Next Article in Journal
Completely Fluoroless, “Apron-Less” Approach to Supraventricular Tachycardia Ablation Compared to Traditional Fluoroscopy Guided Ablation: Feasibility, Safety and Clinical Outcomes
Next Article in Special Issue
Relative Survival Following TEER for Significant Mitral Regurgitation: A Contemporary Cohort Analysis
Previous Article in Journal
Stenting Versus Endoscopic Vacuum Therapy for Anastomotic Leakage After Esophago-Gastric Surgery
 
 
Font Type:
Arial Georgia Verdana
Font Size:
Aa Aa Aa
Line Spacing:
Column Width:
Background:
Article

Gender-Based Analysis of Patients Undergoing Mitral Valve Surgery

1
Department of Cardiac Surgery, Ludwig Maximillians University of Munich, 80539 Munich, Germany
2
Department of Internal Medicine I, Department Clinical Medicine, TUM School of Medicine and Health, Technical University of Munich, 80333 Munich, Germany
3
University Aortic Centre Munich (LMU), LMU University Hospital, 80336 Munich, Germany
4
Department of Cardiac Surgery, LMU University Hospital, 80336 Munich, Germany
5
German Centre for Cardiovascular Research (DZHK), Partner Site Munich Heart Alliance, 81377 Munich, Germany
*
Author to whom correspondence should be addressed.
J. Clin. Med. 2025, 14(19), 7072; https://doi.org/10.3390/jcm14197072
Submission received: 7 August 2025 / Revised: 21 September 2025 / Accepted: 29 September 2025 / Published: 7 October 2025
(This article belongs to the Special Issue Clinical Therapeutic Advances of Mitral Regurgitation)

Abstract

Objectives: To optimise surgical treatment of mitral valve disease (MVD), a better understanding of gender-based differences is required. In this study, we analyse the gender-based differences among patients undergoing mitral valve surgery. Methods: Between January 2019 and December 2024, 809 consecutive patients were admitted to our centre for surgery for MVD. We analysed the patient characteristics, surgical details, postoperative and short-term outcomes of these patients. Results: Females (31.8%) undergoing mitral valve (MV) surgery were older (p < 0.001). Females had a higher rate of atrial fibrillation (p < 0.001), Rheumatoid arthritis (RA) (p = 0.002) and malignancy (p = 0.030). Furthermore, females were more often admitted to the intensive care unit (ICU) preoperatively (p = 0.037). Among these patients, 419 patients underwent isolated MV surgery. Furthermore, males underwent minimally invasive MV surgery more often (p = 0.004). Females had higher rates of combined MVD (p < 0.001) and combined MS (p < 0.001). Males had higher rates of severe mitral regurgitation (MR) (p = 0.041) and Left Atrium (LA) dilation (p = 0.004). Females exhibited higher rates of severe Tricuspid Regurgitation (TR) (p = 0.032) and pulmonary hypertension (p < 0.001). males had higher rates of posterior mitral leaflet (PML) prolapse (p < 0.001) and Flail leaflets (p < 0.001). Males underwent mitral valve repair (MVr) more often (p = 0.002). Early MACCE were reported in 5.1% of the patients. Freedom from major adverse cardiac and cerebrovascular events (MACCE) was comparable at 1 year and three years (p = 0.548). Prognosis and freedom from events were comparable between genders. Conclusions: Mitral valve disease presents differently across genders. There exist fundamental differences in the pathophysiological processes and presentation of mitral valve disease. Mitral valve surgery can be carried out with low mortality and morbidity rates irrespective of gender.

1. Introduction

Mitral regurgitation (MR) is the most common valvular heart disease worldwide and second most common in Europe, affecting about 1% to 2% of the world’s population [1,2]. In developed countries, mitral valve disease (MVD) accounts for about a quarter of valvular heart disease, with MR being more prevalent than mitral stenosis (MS). In Germany, the number of cases of rheumatic MVD has dropped drastically, whereas the number of cases of non-rheumatic MVD has more than doubled over the last 20 years (Figure 1) [3]. Females accounted for a higher number of cases of rheumatic MVD (Figure 2) [3]. In cases of MVD, gender specific differences are observed at the anatomic and pathophysiologic level [4].
Generally, women suffer from MVD more frequently, whereas males develop aortic valve diseases or aortic stenosis associated with bicuspid aortic valves more often [1]. Females have been reported to have a less-elastic mitral annulus with a larger annular circumference, higher prevalence of rheumatic MVD and atrial secondary mitral regurgitation (ASMR) [4,5]. Furthermore, posterior mitral leaflet (PML) prolapse has been reported to be more common in male patients, whereas anterior mitral leaflet (AML) and bi-leaflet prolapse with myxomatous degeneration have been reported to be more common among female patients [1,4]. To optimise surgical treatment of MVD, a better understanding of gender-based differences is required. In this study, we analyse the gender-based differences among patients undergoing mitral valve (MV) surgery.

2. Methods

2.1. Ethics Statement

This study was approved by the ethics board of the Ludwig Maximilian University (No. 19-730 and 20-821) and the requirement to obtain patient consent was waived for this retrospective study. Postoperative treatment and data acquisition was performed as part of routine patient care. Data acquisition was based on institutional databases and then de-identified. All procedures described in this study were in accordance with the institutional ethics board and national data safety regulations.

2.2. Study Design

We reviewed patients undergoing MV surgery at our center between January 2019 and December 2024. Postoperative treatment and data acquisition was performed as part of routine patient care. All decisions were made in our interdisciplinary Heart-Team. Diagnosis and treatment was determined according to the current ESC/EACTS guidelines [6,7]. We analysed the patient characteristics, individual risk scores, surgical details, postoperative and short-term outcomes of these patients. To predict the postoperative mortality the European System for Cardiac Operative Risk Evaluation II (EuroSCORE II) as proposed by Nashef et al. [8] was calculated. A sub-group analysis was performed to analyse the outcomes following isolated mitral valve surgery. Primary outcomes were 30-day mortality and three-year survival. Major adverse cardiac and cerebrovascular events (MACCE) were defined by mortality of any cause, myocardial infarction and stroke. Early endocarditis was defined as endocarditis occurring within a year of surgery [9].

2.3. Data Collection, Statistical Analysis and Illustrations

Data were analysed using IBM SPSS version 29 (Statistical Package for the Social Sciences) (IBM-SPSS Inc., Armonk, NY, USA). Data was tested for normal distribution using the Kolmogorov–Smirnov test with Lillefors correction. Categorical variables were evaluated using the Chi-Squared and Fisher‘s exact method and continuous variables were evaluated using the Mann–Whitney-U test. We used single imputation to replace missing values. Missing continuous values were replaced with the mean value in normally distributed variables and with the median value in non-normally distributed variables. Missing categorical values were replaced with the mode [10]. Survival analysis was performed with Kaplan–Meier curve and log-rank test. All analyses were two tailed. The null hypothesis was rejected, and significant difference was assumed with p-values < 0.05. Data are presented as medians (25th–75th quartiles) or absolute values (percentages) unless otherwise specified. Illustrations were prepared using GraphPad Prism v 10 (GraphPad Software Inc, Boston, CA, USA).

3. Results

3.1. Patient Population

Between January 2019 and December 2024, 809 consecutive patients were admitted to our centre for MV surgery. Among these patients, 419 patients underwent isolated MV surgery. Demographic characteristics are presented in Table 1. Females undergoing MV surgery were older (p < 0.001). Females had higher rates of atrial fibrillation (p < 0.001), rheumatoid arthritis (RA) (p = 0.002) and malignancy (p = 0.030). Furthermore, females were more often admitted to the intensive care unit (ICU) preoperatively (p = 0.037). Males were treated more often with Single Antiplatelet Therapy (SAPT) (p = 0.027) and Vitamin K antagonists (VKA) were used more often in females (p = 0.005). There was no difference observed with regard to new oral anticoagulants (NOAC) (p = 0.282).

3.2. Mitral Valve Pathology and Echocardiographic Data

Preoperative echocardiographic data are depicted in Table 2. Females had higher rates of combined MVD (p < 0.001) and combined MS (p < 0.001). Males had higher rates of severe MR (p = 0.041) and left atrium (LA) dilation (p = 0.004). Females exhibited higher rates of severe tricuspid regurgitation (TR) (p = 0.032) and pulmonary hypertension (p < 0.001). With regard to the MV, males had higher rates of PML prolapse (p < 0.001) and Flail leaflets (p < 0.001). We observed no differences with regard to AML prolapse and Barlow disease.

3.3. Surgical Data

Details of surgery are presented in Table 3. The median cardiopulmonary bypass time (p < 0.001) and cross clamping time (p < 0.001) was higher among males. Furthermore, males underwent minimally invasive MV surgery more often (p = 0.004), and the valve was repaired rather than replaced more frequently (p = 0.002) in males than in females We observed no differences with regard to the individual repair techniques. Intra-operative repair failure was reported in 36 patients (4.4%) and was comparable between the groups (p = 0.720). Females underwent concomitant tricuspid valve repair more often (p < 0.001), whereas males underwent concomitant coronary artery bypass grafting (CABG) procedures more frequently (p < 0.001).

3.4. Morbidities and Outcomes

Postoperative morbidities and outcomes are listed in Table 4. We observed no differences with regard to postoperative adverse cerebrovascular events, myocardial infarction, new onset atrial fibrillation between the groups.
At discharge, we found no differences regarding the degree of mitral regurgitation between the groups. However, we did observe a higher mean gradient over the mitral valve among females (p = 0.002). Furthermore, females had higher rates of mild to moderate tricuspid valve regurgitation (p < 0.001). We observed no differences with regard to hospital stay and ICU stay. The total in-hospital mortality of the cohort was 5.1%, and 2.4% among those undergoing isolated MV surgery and was comparable between the groups.
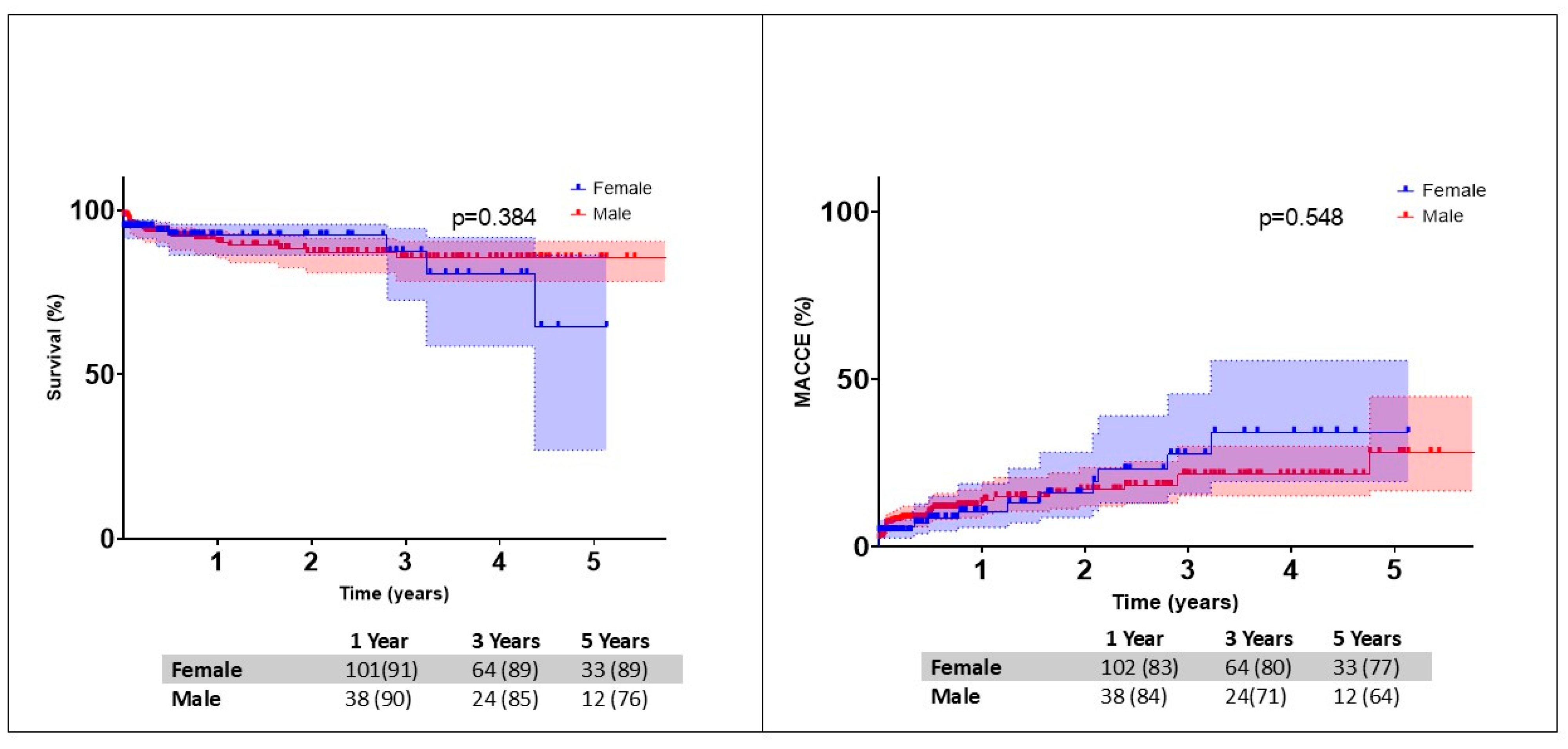
On follow-up, a total of 1.5% (n = 12) of patients suffered from adverse cerebrovascular events and 0.1% (n = 1) suffered from myocardial infarctions (Table 5). Early MACCE were reported in 5.1% of the patients. Freedom from MACCE was comparable at 1 year (females 91% vs. males 90%) and three years (females 80% vs. males 71%) (p = 0.548). We did not observe any differences between the groups. Survival at 1 year (females 91% vs. males 84%) and 3 years (females 89% vs. males 85%) was comparable between the groups (p = 0.384) (Figure 3).

3.5. Isolated Mitral Valve Surgery

In our cohort, 419 (51.8%) patients underwent isolated MV surgery. Females undergoing isolated MV surgery were older than males (p < 0.001). Females had a higher rate of atrial fibrillation (p = 0.014) and had higher rates of NOAC use (p = 0.045). Females had higher rates of combined MV disease (p = 0.001) and mitral stenosis (p = 0.002), whereas males had a higher rate of severe mitral regurgitation (p = 0.003) and presented with a PML prolapse more often (p = 0.002). Barlow disease was more common in females (p = 0.037). Males underwent MVr more frequently than females (p = 0.001), whereas females underwent MVR with biological prostheses more frequently (p = 0.005). Postoperatively, females had a higher rates of adverse cerebrovascular events (p = 0.049) and delirium (p = 0.005). The in-hospital mortality was 3.8% among females and 1.7% among males (p = 0.299).

4. Discussion

4.1. Mitral Valve Disease and the Female Patient

MV disease presents differently in males and females. This is due to anatomical and pathophysiological factors [4]. In addition to the above-mentioned differences, male patients may present with more posterior mitral leaflet calcification whereas female patients may present with more annular calcification [1,4]. Females have also been reported to present with generalized myxomatous degeneration of the MV [4]. This is reflected in our cohort too. We found a higher rate of Barlow disease among females undergoing isolated MV surgery.
The 2021 ESC guidelines define mitral regurgitation as severe based on an integrative approach that includes a combination of qualitative, semiquantitative, quantitative, and morphological criteria, such as left ventricular and atrial dilation [2]. As female patients generally have smaller cardiac dimensions than male patients, size-related criteria may contribute to a delayed diagnosis of severe mitral regurgitation in women [4]. This delay may lead to more advanced stages of MVD in females at the time of referral for surgery and could explain the higher prevalence of atrial fibrillation, pulmonary hypertension, and severe tricuspid regurgitation observed in female patients in our cohort. Furthermore, we found that a higher number of females were admitted directly to the ICU. Even among patients undergoing transcatheter MV interventions, women tended to be significantly older [11]. Early referral of females with MVD may lead to improved outcomes.
We found higher rates of TR and pulmonary hypertension among females. TR is associated with poorer outcomes following mitral valve surgery. Atrial fibrillation, rheumatic etiology, dilated atria, LV dysfunction, and preoperative TR have been reported as significant risk factors for TR following MV surgery [12].
In our cohort, females had a higher prevalence of both RA and MS. Typical lesions in RA-associated valvular heart disease include valve nodules and leaflet fibrosis, which may extend to the annulus and subvalvular apparatus [13]. However, MS is more commonly associated with RHD than with RA [14]. Among patients suffering from MVD associated with RA long-term survival after MVr is equivalent to those suffering from RA without MVD. However, patients with RA and MVD have a lower survival as compared to those undergoing surgery without RA [15]. Given that RHD is known to be more prevalent in females, this raises the question of whether RHD may be underdiagnosed in European cohorts with MS [16]. In general, MS and mitral annular calcification have been reported to be more prevalent in females than in men, possibly influencing negative outcomes accordingly [17,18,19].
Another important aspect of MVD is infective endocarditis (IE). In cases of IE, males have been reported to be older and to suffer from aortic valve endocarditis more often, whereas females tend to be younger and suffer from mitral valve endocarditis more frequently [20,21]. Among patients undergoing surgery for IE, female patients have been reported to present with a higher rate of comorbidities, higher surgical risk profile, and have more frequently experienced postoperative morbidities than male patients [22]. In our cohort, we found no differences regarding the incidence of IE between males and females, even among those undergoing isolated MV surgery. Furthermore, upon follow-up, we found the incidence of IE to be as low as 2.1%, with 1.1% of the patients suffering from early endocarditis, and no differences between the groups.

4.2. Treatment and Outcomes of Mitral Valve Disease

MVr is the surgical intervention of choice in patients with mitral regurgitation since it is associated with better survival compared with MVR [2]. As durable surgical repair has been reported to be highest for isolated posterior mitral leaflet prolapse, females may have poorer outcomes due to suboptimal surgical repair due to more complex valvular pathologies [4]. In our cohort too, males underwent MVr more frequently, even in cases of isolated MV surgery. Several studies report poorer long term outcomes for females and higher durability of repair among males [23,24]. Andari et al. [25] report that females undergoing MV surgery were found to have increased rates of short-term mortality. In our cohort, we did not observe and differences in the short and mid-term mortality among patients undergoing MV surgery. Furthermore, women have been reported to present with post-operative heart failure more frequently. This may be related to later referral and more advanced disease at the time of surgery compared to men [2]. We observed higher rates of adverse cerebrovascular events and postoperative delirium among females undergoing isolated MV surgery.
Seeburger et al. [26] identified differences in surgical strategies for the correction of MR between genders. They report that females underwent MVR more than twice as often than males. Although several factors such as comorbidities and presenting MV pathology may govern such decisions, the rate of MVr needs to be improved in women. Even though MVR can be performed with comparable outcomes in males and females irrespective of age, the outcomes of MVR are poorer compared to those of MVr [24,27]. Since women present with mitral stenosis or combined MV pathologies more often, repair of stenotic MVs especially due to rheumatic pathology, is not easy in many cases and the surgeon may be forced to replace the valve if repair is considered impossible or non-durable [28]. Furthermore, women tend to be referred later for MV surgery [21,29]. This may be due to several factors, such as lack of index echocardiographic parameters, underestimated severity of MVD and a more fulminant course than in males. Moreover, it has been reported that less than 25% of patients with heart valve disease (specifically mitral and tricuspid regurgitation) who meet indications for referral are referred for invasive treatment [30].

4.3. Limitations

This is a retrospective single-centre study with the inherent limitation of such an analysis. Patients undiagnosed or treated conservatively were out of the scope of this study. The small number of patients is associated with a low power of statistical analyses. Due to the small sample size a multivariable analysis was not performed. A longer study duration is required, to account for changing trends such as MICS MV surgery.

5. Conclusions

Mitral valve disease presents differently across genders. There exist fundamental differences in the pathophysiological processes and presentation of mitral valve disease. This should be taken into consideration while diagnosing these patients especially while planning surgical interventions. Finally, mitral valve surgery can be carried out with low mortality and morbidity rates irrespective of gender.

Author Contributions

Conceptualization, S.S.; Methodology, S.S. and D.J.; Validation, G.J., S.P. and C.H.; Formal analysis, S.S. and D.J.; Investigation, K.M.H. and A.A.; Data curation, S.M.; Writing—original draft, S.S. and D.J.; Writing—review & editing, S.S. and M.S.; Supervision, C.H. All authors have read and agreed to the published version of the manuscript.

Funding

No funding has been provided regarding this article.

Institutional Review Board Statement

This study was conducted according to the guidelines of the Declaration of Helsinki and was approved by the ethics board of the Ludwig Maximilian University (Approval no: 23-0828 and Approval Date: 26 February 2024).

Informed Consent Statement

Not applicable, as this study was retrospective.

Data Availability Statement

The data underlying this study cannot be shared publicly in accordance with national data safety guidelines, to protect the privacy of individuals that included in the study. The data will be shared on reasonable request to the corresponding author.

Conflicts of Interest

The authors of this manuscript declare that they have no conflicts of interest, had full control of the design and methods of the study, data analysis and production of the written report, and that no funding supported this study.

Abbreviations

AMLanterior mitral leaflet
ASMRatrial secondary mitral regurgitation
BMI body mass index
CABGcoronary artery bypass grafting
COPDchronic obstructive pulmonary disease
CPBcardiopulmonary bypass
DAPTDual anti-platelet treatment
DCMdilative cardiomyopathy
ESCEuropean society of Cardiology
EuroSCORE IIEuropean System for Cardiac Operative Risk Evaluation II
FFPfresh frozen plasma
HIVhuman immunodeficiency viruses
ICMischemic cardiomyopathy
ICUintensive care unit
IEinfective endocarditis
IVintravenous
LAleft atrium
LAAleft atrial appendage
LVleft ventricle
LVEFleft ventricular ejection fraction
MACCEmajor adverse cardiac and cerebrovascular events
MRmitral regurgitation
MSmitral stenosis
MVmitral valve
MVDmitral valve disease
MVrmitral valve repair
MVRmitral valve replacement
NOACnew oral anticoagulants
PCI/PTCApercutaneous coronary intervention/percutaneous transluminal coronary angioplasty
PFOpatent foramen ovale
PGpressure gradient
PMLposterior mitral leaflet
PRBCpacked red blood cells
RArheumatoid arthritis
RCXramus circumflexus
RHDrheumatic heart disease
SAPTsingle anti-platelet treatment
sPAPsystolic pulmonary artery pressure
TRtricuspid regurgitation
VKAvitamin K antagonist
VSDventricular septum defect

References

  1. Desjardin, J.T.; Chikwe, J.; Hahn, R.T.; Hung, J.W.; Delling, F.N. Sex Differences and Similarities in Valvular Heart Disease. Circ. Res. 2022, 130, 455–473. [Google Scholar] [CrossRef]
  2. Vahanian, A.; Beyersdorf, F.; Praz, F.; Milojevic, M.; Baldus, S.; Bauersachs, J.; Capodanno, D.; Conradi, L.; De Bonis, M.; De Paulis, R.; et al. 2021 ESC/EACTS Guidelines for the management of valvular heart disease: Developed by the Task Force for the management of valvular heart disease of the European Society of Cardiology (ESC) and the European Association for Cardio-Thoracic Surgery (EACTS). Rev. Esp. Cardiol. 2022, 75, 524. [Google Scholar] [CrossRef] [PubMed]
  3. German Federal Statistical Office n.d. Available online: https://www.destatis.de (accessed on 20 January 2025).
  4. Ocher, R.; May, M.; Labin, J.; Shah, J.; Horwich, T.; Watson, K.E.; Yang, E.H.; Press, M.A. Mitral Regurgitation in Female Patients: Sex Differences and Disparities. J. Soc. Cardiovasc. Angiogr. Interv. 2023, 2, 101032. [Google Scholar] [CrossRef] [PubMed]
  5. Avierinos, J.-F.; Inamo, J.; Grigioni, F.; Gersh, B.; Shub, C.; Enriquez-Sarano, M. Sex Differences in the Morphology and Outcomes of Mitral Valve Prolapse: A Cohort study. Ann. Intern. Med. 2008, 149, 787–795. [Google Scholar] [CrossRef] [PubMed]
  6. Baumgartner, H.; Falk, V.; Bax, J.J.; De Bonis, M.; Hamm, C.; Holm, P.J.; Iung, B.; Lancellotti, P.; Lansac, E.; Muñoz, D.R.; et al. 2017 ESC/EACTS Guidelines for the management of valvular heart disease The Task Force for the Management of Valvular Heart Disease of the European Society of Cardiology (ESC) and the European. Eur. Heart J. 2017, 38, 2739–2791. [Google Scholar] [CrossRef]
  7. Vahanian, A.; Beyersdorf, F.; Praz, F.; Milojevic, M.; Baldus, S.; Bauersachs, J.; Capodanno, D.; Conradi, L.; De Bonis, M.; De Paulis, R.; et al. 2021 ESC/EACTS Guidelines for the management of valvular heart disease. EuroIntervention 2022, 17, e1126-96. [Google Scholar] [CrossRef]
  8. Nashef, S.A.M.; Roques, F.; Sharples, L.D.; Nilsson, J.; Smith, C.; Goldstone, A.R.; Lockowandt, U. Euroscore II. Eur. J. Cardio-Thorac. Surg. 2012, 41, 734–745. [Google Scholar] [CrossRef]
  9. Delgado, V.; Ajmone Marsan, N.; De Waha, S.; Bonaros, N.; Brida, M.; Burri, H.; Caselli, S.; Doenst, T.; Ederhy, S.; Erba, P.A.; et al. 2023 ESC Guidelines for the management of endocarditis. Eur. Heart J. 2023, 44, 3948–4042. [Google Scholar] [CrossRef]
  10. Papageorgiou, G.; Grant, S.W.; Takkenberg, J.J.M.; Mokhles, M.M. Statistical primer: How to deal with missing data in scientific research? Interact. Cardiovasc. Thorac. Surg. 2018, 27, 153–158. [Google Scholar] [CrossRef]
  11. Werner, N.; Puls, M.; Baldus, S.; Lubos, E.; Bekeredjian, R.; Sievert, H.; Schofer, J.; Kuck, K.-H.; Möllmann, H.; Hehrlein, C.; et al. Gender-related differences in patients undergoing transcatheter mitral valve interventions in clinical practice: 1-year results from the German TRAMI registry. Catheter. Cardiovasc. Interv. 2020, 95, 819–829. [Google Scholar] [CrossRef]
  12. Matsuyama, K.; Matsumoto, M.; Sugita, T.; Nishizawa, J.; Tokuda, Y.; Matsuo, T. Predictors of residual tricuspid regurgitation after mitral valve surgery. Ann. Thorac. Surg. 2003, 75, 1826–1828. [Google Scholar] [CrossRef] [PubMed]
  13. Roldan, C.A.; DeLong, C.; Qualls, C.R.; Crawford, M.H. Characterization of Valvular Heart Disease in Rheumatoid Arthritis by Transesophageal Echocardiography and Clinical Correlates. Am. J. Cardiol. 2007, 100, 496–502. [Google Scholar] [CrossRef] [PubMed]
  14. Iung, B.; Baron, G.; Butchart, E.G.; Delahaye, F.; Gohlke-Bärwolf, C.; Levang, O.W.; Tornos, P.; Vanoverschelde, J.-L.; Vermeer, F.; Boersma, E.; et al. A prospective survey of patients with valvular heart disease in Europe: The Euro Heart Survey on valvular heart disease. Eur. Heart J. 2003, 24, 1231–1243. [Google Scholar] [CrossRef] [PubMed]
  15. Stulak, J.M.; Suri, R.M.; Matteson, E.L.; Dearani, J.A.; Connolly, H.M.; Schaff, H.V. Mitral valve repair is durable in patients with rheumatoid arthritis. Ann. Thorac. Surg. 2012, 94, 510–515. [Google Scholar] [CrossRef]
  16. Mutagaywa, R.K.; Wind, A.M.; Kamuhabwa, A.; Cramer, M.J.; Chillo, P.; Chamuleau, S. Rheumatic heart disease anno 2020: Impacts of gender and migration on epidemiology and management. Eur. J. Clin. Investig. 2020, 50, e13374. [Google Scholar] [CrossRef]
  17. Afifi, A.; Hosny, H.; Yacoub, M. Rheumatic aortic valve disease-when and who to repair? Ann. Cardiothorac. Surg. 2019, 8, 383–389. [Google Scholar] [CrossRef]
  18. Movahed, M.R.; Ahmadi-Kashani, M.; Kasravi, B.; Saito, Y. Increased Prevalence of Mitral Stenosis in Women. J. Am. Soc. Echocardiogr. 2006, 19, 911–913. [Google Scholar] [CrossRef]
  19. Churchill, T.W.; Yucel, E.; Bernard, S.; Namasivayam, M.; Nagata, Y.; Lau, E.S.; Deferm, S.; He, W.; Danik, J.S.; Sanborn, D.Y.; et al. Sex Differences in Extensive Mitral Annular Calcification With Associated Mitral Valve Dysfunction. Am. J. Cardiol. 2023, 193, 83–90. [Google Scholar] [CrossRef]
  20. Slouha, E.; Al-Geizi, H.; Albalat, B.R.; Burle, V.S.; Clunes, L.A.; Kollias, T.F. Sex Differences in Infective Endocarditis: A Systematic Review. Cureus 2023, 15, e49815. [Google Scholar] [CrossRef]
  21. Deng, M.X.; Barodi, B.; Elbatarny, M.; Yau, T.M. Considerations & challenges of mitral valve repair in females: Diagnosis, pathology, and intervention. Curr. Opin. Cardiol. 2024, 39, 86–91. [Google Scholar] [CrossRef]
  22. Ackermann, P.; Marin-Cuartas, M.; Weber, C.; De La Cuesta, M.; Lichtenberg, A.; Petrov, A.; Hagl, C.; Aubin, H.; Matschke, K.; Diab, M.; et al. Sex-related differences in patients with infective endocarditis requiring cardiac surgery: Insights from the CAMPAIGN Study Group. Eur. J. Cardio-Thorac. Surg. 2024, 66, ezae292. [Google Scholar] [CrossRef] [PubMed]
  23. Liu, K.; Ye, Q.; Zhao, Y.; Zhao, C.; Song, L.; Wang, J. Sex Differences in the Outcomes of Degenerative Mitral Valve Repair. Ann. Thorac. Cardiovasc. Surg. 2023, 29, 192–199. [Google Scholar] [CrossRef] [PubMed]
  24. Vassileva, C.M.; McNeely, C.; Mishkel, G.; Boley, T.; Markwell, S.; Hazelrigg, S. Gender differences in long-term survival of medicare beneficiaries undergoing mitral valve operations. Ann. Thorac. Surg. 2013, 96, 1367–1373. [Google Scholar] [CrossRef] [PubMed]
  25. EL-Andari, R.; Bozso, S.J.; Fialka, N.M.; Kang, J.J.H.; Nagendran, J. Does sex impact outcomes after mitral valve surgery? A systematic review and meta-analysis. Scand. J. Surg. 2022, 111, 99–109. [Google Scholar] [CrossRef]
  26. Seeburger, J.; Eifert, S.; Pfannmüller, B.; Garbade, J.; Vollroth, M.; Misfeld, M.; Borger, M.; Mohr, F.W. Gender differences in mitral valve surgery. Thorac. Cardiovasc. Surg. 2013, 61, 42–46. [Google Scholar] [CrossRef]
  27. Mokhles, M.M.; Siregar, S.; Versteegh, M.I.M.; Noyez, L.; van Putte, B.; Vonk, A.B.A.; Roos-Hesselink, J.W.; Bogers, A.J.J.C.; Takkenberg, J.J.M. Male-female differences and survival in patients undergoing isolated mitral valve surgery: A nationwide cohort study in the Netherlands. Eur. J. Cardio Thorac. Surg. 2016, 50, 482–487. [Google Scholar] [CrossRef]
  28. Alkady, H.; Saber, A.; Abouramadan, S.; Elnaggar, A.; Nasr, S.; Mahmoud, E. Mitral valve replacement in mitral stenosis; the problem of small left ventricle. J. Cardiothorac. Surg. 2020, 15, 67. [Google Scholar] [CrossRef]
  29. Kislitsina, O.N.; Zareba, K.M.; Bonow, R.O.; Andrei, A.C.; Kruse, J.; Puthumana, J.; Akhter, N.; Malaisrie, S.C.; McCarthy, P.M.; Rigolin, V.H.; et al. Is mitral valve disease treated differently in men and women? Eur. J. Prev. Cardiol. 2019, 26, 1433–1443. [Google Scholar] [CrossRef]
  30. Doenst, T.; Enriquez Sarano, M.; Kirov, H.; Caldonazo, T.; Chikwe, J.; Dreyfus, J.; Zacharias, J. Lifetime management of heart valve disease—Treat it early and treat it right, first time. Lancet 2025, 6736, 9–10. [Google Scholar] [CrossRef]
Figure 1. Mitral valve disease in Germany [3].
Figure 1. Mitral valve disease in Germany [3].
Jcm 14 07072 g001
Figure 2. Gender distribution of rheumatic and non-rheumatic mitral valve disease in Germany [3].
Figure 2. Gender distribution of rheumatic and non-rheumatic mitral valve disease in Germany [3].
Jcm 14 07072 g002
Figure 3. Gender adjusted survival and freedom from MACCE following mitral valve surgery.
Figure 3. Gender adjusted survival and freedom from MACCE following mitral valve surgery.
Jcm 14 07072 g003
Table 1. Baseline parameters.
Table 1. Baseline parameters.
Mitral Valve SurgeryIsolated Mitral Valve Surgery
Female
(n = 257)
Male
(n = 552)
p-ValueFemale
(n = 133)
Male
(n = 286)
p-Value
Patient characteristics
Age (years)69 (62–75)64 (56–72)<0.00167 (59–75)60 (55–69)<0.001
BMI (kg/m2)24 (20.8–28.0)26 (23.6–28.7)<0.00123.3 (20.2–26.7)25.5 (23.5–28.4)<0.001
EuroSCORE II (%)3.2 (1.7–6.5)2.4 (1.1–5.4)<0.0011.9 (1.2–3.5)1.2 (0.8–2.5)<0.001
Previous cardiac surgery (%)34 (13.2)83 (15.0)0.59115 (11.4)40 (14.0)0.535
Co-morbidities
Arterial Hypertension (%)168 (65.4)383 (69.4)0.25873 (54.9)172 (60.1)0.338
Insulin dependent Diabetes Mellitus (%)33 (12.8)66 (12.0)0.73014 (10.5)27 (9.4)0.726
Hyperlipoproteinemia (%)89 (34.6)186 (33.7)0.81141 (30.8)74 (25.9)0.293
Coronary artery Disease (%)84 (32.7)214 (38.8)0.10125 (18.8)59 (20.6)0.696
ICM (%)2 (0.8)9 (1.6)0.5170 (0.0)0 (0.0)-
DCM (%)4 (1.6)17 (3.1)0.2431 (0.8)4 (1.4)1.000
Peripheral artery disease (%)33 (12.8)57 (10.3)0.33714 (10.5)20 (7.0)0.249
Atrial Fibrillation (%)135 (52.5)219 (39.7)<0.00166 (49.6)104 (36.4)0.014
Pacemaker (%)22 (8.6)33 (6.0)0.1796 (4.5)15 (5.2)0.815
PCI/PTCA (%)34 (13.2)59 (10.7)0.28910 (7.5)18 (6.3)0.676
Chronic Kidney Disease (%)40 (15.6)71 (12.9)0.32414 (10.5)18 (6.3)0.165
Dialysis (%)9 (3.5)21 (3.8)1.0002 (1.5)77 (2.4)0.725
Immunosuppressive Therapy (%)9 (3.5)15 (2.7)0.5143 (2.3)5 (1.7)0.713
Rheumatoid arthritis (%)17 (6.6)11 (2.0)0.0025 (3.8)3 (1.0)0.116
Endocarditis (%)33 (12.8)95 (17.2)0.12119 (14.3)44 (15.4)0.883
Malignancy (%)37 (14.4)53 (9.6)0.03016 (12.0)25 (8.7)0.294
Radiation (%)14 (5.4)17 (3.1)0.1164 (3.0)6 (2.1)0.732
IV Drug Abuse (%)2 (0.8)0 (0.0)0.1011 (0.8)0 (0.0)0.318
HIV Infection (%)1 (0.4)0 (0.0)0.3181 (0.8)0 (0.0)0.317
COPD (%)16 (6.2)27 (4.9)0.5018 (6.0)15 (5.2)0.818
Stroke (%)44 (17.1)67 (12.1)0.06223 (17.3)33 (11.5)0.123
Direct ICU admission (%)44 (17.1)67 (12.1)0.03712 (9.0)23 (8.0)0.709
Preoperative decompensation (%)39 (15.2)63 (11.4)0.14016 (12.0)28 (9.8)0.497
Anticoagulants
SAPT (%)59 (23.0)164 (29.8)0.02720 (15.0)54 (18.9)0.409
DAPT (%)7 (2.7)11 (2.0)0.6092 (1.5)5 (1.7)1.000
VKA (%)34 (13.2)38 (6.9)0.00513 (9.8)16 (5.6)0.147
NOAC82 (31.9)155 (28.1)0.28242 (31.6)66 (23.2)0.045
Table 2. Echocardiographic data on admission.
Table 2. Echocardiographic data on admission.
Mitral Valve SurgeryIsolated Mitral Valve Surgery
Female
(n = 257)
Male
(n = 552)
p-ValueFemale
(n = 133)
Male
(n = 286)
p-Value
Aortic Stenosis
Mild to moderate (%)21 (8.2)38 (6.9)0.5622 (1.5)4 (1.4)1.000
Severe (%)15 (5.8)27 (4.9)0.6110 (0.0)1 (0.3)1.000
Aortic Regurgitation
Mild to moderate (%)27 (10.5)52 (9.4)0.6134 (3.0)2 (0.7)0.084
Severe (%)5 (1.9)23 (4.2)0.1470 (0.0)0 (0.0)-
Combined mitral valve disease55 (21.4)52 (9.4)<0.00121(15.8)16 (5.6)0.001
Mitral Stenosis57 (22.2)57 (10.3)<0.00122 (16.5)18 (6.3)0.002
Mild to moderate (%)34 (13.2)27 (4.9)<0.00111 (8.3)7 (2.4)0.009
Severe15 (5.8)12 (2.2)0.0117 (5.3)6 (2.1)0.126
Mitral Regurgitation255 (99.2)545 (98.7)0.727132 (99.2)283 (99.0)1.000
Mild to moderate (%)105 (40.9)205 (37.1)0.31456 (42.1)91 (31.8)0.026
Severe (%)123 (47.9)307 (55.6)0.04164 (48.1)183 (64.0)0.003
Tricuspid Regurgitation
Mild to moderate (%)68 (26.5)90 (16.3)<0.00117 (12.8)27 (9.4)0.308
Severe (%)19 (7.4)22 (4.0)0.0321 (0.8)1 (0.3)0.535
LVEF
>55% (%)174 (67.7)386 (69.9)0.567106 (79.7)238 (83.2)(0.796)
30–55% (%)75 (29.2)144 (26.1)0.39527 (20.3)48 (16.8)0.412
<30% (%)0 (0.0)4 (0.7)0.3130 (0.0)0 (0.0)-
Pulmonary Hypertension (%)127 (49.4)186 (33.7)<0.00156 (42.1)69 (24.1)<0.001
LV dilation38 (27.1)119 (41.5)0.00414 (22.6)51 (37.0)0.031
LA dilation136 (87.2)271 (82.1)0.18862 (84.9)131 (80.4)0.468
Posterior Mitral Leaflet prolapse94 (36.6)281 (50.9)<0.00168 (51.1)191 (66.8)0.002
P1 Segment52 (20.2)131 (23.7)0.28036 (27.1)81 (28.3)0.816
P2 Segment87 (33.9)258 (46.7)<0.00164 (48.1)179 (62.6)0.006
P3 Segment56 (21.8)156 (28.3)0.03038 (28.6)102 (35.7)0.182
Anterior Mitral Leaflet prolapse43 (16.7)104 (18.8)0.49420 (15.0)51 (17.8)0.576
A1 Segment (%)36 (14.0)66 (12.0)0.42714 (10.5)31 (10.8)1.000
A2 Segment (%)41 (16.0)81 (14.7)0.67318 (13.5)38 (13.3)1.000
A3 Segment (%)37 (14.4)83 (15.0)0.91515 (11.3)38 (13.3)0.637
Flail (%)69 (26.8)217 (39.3)<0.00145 (33.8)139 (48.6)0.006
Barlow Disease (%)43 (16.7)74 (13.5)0.23832 (24.1)46 (16.1)0.037
Table 3. Details of surgery.
Table 3. Details of surgery.
Mitral Valve SurgeryIsolated Mitral Valve Surgery
Female
(n = 257)
Male
(n = 552)
p-ValueFemale
(n = 133)
Male
(n = 286)
p-Value
Duration of CPB (%)137 (107–177)159 (126–196)<0.001118 (94–158)140 (111–172)<0.001
Duration of Aortic X-clamping (%)91 (71–114)103 (80–128)<0.00177 (63–95)89 (73–110)<0.001
Minimally invasive surgery (%)28 (10.9)105 (19.0)0.00426 (19.5)101 (35.3)<0.001
Isolated Mitral valve surgery133 (51.8)286 (51.8)1.000---
Mitral valve repair (%)107 (41.6)294 (53.3)0.00267 (50.4)192 (67.1)0.001
Ring annuloplasty (%)107 (100.0)290 (98.6)0.57763 (47.4)200 (69.9)<0.001
Alfieri stich (%)0 (0.0)2 (0.7)1.0000 (0.0)2 (0.7)1.000
Triangular resection (%)1 (0.9)6 (2.0)0.6800 (0.0)8 (2.8)0.046
Quadrangular resection (%)2 (1.9)8 (2.7)1.0001 (0.8)8 (2.8)0.283
Neochordae (%)87 (81.3)240 (81.6)1.00065 (48.9)191 (66.8)<0.001
Cleft closure (%)42 (39.3)95 (32.3)0.23429 (21.8)73 (25.5)0.464
Mitral valve replacement
Biological prosthesis (%)106 (70.7)167 (64.7)0.27441 (30.8)52 (18.2)0.005
Mechanical prosthesis (%)44 (29.3)91 (35.2)0.22824 (18.0)42 (14.7)0.390
MV repair failure (%)12 (8.0)24 (9.3)0.7206 (4.5)12 (4.2)1.000
Aortic valve surgery
Biological prosthesis (%)49 (19.1)85 (15.4)0.2230 (0.0)0 (0.0)-
Mechanical prosthesis (%)5 (1.9)33 (6.0)0.0120 (0.0)0 (0.0)-
Repair (%)1 (0.4)4 (0.7)1.0000 (0.0)0 (0.0)-
Tricuspid valve surgery
Biological prosthesis (%)6 (2.3)7 (1.3)0.3670 (0.0)0 (0.0)-
Mechanical prosthesis (%)1 (0.4)1 (0.2)0.5350 (0.0)0 (0.0)-
Repair (%)61 (23.7)66 (12.0)<0.0010 (0.0)0 (0.0)-
LV-aneurysm resection (%)1 (0.4)6 (1.1)0.4410 (0.0)0 (0.0)-
VSD closure (%)1 (0.4)2 (0.4)1.0000 (0.0)0 (0.0)-
PFO closure (%)23 (8.9)67 (12.1)0.18911 (8.3)34 (11.9)0.311
LAA closure (%)125 (48.6)210 (38.0)0.00558 (43.6)96 (33.6)0.031
Ablation (%)66 (25.7)130 (23.6)0.53835 (26.3)70 (24.5)0.717
CABG (%)21 (8.2)104 (18.8)<0.0010 (0.0)0 (0.0)-
Aortic surgery (%)6 (2.3)26 (4.7)0.1230 (0.0)0 (0.0)-
Patch plasty (%)29 (11.3)37 (6.8)0.0388 (6.0)11 (3.9)0.324
Table 4. Morbidities and outcomes.
Table 4. Morbidities and outcomes.
Mitral Valve SurgeryIsolated Mitral Valve Surgery
Female
(n = 257)
Male
(n = 552)
p-ValueFemale
(n = 133)
Male
(n = 286)
p-Value
Morbidities
Adverse cerebrovascular events (%)11 (4.3)20 (3.6)0.6957 (5.3)5 (1.7)0.049
Delirium39 (15.2)62 (11.2)0.13722 (16.5)20 (7.0)0.005
Surgical site reexploration (%)43 (16.7)110 (20.0)0.29013 (9.8)43 (15.0)0.166
New myocardial infarction (%)1 (0.4)9 (1.6)0.1830 (0.0)2 (0.7)1.000
RCX obstruction1 (0.4)7 (1.3)0.4471 (0.8)3 (1.0)1.000
Renal Replacement therapy (%)30 (11.7)68 (12.3)0.9086 (4.5)19 (6.6)0.508
Pneumonia (%)97 (37.7)203 (36.8)0.81548 (36.1)88 (30.8)0.313
Tracheostoma (%)7 (2.7)27 (4.9)0.1890 (0.0)5 (1.7)0.183
ECLS support (%)17 (6.6)39 (7.1)0.8835 (3.8)10 (3.5)1.000
Duration of ECLS support (%)5 (3–8)5 (3–7)0.6336 (3–9)6 (5–7)0.839
Surgical site infection (%)14 (5.4)20 (3.6)0.2595 (3.8)9 (3.1)0.774
Pacemaker implantation (%)15 (5.8)41 (7.4)0.4592 (1.5)8 (2.8)0.514
New atrial fibrillation (%)58 (22.6)122 (22.1)0.92828 (21.1)53 (18.5)0.595
AV Block III20 (7.8)59 (10.7)0.2066 (4.5)12 (4.2)1.000
Outcomes
Mitral Regurgitation at discharge
Trace (%)76 (29.6)175 (31.7)0.56845 (33.8)97 (33.9)1.000
Mild to moderate (%)1 (0.4)5 (0.9)0.6710 (0.0)4 (1.4)0.312
Severe (%)0 (0.0)1 (0.2)1.0000 (0.0)0 (0.0)-
Mitral valve PGmax10 (6–15)9 (6–15)0.0907.3 (5.0–12.0)12.0 (12.0–12.0)0.008
Mitral valve PGmean4 (3–5)3 (2–5)0.0023.7 (3.0–4.5)3.0 (3.0–6.0)0.027
Tricuspid Regurgitation at discharge
Trace (%)130 (50.6)301 (54.5)0.32576 (57.1)170 (59.4)0.671
Mild to moderate (%)22 (8.6)16 (2.9)<0.0019 (6.8)10 (3.5)0.139
Severe (%)1 (0.4)0 (0.0)0.3180 (0.0)0 (0.0)-
Hospital stay (days)16 (13–24)16 (12–24)0.35015 (12–21)14 (11–19)0.046
ICU stay (days)5 (4–7)5 (3–7)0.4655 (3–6)4 (3–6)0.067
Duration of ventilation (hours)16 (12–24)17 (12–24)0.19614 (12–24)15 (12–24)0.487
In-hospital Mortality (%)15 (5.9)26 (4.7)0.4945 (3.8)5 (1.7)0.299
Table 5. Outcomes of Follow-up.
Table 5. Outcomes of Follow-up.
Total
(n = 809)
Female
(n = 257)
Male
(n = 552)
p-Value
Stroke (%)12 (1.5)4 (1.6)8 (1.4)1.000
New myocardial infarction (%)1 (0.1)1 (0.4)0 (0.0)0.318
Infective endocarditis (%)17 (2.1)3 (1.2)14 (2.5)0.294
Early infective endocarditis (%)9 (1.1)3 (1.1)6 (1.1)0.206
Early MACCE (%)41 (5.1)13 (5.1)28 (5.0)1.000
Disclaimer/Publisher’s Note: The statements, opinions and data contained in all publications are solely those of the individual author(s) and contributor(s) and not of MDPI and/or the editor(s). MDPI and/or the editor(s) disclaim responsibility for any injury to people or property resulting from any ideas, methods, instructions or products referred to in the content.

Share and Cite

MDPI and ACS Style

Saha, S.; Meerfeld, S.; Horke, K.M.; Steinmauer, M.; Ali, A.; Juchem, G.; Peterss, S.; Hagl, C.; Joskowiak, D. Gender-Based Analysis of Patients Undergoing Mitral Valve Surgery. J. Clin. Med. 2025, 14, 7072. https://doi.org/10.3390/jcm14197072

AMA Style

Saha S, Meerfeld S, Horke KM, Steinmauer M, Ali A, Juchem G, Peterss S, Hagl C, Joskowiak D. Gender-Based Analysis of Patients Undergoing Mitral Valve Surgery. Journal of Clinical Medicine. 2025; 14(19):7072. https://doi.org/10.3390/jcm14197072

Chicago/Turabian Style

Saha, Shekhar, Sophie Meerfeld, Konstanze Maria Horke, Martina Steinmauer, Ahmad Ali, Gerd Juchem, Sven Peterss, Christian Hagl, and Dominik Joskowiak. 2025. "Gender-Based Analysis of Patients Undergoing Mitral Valve Surgery" Journal of Clinical Medicine 14, no. 19: 7072. https://doi.org/10.3390/jcm14197072

APA Style

Saha, S., Meerfeld, S., Horke, K. M., Steinmauer, M., Ali, A., Juchem, G., Peterss, S., Hagl, C., & Joskowiak, D. (2025). Gender-Based Analysis of Patients Undergoing Mitral Valve Surgery. Journal of Clinical Medicine, 14(19), 7072. https://doi.org/10.3390/jcm14197072

Note that from the first issue of 2016, this journal uses article numbers instead of page numbers. See further details here.

Article Metrics

Back to TopTop