Personalized Neuromodulation: A Novel Strategy for Improving Tinnitus Treatment
Abstract
1. Introduction
2. Materials and Methods
2.1. Patients
2.2. Study Procedures
2.3. Neuromodulation
2.4. Statistical Analyses
3. Results
3.1. Group Allocation and Side Effects
3.2. Patient Characteristics
3.3. Effects of the Treatments in Each Group
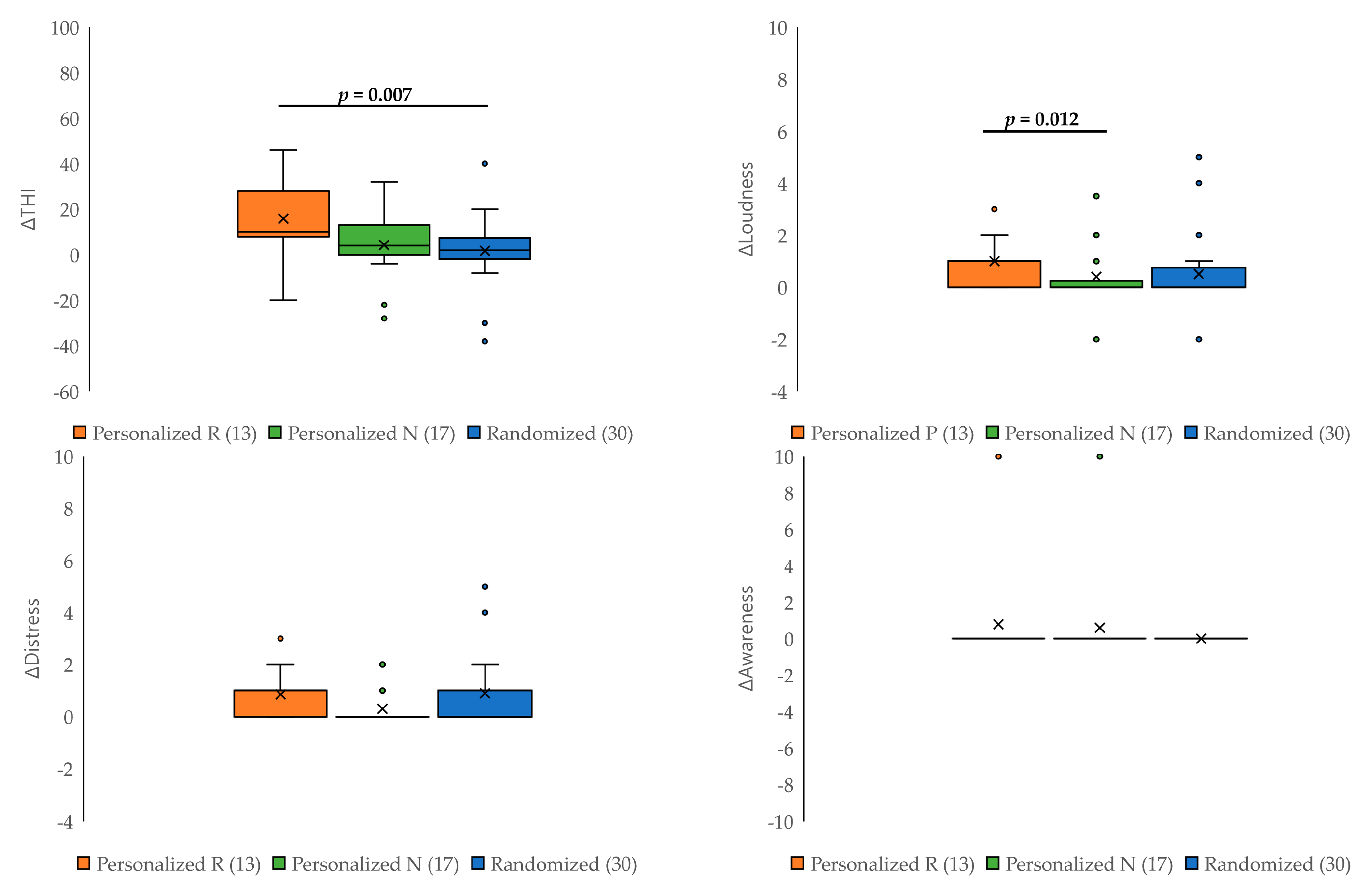
3.4. Comparisons of Changes in the Questionnaire Scores between Groups
3.5. Comparison of the Treatment Success Rates between Groups
3.6. Comparisons between Neuromodulation Modalities
4. Discussion
5. Conclusions
Author Contributions
Funding
Institutional Review Board Statement
Informed Consent Statement
Data Availability Statement
Acknowledgments
Conflicts of Interest
References
- De Ridder, D.; Schlee, W.; Vanneste, S.; Londero, A.; Weisz, N.; Kleinjung, T.; Shekhawat, G.S.; Elgoyhen, A.B.; Song, J.J.; Andersson, G.; et al. Tinnitus and tinnitus disorder: Theoretical and operational definitions (an international multidisciplinary proposal). Prog. Brain Res. 2021, 260, 1–25. [Google Scholar] [CrossRef] [PubMed]
- Simoes, J.P.; Daoud, E.; Shabbir, M.; Amanat, S.; Assouly, K.; Biswas, R.; Casolani, C.; Dode, A.; Enzler, F.; Jacquemin, L.; et al. Multidisciplinary Tinnitus Research: Challenges and Future Directions From the Perspective of Early Stage Researchers. Front. Aging Neurosci. 2021, 13, 647285. [Google Scholar] [CrossRef] [PubMed]
- Eggermont, J.J.; Roberts, L.E. The neuroscience of tinnitus: Understanding abnormal and normal auditory perception. Front. Syst. Neurosci. 2012, 6, 53. [Google Scholar] [CrossRef]
- Vanneste, S.; Plazier, M.; der Loo, E.; de Heyning, P.V.; Congedo, M.; De Ridder, D. The neural correlates of tinnitus-related distress. Neuroimage 2010, 52, 470–480. [Google Scholar] [CrossRef]
- Eggermont, J.J.; Roberts, L.E. The neuroscience of tinnitus. Trends Neurosci. 2004, 27, 676–682. [Google Scholar] [CrossRef] [PubMed]
- Mitchell, T.V.; Morey, R.A.; Inan, S.; Belger, A. Functional magnetic resonance imaging measure of automatic and controlled auditory processing. Neuroreport 2005, 16, 457–461. [Google Scholar] [CrossRef] [PubMed][Green Version]
- Voisin, J.; Bidet-Caulet, A.; Bertrand, O.; Fonlupt, P. Listening in silence activates auditory areas: A functional magnetic resonance imaging study. J. Neurosci. 2006, 26, 273–278. [Google Scholar] [CrossRef]
- Lefebvre-Demers, M.; Doyon, N.; Fecteau, S. Non-invasive neuromodulation for tinnitus: A meta-analysis and modeling studies. Brain Stimul. 2021, 14, 113–128. [Google Scholar] [CrossRef]
- Wang, T.C.; Tyler, R.S.; Chang, T.Y.; Chen, J.C.; Lin, C.D.; Chung, H.K.; Tsou, Y.A. Effect of Transcranial Direct Current Stimulation in Patients With Tinnitus: A Meta-Analysis and Systematic Review. Ann. Otol. Rhinol. Laryngol. 2018, 127, 79–88. [Google Scholar] [CrossRef]
- Carter, G.; Govindan, R.B.; Brown, G.; Heimann, C.; Hayes, H.; Thostenson, J.C.; Dornhoffer, J.; Brozoski, T.; Kimbrell, T.A.; Hayar, A.; et al. Change in EEG Activity is Associated with a Decrease in Tinnitus Awareness after rTMS. Front. Neurol. Neurosci. Res 2021, 2, 100010. [Google Scholar]
- Kim, E.; Kang, H.; Noh, T.S.; Oh, S.H.; Suh, M.W. Auditory cortex hyperconnectivity before rTMS is correlated with tinnitus improvement. Neurologia 2021, 38, 475–485. [Google Scholar] [CrossRef] [PubMed]
- Sahlsten, H.; Virtanen, J.; Joutsa, J.; Niinivirta-Joutsa, K.; Löyttyniemi, E.; Johansson, R.; Paavola, J.; Taiminen, T.; Sjösten, N.; Salonen, J.; et al. Electric field-navigated transcranial magnetic stimulation for chronic tinnitus: A randomized, placebo-controlled study. Int. J. Audiol. 2017, 56, 692–700. [Google Scholar] [CrossRef] [PubMed]
- Schoisswohl, S.; Agrawal, K.; Simoes, J.; Neff, P.; Schlee, W.; Langguth, B.; Schecklmann, M. RTMS parameters in tinnitus trials: A systematic review. Sci. Rep. 2019, 9, 12190. [Google Scholar] [CrossRef] [PubMed]
- Garin, P.; Gilain, C.; Van Damme, J.P.; de Fays, K.; Jamart, J.; Ossemann, M.; Vandermeeren, Y. Short- and long-lasting tinnitus relief induced by transcranial direct current stimulation. J. Neurol. 2011, 258, 1940–1948. [Google Scholar] [CrossRef]
- Cederroth, C.R.; Gallus, S.; Hall, D.A.; Kleinjung, T.; Langguth, B.; Maruotti, A.; Meyer, M.; Norena, A.; Probst, T.; Pryss, R.; et al. Editorial: Towards an Understanding of Tinnitus Heterogeneity. Front. Aging Neurosci. 2019, 11, 53. [Google Scholar] [CrossRef]
- Tyler, R.S.; Gogel, S.A.; Gehringer, A.K. Tinnitus activities treatment. Prog. Brain Res. 2007, 166, 425–434. [Google Scholar] [CrossRef]
- Schoisswohl, S.; Langguth, B.; Schecklmann, M. Short-Term Tinnitus Suppression With Electric-Field Guided rTMS for Individualizing rTMS Treatment: A Technical Feasibility Report. Front. Neurol. 2020, 11, 86. [Google Scholar] [CrossRef]
- Schoisswohl, S.; Langguth, B.; Hebel, T.; Abdelnaim, M.A.; Volberg, G.; Schecklmann, M. Heading for Personalized rTMS in Tinnitus: Reliability of Individualized Stimulation Protocols in Behavioral and Electrophysiological Responses. J. Pers. Med. 2021, 11, 536. [Google Scholar] [CrossRef]
- Schoisswohl, S.; Langguth, B.; Hebel, T.; Vielsmeier, V.; Abdelnaim, M.A.; Schecklmann, M. Personalization of Repetitive Transcranial Magnetic Stimulation for the Treatment of Chronic Subjective Tinnitus. Brain Sci. 2022, 12, 203. [Google Scholar] [CrossRef]
- Kreuzer, P.M.; Poeppl, T.B.; Rupprecht, R.; Vielsmeier, V.; Lehner, A.; Langguth, B.; Schecklmann, M. Individualized Repetitive Transcranial Magnetic Stimulation Treatment in Chronic Tinnitus? Front. Neurol. 2017, 8, 126. [Google Scholar] [CrossRef]
- Bae, S.H.; Moon, S.J.; Lee, J.G.; Yim, Y.K.; Oh, H.S.; Han, D.H.; Moon, I.S. Comparison of Treatment Outcome between Repetitive Transcranial Magnetic Stimulation (rTMS) and Transcutaneous Direct Current Stimulation (tDCS) in Intractable Tinnitus. J. Clin. Med. 2021, 10, 635. [Google Scholar] [CrossRef] [PubMed]
- Bae, E.B.; Lee, J.H.; Song, J.J. Single-Session of Combined tDCS-TMS May Increase Therapeutic Effects in Subjects With Tinnitus. Front. Neurol. 2020, 11, 160. [Google Scholar] [CrossRef] [PubMed]
- Newman, C.W.; Jacobson, G.P.; Spitzer, J.B. Development of the Tinnitus Handicap Inventory. Arch. Otolaryngol. Head Neck Surg. 1996, 122, 143–148. [Google Scholar] [CrossRef] [PubMed]
- Shin, S.H.; Byun, S.W.; Park, Y.; Lee, H.Y. The Tinnitus Handicap Inventory is a better indicator of the overall status of patients with tinnitus than the Numerical Rating Scale. Am. J. Otolaryngol. 2023, 44, 103719. [Google Scholar] [CrossRef]
- Kim, H.J.; Kim, D.Y.; Kim, H.I.; Oh, H.S.; Sim, N.S.; Moon, I.S. Long-term effects of repetitive transcranial magnetic stimulation in unilateral tinnitus. Laryngoscope 2014, 124, 2155–2160. [Google Scholar] [CrossRef]
- Rossi, S.; De Capua, A.; Ulivelli, M.; Bartalini, S.; Falzarano, V.; Filippone, G.; Passero, S. Effects of repetitive transcranial magnetic stimulation on chronic tinnitus: A randomised, crossover, double blind, placebo controlled study. J. Neurol. Neurosurg. Psychiatry 2007, 78, 857–863. [Google Scholar] [CrossRef]
- Galal, S.; Ismail, N.; Niel, G. A Systematic Review and Meta-analysis of Randomized Controlled Trials on the Effect of Transcranial Magnetic Stimulation on Tinnitus Management. Cent. Asian J. Glob. Health 2020, 9, e356. [Google Scholar] [CrossRef]
- Lehner, A.; Schecklmann, M.; Landgrebe, M.; Kreuzer, P.M.; Poeppl, T.B.; Frank, E.; Vielsmeier, V.; Kleinjung, T.; Rupprecht, R.; Langguth, B. Predictors for rTMS response in chronic tinnitus. Front. Syst. Neurosci. 2012, 6, 11. [Google Scholar] [CrossRef]
- Watson, N.; Schaper, F.; Jabbour, S.; Sadler, S.; Bain, P.A.; Fox, M.D.; Naples, J.G. Is There an Optimal Repetitive Transcranial Magnetic Stimulation Target to Treat Chronic Tinnitus? Otolaryngol. Head Neck Surg. 2023, 168, 300–306. [Google Scholar] [CrossRef]
- Yuan, T.; Yadollahpour, A.; Salgado-Ramírez, J.; Robles-Camarillo, D.; Ortega-Palacios, R. Transcranial direct current stimulation for the treatment of tinnitus: A review of clinical trials and mechanisms of action. BMC Neurosci. 2018, 19, 66. [Google Scholar] [CrossRef]
- Soleimani, R.; Jalali, M.M.; Hasandokht, T. Therapeutic impact of repetitive transcranial magnetic stimulation (rTMS) on tinnitus: A systematic review and meta-analysis. Eur. Arch. Otorhinolaryngol. 2016, 273, 1663–1675. [Google Scholar] [CrossRef] [PubMed]
- Song, J.J.; Vanneste, S.; Van de Heyning, P.; De Ridder, D. Transcranial direct current stimulation in tinnitus patients: A systemic review and meta-analysis. Sci. World J. 2012, 2012, 427941. [Google Scholar] [CrossRef] [PubMed]
- Shekhawat, G.S.; Stinear, C.M.; Searchfield, G.D. Transcranial direct current stimulation intensity and duration effects on tinnitus suppression. Neurorehabil. Neural Repair 2013, 27, 164–172. [Google Scholar] [CrossRef] [PubMed]
- Shekhawat, G.S.; Searchfield, G.D.; Stinear, C.M. Randomized Trial of Transcranial Direct Current Stimulation and Hearing Aids for Tinnitus Management. Neurorehabil. Neural Repair 2014, 28, 410–419. [Google Scholar] [CrossRef]
- Teismann, H.; Wollbrink, A.; Okamoto, H.; Schlaug, G.; Rudack, C.; Pantev, C. Combining transcranial direct current stimulation and tailor-made notched music training to decrease tinnitus-related distress--a pilot study. PLoS ONE 2014, 9, e89904. [Google Scholar] [CrossRef]
- Kim, W.S.; Paik, N.J. Safety Review for Clinical Application of Repetitive Transcranial Magnetic Stimulation. Brain Neurorehabil. 2021, 14, e6. [Google Scholar] [CrossRef] [PubMed]
- Matsumoto, H.; Ugawa, Y. Adverse events of tDCS and tACS: A review. Clin. Neurophysiol. Neurophysiol. Pract. 2017, 2, 19–25. [Google Scholar] [CrossRef]
- Kreuzer, P.M.; Poeppl, T.B.; Vielsmeier, V.; Schecklmann, M.; Langguth, B.; Lehner, A. The more the merrier? Preliminary results regarding treatment duration and stimulation frequency of multisite repetitive transcranial magnetic stimulation in chronic tinnitus. Prog. Brain Res. 2021, 262, 287–307. [Google Scholar] [CrossRef]
- Somani, A.; Kar, S.K. Efficacy of repetitive transcranial magnetic stimulation in treatment-resistant depression: The evidence thus far. Gen. Psychiatry 2019, 32, e100074. [Google Scholar] [CrossRef]
- Wang, H.; Wang, X.; Jin, J.; Zhang, W.; Li, Y.; Liu, Z.; Yin, T. Simultaneous stimulation using rTMS and tDCS produces the most effective modulation of motor cortical excitability in healthy subjects: A pilot study. Neurosci. Lett. 2019, 694, 46–50. [Google Scholar] [CrossRef]






| Personalized (n = 30) | Randomized (n = 30) | p-Value | |
|---|---|---|---|
| Demographic variables | |||
| Age | 52.8 (17.3) | 59.4 (11.8) | 0.09 |
| Sex: number of males/females | 11/19 | 14/16 | 0.60 |
| Pure tone average | |||
| Right | 19.0 (14.8) | 25.9 (23.8) | 0.18 |
| Left | 26.9 (25.6) | 27.0 (24.2) | 0.99 |
| <25 dB | n = 24/19 (R/L) | n = 16/18 (R/L) | |
| 25–40 dB | n = 4/7 (R/L) | n = 10/8 (R/L) | |
| 40–55 dB | n = 1/2 (R/L) | n = 2/2 (R/L) | |
| 55–70 dB | n = 0/0 (R/L) | n = 0/0 (R/L) | |
| 70–90 dB | n = 1/0 (R/L) | n = 1/1 (R/L) | |
| >90 dB | n = 0/2 (R/L) | n = 1/1 (R/L) | |
| Tinnitus characteristics | |||
| Tinnitus duration (months) | 24.4 (35.3) | 24.1 (32.6) | 0.97 |
| Matched loudness (dB SL) | 6.4 (4.5) | 6.4 (4.1) | 0.98 |
| Matched frequency (kHz) | 4.5 (3.2) | 5.1 (2.7) | 0.40 |
| Questionnaire scores | |||
| THI scores | 51.3 (22.3) | 40.2 (23.3) | 0.06 |
| NRS loudness | 6.1 (2.4) | 6.5 (1.8) | 0.43 |
| NRS distress | 6.2 (2.4) | 6.5 (1.7) | 0.54 |
| NRS awareness | 94.3 (11.9) | 97.7 (7.3) | 0.19 |
| Group | THI | Loudness | Distress | Awareness |
|---|---|---|---|---|
| p-Value | p-Value | p-Value | p-Value | |
| Personalized group | 0.002 * | 0.008 * | 0.001 * | 0.161 |
| Responder subgroup | 0.001 * | 0.005 * | 0.005 * | 0.337 |
| Non-responder subgroup | 0.239 | 0.382 | 0.056 | 0.332 |
| Randomized group | 0.530 | 0.002 * | 0.002 * | - |
| Total N | 60 | 60 | 60 | 60 |
Disclaimer/Publisher’s Note: The statements, opinions and data contained in all publications are solely those of the individual author(s) and contributor(s) and not of MDPI and/or the editor(s). MDPI and/or the editor(s) disclaim responsibility for any injury to people or property resulting from any ideas, methods, instructions or products referred to in the content. |
© 2023 by the authors. Licensee MDPI, Basel, Switzerland. This article is an open access article distributed under the terms and conditions of the Creative Commons Attribution (CC BY) license (https://creativecommons.org/licenses/by/4.0/).
Share and Cite
Jeon, S.Y.; Choi, J.H.; Kang, S.S.; An, Y.-H.; Shim, H.J. Personalized Neuromodulation: A Novel Strategy for Improving Tinnitus Treatment. J. Clin. Med. 2023, 12, 6987. https://doi.org/10.3390/jcm12226987
Jeon SY, Choi JH, Kang SS, An Y-H, Shim HJ. Personalized Neuromodulation: A Novel Strategy for Improving Tinnitus Treatment. Journal of Clinical Medicine. 2023; 12(22):6987. https://doi.org/10.3390/jcm12226987
Chicago/Turabian StyleJeon, Seung Yeon, Jung Ho Choi, Sun Seong Kang, Yong-Hwi An, and Hyun Joon Shim. 2023. "Personalized Neuromodulation: A Novel Strategy for Improving Tinnitus Treatment" Journal of Clinical Medicine 12, no. 22: 6987. https://doi.org/10.3390/jcm12226987
APA StyleJeon, S. Y., Choi, J. H., Kang, S. S., An, Y.-H., & Shim, H. J. (2023). Personalized Neuromodulation: A Novel Strategy for Improving Tinnitus Treatment. Journal of Clinical Medicine, 12(22), 6987. https://doi.org/10.3390/jcm12226987

