Growth Trajectories during the First 6 Years in Survivors Born at Less Than 25 Weeks of Gestation Compared with Those between 25 and 29 Weeks
Abstract
:1. Introduction
2. Materials and Methods
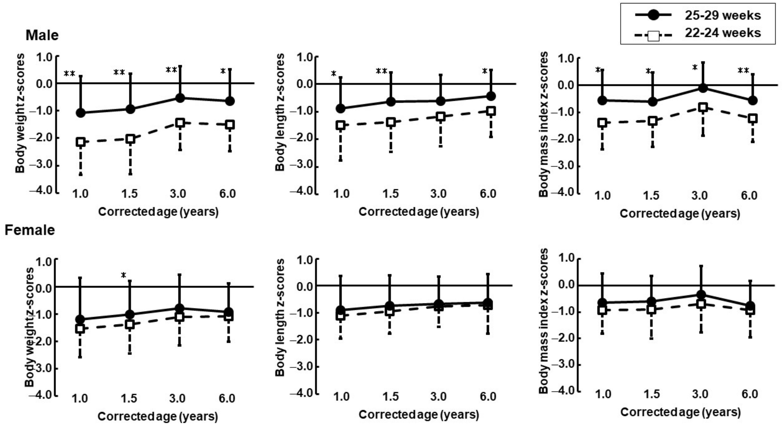
3. Results
4. Discussion
5. Conclusions
Supplementary Materials
Author Contributions
Funding
Institutional Review Board Statement
Informed Consent Statement
Conflicts of Interest
References
- Itabashi, K.; Horiuchi, T.; Kusuda, S.; Kabe, K.; Itani, Y.; Nakamura, T.; Fujimura, M.; Matsuo, M. Mortality rates for extremely low birth weight infants born in Japan in 2005. Pediatrics 2009, 123, 445–450. [Google Scholar] [CrossRef] [PubMed]
- Isayama, T. The clinical management and outcomes of extremely preterm infants in Japan: Past, present, and future. Transl. Pediatr. 2019, 8, 199–211. [Google Scholar] [CrossRef]
- Raju, T.N.; Mercer, B.M.; Burchfield, D.J.; Joseph, G.F. Periviable birth: Executive summary of a Joint Workshop by the Eunice Kennedy Shriver National Institute of Child Health and Human Development, Society for Maternal-Fetal Medicine, American Academy of Pediatrics, and American College of Obstetricians and Gynecologists. J. Perinatol. 2014, 34, 333–342. [Google Scholar] [PubMed]
- American College of Obstetricians and Gynecologists; Society for Maternal-Fetal Medicine. Obstetric Care consensus No. 6: Periviable Birth. Obstet. Gynecol. 2017, 130, e187–e199. [Google Scholar] [CrossRef]
- Hintz, S.R.; Kendrick, D.E.; Wilson-Costello, D.E.; Das, A.; Bell, E.F.; Vohr, B.R.; Higgins, R.D.; Network, N.N.R. Early-childhood neurodevelopmental outcomes are not improving for infants born at <25 weeks’ gestational age. Pediatrics 2011, 127, 62–70. [Google Scholar] [CrossRef] [PubMed] [Green Version]
- American College of Obstetricians and Gynecologists; Society for Maternal–Fetal Medicine; Ecker, J.L.; Kaimal, A.; Mercer, B.M.; Blackwell, S.C.; deRegnier, R.A.; Farrell, R.M.; Grobman, W.A.; Resnik, J.L.; et al. Periviable birth: Interim update. Am. J. Obstet. Gynecol. 2016, 215, B2–B12.e11. [Google Scholar] [CrossRef] [PubMed] [Green Version]
- Anderson, J.G.; Baer, R.J.; Partridge, J.C.; Kuppermann, M.; Franck, L.S.; Rand, L.; Jelliffe-Pawlowski, L.L.; Rogers, E.E. Survival and Major Morbidity of Extremely Preterm Infants: A Population-Based Study. Pediatrics 2016, 138, e20154434. [Google Scholar] [CrossRef] [Green Version]
- Kusuda, S.; Fujimura, M.; Sakuma, I.; Aotani, H.; Kabe, K.; Itani, Y.; Ichiba, H.; Matsunami, K.; Nishida, H. Morbidity and mortality of infants with very low birth weight in Japan: Center variation. Pediatrics 2006, 118, e1130–e1138. [Google Scholar] [CrossRef] [Green Version]
- Isayama, T.; Lee, S.K.; Mori, R.; Kusuda, S.; Fujimura, M.; Ye, X.Y.; Shah, P.S.; Canadian Neonatal Network; Neonatal Research Network of Japan. Comparison of mortality and morbidity of very low birth weight infants between Canada and Japan. Pediatrics 2012, 130, e957–e965. [Google Scholar] [CrossRef] [Green Version]
- Ofek Shlomai, N.; Reichman, B.; Lerner-Geva, L.; Boyko, V.; Bar-Oz, B. Population-based study shows improved postnatal growth in preterm very-low-birthweight infants between 1995 and 2010. Acta Paediatr. 2014, 103, 498–503. [Google Scholar] [CrossRef]
- Takayanagi, T.; Shichijo, A.; Egashira, M.; Egashira, T.; Mizukami, T. Extrauterine growth restriction was associated with short stature and thinness in very low birthweight infants at around six years of age. Acta Paediatr. 2019, 108, 112–117. [Google Scholar] [CrossRef] [PubMed]
- Itabashi, K.; Miura, F.; Uehara, R.; Nakamura, Y. New Japanese neonatal anthropometric charts for gestational age at birth. Pediatr. Int. 2014, 56, 702–708. [Google Scholar] [CrossRef] [PubMed]
- Kato, N.; Murata, M.; Kawano, M.; Taniguchi, T.; Ohtake, T. Growth standard for children from 0 up to 18 years of age. Shonihokenkenkyu 2004, 63, 345–348. (In Japanese) [Google Scholar]
- Software for BMI and BMI Percentile SDS. Available online: http://jspe.umin.jp/medical/chart_dl.html (accessed on 13 February 2022).
- Shoji, H.; Watanabe, A.; Awaji, A.; Ikeda, N.; Hosozawa, M.; Ohkawa, N.; Nishizaki, N.; Hisata, K.; Kantake, M.; Obinata, K.; et al. Intrauterine growth restriction affects z-scores of anthropometric parameters during the first 6 years in very low-birth-weight-children born at less than 30 weeks of gestation. J. Dev. Orig. Health Dis. 2020, 11, 44–48. [Google Scholar] [CrossRef]
- Murano, Y.; Shoji, H.; Ikeda, N.; Okawa, N.; Hayashi, K.; Kantake, M.; Morisaki, N.; Shimizu, T.; Gilmour, S. Analysis of Factors Associated with Body Mass Index at Ages 18 and 36 Months Among Infants Born Extremely Preterm. JAMA Netw. Open 2021, 4, e2128555. [Google Scholar] [CrossRef] [PubMed]
- Ramirez-Velez, R.; Correa-Bautista, J.E.; Villa-Gonzalez, E.; Martinez-Torres, J.; Hackney, A.C.; Garcia-Hermoso, A. Effects of preterm birth and fetal growth retardation on life-course cardiovascular risk factors among schoolchildren from Colombia: The FUPRECOL study. Early Hum. Dev. 2017, 106–107, 53–58. [Google Scholar] [CrossRef] [PubMed]
- Ou-Yang, M.C.; Sun, Y.; Liebowitz, M.; Chen, C.C.; Fang, M.L.; Dai, W.; Chuang, T.W.; Chen, J.L. Accelerated weight gain, prematurity, and the risk of childhood obesity: A meta-analysis and systematic review. PLoS ONE 2020, 15, e0232238. [Google Scholar] [CrossRef] [PubMed]
- Vasylyeva, T.L.; Barche, A.; Chennasamudram, S.P.; Sheehan, C.; Singh, R.; Okogbo, M.E. Obesity in prematurely born children and adolescents: Follow up in pediatric clinic. Nutr. J. 2013, 12, 150. [Google Scholar] [CrossRef] [Green Version]
- Bracewell, M.A.; Hennessy, E.M.; Wolke, D.; Marlow, N. The EPICure study: Growth and blood pressure at 6 years of age following extremely preterm birth. Arch. Dis. Child. Fetal Neonatal Ed. 2008, 93, F108–F114. [Google Scholar] [CrossRef]
- Farooqi, A.; Hagglof, B.; Sedin, G.; Gothefors, L.; Serenius, F. Growth in 10- to 12-year-old children born at 23 to 25 weeks’ gestation in the 1990s: A Swedish national prospective follow-up study. Pediatrics 2006, 118, e1452–e1465. [Google Scholar] [CrossRef]
- Wood, N.S.; Costeloe, K.; Gibson, A.T.; Hennessy, E.M.; Marlow, N.; Wilkinson, A.R. The EPICure study: Growth and associated problems in children born at 25 weeks of gestational age or less. Arch. Dis. Child.-Fetal Neonatal Ed. 2003, 88, F492–F500. [Google Scholar] [CrossRef] [PubMed] [Green Version]
- Kytnarova, J.; Zlatohlavkova, B.; Kubena, A.; Markova, D.; Dokoupilova, M.; Plavka, R.; Zeman, J. Post-natal growth of 157 children born as extremely premature neonates. J. Paediatr. Child Health 2011, 47, 111–116. [Google Scholar] [PubMed]
- Gianni, M.L.; Roggero, P.; Piemontese, P.; Morlacchi, L.; Bracco, B.; Taroni, F.; Garavaglia, E.; Mosca, F. Boys who are born preterm show a relative lack of fat-free mass at 5 years of age compared to their peers. Acta Paediatr. 2015, 104, e119–e123. [Google Scholar] [CrossRef] [PubMed]
- Johnson, M.J.; Wootton, S.A.; Leaf, A.A.; Jackson, A.A. Preterm birth and body composition at term equivalent age: A systematic review and meta-analysis. Pediatrics 2012, 130, e640–e649. [Google Scholar] [CrossRef] [Green Version]
- Hack, M.; Schluchter, M.; Cartar, L.; Rahman, M.; Cuttler, L.; Borawski, E. Growth of very low birth weight infants to age 20 years. Pediatrics 2003, 112, e30–e38. [Google Scholar] [CrossRef] [Green Version]


| Male | Female | ||||
|---|---|---|---|---|---|
| 22–24 Weeks | 25–29 Weeks | 22–24 Weeks | 25–29 Weeks | ||
| n | 16 | 84 | 28 | 59 | |
| At birth | Gestational age (weeks) | 24.2 ± 0.6 | 27.6 ± 1.5 ** | 24.0 ± 0.6 | 27.7 ± 1.5 ** |
| BW (g) | 635.4 ± 127.3 | 936.6 ± 250.7 ** | 605.2 ± 93.0 | 878.3 ± 268.4 ** | |
| Z-scores for BW 1 | −0.4 ± 1.2 | −1.0 ± 1.2 | −0.0 ± 0.8 | −1.2 ± 1.3 ** | |
| BL (cm) | 29.7 ± 2.2 | 34.6 ± 3.0 ** | 29.7 ± 1.7 | 34.0 ± 3.7 ** | |
| Z-scores for BL 1 | −0.3 ± 0.9 | −0.4 ± 1.1 | −0.2 ± 0.7 | −0.8 ± 1.2 ** | |
| Ponderal index (g/cm3) | 2.4 ± 0.2 | 2.2 ± 0.2 ** | 2.3 ± 0.2 | 2.2 ± 0.2 * | |
| 1-year CA | CA (mo) | 12.3 ± 1.1 | 12.6 ± 1.7 | 11.7 ± 1.4 | 12.4 ± 1.8 |
| BW (kg) | 7.6 ± 0.9 | 8.6 ± 1.2 ** | 7.5 ± 0.8 | 7.9 ± 1.2 | |
| Z-scores for BW 2 | −2.1 ± 1.2 | −1.1 ± 1.3 * | −1.5 ± 1.0 | −1.2 ± 1.4 | |
| BL (cm) | 71.4 ± 3.6 | 73.2 ± 3.4 | 70.2 ± 2.5 | 71.5 ± 3.8 | |
| Z-scores for BL 2 | −1.5 ± 1.3 | −0.9 ± 1.1 * | −1.1 ± 0.8 | −0.9 ± 1.3 * | |
| BMI (kg/m2) | 14.9 ± 1.2 | 15.9 ± 1.4 | 15.1 ± 1.2 | 15.4 ± 1.4 | |
| Z-scores for BMI 2 | −1.4 ± 1.0 | −0.6 ± 1.1 * | −0.9 ± 0.9 | −0.7 ± 1.1 | |
| 1.5-year CA | CA (mo) | 17.8 ± 1.4 | 18.0 ± 1.7 * | 17.6 ± 2.1 | 18.0 ± 1.8 |
| BW (kg) | 8.6 ± 1.1 | 9.6 ± 1.3 ** | 8.6 ± 1.0 | 9.0 ± 1.1 * | |
| Z-scores for BW 2 | −2.0 ± 1.3 | −0.9 ± 1.3 ** | −1.4 ± 1.1 | −1.0 ± 1.2 * | |
| BL (cm) | 76.5 ± 3.6 | 78.7 ± 3.3 | 76.3 ± 2.8 | 77.3 ± 3.5 | |
| Z-scores for BL 2 | −1.4 ± 1.0 | −0.6 ± 1.1 ** | −1.0 ± 0.8 | −0.8 ± 1.1 * | |
| BMI (kg/m2) | 14.6 ± 1.1 | 15.4 ± 1.3 * | 14.7 ± 1.3 | 15.0 ± 1.2 | |
| Z-scores for BMI 2 | −1.3 ± 1.0 | −0.6 ± 1.1 * | −0.9 ± 1.1 | −0.6 ± 1.0 | |
| 3-year CA | CA (mo) | 33.4 ± 1.5 | 34.5 ± 2.1 | 33.7 ± 2.5 | 34.1 ± 1.6 |
| BW (kg) | 11.3 ± 1.1 | 12.7 ± 1.7 ** | 11.4 ± 1.3 | 11.9 ± 1.6 | |
| Z-scores for BW 2 | −1.4 ± 1.0 | −0.5 ± 1.2 ** | −1.1 ± 1.0 | −0.8 ± 1.2 | |
| BL (cm) | 87.8 ± 3.7 | 90.3 ± 3.7 ** | 88.2 ± 3.0 | 88.8 ± 3.5 | |
| Z-scores for BL 2 | −1.2 ± 1.1 | −0.6 ± 0.9 | −0.8 ± 0.8 | −0.7 ± 1.0 | |
| BMI (kg/m2) | 14.7 ± 1.1 | 15.5 ± 1.3 * | 14.6 ± 1.3 | 15.0 ± 1.3 | |
| Z-scores for BMI 2 | −0.8 ± 1.0 | −0.1 ± 1.2 * | −0.7 ± 1.1 | −0.3 ± 1.1 | |
| 6-year CA | CA (mo) | 70.3 ± 3.3 | 69.8 ± 4.3 | 70.7 ± 2.4 | 70.1 ± 3.4 |
| BW (kg) | 16.3 ± 1.7 | 18.1 ± 2.8 * | 16.9 ± 2.1 | 17.2 ± 2.4 | |
| Z-scores for BW 2 | −1.5 ± 1.0 | −0.6 ± 1.1 * | −1.1 ± 0.9 | −0.9 ± 1.0 | |
| BL (cm) | 107.7 ± 4.1 | 110.0 ± 4.9 * | 108.7 ± 5.1 | 108.8 ± 4.8 | |
| Z-scores for BL 2 | −1.0 ± 0.9 | −0.4 ± 0.9 * | −0.7 ± 1.0 | −0.6 ± 1.1 | |
| BMI (kg/m2) | 14.0 ± 1.0 | 14.9 ± 1.5 ** | 14.2 ± 1.3 | 14.4 ± 1.2 | |
| Z-scores for BMI 2 | −1.2 ± 0.9 | −0.6 ± 1.2 ** | −0.9 ± 1.0 | −0.8 ± 0.9 | |
| Male | Female | |||||
|---|---|---|---|---|---|---|
| Coefficient | p | 95% CI | Coefficient | p | 95% CI | |
| CA 1 year | ||||||
| Small for gestational age | 1.033 | 0.000 | 0.469–1.597 | 1.128 | 0.002 | 0.441–1.814 |
| Gestational age (group) | 1.358 | 0.000 | 0.663–2.054 | 0.737 | 0.030 | 0.073–1.400 |
| Constant | −3.113 | −3.927–−2.299 | −2.624 | −3.458–−1.789 | ||
| CA 1.5 year | ||||||
| Small for gestational age | 1.134 | 0.000 | 0.605–1.664 | 0.956 | 0.001 | 0.386–1.526 |
| Gestational age (group) | 1.410 | 0.000 | 0.748–2.072 | 0.695 | 0.012 | 0.158–1.233 |
| Constant | −3.089 | −3.861–−2.317 | −2.312 | −3.000–−1.624 | ||
| CA 3 year | ||||||
| Small for gestational age | 0.952 | 0.000 | 0.483–1.421 | 0.736 | 0.014 | 0.153–1.319 |
| Gestational age (group) | 1.157 | 0.000 | 0.571–1.743 | 0.574 | 0.043 | 0.0185–1.1302 |
| Constant | −2.319 | −3.003–−1.636 | −1.824 | −2.531–1.116 | ||
| CA 6 year | ||||||
| Small for gestational age | 0.890 | 0.000 | 0.424–1.357 | 0.479 | 0.071 | −0.042–0.999 |
| Gestational age (group) | 1.113 | 0.000 | 0.530–1.695 | 0.320 | 0.198 | −0.171–0.812 |
| Constant | −2.335 | −3.014–−1.655 | −1.558 | −2.186–0.930 | ||
| Male | Female | |||||
|---|---|---|---|---|---|---|
| Coefficient | p | 95% CI | Coefficient | p | 95% CI | |
| CA 1 year | ||||||
| Small for gestational age | 0.705 | 0.006 | 0.204–1.207 | 1.038 | 0.000 | 0.478–1.597 |
| Gestational age (group) | 0.797 | 0.012 | 0.178–1.416 | 0.574 | 0.038 | 0.034–1.114 |
| Constant | −2.146 | −2.870–−1.423 | −2.112 | −2.792–−1.433 | ||
| CA 1.5 year | ||||||
| Small for gestational age | 0.619 | 0.009 | 0.158–1.079 | 0.809 | 0.002 | 0.297–1.321 |
| Gestational age (group) | 0.915 | 0.002 | 0.339–1.490 | 0.475 | 0.054 | −0.008–0.958 |
| Constant | −1.966 | −2.637–−1.296 | −1.732 | −2.350–−1.114 | ||
| CA 3 year | ||||||
| Small for gestational age | 0.433 | 0.045 | 0.010–0.857 | 0.548 | 0.024 | 0.074–1.022 |
| Gestational age (group) | 0.680 | 0.012 | 0.151–1.209 | 0.291 | 0.204 | −0.161–0.743 |
| Constant | −1.587 | −2.204–−0.971 | −1.300 | −1.874–−0.724 | ||
| CA 6 year | ||||||
| Small for gestational age | 0.488 | 0.020 | 0.078–0.898 | 0.392 | 0.153 | −0.148–0.932 |
| Gestational age (group) | 0.678 | 0.010 | 0.166–1.191 | 0.232 | 0.368 | −0.278–0.741 |
| Constant | −1.437 | −2.035–−0.840 | −1.097 | −1.749–−0.445 | ||
| Male | Female | |||||
|---|---|---|---|---|---|---|
| Coefficient | p | 95% CI | Coefficient | p | 95% CI | |
| CA 1 year | ||||||
| Small for gestational age | 0.716 | 0.003 | 0.246–1.186 | 0.443 | 0.109 | −0.101–0.988 |
| Gestational age (group) | 1.033 | 0.001 | 0.453–1.612 | 0.426 | 0.111 | −0.100–0.951 |
| Constant | −2.064 | −2.742–−1.385 | −1.353 | −2.014–0.692 | ||
| CA 1.5 year | ||||||
| Small for gestational age | 0.867 | 0.000 | 0.416–1.317 | 0.431 | 0.103 | −0.089–0.951 |
| Gestational age (group) | 0.943 | 0.001 | 0.380–1.507 | 0.435 | 0.082 | −0.056–0.925 |
| Constant | −2.121 | −2.778–−1.464 | −1.311 | −1.938–−0.683 | ||
| CA 3 year | ||||||
| Small for gestational age | 0.943 | 0.000 | 0.470–1.416 | 0.499 | 0.075 | −0.052–1.050 |
| Gestational age (group) | 0.968 | 0.002 | 0.378–1.559 | 0.525 | 0.050 | −0.000–1.051 |
| Constant | −1.693 | −2.381–−1.005 | −1.179 | −1.847–−0.510 | ||
| CA 6 year | ||||||
| Small for gestational age | 0.903 | 0.001 | 0.401–1.405 | 0.304 | 0.224 | −0.189–0.798 |
| Gestational age (group) | 0.926 | 0.004 | 0.299–1.554 | 0.268 | 0.257 | −0.198–0.734 |
| Constant | −2.077 | −2.809–−1.345 | −1.219 | −1.815–−0.623 | ||
Publisher’s Note: MDPI stays neutral with regard to jurisdictional claims in published maps and institutional affiliations. |
© 2022 by the authors. Licensee MDPI, Basel, Switzerland. This article is an open access article distributed under the terms and conditions of the Creative Commons Attribution (CC BY) license (https://creativecommons.org/licenses/by/4.0/).
Share and Cite
Shoji, H.; Murano, Y.; Nojiri, S.; Arai, Y.; Awata, K.; Ikeda, N.; Ohkawa, N.; Nishizaki, N.; Suganuma, H.; Hisata, K.; et al. Growth Trajectories during the First 6 Years in Survivors Born at Less Than 25 Weeks of Gestation Compared with Those between 25 and 29 Weeks. J. Clin. Med. 2022, 11, 1418. https://doi.org/10.3390/jcm11051418
Shoji H, Murano Y, Nojiri S, Arai Y, Awata K, Ikeda N, Ohkawa N, Nishizaki N, Suganuma H, Hisata K, et al. Growth Trajectories during the First 6 Years in Survivors Born at Less Than 25 Weeks of Gestation Compared with Those between 25 and 29 Weeks. Journal of Clinical Medicine. 2022; 11(5):1418. https://doi.org/10.3390/jcm11051418
Chicago/Turabian StyleShoji, Hiromichi, Yayoi Murano, Shuko Nojiri, Yoshiteru Arai, Kentaro Awata, Naho Ikeda, Natsuki Ohkawa, Naoto Nishizaki, Hiroki Suganuma, Ken Hisata, and et al. 2022. "Growth Trajectories during the First 6 Years in Survivors Born at Less Than 25 Weeks of Gestation Compared with Those between 25 and 29 Weeks" Journal of Clinical Medicine 11, no. 5: 1418. https://doi.org/10.3390/jcm11051418
APA StyleShoji, H., Murano, Y., Nojiri, S., Arai, Y., Awata, K., Ikeda, N., Ohkawa, N., Nishizaki, N., Suganuma, H., Hisata, K., Kantake, M., Obinata, K., & Shimizu, T. (2022). Growth Trajectories during the First 6 Years in Survivors Born at Less Than 25 Weeks of Gestation Compared with Those between 25 and 29 Weeks. Journal of Clinical Medicine, 11(5), 1418. https://doi.org/10.3390/jcm11051418

