Annual Incidence of Dementia from 2003 to 2018 in Metropolitan Seoul, Korea: A Population-Based Study
Abstract
:1. Introduction
2. Materials and Methods
2.1. Data Source
2.2. Ethical Approval
2.3. Study Population
2.4. Statistical Analysis
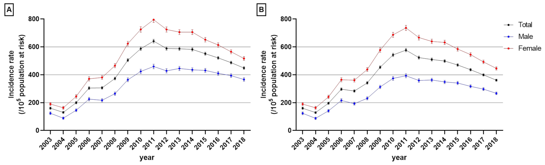
3. Results
4. Discussion
5. Conclusions
Supplementary Materials
Author Contributions
Funding
Institutional Review Board Statement
Informed Consent Statement
Data Availability Statement
Conflicts of Interest
References
- Chertkow, H.; Feldman, H.H.; Jacova, C.; Massoud, F. Definitions of dementia and predementia states in Alzheimer’s disease and vascular cognitive impairment: Consensus from the Canadian conference on diagnosis of dementia. Alzheimer’s Res. Ther. 2013, 5, S2. [Google Scholar] [CrossRef] [PubMed]
- Patterson, C. World Alzheimer Report 2018; Alzheimer’s Disease International: London, UK, 2018. [Google Scholar]
- Wimo, A.; Sjölund, B.M.; Sköldunger, A.; Qiu, C.; Klarin, I.; Nordberg, G.; von Strauss, E. Cohort effects in the prevalence and survival of people with dementia in a rural area in northern Sweden. J. Alzheimer’s Dis. 2016, 50, 387–396. [Google Scholar] [CrossRef]
- Roehr, S.; Pabst, A.; Luck, T.; Riedel-Heller, S.G. Is dementia incidence declining in high-income countries? A systematic review and meta-analysis. Clin. Epidemiol. 2018, 10, 1233–1247. [Google Scholar] [CrossRef] [Green Version]
- Wolters, F.J.; Chibnik, L.B.; Waziry, R.; Anderson, R.; Berr, C.; Beiser, A.; Bis, J.C.; Blacker, D.; Bos, D.; Brayne, C.; et al. Twenty-seven-year time trends in dementia incidence in Europe and the United States: The Alzheimer Cohorts Consortium. Neurology 2020, 95, e519–e531. [Google Scholar] [CrossRef] [PubMed]
- Ferri, C.P.; Jacob, K.S. Dementia in low-income and middle-income countries: Different realities mandate tailored solutions. PLoS. Med. 2017, 14, e1002271. [Google Scholar] [CrossRef] [Green Version]
- Choi, H.; Kim, H.J.; Kim, K.H.; Oh, S.I.; SH, K. The consideration about usefulness of mass screening for dementia. Dement Neurocogn. Disord. 2014, 13, 117–120. [Google Scholar] [CrossRef]
- Kwon, H.S.; Suh, J.; Kim, M.-H.; Yoo, B.; Han, M.; Koh, I.-S.; Choi, H. Five-year community management rate for dementia patients: A proposed indicator for dementia policies. J. Clin. Neurol. 2022, 18, 24–32. [Google Scholar] [CrossRef]
- Ahn, E. Introducing big data analysis using data from National Health Insurance Service. Korean J. Anesthesiol. 2020, 73, 205–211. [Google Scholar] [CrossRef]
- Takizawa, C.; Thompson, P.L.; van Walsem, A.; Faure, C.; Maier, W.C. Epidemiological and economic burden of Alzheimer’s disease: A systematic literature review of data across Europe and the United States of America. J. Alzheimer’s Dis. 2015, 43, 1271–1284. [Google Scholar] [CrossRef]
- Ding, D.; Zhao, Q.; Wu, W.; Xiao, Z.; Liang, X.; Luo, J.; Hong, Z. Prevalence and incidence of dementia in an older Chinese population over two decades: The role of education. Alzheimer’s Dement. 2020, 16, 1650–1662. [Google Scholar] [CrossRef]
- Hung, Y.N.; Kadziola, Z.; Brnabic, A.J.; Yeh, J.F.; Fuh, J.L.; Hwang, J.P.; Montgomery, W. The epidemiology and burden of Alzheimer’s disease in Taiwan utilizing data from the National Health Insurance Research Database. Clinicoecon. Outcomes Res. 2016, 8, 387–395. [Google Scholar] [CrossRef] [Green Version]
- Li, S.; Yan, F.; Li, G.; Chen, C.; Zhang, W.; Liu, J.; Jia, X.; Shen, Y. Is the dementia rate increasing in Beijing? Prevalence and incidence of dementia 10 years later in an urban elderly population. Acta Psychiatr. Scand. 2007, 115, 73–79. [Google Scholar] [CrossRef] [PubMed]
- Ohara, T.; Hata, J.; Yoshida, D.; Mukai, N.; Nagata, M.; Iwaki, T.; Kitazono, T.; Kanba, S.; Kiyohara, Y.; Ninomiya, T. Trends in dementia prevalence, incidence, and survival rate in a Japanese community. Neurology 2017, 88, 1925–1932. [Google Scholar] [CrossRef] [PubMed]
- Park, J.E.; Kim, B.S.; Kim, K.W.; Hahm, B.J.; Sohn, J.H.; Suk, H.W.; Lee, J.Y.; Cho, M.J. Decline in the incidence of all-cause and Alzheimer’s disease dementia: A 12-year-later rural cohort study in Korea. J. Korean Med. Sci. 2019, 34, e293. [Google Scholar] [CrossRef] [Green Version]
- Jang, J.W.; Park, J.H.; Kim, S.; Lee, S.H.; Lee, S.H.; Kim, Y.J. Prevalence and incidence of dementia in South Korea: A nationwide analysis of the national health insurance service senior cohort. J. Clin. Neurol. 2021, 17, 249–256. [Google Scholar] [CrossRef]
- Korean Ministry of Health and Welfare. The 3rd National Dementia Plan (English Version). Available online: https://www.nid.or.kr/info/dataroom_view.aspx?bid=144 (accessed on 15 December 2021).
- Brunet, M. Targets for dementia diagnoses will lead to overdiagnosis. BMJ 2014, 348, g2224. [Google Scholar] [CrossRef] [Green Version]
- Le Couteur, D.G.; Doust, J.; Creasey, H.; Brayne, C. Political drive to screen for pre-dementia: Not evidence based and ignores the harms of diagnosis. BMJ 2013, 347, f5125. [Google Scholar] [CrossRef] [Green Version]
- Cadar, D.; Lassale, C.; Davies, H.; Llewellyn, D.J.; Batty, G.D.; Steptoe, A. Individual and area-based socioeconomic factors associated with dementia incidence in England: Evidence from a 12-year follow-up in the English longitudinal study of ageing. JAMA Psychiatry 2018, 75, 723–732. [Google Scholar] [CrossRef]
- Fischer, C.; Yeung, E.; Hansen, T.; Gibbons, S.; Fornazzari, L.; Ringer, L.; Schweizer, T.A. Impact of socioeconomic status on the prevalence of dementia in an inner city memory disorders clinic. Int. Psychogeriatr. 2009, 21, 1096–1104. [Google Scholar] [CrossRef] [PubMed]
- Petersen, J.D.; Wehberg, S.; Packness, A.; Svensson, N.H.; Hyldig, N.; Raunsgaard, S.; Andersen, M.K.; Ryg, J.; Mercer, S.W.; Søndergaard, J.; et al. Association of socioeconomic status with dementia diagnosis among older adults in Denmark. JAMA Netw. Open 2021, 4, e2110432. [Google Scholar] [CrossRef]
- Casagrande, S.S.; Lee, C.; Stoeckel, L.E.; Menke, A.; Cowie, C.C. Cognitive function among older adults with diabetes and prediabetes, NHANES 2011–2014. Diabetes Res. Clin. Pract. 2021, 178, 108939. [Google Scholar] [CrossRef]
- Jorm, A.F. History of depression as a risk factor for dementia: An updated review. Aust. N. Z. J. Psychiatry 2001, 35, 776–781. [Google Scholar] [CrossRef]
- Sierra, C. Hypertension and the risk of dementia. Front. Cardiovasc. Med. 2020, 7, 5. [Google Scholar] [CrossRef] [Green Version]
- Willmann, C.; Brockmann, K.; Wagner, R.; Kullmann, S.; Preissl, H.; Schnauder, G.; Maetzler, W.; Gasser, T.; Berg, D.; Eschweiler, G.W.; et al. Insulin sensitivity predicts cognitive decline in individuals with prediabetes. BMJ Open Diabetes Res. Care 2020, 8, e001741. [Google Scholar] [CrossRef]
- Anstey, K.J.; Lipnicki, D.M.; Low, L.-F. Cholesterol as a risk factor for dementia and cognitive decline: A systematic review of prospective studies with meta-analysis. Am. J. Geriatr. Psychiatry 2008, 16, 343–354. [Google Scholar] [CrossRef]
- Kim, K.-i.; Ji, E.; Choi, J.-y.; Kim, S.-w.; Ahn, S.; Kim, C.-H. Ten-year trends of hypertension treatment and control rate in Korea. Sci. Rep. 2021, 11, 6966. [Google Scholar] [CrossRef] [PubMed]
- Kim, G.E.; Jo, M.-W.; Shin, Y.-W. Increased prevalence of depression in South Korea from 2002 to 2013. Sci. Rep. 2020, 10, 16979. [Google Scholar] [CrossRef] [PubMed]
- Ahn, K.C.; Learman, C.R.; Baker, G.B.; Weaver, C.L.; Chung, P.S.; Kim, H.G.; Song, M.S. Regulation of diabetes: A therapeutic strategy for Alzheimer’s disease? J. Korean Med. Sci. 2019, 34, e297. [Google Scholar] [CrossRef] [PubMed] [Green Version]
- Alster, P.; Dunalska, A.; Migda, B.; Madetko, N.; Królicki, L. The rate of decrease in brain perfusion in progressive supranuclear palsy and corticobasal syndrome may be impacted by glycemic variability-a pilot study. Front. Neurol. 2021, 12, 767480. [Google Scholar] [CrossRef] [PubMed]
- McDonald, C.; Pearce, M.S.; Kerr, S.R.; Newton, J.L. Blood pressure variability and cognitive decline in older people: A 5-year longitudinal study. J. Hypertens. 2017, 35, 140–147. [Google Scholar] [CrossRef]
- Ponjoan, A.; Garre-Olmo, J.; Blanch, J.; Fages, E.; Alves-Cabratosa, L.; Martí-Lluch, R.; Comas-Cufí, M.; Parramon, D.; Garcia-Gil, M.; Ramos, R. Epidemiology of dementia: Prevalence and incidence estimates using validated electronic health records from primary care. Clin. Epidemiol. 2019, 11, 217–228. [Google Scholar] [CrossRef] [PubMed] [Green Version]
- Ge, Y.; Xu, K. Alpha-synuclein contributes to malignant progression of human meningioma via the Akt/mTOR pathway. Cancer Cell Int. 2016, 16, 86. [Google Scholar] [CrossRef] [PubMed] [Green Version]
- Dean, D.N.; Lee, J.C. Linking Parkinson’s disease and melanoma: Interplay between α-synuclein and Pmel17 amyloid Formation. Mov. Disord. 2021, 36, 1489–1498. [Google Scholar] [CrossRef] [PubMed]
- Sun, M.; Wang, Y.; Sundquist, J.; Sundquist, K.; Ji, J. The association between cancer and dementia: A national cohort study in Sweden. Front. Oncol. 2020, 10, 73. [Google Scholar] [CrossRef] [PubMed] [Green Version]




| Total Number | 108,596 (100) |
|---|---|
| Age | |
| 60~64 | 6674 (6.1) |
| 65~69 | 9393 (8.7) |
| 70~74 | 17,064 (15.7) |
| 75~79 | 35,382 (32.6) |
| 80~84 | 25,429 (23.4) |
| ≥85 | 24,654 (22.70) |
| Sex, female | 71,214 (65.6) |
| Income, quintile | |
| <20% | 25,378 (23.4) |
| 20~40% | 9971 (9.2) |
| 40~60% | 60,784 (11.0) |
| 60~80% | 89,841 (16.4) |
| ≥80% | 168,756 (30.7) |
| Comorbidities | |
| Diabetes | 8649 (8.0) |
| COPD | 334 (0.3) |
| CKD | 545 (0.5) |
| Dyslipidemia | 9857 (9.1) |
| Stroke | 25,723 (23.7) |
| Hypertension | 21,403 (19.7) |
| Depression | 16,319 (15.0) |
| Antidementia medication | |
| Donepezil | 81,385 (74.9) |
| Galantamine | 6933 (6.4) |
| Rivastigmine | 10,486 (9.7) |
| Memantine | 9792 (9.0) |
| 2003 | 2004 | 2005 | 2006 | 2007 | 2008 | 2009 | 2010 | |
|---|---|---|---|---|---|---|---|---|
| Total number | 1634 (100) | 1385 (100) | 2216 (100) | 3484 (100) | 4280 (100) | 5496 (100) | 7810 (100) | 8233 (100) |
| Age | ||||||||
| 60~64 | 165 (10.1) | 146 (10.5) | 169 (7.6) | 261 (7.5) | 240 (5.6) | 331 (6.0) | 495 (6.3) | 480 (5.8) |
| 65~69 | 250 (15.3) | 205 (14.8) | 300 (13.5) | 455 (13.1) | 550 (12.9) | 598 (10.9) | 838 (10.7) | 852 (10.4) |
| 70~74 | 359 (22.0) | 279 (20.1) | 423 (19.1) | 685 (19.7) | 843 (19.7) | 1065 (19.4) | 1417 (18.1) | 1469 (17.8) |
| 75~79 | 389 (23.8) | 304 (22.0) | 542 (24.5) | 833 (23.9) | 1065 (24.9) | 1321 (24.0) | 11,825 (23.4) | 1865 (22.7) |
| 80~84 | 301 (18.4) | 294 (21.2) | 502 (22.7) | 742 (21.3) | 887 (20.7) | 1189 (21.6) | 1731 (22.2) | 1818 (22.1) |
| ≥85 | 170 (10.4) | 157 (11.3) | 280 (12.6) | 508 (14.6) | 695 (16.2) | 992 (18.1) | 1504 (19.3) | 1749 (21.2) |
| Sex, female | 1066 (65.2) | 956 (69.0) | 1481 (66.8) | 2314 (66.4) | 2894 (67.6) | 3715 (67.6) | 5236 (67.0) | 5517 (67.0) |
| Income, quintile | ||||||||
| <20% | 170 (10.4) | 132 (9.5) | 136 (19.7) | 746 (21.4) | 872 (20.4) | 1210 (22.0) | 1879 (24.1) | 2045 (24.8) |
| 20~40% | 131 (8.0) | 114 (8.2) | 152 (6.9) | 259 (7.4) | 326 (7.6) | 409 (7.4) | 672 (8.6) | 712 (8.7) |
| 40~60% | 174 (10.7) | 159 (11.5) | 259 (11.7) | 365 (10.5) | 448 (10.5) | 568 (10.3) | 823 (10.5) | 885 (10.8) |
| 60~80% | 358 (21.9) | 277 (20.0) | 367 (16.6) | 664 (19.1) | 813 (19.0) | 940 (17.1) | 1348 (17.3) | 1363 (16.6) |
| ≥80% | 801 (49.0) | 703 (50.8) | 1002 (45.2) | 1450 (41.6) | 1821 (42.6) | 2369 (43.1) | 3088 (39.5) | 3228 (39.2) |
| Comorbidities | ||||||||
| Diabetes | 102 (6.2) | 91 (6.6) | 189 (8.5) | 296 (8.5) | 376 (8.8) | 485 (8.8) | 710 (9.1) | 690 (8.4) |
| COPD | 6 (0.4) | 3 (0.2) | 7 (0.3) | 9 (0.3) | 11 (0.3) | 18 (0.3) | 28 (0.4) | 24 (0.3) |
| CKD | 4 (0.2) | 1 (0.1) | 3 (0.1) | 11 (0.3) | 13 (0.3) | 19 (0.3) | 37 (0.5) | 34 (0.4) |
| Dyslipidemia | 87 (5.3) | 80 (5.8) | 153 (6.9) | 250 (7.2) | 362 (8.5) | 422 (7.7) | 604 (7.7) | 688 (8.4) |
| Stroke | 188 (11.5) | 99 (7.2) | 371 (16.7) | 826 (23.7) | 1064 (24.9) | 1352 (24.6) | 1767 (22.6) | 1621 (19.7) |
| Hypertension | 374 (22.9) | 264 (19.1) | 527 (23.8) | 907 (26.0) | 1086 (25.4) | 1381 (25.1) | 1887 (24.2) | 1889 (22.9) |
| Depression | 292 (17.9) | 313 (22.6) | 410 (18.5) | 600 (17.2) | 823 (17.1) | 821 (14.9) | 1105 (14.2) | 1138 (13.8) |
| Antidementia medication | ||||||||
| Donepezil | 1015 (62.1) | 937 (67.7) | 1545 (69.7) | 2360 (67.7) | 2831 (66.1) | 3535 (64.3) | 5215 (66.8) | 5700 (69.2) |
| Galantamine | 498 (30.5) | 338 (24.4) | 390 (17.6) | 508 (14.6) | 467 (10.9) | 624 (11.4) | 790 (10.1) | 778 (9.5) |
| Rivastigmine | 121 (7.4) | 72 (5.2) | 60 (2.7) | 173 (5.0) | 293 (6.9) | 385 (7.0) | 951 (12.2) | 891 (10.8) |
| Memantine | 0 (0) | 38 (2.7) | 221 (10.0) | 443 (12.7) | 689 (16.1) | 952 (17.3) | 854 (10.9) | 864 (10.5) |
| 2011 | 2012 | 2013 | 2014 | 2015 | 2016 | 2017 | 2018 | |
|---|---|---|---|---|---|---|---|---|
| Total number | 9248 (100) | 8935 (100) | 9271 (100) | 9625 (100) | 9553 (100) | 9403 (100) | 9206 (100) | 8817 (100) |
| Age | ||||||||
| 60~64 | 520 (5.6) | 531 (5.9) | 523 (5.6) | 550 (5.7) | 602 (6.3) | 574 (6.1) | 577 (6.3) | 510 (5.8) |
| 65~69 | 742 (8.0) | 754 (8.4) | 717 (7.7) | 702 (7.3) | 659 (6.9) | 621 (6.6) | 601 (6.5) | 549 (6.2) |
| 70~74 | 1637 (17.7) | 1477 (16.5) | 1465 (15.8) | 1471 (15.3) | 1330 (13.9) | 1107 (11.8) | 1054 (11.5) | 983 (11.2) |
| 75~79 | 2112 (22.8) | 2118 (23.7) | 2300 (24.8) | 2251 (23.4) | 2216 (23.2) | 2235 (23.8) | 2031 (22.1) | 1975 (22.4) |
| 80~84 | 2107 (22.7) | 2069 (23.2) | 2056 (22.2) | 2250 (23.4) | 2374 (24.9) | 2421 (25.8) | 2422 (26.3) | 2266 (25.7) |
| ≥85 | 2130 (23.0) | 1986 (22.2) | 2210 (23.8) | 2401 (25.0) | 2372 (24.8) | 2445 (26.0) | 2521 (27.4) | 2534 (28.7) |
| Sex, female | 6219 (67.3) | 5961 (66.7) | 6047 (65.2) | 6326 (65.7) | 6129 (64.2) | 6017 (64.0) | 5807 (63.1) | 5529 (62.7) |
| Income, quintile | ||||||||
| <20% | 2387 (25.8) | 2122 (23.8) | 2264 (24.4) | 2387 (24.8) | 2309 (24.2) | 2274 (24.2) | 2285 (27.8) | 2160 (24.5) |
| 20~40% | 841 (9.1) | 875 (9.8) | 819 (8.8) | 975 (10.1) | 929 (9.7) | 911 (9.7) | 952 (10.3) | 894 (10.1) |
| 40~60% | 946 (10.2) | 898 (10.1) | 994 (10.7) | 1018 (10.6) | 997 (10.4) | 1028 (10.9) | 1071 (11.6) | 975 (11.1) |
| 60~80% | 1547 (16.7) | 1515 (17.0) | 1552 (16.7) | 1641 (17.1) | 1593 (16.7) | 1606 (17.08) | 1528 (16.6) | 1486 (16.9) |
| ≥80% | 3527 (38.1) | 3525 (39.5) | 3642 (39.3) | 3604 (37.4) | 3725 (39.0) | 3584 (38.1) | 3370 (36.6) | 3302 (37.5) |
| Comorbidities | ||||||||
| Diabetes | 784 (8.5) | 700 (7.8) | 717 (7.7) | 767 (8.0) | 764 (8.0) | 706 (7.5) | 633 (6.9) | 639 (7.3) |
| COPD | 38 (0.4) | 43 (0.5) | 42 (0.5) | 24 (0.25) | 25 (0.3) | 15 (0.2) | 21 (0.2) | 20 (0.2) |
| CKD | 36 (0.4) | 47 (0.5) | 54 (0.6) | 69 (0.7) | 60 (0.6) | 50 (0.5) | 55 (0.6) | 52 (0.6) |
| Dyslipidemia | 826 (8.9) | 756 (8.5) | 872 (9.4) | 903 (9.4) | 927 (9.7) | 982 (10.4) | 1006 (10.9) | 939 (10.7) |
| Stroke | 1716 (18.6) | 1646 (18.4) | 1611 (17.4) | 1648 (17.1) | 7565 (16.4) | 1549 (16.5) | 1398 (15.2) | 1302 (14.8) |
| Hypertension | 1862 (20.1) | 1694 (19.0) | 1690 (18.2) | 1749 (18.2) | 1687 (17.7) | 1585 (16.9) | 1493 (16.2) | 1328 (15.1) |
| Depression | 1271 (13.7) | 1214 (13.6) | 1303 (14.1) | 1344 (14.0) | 1353 (14.2) | 1345 (14.3) | 1461 (15.9) | 1526 (17.3) |
| Antidementia medication | ||||||||
| Donepezil | 6554 (70.9) | 6717 (75.2) | 7188 (77.5) | 7437 (77.3) | 7636 (79.9) | 7751 (82.4) | 7643 (83.0) | 7321 (83.0) |
| Galantamine | 644 (7.0) | 415 (4.6) | 300 (3.2) | 305 (3.2) | 257 (2.7) | 276 (2.9) | 192 (2.1) | 151 (1.7) |
| Rivastigmine | 1090 (11.8) | 1151 (12.9) | 1167 (12.6) | 1208 (12.6) | 922 (9.7) | 700 (7.4) | 639 (6.9) | 663 (7.5) |
| Memantine | 960 (10.4) | 652 (7.3) | 616 (6.6) | 675 (7.0) | 738 (7.7) | 675 (7.2) | 732 (8.0) | 682 (7.7) |
Publisher’s Note: MDPI stays neutral with regard to jurisdictional claims in published maps and institutional affiliations. |
© 2022 by the authors. Licensee MDPI, Basel, Switzerland. This article is an open access article distributed under the terms and conditions of the Creative Commons Attribution (CC BY) license (https://creativecommons.org/licenses/by/4.0/).
Share and Cite
Kwon, H.S.; Jeong, Y.W.; Kim, S.H.; Park, K.H.; Seo, S.W.; Na, H.R.; Koh, S.-H.; Shim, Y.; Park, M.H.; Chin, J.; et al. Annual Incidence of Dementia from 2003 to 2018 in Metropolitan Seoul, Korea: A Population-Based Study. J. Clin. Med. 2022, 11, 819. https://doi.org/10.3390/jcm11030819
Kwon HS, Jeong YW, Kim SH, Park KH, Seo SW, Na HR, Koh S-H, Shim Y, Park MH, Chin J, et al. Annual Incidence of Dementia from 2003 to 2018 in Metropolitan Seoul, Korea: A Population-Based Study. Journal of Clinical Medicine. 2022; 11(3):819. https://doi.org/10.3390/jcm11030819
Chicago/Turabian StyleKwon, Hyuk Sung, Yong Whi Jeong, Seung Hyun Kim, Kee Hyung Park, Sang Won Seo, Hae Ri Na, Seong-Ho Koh, YongSoo Shim, Moon Ho Park, Juhee Chin, and et al. 2022. "Annual Incidence of Dementia from 2003 to 2018 in Metropolitan Seoul, Korea: A Population-Based Study" Journal of Clinical Medicine 11, no. 3: 819. https://doi.org/10.3390/jcm11030819
APA StyleKwon, H. S., Jeong, Y. W., Kim, S. H., Park, K. H., Seo, S. W., Na, H. R., Koh, S.-H., Shim, Y., Park, M. H., Chin, J., Park, S., Kang, D. R., & Choi, H. (2022). Annual Incidence of Dementia from 2003 to 2018 in Metropolitan Seoul, Korea: A Population-Based Study. Journal of Clinical Medicine, 11(3), 819. https://doi.org/10.3390/jcm11030819

