Breast Cancer and Atrial Fibrillation
Abstract
:1. Introduction
2. Materials and Methods
2.1. Search Strategy
2.2. Selection Criteria
2.3. Endpoints and Definitions
2.4. Assessment of the Risk of Bias
2.5. Statistical Analysis
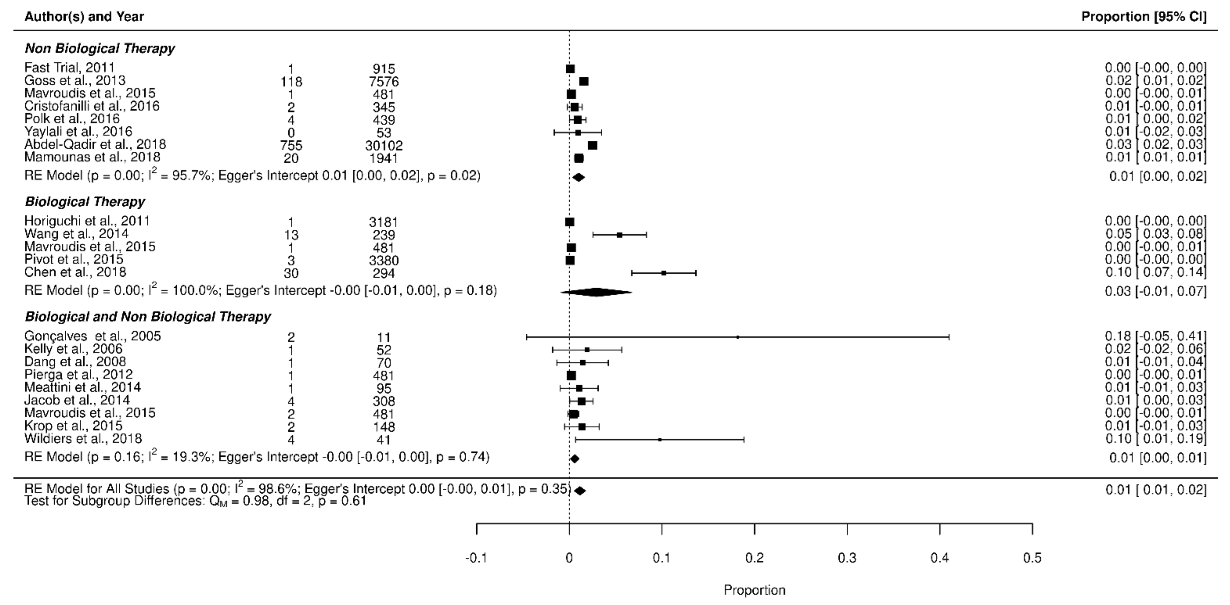
3. Results
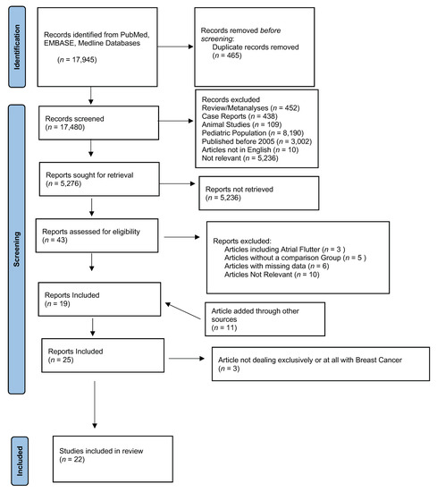
3.1. Search Results and Characteristics of the Studies
3.2. AF following Breast Cancer
3.3. AF and Anti-Cancer Therapy
3.4. AF in Early vs. Metastatic Breast Cancer
4. Discussion
Clinical Implications
5. Conclusions
Supplementary Materials
Author Contributions
Funding
Conflicts of Interest
References
- Yuan, M.; Zhang, Z.; Tse, G.; Feng, X.; Korantzopoulos, P.; Letsas, K.P.; Yan, B.P.; Wu, W.K.K.; Zhang, H.; Li, G.; et al. Association of Cancer and the Risk of Developing Atri-al Fibrillation: A Systematic Review and Meta-Analysis. Cardiol. Res. Pract. 2019, 2019, 8985273. [Google Scholar] [CrossRef] [PubMed]
- Hindricks, G.; Potpara, T.; Dagres, N.; Arbelo, E.; Bax, J.J.; Blomström-Lundqvist, C.; Boriani, G.; Castella, M.; Dan, G.; Dilaveris, P.E.; et al. 2020 ESC Guidelines for the diagnosis and management of atrial fibrillation developed in collaboration with the European Association of Cardio-Thoracic Surgery (EACTS). Eur. Heart J. 2020, 2, 373–498. [Google Scholar]
- Jakobsen, C.B.; Lamberts, M.; Carlson, N.; Lock-Hansen, M.; Torp-Pedersen, C.; Gislason, G.H.; Schou, M. Incidence of atrial fibrillation in different major cancer subtypes: A Nationwide population-based 12 year follow up study. BMC Cancer 2019, 19, 1105. [Google Scholar] [CrossRef] [PubMed]
- Conen, D.; Wong, J.A.; Sandhu, R.K.; Cook, N.R.; Lee, I.-M.; Buring, J.E.; Albert, C. Risk of Malignant Cancer Among Women with New-Onset Atrial Fibrillation. JAMA Cardiol. 2016, 1, 389–396. [Google Scholar] [CrossRef] [PubMed] [Green Version]
- Farmakis, D.; Parissis, J.; Filippatos, G. Insights into onco-cardiology: Atrial fibrillation in cancer. J. Am. Coll. Cardiol. 2014, 63, 945–953. [Google Scholar] [CrossRef] [PubMed] [Green Version]
- Cheng, W.-L.; Kao, Y.-H.; Chen, S.-A.; Chen, Y.-J. Pathophysiology of cancer therapy-provoked atrial fibrillation. Int. J. Cardiol. 2016, 219, 186–194. [Google Scholar] [CrossRef]
- Sanz, A.P.; Gómez, J.L.Z. AF in Cancer Patients: A Different Need for Anticoagulation? Eur. Cardiol. Rev. 2019, 14, 65–67. [Google Scholar] [CrossRef] [Green Version]
- Harbeck, N.; Gnant, M. Breast cancer. Lancet 2017, 389, 1134–1150. [Google Scholar] [CrossRef]
- Gulati, M.; Mulvagh, S.L. The connection between the breast and heart in a woman: Breast cancer and cardiovascular disease. Clin. Cardiol. 2018, 41, 253–257. [Google Scholar] [CrossRef]
- D’Souza, M.; Smedegaard, L.; Madelaire, C.; Nielsen, D.; Torp-Pedersen, C.; Gislason, G.; Schou, M.; Fosbøl, E. Incidence of atrial fibrillation in conjunction with breast cancer. Heart Rhythm. 2019, 16, 343–348. [Google Scholar] [CrossRef]
- Zopf, Y.; Rabe, C.; Neubert, A.; Gaßmann, K.G.; Rascher, W.; Hahn, E.G.; Brune, K.; Dormann, H. Women encounter ADRs more often than do men. Eur. J. Clin. Pharmacol. 2008, 64, 999–1004. [Google Scholar] [CrossRef] [PubMed]
- Yaylali, Y.T.; Saricopur, A.; Yurtdas, M.; Senol, H.; Gokoz-Dogu, G. Atrial Function in Patients with Breast Cancer After Treatment with Anthracyclines. Arq. Bras. Cardiol. 2016, 107, 411–419. [Google Scholar] [CrossRef] [PubMed]
- Mery, B.; Guichard, J.-B.; Guy, J.-B.; Vallard, A.; Barthelemy, J.-C.; Da Costa, A.; Magné, N.; Bertoletti, L. Atrial fibrillation in cancer patients: Hindsight, insight and foresight. Int. J. Cardiol. 2017, 240, 196–202. [Google Scholar] [CrossRef]
- Alexandre, J.; Salem, J.-E.; Moslehi, J.; Sassier, M.; Ropert, C.; Cautela, J.; Thuny, F.; Ederhy, S.; Cohen, A.; Damaj, G.; et al. Identification of anticancer drugs associated with atrial fibrillation: Analysis of the WHO pharmacovigilance database. Eur. Heart J. Cardiovasc. Pharmacother. 2021, 7, 312–320. [Google Scholar] [CrossRef]
- Kim, C.H.; Al-Kindi, S.G.; Oliveira, G.H. Atrial Fibrillation and Cancer—Validation in the Real World. JAMA Cardiol. 2017, 2, 343–344. [Google Scholar] [CrossRef] [PubMed]
- Erichsen, R.; Christiansen, C.F.; Mehnert, F.; Weiss, N.S.; Baron, J.A.; Sørensen, H.T. Colorectal cancer and risk of atrial fibrillation and flutter: A population-based case–control study. Intern. Emerg. Med. 2011, 7, 431–438. [Google Scholar] [CrossRef] [PubMed]
- Increased Risk of Atrial Fibrillation in Women with Breast Cancer. Oncol. Times 2019, 41, 20. [CrossRef]
- Darby, S.C.; Cutter, D.J.; Boerma, M.; Constine, L.S.; Fajardo, L.F.; Kodama, K.; Mabuchi, K.; Marks, L.B.; Mettler, F.A.; Pierce, L.J.; et al. Radiation-Related Heart Disease: Current Knowledge and Future Prospects. Int. J. Radiat. Oncol. 2010, 76, 656–665. [Google Scholar] [CrossRef] [Green Version]
- Cardinale, D.; Colombo, A.; Torrisi, R.; Sandri, M.T.; Civelli, M.; Salvatici, M.; Lamantia, G.; Colombo, N.; Cortinovis, S.; Dessanai, M.A.; et al. Trastuzumab-Induced Cardiotoxicity: Clinical and Prognostic Implications of Troponin I Evaluation. J. Clin. Oncol. 2010, 28, 3910–3916. [Google Scholar] [CrossRef]
- Shan, K.; Lincoff, A.M.; Young, J.B. Anthracycline-induced cardiotoxicity. Ann. Intern. Med. 1997, 126, 827–828. [Google Scholar] [CrossRef]
- Abdel-Qadir, H.; Thavendiranathan, P.; Fung, K.; Amir, E.; Austin, P.C.; Anderson, G.S.; Lee, D.S. Association of Early-Stage Breast Cancer and Subsequent Chemotherapy with Risk of Atrial Fibrillation. JAMA Network Open. 2019, 2, e1911838. [Google Scholar] [CrossRef] [PubMed] [Green Version]
- Guzzetti, S.; Costantino, G.; Vernocchi, A.; Sada, S.; Fundarò, C. First diagnosis of colorectal or breast cancer and prevalence of atrial fibrillation. Intern. Emerg. Med. 2008, 3, 227–231. [Google Scholar] [CrossRef] [PubMed]
- Liberati, A.; Altman, D.G.; Tetzlaff, J.; Mulrow, C.; Gøtzsche, P.C.; Ioannidis, J.P.; Ioannidis, J.P.A.; Clarke, M.; Devereaux, P.J.; Kleijnen, J.; et al. The PRISMA statement for reporting systematic reviews and meta-analyses of studies that evaluate health care interventions: Explanation and elaboration. J. Clin. Epidemiol. 2009, 62, e1–e34. [Google Scholar] [CrossRef] [Green Version]
- Brierley, J.D.; Gospodarowicz, M.K.; Wittekind, C. TNM Classification of Malignant Tumours, 8th ed.; Wiley-Blackwell: Oxford, UK; Hoboken, NJ, USA, 2017. [Google Scholar]
- Higgins, J.P.; Thomas, J.; Chandler, J.; Cumpston, M.; Li, T.; Page, M.J.; Welch, V. Cochrane Handbook for Systematic Reviews of Interventions; John Wiley & Sons: Hoboken, NJ, USA, 2019. [Google Scholar]
- Jüni, P.; Loke, Y.; Pigott, T.; Ramsay, C.; Regidor, D.; Rothstein, H.; Sandhu, L.; Santaguida, P.L.; Schünemann, H.J.; Shea, B. Risk of Bias in Non-Randomized Studies of Interventions (ROBINS-I): Detailed Guidance. 2016. Available online: http://www.riskofbias.info (accessed on 1 January 2022).
- Afzal, M.R.; Samanta, A.; Chatta, J.; Ansari, B.; Atherton, S.; Sabzwari, S.; Turagam, M.; Lakkireddy, D.; Houmsse, M.; Houmsse, M. Adjunctive ablation strategies improve the efficacy of pulmonary vein isolation in non-paroxysmal atrial fibrillation: A systematic review and meta-analysis. Expert Rev. Cardiovasc. Ther. 2017, 15, 227–235. [Google Scholar] [CrossRef] [PubMed]
- McGuinness, L.A.; Higgins, J.P. Risk-of-bias VISualization (robvis): An R package and Shiny web app for visualizing risk-of-bias assessments. Res. Synth. Methods 2020, 12, 55–61. [Google Scholar] [CrossRef] [PubMed]
- Wyse, D.G. The Atrial Fibrillation Follow-up Investigation of Rhythm Management (AFFIRM) Investigators: A Comparison of Rate Control and Rhythm Control in Patients with Atrial Fibrillation. N. Engl. J. Med. 2002, 347, 1825–1833. [Google Scholar] [PubMed]
- Chalazan, B.; Lentz, R.; McCauley, M.; Kolek, M.; Farber-Eger, E.; Wells, Q.; Moslehi, J.; Darbar, D. Chemotherapy Treatment Increases the Risk of Developing Atrial Fibrillation in Breast Cancer. Circulation 2016, 134 (Suppl. S1), A20758. [Google Scholar]
- Chen, J.; Long, J.; Hurria, A.; Owusu, C.; Steingart, R.; Gross, C. Early termination of adjuvant trastuzumab associated with cardiovascular events in older women with breast cancer. Am. Heart Assoc. 2012, 126, A18979. [Google Scholar]
- Dang, C.; Fornier, M.; Sugarman, S.; Troso-Sandoval, T.; Lake, D.; D’Andrea, G.; Seidman, A.; Sklarin, N.; Dickler, M.; Currie, V.; et al. The safety of dose-dense doxorubicin and cy-clophosphamide followed by paclitaxel with trastuzumab in HER-2/neu overexpressed/amplified breast cancer. J. Clin. Oncol. 2008, 26, 1216–1222. [Google Scholar] [CrossRef]
- Goncalves, A.; Braud, A.; Viret, F.; Tarpin, C.; Charaffe-Jauffret, E.; Jacquemier, J.; Seidman, A.; Sklarin, N.; Dickler, M.; Currie, V.; et al. High-dose alkylating agents with autologous hematopoietic stem cell support and trastuzumab in ERBB2 overexpressing metastatic breast cancer: A feasibility study. Anticancer Res. 2005, 25, 663–667. [Google Scholar]
- Jacob, J.; Belin, L.; Pierga, J.-Y.; Gobillion, A.; Vincent-Salomon, A.; Dendale, R.; Beuzeboc, P.; Campana, F.; Fourquet, A.; Kirova, Y.M. Concurrent administration of trastuzumab with locoregional breast radiotherapy: Long-term results of a prospective study. Breast Cancer Res. Treat. 2014, 148, 345–353. [Google Scholar] [CrossRef] [PubMed]
- Kelly, H.; Kimmick, G.; Dees, E.C.; Collichio, F.; Gatti, L.; Sawyer, L.; Ivanova, A.; Dressler, L.; Graham, M.L.; Carey, L.A. Response and Cardiac Toxicity of Trastuzumab Given in Conjunction with Weekly Paclitaxel After Doxorubicin/Cyclophosphamide. Clin. Breast Cancer 2006, 7, 237–243. [Google Scholar] [CrossRef] [PubMed]
- Krop, I.E.; Suter, T.M.; Dang, C.T.; Dirix, L.; Romieu, G.; Zamagni, C.; Citron, M.L.; Campone, M.; Xu, N.; Smitt, M.; et al. Feasibility and Cardiac Safety of Trastuzumab Emtansine After Anthracycline-Based Chemotherapy As (neo)Adjuvant Therapy for Human Epidermal Growth Factor Receptor 2–Positive Early-Stage Breast Cancer. J. Clin. Oncol. 2015, 33, 1136–1142. [Google Scholar] [CrossRef] [PubMed] [Green Version]
- Meattini, I.; Cecchini, S.; Muntoni, C.; Scotti, V.; Cardillo, C.D.L.; Mangoni, M.; Bonomo, P.; Nori, J.; Casella, D.; Simoncini, R.; et al. Cutaneous and cardiac toxicity of concurrent trastuzumab and adjuvant breast radiotherapy: A single institution series. Med. Oncol. 2014, 31, 891. [Google Scholar] [CrossRef] [PubMed]
- O’Neal, W.T.; Lakoski, S.G.; Qureshi, W.; Judd, S.E.; Howard, G.; Howard, V.J.; Cushman, M.; Soliman, E.Z. Relation Between Cancer and Atrial Fibrillation (from the REasons for Geographic and Racial Differences in Stroke Study). Am. J. Cardiol. 2015, 115, 1090–1094. [Google Scholar] [CrossRef] [PubMed] [Green Version]
- Pierga, J.-Y.; Petit, T.; Delozier, T.; Ferrero, J.-M.; Campone, M.; Gligorov, J.; Lerebours, F.; Roché, H.; Bachelot, T.; Charafe-Jauffret, E.; et al. Neoadjuvant bevacizumab, trastuzumab, and chemotherapy for primary inflammatory HER2-positive breast cancer (BEVERLY-2): An open-label, single-arm phase 2 study. Lancet Oncol. 2012, 13, 375–384. [Google Scholar] [CrossRef]
- Polk, A.; Shahmarvand, N.; Vistisen, K.; Vaage-Nilsen, M.; Larsen, F.O.; Schou, M.; Nielsen, D.L. Incidence and risk factors for capecitabine-induced symptomatic cardiotoxicity: A retrospective study of 452 consecutive patients with metastatic breast cancer. BMJ Open 2016, 6, e012798. [Google Scholar] [CrossRef] [Green Version]
- Wang, S.-Y.; Long, J.B.; Hurria, A.; Owusu, C.; Steingart, R.M.; Gross, C.P.; Chen, J. Cardiovascular events, early discontinuation of trastuzumab, and their impact on survival. Breast Cancer Res. Treat. 2014, 146, 411–419. [Google Scholar] [CrossRef]
- Ay, C.; Grilz, E.; Königsbrügge, O.; Klimek, P.; Thurner, S.; Posch, F.; Pabinger, I. Prevalence and Relative Risk of Atrial Fibrillation in Patients with Cancer—A Nationwide Cohort Study. In Nurses and Orals Abstracts: Research and Practice in Thrombosis and Haemostasis; 2019; pp. 1–228. Available online: https://www.riskofbias.info/ (accessed on 1 January 2022).
- Agrawal, R.K.; Alhasso, A.; Barrett-Lee, P.J.; Bliss, J.M.; Bliss, P.; Bloomfield, D.; Bowen, J.; Brunt, A.M.; Donovan, E.; Emson, M.; et al. First results of the randomised UK FAST Trial of radiotherapy hypofractionation for treatment of early breast cancer (CRUKE/04/015): The FAST Trialists group. Radiother. Oncol. 2011, 100, 93–100. [Google Scholar]
- Horiguchi, H.; Yasunaga, H.; Hashimoto, H.; Matsuda, S. Incidence of Severe Adverse Events Requiring Hospital Care after Trastuzumab Infusion for Metastatic Breast Cancer: A Nationwide Survey using an Administrative Claim Database. Breast J. 2011, 17, 683–685. [Google Scholar] [CrossRef]
- Goss, P.E.; Ingle, J.N.; Pritchard, K.I.; Ellis, M.J.; Sledge, G.W.; Budd, G.T.; Rabaglio, M.; Ansari, R.H.; Johnson, D.B.; Tozer, R.; et al. Exemestane Versus Anastrozole in Postmenopausal Women with Early Breast Cancer: NCIC CTG MA.27—A Randomized Controlled Phase III Trial. J. Clin. Oncol. 2013, 31, 1398–1404. [Google Scholar] [CrossRef] [PubMed]
- Mavroudis, D.; Saloustros, E.; Malamos, N.; Kakolyris, S.; Boukovinas, I.; Papakotoulas, P.; Kentepozidis, N.; Ziras, N.; Georgoulias, V. Six versus 12 months of adjuvant trastuzumab in combination with dose-dense chemotherapy for women with HER2-positive breast cancer: A multicenter randomized study by the Hellenic Oncology Research Group (HORG). Ann. Oncol. 2015, 26, 1333–1340. [Google Scholar] [CrossRef] [PubMed]
- Pivot, X.; Suter, T.; Nabholtz, J.M.; Pierga, J.Y.; Espie, M.; Lortholary, A.; Khayat, D.; Pauporte, I.; Romieu, G.; Kramar, A.; et al. Cardiac toxicity events in the PHARE trial, an adju-vant trastuzumab randomised phase III study. Eur. J. Cancer 2015, 51, 1660–1666. [Google Scholar] [CrossRef]
- Cristofanilli, M.; Turner, N.C.; Bondarenko, I.; Ro, J.; Im, S.-A.; Masuda, N.; Colleoni, M.; DeMichele, A.; Loi, S.; Verma, S.; et al. Fulvestrant plus palbociclib versus fulvestrant plus placebo for treatment of hormone-receptor-positive, HER2-negative metastatic breast cancer that progressed on previous en-docrine therapy (PALOMA-3): Final analysis of the multicentre, double-blind, phase 3 randomised controlled trial. Lancet Oncol. 2016, 17, 425–439. [Google Scholar] [PubMed] [Green Version]
- Mamounas, E.P.; Bandos, H.; Lembersky, B.C.; Jeong, J.-H.; Geyer, C.E., Jr.; Rastogi, P.; Fehrenbacher, L.; Graham, M.L.; Chia, S.K.; Brufsky, A.M.; et al. Use of letrozole after aromatase inhibitor-based therapy in postmenopausal breast cancer (NRG Oncology/NSABP B-42): A randomised, double-blind, placebo-controlled, phase 3 trial. Lancet Oncol. 2019, 20, 88–99. [Google Scholar] [CrossRef]
- Wildiers, H.; Tryfonidis, K.; Lago, L.D.; Vuylsteke, P.; Curigliano, G.; Waters, S.; Brouwers, B.; Altintas, S.; Touati, N.; Cardoso, F.; et al. Pertuzumab and trastuzumab with or without metronomic chemotherapy for older patients.e HER2-positive metastatic breast cancer (EORTC 75111-10114): An open-label, randomised, phase 2 trial from the Elderly Task Force/Breast Cancer Group. Lancet Oncol. 2018, 19, 323–336. [Google Scholar] [CrossRef]
- Wong, J.A.; Rexrode, K.; Sandhu, R.K.; Moorthy, M.V.; Conen, D.; Albert, C. Menopausal age, postmenopausal hormone therapy and incident atrial fibrillation. Heart 2017, 103, 1954–1961. [Google Scholar] [CrossRef]
- Rossi, R.; Grimaldi, T.; Origliani, G.; Fantini, G.; Coppi, F.; Modena, M.G. Menopause and cardiovascular risk. Pathophysiol. Haemost. Thromb. 2002, 32, 325–328. [Google Scholar] [CrossRef]
- Luo, T.; Kim, J.K. The Role of Estrogen and Estrogen Receptors on Cardiomyocytes: An Overview. Can. J. Cardiol. 2016, 32, 1017–1025. [Google Scholar] [CrossRef] [Green Version]
- Saliba, W.; Rennert, H.S.; Gronich, N.; Gruber, S.B.; Rennert, G. Association of atrial fibrillation and cancer: Analysis from two large population-based case-control studies. PLoS ONE 2018, 13, e0190324. [Google Scholar] [CrossRef]
- Alexandre, J.; Moslehi, J.J.; Bersell, K.R.; Funck-Brentano, C.; Roden, D.M.; Salem, J.-E. Anticancer drug-induced cardiac rhythm dis-orders: Current knowledge and basic underlying mechanisms. Pharmacol. Ther. 2018, 189, 89–103. [Google Scholar] [CrossRef]
- Buza, V.; Rajagopalan, B.; Curtis, A.B. Cancer Treatment–Induced Arrhythmias: Focus on Chemotherapy and Targeted Therapies. Circ. Arrhythmia Electrophysiol. 2017, 10, e005443. [Google Scholar] [CrossRef] [PubMed]
- Yang, X.; Li, X.; Yuan, M.; Tian, C.; Yang, Y.; Wang, X.; Zhang, X.; Sun, Y.; He, T.; Han, S.; et al. Anticancer Therapy-Induced Atrial Fibrillation: Electrophysiology and Related Mechanisms. Front. Pharmacol. 2018, 9, 1058. [Google Scholar] [CrossRef] [PubMed] [Green Version]
- Zamorano, J.L.; Lancellotti, P.; Rodriguez Muñoz, D.; Aboyans, V.; Asteggiano, R.; Galderisi, M.; Habib, G.; Lenihan, D.J.; Lip, G.Y.H.; Lyon, A.R.; et al. 2016 ESC Position Paper on cancer treatments and cardiovascular toxicity developed under the auspices of the ESC Committee for Practice Guidelines: The Task Force for cancer treatments and cardiovascular toxicity of the European Society of Cardiology (ESC). Eur. Heart J. 2016, 37, 2768–2801. [Google Scholar] [CrossRef]
- Charati, R.Y.; Hajian-Tilaki, K.; Sharbatdaran, M. Comparison of pathologic characteristics of breast cancer in younger and older women. Casp. J. Intern. Med. 2019, 10, 42–47. [Google Scholar] [CrossRef]
- Esteva, F.J.; Hortobagyi, G.N. Prognostic molecular markers in early breast cancer. Breast Cancer Res. 2004, 6, 109. [Google Scholar] [CrossRef]




| Author | Year | Design | Pts | Age | Stage | Therapy | FU (mo) |
|---|---|---|---|---|---|---|---|
| Gonçalves et al. [33] | 2005 | PS | 11 | 50.6 ± 30.4 | IV | BT+ CT | - |
| Kelly et al. [35] | 2006 | PhII Trial | 52 | 47 ± 33.3 | IIB–IV | BT+ CT | 39.0 ± NS |
| Dang et al. [32] | 2008 | PhII NRT | 70 | 49.3 ± 33.3 | - | BT + CT | 29.3 ± NS |
| Fast Trial [43] | 2011 | RT | 915 | 62.9 ± 7.2 | I–III * | RTx | 37.3 [NS] |
| Horiguchi et al. [44] | 2011 | RS | 3181 | 58.1 ± 9.3 | IV | BT | - |
| Pierga et al. [39] | 2012 | PhII NRT | 52 | 48.4 ± 32.4 | I–II (T4d) † | BT + CT | 60 ‡ |
| Goss et al. [45] | 2013 | PhIII RCT | 7576 | 64.1 ± NS | I–III * | HT | 49.0 [NS] |
| Jacob et al. [34] | 2014 | PS | 308 | 53.3 ± 42.9 | I–III * | BT + RTx | 63.1 ± 83.7 |
| Meattini et al. [37] | 2014 | - | 95 | 53.3 ± 34.8 | I–III | BT + RT | 5.3 ± 6.7 |
| Wang et al. [41] | 2014 | - | 239 | 71.6 ± NS | I–III | BT | 50.0 [NS] |
| Krop et al. [36] | 2015 | PS | 153 | - | I–III * | BT + CT | 24.6 [NS] |
| Mavroudis et al. [46] | 2015 | RT | 481 | 52.3 ± 35.5 | I–III * | CT/BT | 47.0 [NS] 51.0 [NS] |
| Pivot et al. [47] | 2015 | PhIII RT | 3380 | - | I–III * | BT | 53.5 ± 9.9 |
| Cristofanilli et al. [48] | 2016 | PhIII RCT | 521 | 57.2 ± 41.2 | IV | CT + HT | 8.9 ± 0.4 |
| Polk et al. [40] | 2016 | PS | 452 | 59.7 ± 44.4 | IV | CT | - |
| Yaylali et al. [12] | 2016 | RS | 53 | 48 ± 8.0 | - | CT | - |
| Chalazan et al. [30] | 2018 | RS | 2124 | 58.9 ± 12.8 | - | CT | - |
| Chen et al. [31] | 2018 | RS | 294 | 71.5 ± NS | I–III | BT | - |
| Mamounas et al. [49] | 2018 | PhIII RCT | 3966 | - | I–IIIA | HT | 81.0 [73.0–89.0] |
| Wildiers et al. [50] | 2018 | PhII RT | 80 | 78.1 ± 10.0 | IV | BT + CT | 20.7 [12.5–30.4] |
| Abdel-Qadir et al. [21] | 2019 | RS | 68,113 | 60 ± 13.0 | I–III | CT | 67.0 ± 33.0 |
| D’Souza et al. [10] | 2019 | RS | 74,155 | 62 ± 13.3 | - | - | - |
| Author | Year | Variables Reported |
|---|---|---|
| Gonçalves et al. [33] | 2005 | Incidence of AF in breast cancer Incidence of AF in MBC Incidence of AF in biological therapy + chemotherapy (combined biological therapy) |
| Kelly et al. [35] | 2006 | Incidence of AF in breast cancer Incidence of AF in biological therapy + chemotherapy (combined biological therapy) |
| Dang et al. [32] | 2008 | Incidence of AF in breast cancer Incidence of AF in biological therapy + chemotherapy (combined biological therapy) |
| Fast Trial [43] | 2011 | Incidence of AF in breast cancer Incidence of AF in EBC Incidence of AF in non-biological therapies |
| Horiguchi et al. [44] | 2011 | Incidence of AF in breast cancer Incidence of AF in MBC Incidence of AF in biological therapy |
| Pierga et al. [39] | 2012 | Incidence of AF in breast cancer Incidence of AF in biological therapy + chemotherapy (combined biological therapy) |
| Goss et al. [45] | 2013 | Incidence of AF in breast cancer Incidence of AF in EBC Incidence of AF in non-biological therapies |
| Jacob et al. [34] | 2014 | Incidence of AF in breast cancer Incidence of AF in biological therapy + radiotherapy (combined biological therapy) |
| Meattini et al. [37] | 2014 | Incidence of AF in breast cancer Incidence of AF in biological therapy + radiotherapy (combined biological therapy) |
| Wang et al. [41] | 2014 | Incidence of AF in breast cancer Incidence of AF in biological therapy * |
| Krop et al. [36] | 2015 | Incidence of AF in breast cancer Incidence of AF in EBC Incidence of AF in biological therapy + chemotherapy (combined biological therapy) |
| Mavroudis et al. [46] | 2015 | Incidence of AF in breast cancer Incidence of AF in biological therapy Incidence of AF in biological therapy + chemotherapy (combined biological therapy) Incidence of AF in non-biological therapies |
| Pivot et al. [47] | 2015 | Incidence of AF in breast cancer Incidence of AF in EBC Incidence of AF in biological therapy |
| Cristofanilli et al. [48] | 2016 | Incidence of AF in breast cancer Incidence of AF in MBC Incidence of AF in non-biological therapies |
| Polk et al. [40] | 2016 | Incidence of AF in breast cancer Incidence of AF in MBC Incidence of AF in non-biological therapies |
| Yaylali et al. [12] | 2016 | Incidence of AF in no-cancer vs. cancer patients Incidence of AF in breast cancer Incidence of AF in non-biological therapies |
| Chalazan et al. [30] | 2018 | Incidence of AF in breast cancer Incidence of AF in non-biological therapies |
| Chen et al. [31] | 2018 | Incidence of AF in breast cancer Incidence of AF in biological therapy |
| Mamounas et al. [49] | 2018 | Incidence of AF in breast cancer Incidence of AF in EBC Incidence of AF in non-biological therapies |
| Wildiers et al. [50] | 2018 | Incidence of AF in breast cancer Incidence of AF in MBC Incidence of AF in biological therapy + chemotherapy (combined biological therapy) |
| Abdel-Qadir et al. [21] | 2019 | Incidence of AF in no-cancer vs. cancer patients Incidence of AF in breast cancer Incidence of AF in EBC Incidence of AF in non-biological therapies |
| D’Souza et al. [10] | 2019 | Incidence of AF in no-cancer vs. cancer patients Incidence of AF in breast cancer |
| Author | Year | HER2 Status | N Status | HR Status |
|---|---|---|---|---|
| Gonçalves et al. [33] | 2005 | HER2+: 11 (100) HER2−: 0 (0) | N+: 7 (63.6) | HR+ *: 6 (54.5) |
| Kelly et al. [35] | 2006 | HER+: 52 (100) HER2−: 0 (0) | - | ER+: 24 (46.0) |
| Dang et al. [32] | 2008 | HER2+: 32 (46.0) HER−: 38 (54.0) | - | ER+: 32 (46.0) PR+: 23 (33.0) |
| Fast Trial [43] | 2011 | - | - | - |
| Horiguchi et al. [44] | 2011 | HER2+: 3181 (100) HER2−: 0 (0) | - | - |
| Pierga et al. [39] | 2012 | HER+: 52 (100) HER2−: 0 (0) | N−: 14 (27.0) N+: 37 (71.2) Unknown: 1 (2.0) | - |
| Goss et al. [45] | 2013 | - | N−: 5371 (70.9) N+ †: 2206 (29.1) | ER+: 7525 (99.3) PR+: 6090 (80.4) |
| Jacob et al. [34] | 2014 | HER+: 308 (100) HER2-: 0 (0) | N−: 175 (58.8) N+:133 (43.2) Unknown:1 (0.3) | HR+ *: 165 (53.6) |
| Meattini et al. [37] | 2014 | HER2+: 95 (100) | N−: 35 (36.9) N+: 60 (63.2) | ER+: 60 (63.1) PR+: 47 (48.5) |
| Wang et al. [41] | 2014 | HER2+: 239 (100) HER2−: 0 (0) | N−: 112 (47.0) N+: 111 (46.4) | - |
| Krop et al. [36] | 2015 | HER2+: 153 (100) HER2−: 0 (0) | - | HR+ *: 95 (62.1) |
| Mavroudis et al. [46] | 2015 | HER+: 481 (100) HER2−: 0 (0) | N−: 101 (21.0) N+: 380 (79.0) | HR+ *: 321 (66.7) Unknown: 1 (0.2) |
| Pivot et al. [47] | 2015 | HER2+: 3380 (100) HER2−: 0 (0) | - | - |
| Cristofanilli et al. [48] | 2016 | HER+: 0 (0) HER2−: 521 (100) | - | - |
| Polk et al. [40] | 2016 | - | - | - |
| Yaylali et al. [12] | 2016 | - | - | - |
| Chalazan et al. [30] | 2018 | - | - | - |
| Chen et al. [31] | 2018 | - | - | - |
| Mamounas et al. [49] | 2018 | HER2+: 565 (14.2) HER2−: 3093 (78.0) Unknown: 308 (7.8) | N+: 1687 (42.5) N−: 2279 (57.5) | - |
| Wildiers et al. [50] | 2018 | HER2+: 80 (100) HER2−: 0 (0) | - | HR+ *: 55 (68.8) |
| Abdel-Qadir et al. [21] | 2019 | - | - | - |
| D’Souza et al. [10] | 2019 | - | - | - |
| Author | Year | Biological Therapy | Chemotherapy | Radiotherapy | Endocrine Therapy |
|---|---|---|---|---|---|
| Gonçalves et al. [33] | 2005 | Trastuzumab: 11 (100) | Alkylating agents: 11 (100) | No | No |
| Kelly et al. [35] | 2006 | Trastuzumab: 52 (100) | AC regimen + antimicrotubule agents (paclitaxel): 52 (100) | No | No |
| Dang et al. [32] | 2008 | Trastuzumab: 70 (100) | AC regimen + antimicrotubule agents (paclitaxel): 70 (100) | No | No |
| Fast Trial [43] | 2011 | No | No | Yes | No |
| Horiguchi et al. [44] | 2011 | Trastuzumab: 3181 (100) | No | No | No |
| Pierga et al. [39] | 2012 | Bevacizumab: 52 (100) *,† Trastuzumab: 52 (100) *,† | Antimetabolites (fluorouracil): 52 (100) * Anthracyclines (epirubicin): 52 (100) * Alkylating agents (cyclophosphamide): 52 (100) * Antimicrotubule agents (docetaxel): 52 (100) * | Yes† | Yes ‡ |
| Goss et al. [45] | 2013 | Trastuzumab: 74 (1.0) | No | No | Aromatase inhibitors: 7576 (100) |
| Jacob et al. [34] | 2014 | Trastuzumab: 308 (100) | FEC regimen + antimicrotubule agents (paclitaxel): 293 (95.1) | Yes | Aromatase inhibitors: 76 LHRH agonists: 42 Tamoxifen: 30 Aromatase inhibitors + LHRH agonist: 9 |
| Meattini et al. [37] | 2014 | Trastuzumab: 95 (100) | Anthracyclines (epirubicin, doxorubicin): 91 (95.8) | Yes | Aromatase inhibitors: 50 (52.6) LHRH agonist/ Tamoxifen: 11 (11.6) |
| Wang et al. [41] | 2014 | Trastuzumab: 585 (100) | AC regimen + antimicrotubule agents (paclitaxel and docetaxel): 585 (100) | No | No |
| Krop et al. [36] | 2015 | Trastuzumab emtansine: 148 (96.7) Trastuzumab: 74 (48.4) | AC regimen + antimicrotubule agents (docetaxel): 68 (44.4) FEC regimen + antimicrotubule agents (docetaxel): 84 (54.9) | Yes | 62 (40.5) |
| Mavroudis et al. [46] | 2015 | Trastuzumab: 481 (100) † | FEC regimen + antimicrotubule agents (docetaxel): 481 (100) † | Yes ‡ | Yes ‡ |
| Pivot et al. [47] | 2015 | Trastuzumab: 3380 (100) | Yes ‡ | Yes ‡ | Yes ‡ |
| Cristofanilli et al. [48] | 2016 | No | No | No | Fulvestrant + palbociclib: 191 (78.9) Fulvestrant: 51 (21.1) |
| Polk et al. [40] | 2016 | Trastuzumab: 54 (12.0)§ | Antimetabolites (capecitabine): 452 (100) Anthracyclines: 242 (54.0) § | No | No |
| Yaylali et al. [12] | 2016 | No | AC regimen + antimicrotubule agents (paclitaxel): 53 (100) | No | No |
| Chalazan et al. [30] | 2018 | Monoclonal antibodies | Tyrosine kinase inhibitors Alkylating agents Antimetabolites Mitotic inhibitors Topoisomerase inhibitors Antineoplastic antibiotics | Yes | Hormonal modifiers |
| Chen et al. [31] | 2018 | Trastuzumab: 294 (100) | No | No | No |
| Mamounas et al. [49] | 2018 | No | No | No | Aromatase inhibitor (letrozole): 1983 (100) |
| Wildiers et al. [50] | 2018 | Pertuzumab + trastuzumab: 80 (100) | Alkylating agents (cyclophosphamide): 41 (51.3) | Yes ‡ | Yes ‡ |
| Abdel-Qadir et al. [21] | 2019 | Trastuzumab: 8365 (12.3) | Anthracyclines or other chemotherapy: 36,222 (53.2) | 48,816 (71.7) | No |
| D’Souza et al. [10] | 2019 | - | - | - | - |
Publisher’s Note: MDPI stays neutral with regard to jurisdictional claims in published maps and institutional affiliations. |
© 2022 by the authors. Licensee MDPI, Basel, Switzerland. This article is an open access article distributed under the terms and conditions of the Creative Commons Attribution (CC BY) license (https://creativecommons.org/licenses/by/4.0/).
Share and Cite
Mauro, E.; Lucà, F.; Tetta, C.; Parise, O.; Parrini, I.; Parise, G.; Rao, C.M.; Matteucci, F.; Micali, L.R.; Gulizia, M.M.; et al. Breast Cancer and Atrial Fibrillation. J. Clin. Med. 2022, 11, 1417. https://doi.org/10.3390/jcm11051417
Mauro E, Lucà F, Tetta C, Parise O, Parrini I, Parise G, Rao CM, Matteucci F, Micali LR, Gulizia MM, et al. Breast Cancer and Atrial Fibrillation. Journal of Clinical Medicine. 2022; 11(5):1417. https://doi.org/10.3390/jcm11051417
Chicago/Turabian StyleMauro, Emanuela, Fabiana Lucà, Cecilia Tetta, Orlando Parise, Iris Parrini, Gianmarco Parise, Carmelo Massimiliano Rao, Francesco Matteucci, Linda Renata Micali, Michele Massimo Gulizia, and et al. 2022. "Breast Cancer and Atrial Fibrillation" Journal of Clinical Medicine 11, no. 5: 1417. https://doi.org/10.3390/jcm11051417
APA StyleMauro, E., Lucà, F., Tetta, C., Parise, O., Parrini, I., Parise, G., Rao, C. M., Matteucci, F., Micali, L. R., Gulizia, M. M., La Meir, M., & Gelsomino, S. (2022). Breast Cancer and Atrial Fibrillation. Journal of Clinical Medicine, 11(5), 1417. https://doi.org/10.3390/jcm11051417

