Abstract
Background: This study aims to assess the utility of the sFlt-1/PlGF ratio throughout pregnancy in predicting placental dysfunction and neonatal outcomes in twin pregnancies. Methods: Prospective study at a tertiary hospital. All pregnant women with a twin pregnancy who signed the informed consent were included. The sFlt-1/PlGF ratio was measured at 12, 24, and 32 weeks’ gestation. Results: Seventy patients were included, and 30% developed placental dysfunction. Differences were found in the mean sFlt-1/PlGF ratios at week 32 (13.6 vs. 31.8, p = 0.007). Optimal cutoffs at 12, 24, and 32 weeks to identify patients who develop placental dysfunction were 32.5, 8.5, and 30.5, respectively, with ORs of 4.25 (1.13–20.69 95% IC; p = 0.044), 13.5 (3.07–67.90 95% IC; p = 0.001), 14.29 (3.59–66.84 95% IC; p < 0.001). The sFlt-1/PlGF ratio at 32 weeks was associated with gestational age at birth. The sFlt-1/PlGF ratio in weeks 24 and 32 had a statistically significant negative correlation with the birth weight percentile in both twins. Conclusions: The potential of the sFlt-1/PlGF ratio as a predictive tool for placental dysfunction in twin pregnancies is underscored.
1. Introduction
Complications associated with placental dysfunction, known as placental-related syndromes, are known to have a higher incidence in multiple pregnancies compared to singleton pregnancies [1,2]. The incidence of this condition varies in accordance with risk factors such as assisted reproductive technology, maternal age, parity, or associated comorbidities [3,4,5].
Notably, hypertensive disorders of pregnancy affect 5–6% of singleton pregnancies and 13% of multiple pregnancies [6]. Furthermore, these complications in multiple pregnancies often manifest in more severe forms, demonstrate atypical presentations, and classically manifest earlier than in singleton pregnancies [7]. When the diagnosis is made before 34 weeks, it is defined as early-onset pre-eclampsia (EOPE), compared to later diagnoses, when it is named late-onset pre-eclampsia (LOPE) [8,9]. This distinction must be made, as EOPE carries a heightened risk of life-threatening maternal complications and fetal compromise [10,11].
Fetal growth restriction can be defined as at least one twin with isolated birth weight under the 3rd percentile, or 10th percentile associated with an abnormal Doppler, or, rather, a birth weight discrepancy ≥ 20%, with a reported incidence of 27% and 16%, respectively [12,13]. It is a major cause of stillbirth, preterm birth, admission to intensive care, and poor neonatal outcome [14,15,16], especially in twin pregnancies compared to singletons [17].
In pregnancies characterized by placental dysfunction, specific pro-angiogenic and anti-angiogenic factors present in maternal circulation, namely placental growth factor (PlGF) and soluble fms-like tyrosine kinase 1 (sFlt-1), respectively, undergo alterations, with an altered ratio in favor of anti-angiogenic factors [18,19,20,21,22]. Over the past decade, the sFlt-1/PlGF ratio, serving as an indicator of placental dysfunction and adverse feto-maternal outcomes, has undergone extensive investigation [21,23,24,25]. Its application as a marker for diagnosis, risk stratification, and management in singleton pregnancies is in clinical use, as optimal cutoffs have been established to diagnose and rule out pre-eclampsia with high predictive values [26,27]. Regarding FGR, the only current diagnostic method relies on fetal weight estimation through ultrasound. Although several formulas have been developed to estimate fetal weight [28,29,30,31], their limitations must not be overlooked, as numerous studies reflect a variable accuracy, mostly operator-dependent [32,33]. Developing complementary tools to strengthen sFlt-1/PlGF predictive values could improve the detection of vulnerable cases.
On the contrary, its application in twin pregnancies, in which placental mass, maternal blood volume, and inflammatory response are higher than singletons, is limited [34,35]. Studies evaluating the utility of the sFlt-1/PlGF ratio in twin pregnancies have demonstrated that compared to singleton pregnancies, uncomplicated twin pregnancies have higher sFlt-1/PlGF ratios [36,37,38,39,40]. This is also true in twin pregnancies complicated by pre-eclampsia and FGR [40,41,42]. In addition, in twin pregnancies, higher ratios alone or in combination with other placental biomarkers such as UAPI or PAPP-A can predict [27,36,38,39,41,42] adverse pregnancy outcomes [43,44,45,46,47].
This study aims to assess the ability of sFlt-1/PlGF evaluated at various stages in pregnancy to predict placental dysfunction in twin pregnancies, as well as timing of delivery and neonatal outcomes.
2. Materials and Methods
This was a prospective study among mono and dichorionic twin pregnancies that were followed up at the University and Polytechnic Hospital La Fe (Valencia, Spain), from February 2021 to September 2023. The sFlt-1/PlGF ratio was determined at 12, 24, and 32 weeks’ gestation in an outpatient setting through Elecsys® immunoassay of the sFlt-1/PlGF ratio (Roche Diagnostics, Basel, Switzerland). Serum samples were immediately analyzed (<6 h) after the collection. Inclusion criteria were defined: women over 18 years old, pregnant with a twin pregnancy, with no fetal abnormalities, and with signed informed consent. Exclusion criteria included triplets or high-order pregnancies, voluntary abandonment of the study prior to completion, and termination of pregnancy prior to complete sample collection, through birth or stillbirth. Data on patients during pregnancy and delivery were collected from the digital clinical history of the hospital: maternal age, body mass index, parity, toxic habits, chronic diseases, chronic treatments, conception method, chorionicity, amnionicity, weight gain along the pregnancy, diagnosis of gestational diseases (diabetes and hypothyroidism), PAPP-A, UAPI, risk of EOPE calculated in the first trimester, estimated fetal weight in weeks 24 and 32, blood pressure levels at weeks 12, 24, and 32, gestational age at birth, mode and onset of delivery, neonatal outcome (weight, Apgar test, arterial and venous pH, admission to neonatal unit), and puerperal pathology. All these parameters were compared between patients developing placental dysfunction and those who did not. Patients with a previous history of placental dysfunction were not excluded. Registered outcomes were collected through online clinical history and personal interviews if patients gave birth in a different hospital. The primary outcome was defined as placental dysfunction, while secondary outcomes included delivery time and neonatal outcome (birth weight and admission to the neonatal unit). Furthermore, the strength of sFlt-1/PlGF and each outcome correlation, when found significant, was evaluated. All twin pregnancies with the sFlt-1/PlGF ratio measured at 12, 24, and 32 weeks were included in the final analysis. The study group was then split into those who did and did not develop placental dysfunction.
Placental dysfunction was defined as the event of pre-eclampsia, fetal growth restriction, HELLP syndrome, or abruptio placentae [48,49,50].
Pre-eclampsia was defined by the emergence of new-onset hypertension (defined as repeated measurements of systolic blood pressure ≥ 140 mm Hg and diastolic blood pressure ≥ 90 mm Hg) occurring after the 20th week of pregnancy, concomitant with one or both of the following newly arisen conditions: proteinuria (indicated by a urine protein/creatinine ratio ≥ 30 mg/mmol or an albumin/creatinine ratio ≥ 8 mg/mmol or ≥1 g/L [2+] on dipstick testing or 300 mg protein in a 24 h urine collection) or other maternal organ dysfunction, including complications in renal, hepatic, neurological, or hematological domains, or uteroplacental dysfunction (such as fetal growth restriction (FGR), abnormal umbilical artery Doppler waveform analysis, or stillbirth) [37,51,52,53]. The diagnosis of early-onset pre-eclampsia was considered when made prior to 34 weeks, while late-onset pre-eclampsia diagnosis occurred thereafter [11].
HELLP syndrome was characterized by hemolysis (elevated lactate dehydrogenase concentrations surpassing the upper reference threshold), heightened levels of liver enzymes (alanine aminotransferase, aspirate aminotransferase concentrations exceeding the upper reference threshold), and reduced platelet counts (<100,000/μL) [37,51].
Fetal growth restriction (FGR) was established by the combination of an estimated fetal weight (EFW) below the 10th percentile, coupled with either an abnormal Doppler of the umbilical artery (>95th percentile), cerebroplacental ratio (<5th percentile), uterine arteries (>95th percentile), or an EFW below the 3rd percentile [54], in either one or both twins. The EFW was calculated by measurements of head circumference, abdominal circumference, and femoral length, adhering to the formula reported by Hadlock et al. [28]. FGR stages were defined following ISUOG guidelines for twin pregnancies [55].
The 95th percentile of the mean UAPI at 24 weeks was defined as ≥1.35, by prior descriptions [56]. All calculations regarding blood pressure levels were made with the standardized formula (diastolic blood pressure (DBP) + 1/3 [systolic blood pressure (SBP) − DBP]) [57]. Serum PAPP-A hormone levels were determined in the 10th week of pregnancy.
The risk of EOPE was calculated at 11–14 weeks of pregnancy based on the Fetal Medicine Foundation (FMF) algorithm, considering women with values under the 1 in 100 cutoff as high risk [58].
2.1. Statistics
The statistical analysis has been carried out using the computer application Rstudio (Version 2023.09.1+494). Quantitative variables were described using standard measures of central tendency and variability: mean, standard deviation, median, interquartile range, maximum, and minimum. Categorical variables were described using frequency and proportion relative to the total number of cases. Bivariate statistical analysis was conducted using a Student’s t-test for cases where the normality of the variable was met, and a non-parametric Mann–Whitney test for cases where the assumption of normality was not met. Survival curves were obtained through survival analysis, and diagnostic cutoff curves were determined using ROC curves. Multivariate analysis was performed using linear regression for total gestation days and logistic regression for placental dysfunction.
2.2. Ethics
The study was approved by the Ethics Committee of the Health Research Institute Hospital La Fe (IIS La Fe). All pregnant women signed the informed consent form before participating.
3. Results
A total of 70 patients with a twin pregnancy were included in our study, both monochorionic (14.29%) and dichorionic (85.71%). In all these collected twin pregnancies, the sFlt-1/PlGF ratio was determined at 12, 24, and 32 weeks of gestation. Data regarding baseline characteristics, comparing pregnant women who did not develop placental dysfunction with those who did, are displayed in Table 1. No significant differences were found between groups.
Table 1.
Description of maternal baseline characteristics of the included patients with twin pregnancies, comparing women who did not develop placental dysfunction with those who did. Data are given as mean (standard deviation) for continuous variables and n (%) for categorical variables. Statistical analysis was made comparing cases and controls. BMI, body max index; ART, artificial reproduction techniques; PE, pre-eclampsia.
From the final 70 patients included in our sample, 21 developed placental dysfunction (30%). Eleven women suffered from pre-eclampsia, 3 developed early-onset pre-eclampsia, and 6 had late-onset pre-eclampsia (<34 or >34 weeks, respectively). Three of these patients developed severe pre-eclampsia, one of them with associated HELLP syndrome. Furthermore, two patients manifested pre-eclampsia during the postpartum period. Regarding FGR, 10 patients received the diagnosis, 7 of them before 34 weeks of pregnancy. All cases but one suffered from stage I FGR, with the remaining one being diagnosed with stage III FGR and, subsequently, with abruptio placentae. Chorionicity did not statistically impact the gestational age at which placental dysfunction was diagnosed. Figure 1 shows the cumulative risk of placental dysfunction for mono- and dichorionic pregnancies.
Figure 1.
Cumulative risk (weeks) of placental dysfunction in dichorionic and monochorionic pregnancies.
The mean maternal serum sFlt-1/PlGF ratio was calculated in three trimesters. As seen in Figure 2 and Table 2, while mean ratios were higher in pregnancies complicated with placental dysfunction (33.0 vs. 46; 4.0 vs. 6.1; 13.6 vs. 31.8, respectively), this difference was only statistically significant at 32 weeks (p = 0.007). Furthermore, mean ratio levels were significantly higher in week 32 for women developing early-onset pre-eclampsia compared to late-onset pre-eclampsia (33.9 vs. 12.0; p = 0.046).
Figure 2.
The lines in the figure link the median sFlt-1/PlGF values at each gestational age window for patients diagnosed with placental dysfunction vs. those without. PlGF, placental growth factor; sFlt-1, soluble fms-like tyrosine kinase 1.
Table 2.
Mean values (interquartile range) for the sFlt-1/PlGF ratio and sFlt-1 and PlGF immunoassay values in women with twin pregnancies, with and without placental dysfunction, in the three trimesters of pregnancy.
Likewise, mean blood pressure levels were considered in the three moments when ratio levels were evaluated. As seen in Figure 3, levels grew throughout pregnancy in both women developing placental dysfunction and healthy patients. Although mean levels were higher in weeks 12, 24, and 32 for patients developing placental dysfunction (85.7 vs. 90.1; 85.7 vs. 88.6; 87.0 vs. 98.2), statistically significant differences were only found in week 32 (p < 0.001).
Figure 3.
The lines in the figure link the mean blood pressure values at each gestational age window for patients diagnosed with placental dysfunction vs. those without.
PAPP-A hormone levels at 10 weeks of pregnancy were found to be statistically decreased in twin gestations that developed placental dysfunction compared to those which did not (p = 0.044). No statistical differences were found between groups when assessing mean UAPI.
When evaluating gestational age at birth, our sample had a mean value of 36.0 weeks and a median of 36.8 weeks. The mean gestational age at birth was 35.0 for patients with placental dysfunction, compared to 36.4 days without placental dysfunction. Lower ratio levels at week 32 were associated with higher gestational age at birth, as an increase of 1 unit in the ratio at week 32 implied 0.278 days fewer of pregnancy (p < 0.005). Table 3 summarizes neonatal outcomes.
Table 3.
Description of neonatal characteristics, comparing those born after placental dysfunction with those without the diagnosis. Data are given as mean (standard deviation) for continuous variables.
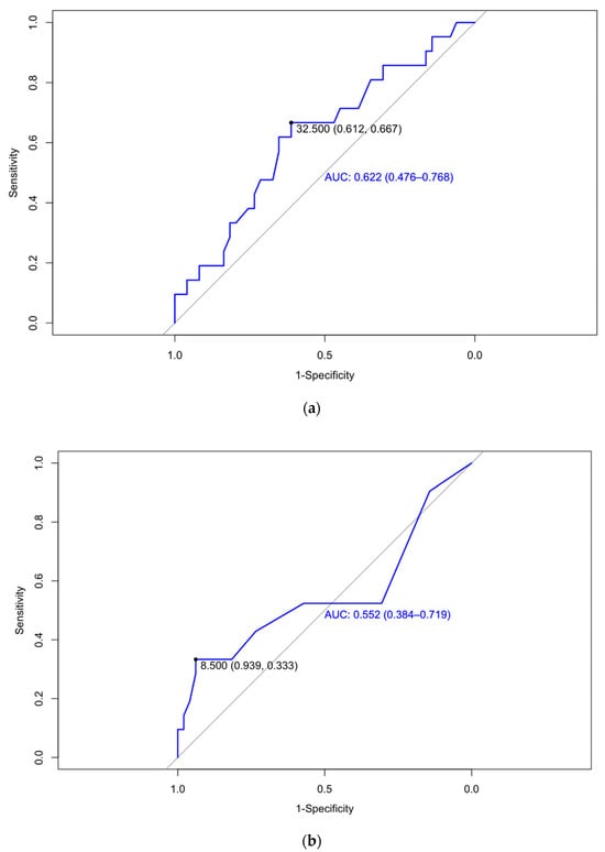
In order to calculate the best cutoff for placental dysfunction prediction, AUCs were designed for each determination. As seen in Figure 4, a cutoff sFlt-1/PlGF ratio ≥ 32.5 at 12 weeks of pregnancy was associated with a sensitivity of 66.7%, a specificity of 61.2%, a PPV of 42.4%, and an NPV of 81.1% for the identification of patients with a twin pregnancy who developed placental dysfunction, with an AUC of 0.622 (0.476–0.768). The OR was 4.25 (1.13–20.69 95% IC; p = 0.044). Equally, a cutoff sFlt-1/PlGF ratio ≥ 8.5 at 24 weeks was associated with a sensitivity of 33.3% and a specificity of 93.9%, a PPV of 70%, and an NPV of 76.7% for the identification of patients with a twin pregnancy who develop placental dysfunction, with an AUC 0.552 (0.384–0.719) and an OR of 13.5 (3.07–67.90 95% IC; p = 0.001). Furthermore, cutoff sFlt-1/PlGF ratio ≥ 30.5 at 32 weeks was related with a sensitivity of 45%, a specificity of 87.8%, a PPV of 60%, and an NPV of 79.6% for the identification of patients who developed placental dysfunction, with an AUC 0.709 (0.570–0.849) and an OR of 14.29 (3.59–66.84 95% IC; p < 0.001).

Figure 4.
The area under the curve of the sFlt-1/PlGF ratio at 12 (a), 24 (b), and 32 weeks’ (c) gestation for the detection of patients with twin pregnancies who subsequently develop placental dysfunction.
There was a significant and strong association between the week in which pre-eclampsia was diagnosed and the ratio level in week 12 (Pearson correlation coefficient [PCC] −0.81; p < 0.05). This association was negative, meaning that an increase in the values of the ratio at week 12 implied an earlier development of pre-eclampsia. This association was maintained when assessing PlGF levels only, but with a moderate-to-high and positive correlation: an increase in the values of PlGF in week 12 implied a later development of the disease (PCC 0.77; p < 0.05). The sFLT-1 isolated value showed an almost significant increase in the diagnosis week for FGR only (PCC −0.38; p < 0.10).
Similarly, when assessing ratio levels in week 24 and the time of placental dysfunction diagnosis, differences were only found between the week of FGR diagnosis and the PlGF value. The intensity of this relationship was not very high and positive, meaning that a decrease in PlGF values implied a decrease in the week of diagnosis (0.43; p < 0.05). These associations are represented in Figure 5.
Figure 5.
Representation of correlations between sFlt-1/PlGF ratio at 12, 24, and 32 weeks and the week of pre-eclampsia diagnosis. The intensity of the correlation between such variables is represented by the intensity of the color code, as explained in the legend.
No correlation was found between mean blood pressure levels in the three trimesters or mean UAPI levels in the first trimester with the week of placental dysfunction diagnosis.
Regarding birth weight percentile, ratio levels at weeks 24 and 32 had a statistically significant negative correlation, meaning a higher ratio implied a lower birth weight in both newborns (PCC −0.29 and −0.36; −0.41 and −0.33, p < 0.005, respectively).
As seen in Figure 6, an sFlt-1/PlGF ratio over 33.5 at 24 weeks had a sensitivity of 66.7% and specificity of 84.6%, with a PPV of 98.21% and NPV of 16.67%, and an AUC of 0.679 (0.240–1.00) to predict a weight under 1500 g, with an OR of 0.09 (0.00–1.03 95% IC; p = 0.059). Moreover, an sFlt-1/PlGF ratio over 11.5 at 32 weeks had a sensitivity of 61.4% and specificity of 100% with a PPV of 33.33, an NPV of 100%, and an AUC of 0.787 (0.681–0.893) to predict a weight under 2500 g in one or both newborns.
Figure 6.
The areas under the curve of the sFlt-1/PlGF ratio at 24 (a) and 32 weeks’ gestation (b) for the detection of newborns from twin pregnancies with birth weights under 1500 g and 2500 g.
As for the days of admission to the neonatal unit, there was a significant and positive association with ratio levels at 12, 24, and 32 weeks (PCC 0.36, 0.50, and 0.62, respectively). Hence, the ratio level appears to have an increasing capacity to predict neonatal unit admission throughout pregnancy. Additionally, the median value of the sFlt-1/PlGF ratio at week 12 was 36.5 in the group with admission required compared to 27.5 in the group without admission to the neonatal unit, with an almost significant statistical difference (p < 0.10). Noticeably, the ratios at weeks 24 and 32 had median values of 3.0 and 10.0 among cases without admission versus 4.0 and 23.5 among those who did, respectively, in both cases, with significant differences (p < 0.05).
Table 4 and Table 5 summarize the sFlt-1/PlGF ratio’s performance for placental dysfunction and neonatal outcome.
Table 4.
sFlt-1/PlGF ratio cutoff performance in each gestational week for placental dysfunction and birth weight prediction.
Table 5.
Statistically significant correlations of isolated sFlt-1, PlGF, and sFlt-1/PlGF and studied event (week of pre-eclampsia and fetal growth restriction [FGR] diagnosis, days of neonatal admission and birth weight) determined by Pearson correlation coefficient (PCC).
4. Discussion
The present study reveals the potential predictive value of the sFlt-1/PlGF ratio in twin pregnancies for predicting pre-eclampsia and fetal growth restriction, preterm delivery, and adverse perinatal outcomes. In our sample, sFlt-1/PlGF ratio levels were higher during the three trimesters in twin pregnancies which develop placental dysfunction compared with those who do not, with statistical differences found at week 32.
An sFlt-1/PlGF cutoff ratio ≥ 32.5 at 12 weeks was associated with a significant increase in the frequency of placental dysfunction (odds ratio [OR], 4.25 [1.13–20.69 95% IC]; p = 0.044). Additionally, the present study reveals that such a cutoff at 12 weeks is associated with a sensitivity of 66.7%, a specificity of 61.2%, a PPV of 42.4%, and an NPV of 81.1% to detect placental dysfunction (Table 4). These figures surpass the effectiveness of the traditional method for identifying high-risk patients for pre-eclampsia based on maternal demographic characteristics and medical history, as this approach can only identify approximately 40% of preterm cases with a false positive rate of 10% [59,60]. Nevertheless, currently, most centers use the Fetal Medicine Foundation algorithm to evaluate the risk of pre-eclampsia throughout the pregnancy, integrating information on various risk factors, including placental perfusion (assessed through UAPI and mean arterial pressure), clinical characteristics (maternal factors and medical history), and biomarker levels (PlGF). This combined screening has been shown to detect 75% of preterm pre-eclampsia (<37 weeks) and 41% of term pre-eclampsia (≥37 weeks) with a 10% false positive rate [61]. Nevertheless, these detection rates have been calculated based on single pregnancies. An investigation published in 2020 evaluated the best performance of first-trimester screening for pre-eclampsia in twin pregnancies by collecting 3938 twin pregnancies with 339 (8.6%) cases of pre-eclampsia. The best results were achieved by combining maternal factors, MAP, UtA-PI, and PlGF, with a sensitivity of 86.4% and 41.1% for PE at <32 weeks and <37 weeks, respectively, vs. 30.6% and 24.9% by maternal factors alone, with a 10% false positive ratio [62]. Another study showed an AUC of 0.647 (0.604–0.690; 95% CI) for detecting pre-eclampsia in twin pregnancies by combining maternal demographic characteristics and medical history [63], which is very similar to our AUC of 0.622 (0.476–0.768) with only the sFlt-1/PlGF ratio.
In singleton pregnancies characterized by a heightened risk of pre-eclampsia or fetal growth restriction (FGR), as defined by maternal history and second-trimester uterine artery Doppler assessment, the sFlt-1/PlGF ratio at 24–28 weeks has emerged as a precise prognostic indicator for the occurrence of pre-eclampsia or FGR with an area under the curve (AUC) of 0.98 (0.97–1.00; 95% CI) [64]. Individuals with twin pregnancies have revealed a twofold increased likelihood of developing pre-eclampsia when compared to women with singleton pregnancies [1,2,65]. In our study, a cutoff sFlt-1/PlGF ratio ≥ 8.5 at 24 weeks showed a significant increase in the frequency of placental dysfunction (OR, 13.5 [3.07–67.90; 95% CI]; p = 0.001), just as for week 32, where a cutoff sFlt-1/PlGF ratio ≥ 30.5 had an even higher rise in both pre-eclampsia and FGR (OR, 14.29 [3.59–66.84 95% CI]; p < 0.001). Furthermore, this cutoff at 24 weeks is associated with a sensitivity of 33.3% and a specificity of 93.4%, a PPV of 70%, and an NPV of 76.7%. This finding is in line with our recently published studies, as an sFlt-1/PlGF ratio ≥ 17 at 24 weeks in twin pregnancies has been described as associated with a significant increase in the frequency of pre-eclampsia (OR, 37.13 [4.78–288.25; 95% CI]; p = 0.002) and FGR (OR, 39.58 [6.31–248.17; 95% CI]; p < 0.001) [40], and the 5th percentile, median, and 95th percentile of the sFlt-1/PlGF ratio in uneventful twin pregnancies at 24 plus 0–28 plus 6 weeks’ gestation has been labeled 1.33, 3.88, and 19.0, respectively [66]. For week 32, a ratio determination ≥ 30.5 was associated with a sensitivity of 45%, a specificity of 87.8%, a PPV of 60%, and an NPV of 79.6% for identifying patients with a twin pregnancy who develop pre-eclampsia or FGR. Consequently, these findings suggest that the successive assessment of the sFlt-1/PlGF ratio holds the potential to increase the predictive accuracy for placental dysfunction diagnoses in twin pregnancies.
Furthermore, the sFlt-1/PlGF ratio has demonstrated a markedly elevated level in singleton pregnancies developing early-onset pre-eclampsia or fetal growth restriction (FGR) when compared to those manifesting a later onset [67]. In the current study, the average sFlt-1/PlGF ratio at 32 weeks of gestation was equally observed to be higher in individuals with twin pregnancies who subsequently experienced the development of early-onset pre-eclampsia or FGR, in contrast to those who encountered late-onset pre-eclampsia or FGR (33.9 vs. 12.0; p = 0.046). These results are in line with the observations made by S Rana et al., who found sFlt-1/PlGF ratio levels were higher among women presenting pre-eclampsia prior to 34 weeks compared to those manifesting a later onset (97.7 [76.6–178.1] vs. 31.7 [6.5–48.7]; p = 0.001) [42]. Therefore, patients at risk of developing these diseases in an early stage of pregnancy could especially benefit from a close follow-up.
Isolated PlGF levels have a proven capability of predicting pre-eclampsia and preterm delivery for single pregnancies, and fetal growth-restricted pregnancies have been described as exhibiting diminished PlGF levels across the entire pregnancy, especially during the first trimester [20,24,68]. When assessing sFlt-1 and PlGF alone in our sample, statistically significant differences were found between the week of FGR diagnosis and PlGF value in weeks 12 and 24. This is in accordance with a prospective, multicenter observational study published in 2018, where measurement of PlGF in singleton pregnancies was shown to be a valuable adjunct for identifying those at high risk of delivering an SGA infant (with a sensitivity of 93% [95% CI, 84–98%] and an NPV of 90% [76–97; 95% CI), allowing appropriate surveillance and timely intervention [69]. Other studies, including a prospective series published by our group, have similar results, with higher sFlt-1/PlGF ratios [40,42], and lower isolated PlGF and higher sFlt-1 levels in twin pregnancies developing FGR [42]. Consequently, understanding the maternal levels of PlGF may aid in anticipating pregnancies at risk of fetal growth restriction (FGR) complications.
A positive correlation between the sFlt-1/PlGF ratio and the likelihood of pregnancy complications, such as preterm delivery, has been described [70,71,72]. In our study, low levels of the sFlt-1/PlGF ratio were associated with higher gestational age at birth (an increase of 1 unit in the ratio implied 0.278 days fewer of pregnancy [p < 0.005]). Noticeably, our study has also shown that ratio levels at weeks 24 and 32 show a statistically significant negative correlation with birth weight percentile, as an sFlt-1/PlGF ratio over 33.5 at week 24 had a sensitivity of 66.7% and specificity of 84.6% to predict a weight under 1500 g. An sFlt-1/PlGF ratio over 11.5 had a sensitivity of 61.4% and specificity of 100% to predict a weight under 2500 g. Regarding the requirement of neonatal admission in a specific unit, differences were found in mean ratio levels at weeks 24 and 32 (3.0 vs. 4.0 and 10.0 vs. 23.5, respectively). Plus, a significant, positive, and progressive association between the ratio levels in the three trimesters and the number of days of admission was determined (PCCs 0.36, 0.50, and 0.62, respectively).
Concerning chorionicity, some previous studies have defended the assertion that sFlt-1/PlGF ratio levels are independent of this variable, corroborating its predictive accuracy in both groups [38,40,41,66]. Nevertheless, another study did find maternal sFlt-1/PlGF ratio higher in monochorionic than in dichorionic patients after adjustment for gestational age [73]. In our sample, no statistical differences were found regarding placental dysfunction incidence between monochorionic and dichorionic pregnancies (p > 0.05), nor in sFlt-1/PlGF ratio levels in weeks 12, 24, and 32 (p = 0.154; 0.633; 0.828, respectively). This was probably due to the relatively low number of twin pregnancies included, especially monochorionic ones.
5. Strengths and Limitations
The main limitation of the present study resides in its constrained sample size, a factor that influenced several variables such that they demonstrate a discernible trend without achieving statistical significance. The limited statistical power stemming from the sample size constrains the ability to draw definitive conclusions and underscores the need for caution in generalizing the findings. Future research with larger cohorts is imperative to corroborate and strengthen the observed trends, thereby enhancing the overall robustness and validity of the study outcomes.
On the other hand, the current study also delineates sFlt-1/PlGF ratio levels in healthy twin pregnancies and those developing placental dysfunction. It proves the sFlt-1/PlGF ratio correlates with gestational age at delivery, birth weight, neonatal outcome, and neonatal admission in an intensive care unit. These associations underscore the potential impact of monitoring the sFlt-1/PlGF ratio in twin pregnancies, as it could provide clinicians with valuable information for managing a condition with a considerable impact on perinatal and neonatal health.
6. Conclusions
In this study, the sFlt-1/PlGF ratio in twin pregnancies emerges as a potential predictive tool for adverse feto-maternal outcomes, including pre-eclampsia, fetal growth restriction, preterm delivery, and perinatal outcome. The analysis reveals that an sFlt-1/PlGF ratio ≥ 32.5 in the first trimester is associated with a significant increase in the frequency of placental dysfunction. The predictive capacity of this tool at 12 weeks, compared to traditional methods based on maternal demographic characteristics and medical history, shows a superior sensitivity (66.7%), specificity (61.2%), PPV (42.4%), and NPV (81.1%) for detecting placental dysfunction. Our findings also highlight the potential benefits of sequential assessments of the sFlt-1/PlGF ratio in enhancing predictive accuracy, as cutoffs of ≥8.5 at 24 weeks and ≥30.5 at 32 weeks are associated with increased incidence of both pre-eclampsia and FGR in twin pregnancies. Furthermore, lower ratios at 12, 24, and 32 weeks of pregnancy are associated with other neonatal outcomes such as higher gestational age at birth, higher birth weight percentiles, and the need for admission to a neonatal intensive care unit. This investigation provides valuable evidence regarding the utility of the sFlt-1/PlGF ratios at 12, 24, and 32 weeks as a predictive tool for placental dysfunction and neonatal outcomes in twin pregnancies.
Author Contributions
A.M.-V. and V.D.-A. performed the work’s conceptualization. A.M.-V. and V.D.-A. carried out the methodology and study design. A.M.-V., E.S.-P., B.N.-D.Á. and V.D.-A. performed the research work. A.M.-V. and V.D.-A. supervised the research. A.M.-V., E.S.-P. and B.N.-D.Á. wrote the original draft. J.M.-R. and V.D.-A. revised the final manuscript, adding valuable input to the text. All authors have read and agreed to the published version of the manuscript.
Funding
This research received no external funding.
Institutional Review Board Statement
This study’s protocol was reviewed and approved by the Ethics Committee of the Health Research Institute Hospital La Fe (IIS La Fe), approval Ref: 2018/0164, P.I. Exp. 2018_0164_PP_DE_DIA-GO, 1 April 2018.
Informed Consent Statement
Written informed consent was obtained from each patient before her inclusion in the study.
Data Availability Statement
The data in this study were obtained from the clinical program of La Fe University and Polytechnic Hospital. Further inquiries can be directed to the corresponding author.
Conflicts of Interest
The authors have no conflicts of interest to declare.
References
- Fox, N.S.; Rebarber, A.; Klauser, C.K.; Roman, A.S.; Saltzman, D.H. Intrauterine growth restriction in twin pregnancies: Incidence and associated risk factors. Am. J. Perinatol. 2011, 28, 267–272. [Google Scholar] [CrossRef]
- Gezer, A.; Rashidova, M.; Güralp, O.; Öçer, F. Perinatal mortality and morbidity in twin pregnancies: The relation between chorionicity and gestational age at birth. Arch. Gynecol. Obstet. 2012, 285, 353–360. [Google Scholar] [CrossRef]
- Romero, R.; Lockwood, C.; Oyarzun, E.; Hobbins, J.C. Toxemia: New concepts in an old disease. Semin. Perinatol. 1988, 12, 302–323. [Google Scholar]
- Magee, L.A.; Brown, M.A.; Hall, D.R.; Gupte, S.; Hennessy, A.; Karumanchi, S.A.; Kenny, L.C.; McCarthy, F.; Myers, J.; Poon, L.C.; et al. The 2021 International Society for the Study of Hypertension in Pregnancy classification, diagnosis & management recommendations for international practice. Pregnancy Hypertens. 2022, 27, 148–169. [Google Scholar] [CrossRef]
- Sibai, B.; Dekker, G.; Kupferminc, M. Pre-eclampsia. Lancet 2005, 365, 785–799. [Google Scholar] [CrossRef]
- Francisco, C.; Wright, D.; Benkő, Z.; Syngelaki, A.; Nicolaides, K.H. Hidden high rate of pre-eclampsia in twin compared with singleton pregnancy. Ultrasound Obstet. Gynecol. 2017, 50, 88–92. [Google Scholar] [CrossRef]
- Sibai, B.M.; Hauth, J.; Caritis, S.; Lindheimer, M.D.; MacPherson, C.; Klebanoff, M.; VanDorsten, J.; Landon, M.; Miodovnik, M.; Paul, R.; et al. Hypertensive disorders in twin versus singleton gestations. Am. J. Obstet. Gynecol. 2000, 182, 938–942. [Google Scholar] [CrossRef]
- Roberts, J.M.; Hubel, C.A. The two stage model of preeclampsia: Variations on the theme. Placenta 2009, 30, 32–37. [Google Scholar] [CrossRef]
- Ness, R.B.; Roberts, J.M. Heterogeneous causes constituting the single syndrome of preeclampsia: A hypothesis and its implications. Am. J. Obstet. Gynecol. 1996, 175, 1365–1370. [Google Scholar] [CrossRef]
- Bombrys, A.E.; Barton, J.R.; Nowacki, E.A.; Habli, M.; Pinder, L.; How, H.; Sibai, B.M. Expectant management of severe preeclampsia at less than 27 weeks’ gestation: Maternal and perinatal outcomes according to gestational age by weeks at onset of expectant management. Am. J. Obstet. Gynecol. 2008, 199, 247.e1–247.e6. [Google Scholar] [CrossRef]
- Von Dadelszen, P.; Magee, L.A.; Roberts, J.M. Subclassification of preeclampsia. Hypertens. Pregnancy 2003, 22, 143–148. [Google Scholar] [CrossRef]
- Townsend, R.; Khalil, A. Fetal growth restriction in twins. Best Pract. Res. Clin. Obstet. Gynaecol. 2018, 49, 79–88. [Google Scholar] [CrossRef]
- Chervenak, F.A.; Skupski, D.W.; Romero, R.; Myers, M.K.; Smith-Levitin, M.; Rosenwaks, Z.; Thaler, H.T. How accurate is fetal biometry in the assessment of fetal age? Am. J. Obstet. Gynecol. 1998, 178, 678–687. [Google Scholar] [CrossRef]
- Reforma, L.G.; Febres-Cordero, D.; Trochtenberg, A.; Modest, A.M.; Collier, A.-R.Y.; Spiel, M.H. Incidence of small-for-gestational-age infant birthweight following early intertwin fetal growth discordance in dichorionic and monochorionic twin pregnancies. Am. J. Obstet. Gynecol. 2022, 226, 726.e1–726.e9. [Google Scholar] [CrossRef]
- Hiersch, L.; Barrett, J.; Aviram, A.; Mei-Dan, E.; Yoon, E.W.; Zaltz, A.; Kingdom, J.; Melamed, N. Patterns of discordant growth and adverse neonatal outcomes in twins. Am. J. Obstet. Gynecol. 2021, 225, 187.e1–187.e14. [Google Scholar] [CrossRef]
- D’Antonio, F.; Odibo, A.O.; Prefumo, F.; Khalil, A.; Buca, D.; Flacco, M.E.; Liberati, M.; Manzoli, L.; Acharya, G. Weight discordance and perinatal mortality in twin pregnancy: Systematic review and meta-analysis. Ultrasound Obstet. Gynecol. 2018, 52, 11–23. [Google Scholar] [CrossRef]
- Dekalo, A.; Kogan, Z.; Herman, H.G.; Marelly, C.; Yaka, C.; Schreiber, L.; Weiner, E.; Miremberg, H. Fetal growth restriction, neonatal morbidity and placental pathology in dichorionic twins-a comparison of twin-specific versus singleton growth charts. Placenta 2023, 140, 6–10. [Google Scholar] [CrossRef]
- Herraiz, I.; Llurba, E.; Verlohren, S.; Galindo, A.; Bartha, J.L.; De La Calle, M.; Delgado, J.L.; De Paco, C.; Escudero, A.I.; Moreno, F.; et al. Update on the Diagnosis and Prognosis of Preeclampsia with the Aid of the sFlt-1/PlGF Ratio in Singleton Pregnancies. Fetal Diagn. Ther. 2018, 43, 81–89. [Google Scholar] [CrossRef]
- Alahakoon, T.I.; Zhang, W.; Trudinger, B.J.; Lee, V.W. Discordant clinical presentations of preeclampsia and intrauterine fetal growth restriction with similar pro- and anti-angiogenic profiles. J. Matern. Fetal Neonatal Med. 2014, 27, 1854–1859. [Google Scholar] [CrossRef]
- Agrawal, S.; Shinar, S.; Cerdeira, A.S.; Redman, C.; Vatish, M. Predictive Performance of PlGF (Placental Growth Factor) for Screening Preeclampsia in Asymptomatic Women: A Systematic Review and Meta-Analysis. Hypertension 2019, 74, 1124–1135. [Google Scholar] [CrossRef]
- Herraiz, I.; Quezada, M.S.; Rodriguez-Calvo, J.; Gómez-Montes, E.; Villalaín, C.; Galindo, A. Longitudinal change of sFlt-1/PlGF ratio in singleton pregnancy with early-onset fetal growth restriction. Ultrasound Obstet. Gynecol. 2018, 52, 631–638. [Google Scholar] [CrossRef]
- Herraiz, I.; Dröge, L.A.; Gómez-Montes, E.; Henrich, W.; Galindo, A.; Verlohren, S. Characterization of the soluble fms-like tyrosine kinase-1 to placental growth factor ratio in pregnancies complicated by fetal growth restriction. Obstet. Gynecol. 2014, 124, 265–273. [Google Scholar] [CrossRef]
- Allen, R.E.; Rogozinska, E.; Cleverly, K.; Aquilina, J.; Thangaratinam, S. Abnormal blood biomarkers in early pregnancy are associated with preeclampsia: A meta-analysis. Eur. J. Obstet. Gynecol. Reprod. Biol. 2014, 182, 194–201. [Google Scholar] [CrossRef]
- Barton, J.R.; Woelkers, D.A.; Newman, R.B.; Combs, C.A.; How, H.Y.; Boggess, K.A.; Martin, J.N., Jr.; Kupfer, K.; Sibai, B.M. Placental growth factor predicts time to delivery in women with signs or symptoms of early preterm preeclampsia: A prospective multicenter study. Am. J. Obstet. Gynecol. 2020, 222, 259.e1–259.e11. [Google Scholar] [CrossRef]
- Sovio, U.; Gaccioli, F.; Cook, E.; Charnock-Jones, D.S.; Smith, G.C.S. Slowing of fetal growth and elevated maternal serum sFLT1:PlGF are associated with early term spontaneous labor. Am. J. Obstet. Gynecol. 2021, 225, 520.e1–520.e10. [Google Scholar] [CrossRef]
- Satorres, E.; Martínez-Varea, A.; Diago-Almela, V. sFlt-1/PlGF ratio as a predictor of pregnancy outcomes in twin pregnancies: A systematic review. J. Matern. Fetal Neonatal Med. 2023, 36, 2230514. [Google Scholar] [CrossRef]
- Stepan, H.; Galindo, A.; Hund, M.; Schlembach, D.; Sillman, J.; Surbek, D.; Vatish, M. Clinical utility of sFlt-1 and PlGF in screening, prediction, diagnosis and monitoring of pre-eclampsia and fetal growth restriction. Ultrasound Obstet. Gynecol. 2023, 61, 168–180. [Google Scholar] [CrossRef]
- Hadlock, F.P.; Harrist, R.B.; Sharman, R.S.; Deter, R.L.; Park, S.K. Estimation of fetal weight with the use of head, body, and femur measurements—A prospective study. Am. J. Obstet. Gynecol. 1985, 151, 333–337. [Google Scholar] [CrossRef]
- Ferrero, A.; Maggi, E.; Giancotti, A.; Torcia, F.; Pachi, A. Regression formula for estimation of fetal weight with use of abdominal circumference and femur length: A prospective study. J. Ultrasound Med. 1994, 13, 823–833. [Google Scholar] [CrossRef]
- Schild, R.L.; Fell, K.; Fimmers, R.; Gembruch, U.; Hansmann, M. A new formula for calculating weight in the fetus of ≤1600 g. Ultrasound Obstet. Gynecol. 2004, 24, 775–780. [Google Scholar] [CrossRef]
- Woo, J.S.K.; Wan, C.W.; Cho, K.M. Computer-assisted evaluation of ultrasonic fetal weight prediction using multiple regression equations with and without the fetal femur length. J. Ultrasound Med. 1985, 4, 65–67. [Google Scholar] [CrossRef]
- Milner, J.; Arezina, J. The accuracy of ultrasound estimation of fetal weight in comparison to birth weight: A systematic review. Ultrasound 2018, 26, 32–41. [Google Scholar] [CrossRef]
- Geerts, L.; Widmer, T. Which is the most accurate formula to estimate fetal weight in women with severe preterm preeclampsia? J. Matern. Fetal Neonatal Med. 2011, 24, 271–279. [Google Scholar] [CrossRef]
- Bdolah, Y.; Lam, C.; Rajakumar, A.; Shivalingappa, V.; Mutter, W.; Sachs, B.P.; Lim, K.H.; Bdolah-Abram, T.; Epstein, F.H.; Karumanchi, S.A. Twin pregnancy and the risk of preeclampsia: Bigger placenta or relative ischemia? Am. J. Obstet. Gynecol. 2008, 198, 428.e1–428.e6. [Google Scholar] [CrossRef]
- Hytten, F. Blood volume changes in normal pregnancy. Clin. Haematol. 1985, 14, 601–612. [Google Scholar] [CrossRef]
- Shinohara, S.; Sunami, R.; Kasai, M.; Yasuda, G.; Uchida, Y. Predictive value of the sFlt-1/PlGF ratio for preeclampsia in twin pregnancies: A retrospective study. Hypertens. Pregnancy 2021, 40, 330–335. [Google Scholar] [CrossRef]
- Dröge, L.; Herraiz, I.; Zeisler, H.; Schlembach, D.; Stepan, H.; Küssel, L.; Henrich, W.; Galindo, A.; Verlohren, S. Maternal serum sFlt-1/PlGF ratio in twin pregnancies with and without pre-eclampsia in comparison with singleton pregnancies. Ultrasound Obstet. Gynecol. 2015, 45, 286–293. [Google Scholar] [CrossRef]
- Binder, J.; Palmrich, P.; Pateisky, P.; Kalafat, E.; Kuessel, L.; Zeisler, H.; Munkhbaatar, M.; Windsperger, K.; Thilaganathan, B.; Khalil, A. The Prognostic Value of Angiogenic Markers in Twin Pregnancies to Predict Delivery due to Maternal Complications of Preeclampsia. Hypertension 2020, 76, 176–183. [Google Scholar] [CrossRef]
- Hoffmann, J.; Ossada, V.; Weber, M.; Stepan, H. An intermediate sFlt-1/PlGF ratio indicates an increased risk for adverse pregnancy outcome. Pregnancy Hypertens. 2017, 10, 165–170. [Google Scholar] [CrossRef]
- Martínez-Varea, A.; Martínez-Sáez, C.; Domenech, J.; Desco-Blay, J.; Monfort-Pitarch, S.; Hueso, M.; Diago-Almela, V. sFlt-1/PlGF Ratio at 24 Weeks Gestation in Twin Pregnancies as a Predictor of Preeclampsia or Fetal Growth Restriction. Fetal Diagn. Ther. 2022, 49, 206–214. [Google Scholar] [CrossRef]
- Karge, A.; Seiler, A.; Flechsenhar, S.; Haller, B.; Ortiz, J.U.; Lobmaier, S.M.; Axt-Fliedner, R.; Enzensberger, C.; Abel, K.; Kuschel, B.; et al. Prediction of adverse perinatal outcome and the mean time until delivery in twin pregnancies with suspected pre-eclampsia using sFlt-1/PIGF ratio. Pregnancy Hypertens. 2021, 24, 37–43. [Google Scholar] [CrossRef]
- Rana, S.; Hacker, M.R.; Modest, A.M.; Salahuddin, S.; Lim, K.H.; Verlohren, S.; Perschel, F.H.; Karumanchi, S.A. Circulating angiogenic factors and risk of adverse maternal and perinatal outcomes in twin pregnancies with suspected preeclampsia. Hypertension 2012, 60, 451–458. [Google Scholar] [CrossRef]
- Ong, C.Y.T.; Liao, A.W.; Spencer, K.; Munim, S.; Nicolaides, K.H. First trimester maternal serum free beta human chorionic gonadotrophin and pregnancy associated plasma protein A as predictors of pregnancy complications. BJOG 2000, 107, 1265–1270. [Google Scholar] [CrossRef]
- Smith, G.C.S.; Stenhouse, E.J.; Crossley, J.A.; Aitken, D.A.; Cameron, A.D.; Michael Connor, J. Early pregnancy levels of pregnancy-associated plasma protein a and the risk of intrauterine growth restriction, premature birth, preeclampsia, and stillbirth. J. Clin. Endocrinol. Metab. 2002, 87, 1762–1767. [Google Scholar] [CrossRef]
- Dugoff, L.; Hobbins, J.C.; Malone, F.D.; Porter, T.F.; Luthy, D.; Comstock, C.H.; Hankins, G.; Berkowitz, R.L.; Merkatz, I.; Craigo, S.D.; et al. First-trimester maternal serum PAPP-A and free-beta subunit human chorionic gonadotropin concentrations and nuchal translucency are associated with obstetric complications: A population-based screening study (The FASTER Trial). Am. J. Obstet. Gynecol. 2004, 191, 1446–1451. [Google Scholar] [CrossRef]
- Melchiorre, K.; Wormald, B.; Leslie, K.; Bhide, A.; Thilaganathan, B. First-trimester uterine artery Doppler indices in term and preterm pre-eclampsia. Ultrasound Obstet. Gynecol. 2008, 32, 133–137. [Google Scholar] [CrossRef]
- Martin, A.M.; Bindra, R.; Curcio, P.; Cicero, S.; Nicolaides, K.H. Screening for pre-eclampsia and fetal growth restriction by uterine artery Doppler at 11–14 weeks of gestation. Ultrasound Obstet. Gynecol. 2001, 18, 583–586. [Google Scholar] [CrossRef]
- Ananth, C.V.; Peltier, M.R.; Chavez, M.R.; Kirby, R.S.; Getahun, D.; Vintzileos, A.M. Recurrence of ischemic placental disease. Obstet. Gynecol. 2007, 110, 128–133. [Google Scholar] [CrossRef]
- Ananth, C.V.; Vintzileos, A.M. Ischemic placental disease: Epidemiology and risk factors. Eur. J. Obstet. Gynecol. Reprod. Biol. 2011, 159, 77–82. [Google Scholar] [CrossRef]
- Ananth, C.V.; Peltier, M.R.; Kinzler, W.L.; Smulian, J.C.; Vintzileos, A.M. Chronic hypertension and risk of placental abruption: Is the association modified by ischemic placental disease? Am. J. Obstet. Gynecol. 2007, 197, 273.e1–273.e7. [Google Scholar] [CrossRef] [PubMed]
- Zeisler, H.; Llurba, E.; Chantraine, F.; Vatish, M.; Staff, A.C.; Sennström, M.; Olovsson, M.; Brennecke, S.P.; Stepan, H.; Allegranza, D.; et al. Predictive Value of the sFlt-1:PlGF Ratio in Women with Suspected Preeclampsia. N. Engl. J. Med. 2016, 374, 13–22. [Google Scholar] [CrossRef]
- Webster, K.; Fishburn, S.; Maresh, M.; Findlay, S.C.; Chappell, L.C. Diagnosis and management of hypertension in pregnancy: Summary of updated NICE guidance. BMJ 2019, 366, l5119. [Google Scholar] [CrossRef]
- Chaiworapongsa, T.; Chaemsaithong, P.; Yeo, L.; Romero, R. Pre-eclampsia part 1: Current understanding of its pathophysiology. Nat. Rev. Nephrol. 2014, 10, 466–480. [Google Scholar] [CrossRef]
- Figueras, F.; Gratacos, E. An integrated approach to fetal growth restriction. Best Pract. Res. Clin. Obstet. Gynaecol. 2017, 38, 48–58. [Google Scholar] [CrossRef]
- Khalil, A.; Rodgers, M.; Baschat, A.; Bhide, A.; Gratacos, E.; Hecher, K.; Kilby, M.D.; Lewi, L.; Nicolaides, K.H.; Oepkes, D.; et al. ISUOG Practice Guidelines: Role of ultrasound in twin pregnancy. Ultrasound Obstet. Gynecol. 2016, 47, 247–263. [Google Scholar] [CrossRef]
- Gómez, O.; Figueras, F.; Fernández, S.; Bennasar, M.; Martínez, J.M.; Puerto, B.; Gratacós, E. Reference ranges for uterine artery mean pulsatility index at 11–41 weeks of gestation. Ultrasound Obstet. Gynecol. 2008, 32, 128–132. [Google Scholar] [CrossRef]
- DeMers, D.; Wachs, D. Physiology, Mean Arterial Pressure. In StatPearls; StatPearls Publishing: Treasure Island, FL, USA, 2023. Available online: https://www.ncbi.nlm.nih.gov/books/NBK538226/ (accessed on 5 December 2023).
- The Fetal Medicine Foundation. Available online: https://fetalmedicine.org/research/assess/preeclampsia/background (accessed on 5 December 2023).
- Tan, M.Y.; Wright, D.; Syngelaki, A.; Akolekar, R.; Cicero, S.; Janga, D.; Singh, M.; Greco, E.; Wright, A.; Maclagan, K.; et al. Comparison of diagnostic accuracy of early screening for pre-eclampsia by NICE guidelines and a method combining maternal factors and biomarkers: Results of SPREE. Ultrasound Obstet. Gynecol. 2018, 51, 743–750. [Google Scholar] [CrossRef]
- Wright, D.; Syngelaki, A.; Akolekar, R.; Poon, L.C.; Nicolaides, K.H. Competing risks model in screening for preeclampsia by maternal characteristics and medical history. Am. J. Obstet. Gynecol. 2015, 213, 62.e1–62.e10. [Google Scholar] [CrossRef]
- Stepan, H.; Hund, M.; Andraczek, T. Combining Biomarkers to Predict Pregnancy Complications and Redefine Preeclampsia: The Angiogenic-Placental Syndrome. Hypertension 2020, 75, 918. [Google Scholar] [CrossRef]
- Benkő, Z.; Wright, A.; Rehal, A.; Cimpoca, B.; Syngelaki, A.; Delgado, J.L.; Tsokaki, T.; De Alvarado, M.; Vojtassakova, D.; Ntalianis, K.M.; et al. Prediction of pre-eclampsia in twin pregnancy by maternal factors and biomarkers at 11–13 weeks’ gestation: Data from EVENTS trial. Ultrasound Obstet. Gynecol. 2021, 57, 257–265. [Google Scholar] [CrossRef]
- Benkő, Z.; Chaveeva, P.; de Paco Matallana, C.; Zingler, E.; Wright, D.; Nicolaides, K.H. Revised competing-risks model in screening for pre-eclampsia in twin pregnancy by maternal characteristics and medical history. Ultrasound Obstet. Gynecol. 2019, 54, 617–624. [Google Scholar] [CrossRef]
- Herraiz, I.; Simón, E.; Gómez-Arriaga, P.I.; Quezada, M.S.; García-Burguillo, A.; López-Jiménez, E.A.; Galindo, A. Clinical implementation of the sFlt-1/PlGF ratio to identify preeclampsia and fetal growth restriction: A prospective cohort study. Pregnancy Hypertens. 2018, 13, 279–285. [Google Scholar] [CrossRef]
- Madar, H.; Goffinet, F.; Seco, A.; Rozenberg, P.; Dupont, C.; Deneux-Tharaux, C. Severe Acute Maternal Morbidity in Twin Compared with Singleton Pregnancies. Obstet. Gynecol. 2019, 133, 1141–1150. [Google Scholar] [CrossRef]
- De La Calle, M.; Delgado, J.L.; Verlohren, S.; Escudero, A.I.; Bartha, J.L.; Campillos, J.M.; De La Cruz, A.A.; Chantraine, F.; Hernández, J.G.; Herraiz, I.; et al. Gestational Age-Specific Reference Ranges for the sFlt-1/PlGF Immunoassay Ratio in Twin Pregnancies. Fetal Diagn. Ther. 2021, 48, 288–296. [Google Scholar] [CrossRef]
- Perales, A.; Delgado, J.L.; de la Calle, M.; García-Hernández, J.A.; Escudero, A.I.; Campillos, J.M.; Sarabia, M.D.; Laíz, B.; Duque, M.; Navarro, M.; et al. sFlt-1/PlGF for prediction of early-onset pre-eclampsia: STEPS (Study of Early Pre-eclampsia in Spain). Ultrasound Obstet. Gynecol. 2017, 50, 373–382. [Google Scholar] [CrossRef]
- Chappell, L.C.; Duckworth, S.; Seed, P.T.; Griffin, M.; Myers, J.; Mackillop, L.; Simpson, N.; Waugh, J.; Anumba, D.; Kenny, L.C.; et al. Diagnostic accuracy of placental growth factor in women with suspected preeclampsia: A prospective multicenter study. Circulation 2013, 128, 2121–2131. [Google Scholar] [CrossRef]
- Griffin, M.; Seed, P.T.; Duckworth, S.; North, R.; Myers, J.; Mackillop, L.; Simpson, N.; Waugh, J.; Anumba, D.; Kenny, L.C.; et al. Predicting delivery of a small-for-gestational-age infant and adverse perinatal outcome in women with suspected pre-eclampsia. Ultrasound Obstet. Gynecol. 2018, 51, 387–395. [Google Scholar] [CrossRef]
- Rana, S.; Schnettler, W.T.; Powe, C.; Wenger, J.; Salahuddin, S.; Cerdeira, A.S.; Verlohren, S.; Perschel, F.H.; Arany, Z.; Lim, K.-H.; et al. Clinical characterization and outcomes of preeclampsia with normal angiogenic profile. Hypertens. Pregnancy 2013, 32, 189–201. [Google Scholar] [CrossRef]
- Rana, S.; Powe, C.E.; Salahuddin, S.; Verlohren, S.; Perschel, F.H.; Levine, R.J.; Lim, K.-H.; Wenger, J.B.; Thadhani, R.; Karumanchi, S.A. Angiogenic factors and the risk of adverse outcomes in women with suspected preeclampsia. Circulation 2012, 125, 911–919. [Google Scholar] [CrossRef]
- Heimberger, S.; Mueller, A.; Ratnaparkhi, R.; Perdigao, J.L.; Rana, S. Angiogenic factor abnormalities and risk of peripartum complications and prematurity among urban predominantly obese parturients with chronic hypertension. Pregnancy Hypertens. 2020, 20, 124–130. [Google Scholar] [CrossRef]
- Faupel-Badger, J.M.; McElrath, T.F.; Lauria, M.; Houghton, L.C.; Lim, K.H.; Parry, S.; Cantonwine, D.; Lai, G.; Karumanchi, S.A.; Hoover, R.N.; et al. Maternal circulating angiogenic factors in twin and singleton pregnancies. Am. J. Obstet. Gynecol. 2015, 212, 636.e1–636.e8. [Google Scholar] [CrossRef]
Disclaimer/Publisher’s Note: The statements, opinions and data contained in all publications are solely those of the individual author(s) and contributor(s) and not of MDPI and/or the editor(s). MDPI and/or the editor(s) disclaim responsibility for any injury to people or property resulting from any ideas, methods, instructions or products referred to in the content. |
© 2024 by the authors. Licensee MDPI, Basel, Switzerland. This article is an open access article distributed under the terms and conditions of the Creative Commons Attribution (CC BY) license (https://creativecommons.org/licenses/by/4.0/).