. Impact of Specific T2 Comorbidities on Disease Phenotype and Therapeutic Response
4. Discussion
5. Conclusions
Supplementary Materials
Author Contributions
Funding
Institutional Review Board Statement
Informed Consent Statement
Data Availability Statement
Acknowledgments
Conflicts of Interest
Abbreviations
| AD | Atopic dermatitis |
| AMS | Avoidance, modification, and slow eating |
| ARIA | Allergic rhinitis and its impact on asthma |
| CI | Confidence Interval |
| CRSwNP | Chronic rhinosinusitis with nasal polyps |
| EAACI | European Academy of Allergy and Clinical Immunology |
| EEsAI | Eosinophilic Esophagitis Symptom Activity Index |
| EGD | Esophagogastroduodenoscopy |
| ENT | Ear, nose and throat |
| EoE | Eosinophilic esophagitis |
| EREFS | EoE Endoscopic Reference Score |
| GINA | Global Initiative for Asthma |
| HPF | High power field |
| PPI | Proton pump inhibitors |
| VDQ | Visual Dysphagia Question |
References
- Dellon, E.S.; Liacouras, C.A. Advances in clinical management of eosinophilic esophagitis. Gastroenterology 2014, 147, 1238–1254. [Google Scholar] [CrossRef] [PubMed]
- Marasco, G.; Visaggi, P.; Vassallo, M.; Fiocca, M.; Cremon, C.; Barbaro, M.R.; De Bortoli, N.; Bellini, M.; Stanghellini, V.; Savarino, E.V.; et al. Current and Novel Therapies for Eosinophilic Gastrointestinal Diseases. Int. J. Mol. Sci. 2023, 24, 15165. [Google Scholar] [CrossRef]
- Rothenberg, M.E. Biology and treatment of eosinophilic esophagitis. Gastroenterology 2009, 137, 1238–1249. [Google Scholar] [CrossRef]
- O’Shea, K.M.; Aceves, S.S.; Dellon, E.S.; Gupta, S.K.; Spergel, J.M.; Furuta, G.T.; Rothenberg, M.E. Pathophysiology of Eosinophilic Esophagitis. Gastroenterology 2018, 154, 333–345. [Google Scholar] [CrossRef] [PubMed] [PubMed Central]
- Straumann, A.; Spichtin, H.P.; Grize, L.; Bucher, K.A.; Beglinger, C.; Simon, H.U. Natural history of primary eosinophilic esophagitis: A follow-up of 30 adult patients for up to 11.5 years. Gastroenterology 2003, 125, 1660–1669. [Google Scholar] [CrossRef]
- Hill, D.A.; Grundmeier, R.W.; Ramos, M.; Spergel, J.M. Eosinophilic Esophagitis Is a Late Manifestation of the Allergic March. J. Allergy Clin. Immunol. Pract. 2018, 6, 1528–1533. [Google Scholar] [CrossRef]
- Barchi, A.; Mandarino, F.V.; Yacoub, M.-R.; Albarello, L.; Massimino, L.; Savarino, E.V.; Ungaro, F.; Passaretti, S.; Masclee, G.M.C.; Danese, S.; et al. From Pathogenesis to Treatment: Targeting Type-2 Inflammation in Eosinophilic Esophagitis. Biomolecules 2024, 14, 1080. [Google Scholar] [CrossRef] [PubMed]
- Benninger, M.S.; Strohl, M.; Holy, C.E.; Hanick, A.L.; Bryson, P.C. Prevalence of atopic disease in patients with eosinophilic esophagitis. Int. Forum Allergy Rhinol. 2017, 7, 757–762. [Google Scholar] [CrossRef]
- Chehade, M.; Jones, S.M.; Pesek, R.D.; Burks, A.W.; Vickery, B.P.; Wood, R.A.; Leung, D.Y.M.; Furuta, G.T.; Fleischer, D.M.; Henning, A.K.; et al. Phenotypic Characterization of Eosinophilic Esophagitis in a Large Multicenter Patient Population from the Consortium for Food Allergy Research. J. Allergy Clin. Immunol. Pract. 2018, 6, 1534–1544.e5. [Google Scholar] [CrossRef]
- González-Cervera, J.; Arias, Á.; Redondo-González, O.; Cano-Mollinedo, M.M.; Terreehorst, I.; Lucendo, A.J. Association between atopic manifestations and eosinophilic esophagitis. Ann. Allergy Asthma Immunol. 2017, 118, 582–590.e2. [Google Scholar] [CrossRef] [PubMed]
- Singla, M.B.; Chehade, M.; Brizuela, D.; Maydonovitch, C.L.; Chen, Y.J.; Riffle, M.E.; Achem, S.R.; Moawad, F.J. Early Comparison of Inflammatory vs. Fibrostenotic Phenotype in Eosinophilic Esophagitis in a Multicenter Longitudinal Study. Clin. Transl. Gastroenterol. 2015, 6, e132. [Google Scholar] [CrossRef] [PubMed]
- Redd, W.D.; Ocampo, A.A.; Xue, Z.; Chang, N.C.; Thakkar, K.P.; Reddy, S.B.; Greenberg, S.B.; Lee, C.J.; Ketchem, C.J.; Eluri, S.; et al. Eosinophilic esophagitis patients with multiple atopic conditions: Clinical characteristics and treatment response to topical steroids. Ann. Allergy Asthma Immunol. 2023, 131, 109–115.e2. [Google Scholar] [CrossRef] [PubMed]
- Schoepfer, A.M.; Olsen, S.; Siddall, J.; McCann, E.; Kamat, S.; Borsos, K.; Khodzhayev, A.; Radwan, A.; Pela, T.; Jacob-Nara, J.; et al. Burden of eosinophilic esophagitis in adult and adolescent patients: Results from a real-world analysis. Dis. Esophagus 2025, 38, doaf024. [Google Scholar] [CrossRef]
- Dellon, E.S.; Muir, A.B.; Shah, S.C.; Sauer, B.G.; Aceves, S.S.; Furuta, G.T.; Gonsalves, N.; Hirano, I. ACG Clinical Guideline: Diagnosis and Management of Eosinophilic Esophagitis. Am. J. Gastroenterol. 2025, 120, 31–59. [Google Scholar] [CrossRef]
- de Bortoli, N.; Visaggi, P.; Penagini, R.; Annibale, B.; Baiano Svizzero, F.; Barbara, G.; Bartolo, O.; Battaglia, E.; Di Sabatino, A.; De Angelis, P.; et al. The 1st EoETALY Consensus on the Diagnosis and Management of Eosinophilic Esophagitis–Current Treatment and Monitoring. Dig. Liver Dis. 2024, 56, 1173–1184. [Google Scholar] [CrossRef]
- de Bortoli, N.; Visaggi, P.; Penagini, R.; Annibale, B.; Baiano Svizzero, F.; Barbara, G.; Bartolo, O.; Battaglia, E.; Di Sabatino, A.; De Angelis, P.; et al. The 1st EoETALY Consensus on the Diagnosis and Management of Eosinophilic Esophagitis–Definition, Clinical Presentation and Diagnosis. Dig. Liver Dis. 2024, 56, 951–963. [Google Scholar] [CrossRef]
- Hirano, I.; Moy, N.; Heckman, M.G.; Thomas, C.S.; Gonsalves, N.; Achem, S.R. Endoscopic assessment of the oesophageal features of eosinophilic oesophagitis: Validation of a novel classification and grading system. Gut 2013, 62, 489–495. [Google Scholar] [CrossRef]
- Schoepfer, A.M.; Straumann, A.; Panczak, R.; Coslovsky, M.; Kuehni, C.E.; Maurer, E.; Haas, N.A.; Romero, Y.; Hirano, I.; Alexander, J.A.; et al. International Eosinophilic Esophagitis Activity Index Study Group. Development and validation of a symptom-based activity index for adults with eosinophilic esophagitis. Gastroenterology 2014, 147, 1255–1266.e21. [Google Scholar] [CrossRef]
- Jones, R.; Junghard, O.; Dent, J.; Vakil, N.; Halling, K.; Wernersson, B.; Lind, T. Development of the GerdQ, a tool for the diagnosis and management of gastro-oesophageal reflux disease in primary care. Aliment. Pharmacol. Ther. 2009, 30, 1030–1038. [Google Scholar] [CrossRef]
- Hartnett, D.A.; Muftah, M.; Leung, R.; Hiramoto, B.; Flanagan, R.; Cai, X.J.; Lo, W.; Chan, W.W. Distribution of Esophageal Eosinophilia as a Predictor of Proton Pump Inhibitor Response in Eosinophilic Esophagitis. Clin. Gastroenterol. Hepatol. 2025; in press. ISSN 1542-3565. [Google Scholar] [CrossRef] [PubMed]
- Wollenberg, A.; Christen-Zäch, S.; Taieb, A.; Paul, C.; Thyssen, J.P.; de Bruin-Weller, M.; Vestergaard, C.; Seneschal, J.; Werfel, T.; Cork, M.J.; et al. European Task Force on Atopic Dermatitis/EADV Eczema Task Force. ETFAD/EADV Eczema task force 2020 position paper on diagnosis and treatment of atopic dermatitis in adults and children. J. Eur. Acad. Dermatol. Venereol. 2020, 34, 2717–2744. [Google Scholar] [CrossRef] [PubMed]
- Ottaviano, G.; Scadding, G.K.; Coles, S.; Lund, V.J. Peak nasal inspiratory flow; normal range in adult population. Rhinology 2006, 44, 32–35. [Google Scholar] [PubMed]
- Fokkens, W.J.; Lund, V.J.; Hopkins, C.; Hellings, P.W.; Kern, R.; Reitsma, S.; Toppila-Salmi, S.; Bernal-Sprekelsen, M.; Mullol, J.; Alobid, I.; et al. European Position Paper on Rhinosinusitis and Nasal Polyps 2020. Rhinology 2020, 58 (Suppl. S29), 1–464. [Google Scholar] [CrossRef]
- Bousquet, J.; Khaltaev, N.; Cruz, A.A.; Denburg, J.; Fokkens, W.J.; Togias, A.; Zuberbier, T.; Baena-Cagnani, C.E.; Canonica, G.W.; van Weel, C.; et al. Allergic Rhinitis and its Impact on Asthma (ARIA) 2008 update (in collaboration with the World Health Organization, GA(2)LEN and AllerGen). Allergy 2008, 63 (Suppl. 86), 8–160. [Google Scholar] [CrossRef]
- Santos, A.F.; Riggioni, C.; Agache, I.; Akdis, C.A.; Akdis, M.; Alvarez-Perea, A.; Alvaro-Lozano, M.; Ballmer-Weber, B.; Barni, S.; Beyer, K.; et al. EAACI guidelines on the management of IgE-mediated food allergy. Allergy 2025, 80, 14–36. [Google Scholar] [CrossRef]
- Reddel, H.K.; Bacharier, L.B.; Bateman, E.D.; Brightling, C.E.; Brusselle, G.G.; Buhl, R.; Cruz, A.A.; Duijts, L.; Drazen, J.M.; FitzGerald, J.M.; et al. Global Initiative for Asthma Strategy 2021: Executive Summary and Rationale for Key Changes. Am. J. Respir. Crit. Care Med. 2022, 205, 17–35. [Google Scholar] [CrossRef]
- Brailean, A.; Kwiatek, J.; Kielar, D.; Katial, R.; Wang, X.; Xu, X.; Kim, Y.J.; Stokes, M.; Stirnadel-Farrant, H.A. Real-World Investigation of Eosinophilic-Associated Disease Overlap (REVEAL): Analysis of a US Claims Database. Allergy Asthma Immunol. Res. 2023, 15, 580–602. [Google Scholar] [CrossRef] [PubMed]
- Savarino, E.V.; Barbara, G.; Bilò, M.B.; De Bortoli, N.; Di Sabatino, A.; Oliva, S.; Penagini, R.; Racca, F.; Tortora, A.; Rumi, F.; et al. Eosinophilic esophagitis in adults and adolescents: Epidemiology, diagnostic challenges, and management strategies for a type 2 inflammatory disease. Ther. Adv. Gastroenterol. 2024, 17. [Google Scholar] [CrossRef] [PubMed]
- Stevens, W.W.; Peters, A.T.; Hirsch, A.G.; Nordberg, C.M.; Schwartz, B.S.; Mercer, D.G.; Mahdavinia, M.; Grammer, L.C.; Hulse, K.E.; Kern, R.C.; et al. Clinical Characteristics of Patients with Chronic Rhinosinusitis with Nasal Polyps, Asthma, and Aspirin-Exacerbated Respiratory Disease. J. Allergy Clin. Immunol. Pract. 2017, 5, 1061–1070.e3. [Google Scholar] [CrossRef]
- Rothenberg, M.E.; Dellon, E.S.; Collins, M.H.; Hirano, I.; Chehade, M.; Bredenoord, A.J.; Lucendo, A.J.; Spergel, J.M.; Sun, X.; Hamilton, J.D.; et al. Efficacy and safety of dupilumab up to 52 weeks in adults and adolescents with eosinophilic oesophagitis (LIBERTY EoE TREET study): A multicentre, double-blind, randomised, placebo-controlled, phase 3 trial. Lancet Gastroenterol. Hepatol. 2023, 8, 990–1004. [Google Scholar] [CrossRef]
- Sarhan, N.; Fathallah, M.; Abdalla, A.; Rabie, A.; Mousa, S.; Kabeel, A. Incidence of Nasal Polyps Recurrence Rate in Patients with Eosinophilic Esophagitis after Endoscopic Endonasal Surgery. Int. J. Med. Arts 2020, 2, 741–748. [Google Scholar] [CrossRef]
- Senna, G.; Micheletto, C.; Piacentini, G.; Schiappoli, M.; Girolomoni, G.; Sala, G.; Allievi, E.G.; Stassaldi, A. Multidisciplinary management of type 2 inflammatory diseases. Multidiscip. Respir. Med. 2022, 17, 813. [Google Scholar] [CrossRef] [PubMed]


| Demographics | |
| Sex, M (%) | 35 (81.4%) |
| Age (years) | 26 (21.5–35) |
| Age at symptom onset (years) | 17 (10–29.5) |
| Diagnostic delay (years) | 7 (2.5–12.5) |
| Peripheral blood eosinophil count (cells/μL) | 330 (240–510) |
| Endoscopic features | |
| EREFS score | 3 (1.5–4) |
| Esophageal strictures, n (%) | 7 (16.3%) |
| Endoscopic dilation, n (%) | 2 (4.7%) |
| Food impaction requiring emergency care, n (%) | 18 (41.9%) |
| Symptoms scores | |
| EEsAI score | 21 (6–36.5) |
| VDQ subscore | 1.9 (0.24–3.33) |
| AMS subscore | 1.25 (0–2.83) |
| GERDQ score | 9 (7–10) |
Disclaimer/Publisher’s Note: The statements, opinions and data contained in all publications are solely those of the individual author(s) and contributor(s) and not of MDPI and/or the editor(s). MDPI and/or the editor(s) disclaim responsibility for any injury to people or property resulting from any ideas, methods, instructions or products referred to in the content. |
© 2025 by the authors. Licensee MDPI, Basel, Switzerland. This article is an open access article distributed under the terms and conditions of the Creative Commons Attribution (CC BY) license (https://creativecommons.org/licenses/by/4.0/).
Share and Cite
Pesce, M.; Ricchiuti, M.; Cantone, E.; Napolitano, M.; Detoraki, A.; Falco, M.; De Giorgi, P.; Berni Canani, R.; Maniscalco, M.; Sarnelli, G., on behalf of the PATH2 Task force. The Overlooked Burden of Atopic Comorbidities in Eosinophilic Esophagitis: Insights from a Real-Life Comprehensive Multidisciplinary Evaluation. J. Clin. Med. 2025, 14, 7322. https://doi.org/10.3390/jcm14207322
Pesce M, Ricchiuti M, Cantone E, Napolitano M, Detoraki A, Falco M, De Giorgi P, Berni Canani R, Maniscalco M, Sarnelli G on behalf of the PATH2 Task force. The Overlooked Burden of Atopic Comorbidities in Eosinophilic Esophagitis: Insights from a Real-Life Comprehensive Multidisciplinary Evaluation. Journal of Clinical Medicine. 2025; 14(20):7322. https://doi.org/10.3390/jcm14207322
Chicago/Turabian StylePesce, Marcella, Mario Ricchiuti, Elena Cantone, Maddalena Napolitano, Aikaterini Detoraki, Michele Falco, Pierpaolo De Giorgi, Roberto Berni Canani, Mauro Maniscalco, and Giovanni Sarnelli on behalf of the PATH2 Task force. 2025. "The Overlooked Burden of Atopic Comorbidities in Eosinophilic Esophagitis: Insights from a Real-Life Comprehensive Multidisciplinary Evaluation" Journal of Clinical Medicine 14, no. 20: 7322. https://doi.org/10.3390/jcm14207322
APA StylePesce, M., Ricchiuti, M., Cantone, E., Napolitano, M., Detoraki, A., Falco, M., De Giorgi, P., Berni Canani, R., Maniscalco, M., & Sarnelli, G., on behalf of the PATH2 Task force. (2025). The Overlooked Burden of Atopic Comorbidities in Eosinophilic Esophagitis: Insights from a Real-Life Comprehensive Multidisciplinary Evaluation. Journal of Clinical Medicine, 14(20), 7322. https://doi.org/10.3390/jcm14207322

