Plasma Concentrations of Matrilysins MMP-7 and MMP-26 as Diagnostic Biomarkers in Breast Cancer
Abstract
1. Introduction
2. Materials and Methods
2.1. Study Participants
2.2. Plasma Collection and Storage
2.3. Measurement of MMP-7, MMP-26 and CA 15-3
2.4. Statistical Analysis
3. Results
4. Discussion
5. Conclusions
Author Contributions
Funding
Institutional Review Board Statement
Informed Consent Statement
Data Availability Statement
Conflicts of Interest
References
- Majeed, W.; Aslam, B.; Javed, I.; Khaliq, T.; Muhammad, F.; Ali, A.; Raza, A. Breast cancer: Major risk factors and recent developments in treatment. Asian Pac. J. Cancer Prev. 2014, 15, 3353–3358. [Google Scholar] [CrossRef] [PubMed]
- Radisky, E.S.; Radisky, D.C. Matrix metalloproteinases as breast cancer drivers and therapeutic targets. Front. Biosci. 2015, 20, 1144–1163. [Google Scholar] [CrossRef] [PubMed]
- Radisky, E.S.; Radisky, D.C. Matrix metalloproteinase-induced epithelial-mesenchymal transition in breast cancer. J. Mammary Gland Biol. Neoplasia 2010, 15, 201–212. [Google Scholar] [CrossRef]
- Nagase, H.; Visse, R.; Murphy, G. Structure and function of matrix metalloproteinases and TIMPs. Cardiovasc. Res. 2006, 69, 562–573. [Google Scholar] [CrossRef] [PubMed]
- Basu, S.; Thorat, R.; Dalal, S.N. MMP7 is required to mediate cell invasion and tumor formation upon Plakophilin3 loss. PLoS ONE 2015, 10, e0123979. [Google Scholar] [CrossRef]
- Paulsson, M. Basement membrane proteins: Structure, assembly, and cellular interactions. Crit. Rev. Biochem. Mol. Biol. 1992, 27, 93–127. [Google Scholar] [CrossRef]
- Chang, J.; Chaudhuri, O. Beyond proteases: Basement membrane mechanics and cancer invasion. J. Cell Biol. 2019, 218, 2456–2469. [Google Scholar] [CrossRef]
- Carraro, D.M.; Elias, E.V.; Andrade, V.P. Ductal carcinoma in situ of the breast: Morphological and molecular features implicated in progression. Biosci. Rep. 2014, 34. [Google Scholar] [CrossRef]
- Siegel, R.L.; Miller, K.D.; Jemal, A. Cancer statistics, 2019. CA Cancer J. Clin. 2019, 69, 7–34. [Google Scholar] [CrossRef]
- Ii, M.; Yamamoto, H.; Adachi, Y.; Maruyama, Y.; Shinomura, Y. Role of matrix metalloproteinase-7 (matrilysin) in human cancer invasion, apoptosis, growth, and angiogenesis. Exp. Biol. Med. 2006, 231, 20–27. [Google Scholar] [CrossRef]
- Furman, C.; Copin, C.; Kandoussi, M.; Davidson, R.; Moreau, M.; McTaggiart, F.; Chapman, M.J.; Fruchart, J.C.; Rouis, M. Rosuvastatin reduces MMP-7 secretion by human monocyte-derived macrophages: Potential relevance to atherosclerotic plaque stability. Atherosclerosis 2004, 174, 93–98. [Google Scholar] [CrossRef] [PubMed]
- Haro, H.; Crawford, H.C.; Fingleton, B.; Shinomiya, K.; Spengler, D.M.; Matrisian, L.M. Matrix metalloproteinase-7-dependent release of tumor necrosis factor-alpha in a model of herniated disc resorption. J. Clin. Investig. 2000, 105, 143–150. [Google Scholar] [CrossRef] [PubMed]
- Boixel, C.; Fontaine, V.; Rücker-Martin, C.; Milliez, P.; Louedec, L.; Michel, J.B.; Jacob, M.P.; Hatem, S.N. Fibrosis of the left atria during progression of heart failure is associated with increased matrix metalloproteinases in the rat. J. Am. Coll. Cardiol. 2003, 42, 336–344. [Google Scholar] [CrossRef]
- Uría, J.A.; López-Otín, C. Matrilysin-2, a new matrix metalloproteinase expressed in human tumors and showing the minimal domain organization required for secretion, latency, and activity. Cancer Res. 2000, 60, 4745–4751. [Google Scholar]
- Lee, S.; Desai, K.K.; Iczkowski, K.A.; Newcomer, R.G.; Wu, K.J.; Zhao, Y.G.; Tan, W.W.; Roycik, M.D.; Sang, Q.X. Coordinated peak expression of MMP-26 and TIMP-4 in preinvasive human prostate tumor. Cell Res. 2006, 16, 750–758. [Google Scholar] [CrossRef]
- Cui, N.; Hu, M.; Khalil, R.A. Biochemical and Biological Attributes of Matrix Metalloproteinases. Prog. Mol. Biol. Transl. Sci. 2017, 147, 1–73. [Google Scholar] [CrossRef]
- Marchenko, G.N.; Ratnikov, B.I.; Rozanov, D.V.; Godzik, A.; Deryugina, E.I.; Strongin, A.Y. Characterization of matrix metalloproteinase-26, a novel metalloproteinase widely expressed in cancer cells of epithelial origin. Biochem. J. 2001, 356, 705–718. [Google Scholar] [CrossRef]
- Marchenko, N.D.; Marchenko, G.N.; Weinreb, R.N.; Lindsey, J.D.; Kyshtoobayeva, A.; Crawford, H.C.; Strongin, A.Y. Beta-catenin regulates the gene of MMP-26, a novel metalloproteinase expressed both in carcinomas and normal epithelial cells. Int. J. Biochem. Cell Biol. 2004, 36, 942–956. [Google Scholar] [CrossRef]
- Ripley, D.; Tunuguntla, R.; Susi, L.; Chegini, N. Expression of matrix metalloproteinase-26 and tissue inhibitors of metalloproteinase-3 and -4 in normal ovary and ovarian carcinoma. Int. J. Gynecol. Cancer 2006, 16, 1794–1800. [Google Scholar] [CrossRef]
- Chegini, N.; Rhoton-Vlasak, A.; Williams, R.S. Expression of matrix metalloproteinase-26 and tissue inhibitor of matrix metalloproteinase-3 and -4 in endometrium throughout the normal menstrual cycle and alteration in users of levonorgestrel implants who experience irregular uterine bleeding. Fertil. Steril. 2003, 80, 564–570. [Google Scholar] [CrossRef]
- von Bredow, D.C.; Cress, A.E.; Howard, E.W.; Bowden, G.T.; Nagle, R.B. Activation of gelatinase-tissue-inhibitors-of-metalloproteinase complexes by matrilysin. Biochem. J. 1998, 331, 965–972. [Google Scholar] [CrossRef]
- Ramos-DeSimone, N.; Hahn-Dantona, E.; Sipley, J.; Nagase, H.; French, D.L.; Quigley, J.P. Activation of matrix metalloproteinase-9 (MMP-9) via a converging plasmin/stromelysin-1 cascade enhances tumor cell invasion. J. Biol. Chem. 1999, 274, 13066–13076. [Google Scholar] [CrossRef]
- Christensen, J.; Shastri, V.P. Matrix-metalloproteinase-9 is cleaved and activated by cathepsin K. BMC Res. Notes 2015, 8, 322. [Google Scholar] [CrossRef]
- Zajkowska, M.; Gacuta, E.; Kozłowska, S.; Lubowicka, E.; Głażewska, E.K.; Chrostek, L.; Szmitkowski, M.; Pawłowski, P.; Zbucka-Krętowska, M.; Ławicki, S. Diagnostic power of VEGF, MMP-9 and TIMP-1 in patients with breast cancer. A multivariate statistical analysis with ROC curve. Adv. Med. Sci. 2019, 64, 1–8. [Google Scholar] [CrossRef]
- Ławicki, S.; Głażewska, E.K.; Sobolewska, M.; Będkowska, G.E.; Szmitkowski, M. Plasma Levels and Diagnostic Utility of Macrophage Colony-Stimulating Factor, Matrix Metalloproteinase-9, and Tissue Inhibitor of Metalloproteinases-1 as New Biomarkers of Breast Cancer. Ann. Lab. Med. 2016, 36, 223–229. [Google Scholar] [CrossRef]
- Ławicki, S.; Zajkowska, M.; Głażewska, E.K.; Będkowska, G.E.; Szmitkowski, M. Plasma levels and diagnostic utility of VEGF, MMP-2 and TIMP-2 in the diagnostics of breast cancer patients. Biomarkers 2017, 22, 157–164. [Google Scholar] [CrossRef] [PubMed]
- Thrailkill, K.; Cockrell, G.; Simpson, P.; Moreau, C.; Fowlkes, J.; Bunn, R.C. Physiological matrix metalloproteinase (MMP) concentrations: Comparison of serum and plasma specimens. Clin. Chem. Lab. Med. 2006, 44, 503–504. [Google Scholar] [CrossRef] [PubMed]
- Jonsson, A.; Hjalmarsson, C.; Falk, P.; Ivarsson, M.L. Levels of matrix metalloproteinases differ in plasma and serum—Aspects regarding analysis of biological markers in cancer. Br. J. Cancer 2016, 115, 703–706. [Google Scholar] [CrossRef] [PubMed]
- Santana, I.V.; Tanus-Santos, J.E. Serum or Plasma Matrix Metalloproteinase (MMP)-9 Levels and Cardiovascular Diseases. J. Cardiovasc. Transl. Res. 2018, 11, 524–525. [Google Scholar] [CrossRef] [PubMed]
- Molinaro, A.M. Diagnostic tests: How to estimate the positive predictive value. Neurooncol. Pract. 2015, 2, 162–166. [Google Scholar] [CrossRef][Green Version]
- Radisky, E.S.; Raeeszadeh-Sarmazdeh, M.; Radisky, D.C. Therapeutic Potential of Matrix Metalloproteinase Inhibition in Breast Cancer. J. Cell. Biochem. 2017, 118, 3531–3548. [Google Scholar] [CrossRef] [PubMed]
- Quintero-Fabián, S.; Arreola, R.; Becerril-Villanueva, E.; Torres-Romero, J.C.; Arana-Argáez, V.; Lara-Riegos, J.; Ramírez-Camacho, M.A.; Alvarez-Sánchez, M.E. Role of Matrix Metalloproteinases in Angiogenesis and Cancer. Front. Oncol. 2019, 9, 1370. [Google Scholar] [CrossRef] [PubMed]
- Van Poznak, C.; Harris, L.N.; Somerfield, M.R. Use of Biomarkers to Guide Decisions on Systemic Therapy for Women With Metastatic Breast Cancer: American Society of Clinical Oncology Clinical Practice Guideline. J. Oncol. Pract. 2015, 11, 514–516. [Google Scholar] [CrossRef]
- Hing, J.X.; Mok, C.W.; Tan, P.T.; Sudhakar, S.S.; Seah, C.M.; Lee, W.P.; Tan, S.M. Clinical utility of tumour marker velocity of cancer antigen 15-3 (CA 15-3) and carcinoembryonic antigen (CEA) in breast cancer surveillance. Breast 2020, 52, 95–101. [Google Scholar] [CrossRef]
- Molina, R.; Auge, J.M.; Farrus, B.; Zanón, G.; Pahisa, J.; Muñoz, M.; Torne, A.; Filella, X.; Escudero, J.M.; Fernandez, P.; et al. Prospective evaluation of carcinoembryonic antigen (CEA) and carbohydrate antigen 15.3 (CA 15.3) in patients with primary locoregional breast cancer. Clin. Chem. 2010, 56, 1148–1157. [Google Scholar] [CrossRef]
- Duffy, M.J. Serum tumor markers in breast cancer: Are they of clinical value? Clin. Chem. 2006, 52, 345–351. [Google Scholar] [CrossRef] [PubMed]
- Duffy, M.J.; Duggan, C.; Keane, R.; Hill, A.D.; McDermott, E.; Crown, J.; O’Higgins, N. High preoperative CA 15-3 concentrations predict adverse outcome in node-negative and node-positive breast cancer: Study of 600 patients with histologically confirmed breast cancer. Clin. Chem. 2004, 50, 559–563. [Google Scholar] [CrossRef]
- Somiari, S.B.; Somiari, R.I.; Heckman, C.M.; Olsen, C.H.; Jordan, R.M.; Russell, S.J.; Shriver, C.D. Circulating MMP2 and MMP9 in breast cancer—Potential role in classification of patients into low risk, high risk, benign disease and breast cancer categories. Int. J. Cancer 2006, 119, 1403–1411. [Google Scholar] [CrossRef]
- Kim, Y.; Ollberding, N.J.; Shvetsov, Y.B.; Franke, A.A.; Wilkens, L.R.; Maskarinec, G.; Hernandez, B.Y.; Le Marchand, L.; Henderson, B.E.; Kolonel, L.N.; et al. Plasma matrix metalloproteinases and postmenopausal breast cancer risk: A nested case-control study in the Multiethnic Cohort study. Breast Cancer Res. Treat. 2012, 136, 837–845. [Google Scholar] [CrossRef]
- Aroner, S.A.; Rosner, B.A.; Tamimi, R.M.; Tworoger, S.S.; Baur, N.; Joos, T.O.; Hankinson, S.E. Plasma matrix metalloproteinase 1, 3, and 7 levels and breast cancer risk in the Nurses’ Health study. Cancer Causes Control 2014, 25, 1717–1723. [Google Scholar] [CrossRef]
- Katunina, A.I.; Gershtein, E.S.; Ermilova, V.D.; Tereshkina, I.V.; Nazarenko, A.Y.; Tyleuova, A.A.; Dvorova, E.K.; Karabekova, Z.K.; Gritskevich, M.V.; Berezov, T.T. Matrix metalloproteinases 2, 7, and 9 in tumors and sera of patients with breast cancer. Bull. Exp. Biol. Med. 2011, 151, 359–362. [Google Scholar] [CrossRef] [PubMed]
- Li, W.; Savinov, A.Y.; Rozanov, D.V.; Golubkov, V.S.; Hedayat, H.; Postnova, T.I.; Golubkova, N.V.; Linli, Y.; Krajewski, S.; Strongin, A.Y. Matrix metalloproteinase-26 is associated with estrogen-dependent malignancies and targets alpha1-antitrypsin serpin. Cancer Res. 2004, 64, 8657–8665. [Google Scholar] [CrossRef]
- Yang, H.; Wang, Y.; Li, Y.; Zhang, L.; Deng, Y.; Qi, D.; Li, W. Roles of matrix metalloproteinase-26 in the growth, invasion and angiogenesis of breast cancer. Oncol. Lett. 2012, 4, 832–836. [Google Scholar] [CrossRef] [PubMed]
- Galewska, Z.; Romanowicz, L.; Jaworski, S.; Bańkowski, E. Matrix metalloproteinases, MMP-7 and MMP-26, in plasma and serum of control and preeclamptic umbilical cord blood. Eur. J. Obstet. Gynecol. Reprod. Biol. 2010, 150, 152–156. [Google Scholar] [CrossRef] [PubMed]
- Będkowska, G.E.; Gacuta, E.; Zajkowska, M.; Głażewska, E.K.; Osada, J.; Szmitkowski, M.; Chrostek, L.; Dąbrowska, M.; Ławicki, S. Plasma levels of MMP-7 and TIMP-1 in laboratory diagnostics and differentiation of selected histological types of epithelial ovarian cancers. J. Ovarian Res. 2017, 10, 39. [Google Scholar] [CrossRef] [PubMed]
- Leelawat, K.; Narong, S.; Wannaprasert, J.; Ratanashu-ek, T. Prospective study of MMP7 serum levels in the diagnosis of cholangiocarcinoma. World J. Gastroenterol. 2010, 16, 4697–4703. [Google Scholar] [CrossRef] [PubMed]
- Vočka, M.; Langer, D.; Fryba, V.; Petrtyl, J.; Hanus, T.; Kalousova, M.; Zima, T.; Petruzelka, L. Serum levels of TIMP-1 and MMP-7 as potential biomarkers in patients with metastatic colorectal cancer. Int. J. Biol. Markers 2019, 34, 292–301. [Google Scholar] [CrossRef]






| Study Group | Number of Cases | ||
|---|---|---|---|
| Study groups: breast cancer patients | Ductal adenocarcinoma | 120 | |
| Median age (range) | 54 (21–85) | ||
| Tumour stage | I | 40 | |
| II | 40 | ||
| III + IV | 40 | ||
| Menopausal status | |||
| Premenopausal | 38 | ||
| Postmenopausal | 82 | ||
| Control groups | Benign breast tumour lesions subjects | 40 | |
| adenoma fibroadenoma | 18 | ||
| 22 | |||
| Median age (range) | 44 (33–63) | ||
| Menopausal status | |||
| Premenopausal | 17 | ||
| Postmenopausal | 23 | ||
| Healthy women | 40 | ||
| Median age (range) | 46 (25–64) | ||
| Menopausal status | |||
| Premenopausal | 18 | ||
| Postmenopausal | 22 | ||
| Tested Parameters | Diagnostic Criteria (%) | Breast Cancer | |||
|---|---|---|---|---|---|
| Stage I | Stage II | Stages III + IV | Total Group | ||
| MMP-7 | SE | 27.5 | 32.5 | 75.0 | 45.0 |
| SP | 95.0 | 95.0 | 95.0 | 95.0 | |
| PPV | 84.6 | 86.7 | 93.7 | 96.4 | |
| NPV | 56.7 | 58.5 | 79.2 | 36.5 | |
| MMP-26 | SE | 20.0 | 37.5 | 77.5 | 45.0 |
| SP | 95.0 | 95.0 | 95.0 | 95.0 | |
| PPV | 80.0 | 88.2 | 93.9 | 96.4 | |
| NPV | 54.3 | 60.3 | 80.9 | 36.5 | |
| CA 15-3 | SE | 12.5 | 27.5 | 57.5 | 32.5 |
| SP | 95.0 | 95.0 | 95.0 | 95.0 | |
| PPV | 71.4 | 84.6 | 92.0 | 95.1 | |
| NPV | 52.1 | 56.7 | 69.1 | 31.9 | |
| MMP-7 + CA 15-3 | SE | 35.0 | 45.0 | 90.0 | 56.7 |
| SP | 90.0 | 90.0 | 90.0 | 90.0 | |
| PPV | 77.8 | 81.8 | 92.3 | 94.4 | |
| NPV | 58.1 | 62.1 | 90.0 | 40.9 | |
| MMP-26 + CA 15-3 | SE | 27.5 | 50.0 | 87.5 | 55.0 |
| SP | 90.0 | 90.0 | 90.0 | 90.0 | |
| PPV | 73.3 | 83.3 | 89.7 | 94.3 | |
| NPV | 55.4 | 64.3 | 87.8 | 40.0 | |
| MMP-7 + MMP-26 + CA 15-3 | SE | 40.0 | 57.5 | 92.5 | 63.3 |
| SP | 85.0 | 85.0 | 85.0 | 85.0 | |
| PPV | 72.7 | 79.3 | 86.1 | 92.7 | |
| NPV | 58.6 | 66.7 | 87.2 | 43.6 | |
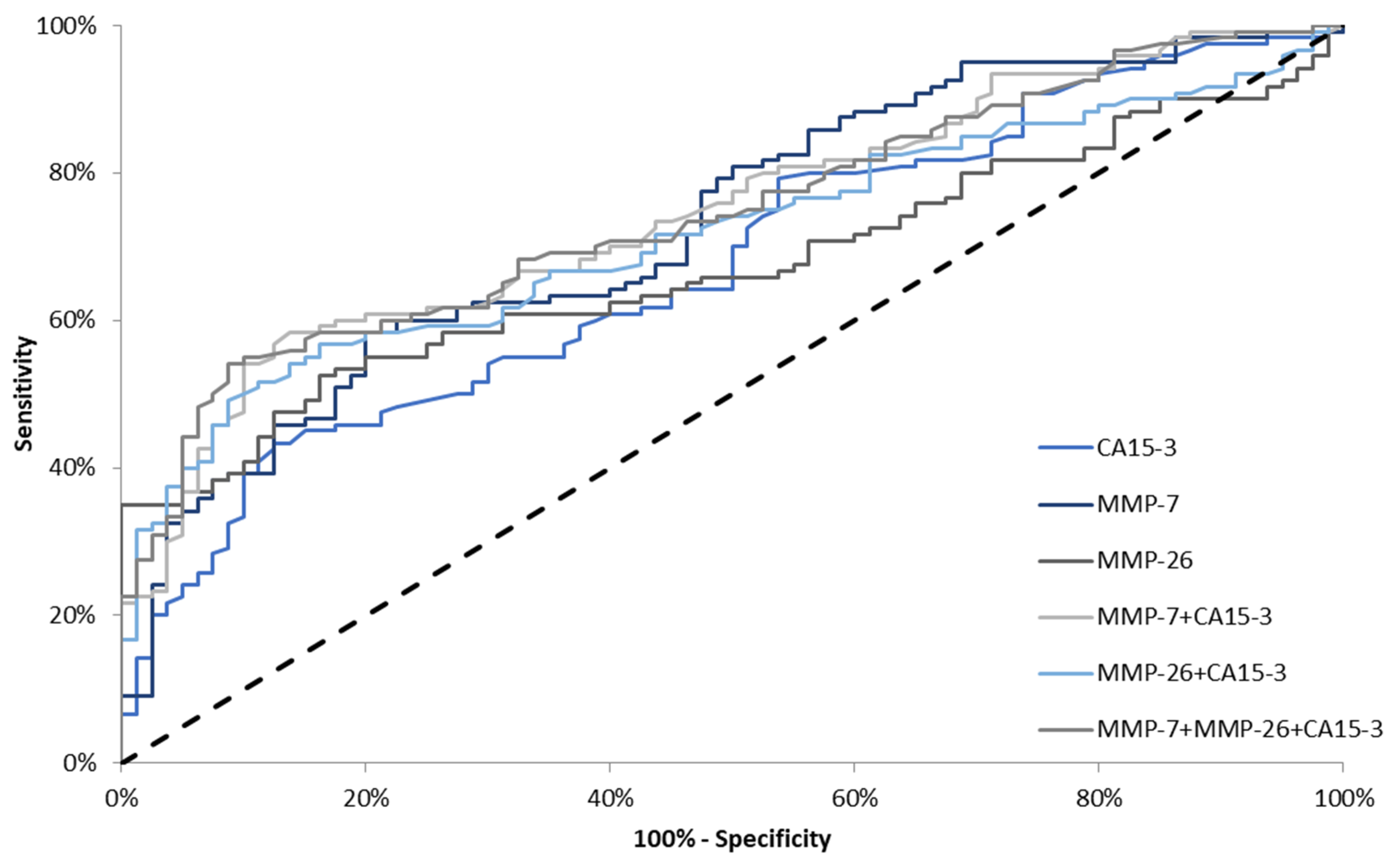
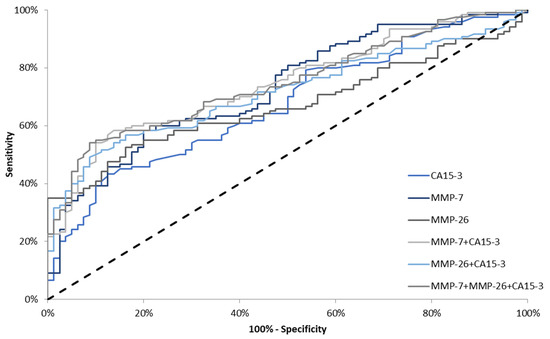
| Tested Parameters | AUC | SE | 95% C.I. (AUC) | p (AUC = 0.5) |
|---|---|---|---|---|
| ROC Criteria in Breast Cancer (Total Group) | ||||
| MMP-7 | 0.7306 | 0.0355 | (0.661–0.800) | <0.001 |
| MMP-26 | 0.6720 | 0.0375 | (0.599–0.745) | <0.001 |
| CA 15-3 | 0.6743 | 0.0378 | (0.600–0.748) | <0.001 |
| MMP-7 + CA 15-3 | 0.7464 | 0.0341 | (0.680–0.813) | <0.001 |
| MMP-26 + CA 15-3 | 0.7157 | 0.0357 | (0.646–0.786) | <0.001 |
| MMP-7 + MMP-26 + CA 15-3 | 0.7461 | 0.0339 | (0.680–0.813) | <0.001 |
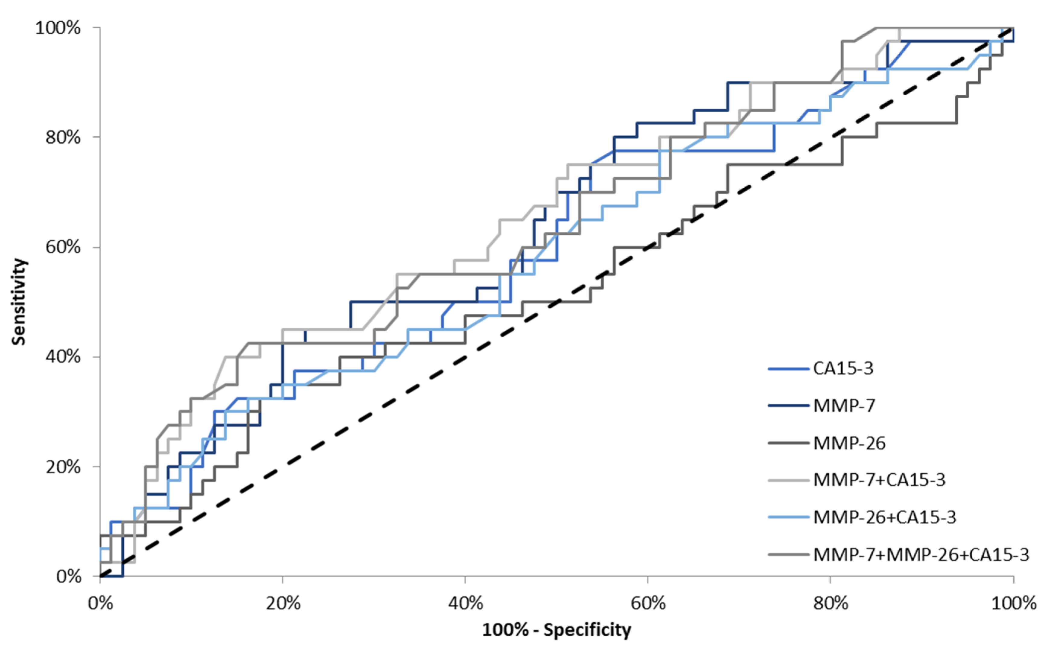
| ROC Criteria in Breast Cancer (Stage I) | ||||
| MMP-7 | 0.6328 | 0.0538 | (0.527–0.738) | 0.0136 |
| MMP-26 | 0.5259 | 0.0597 | (0.409–0.643) | 0.6638 |
| CA 15-3 | 0.5988 | 0.0556 | (0.490–0.708) | 0.0755 |
| MMP-7 + CA 15-3 | 0.6538 | 0.0535 | (0.549–0.759) | 0.0040 |
| MMP-26 + CA 15-3 | 0.5856 | 0.0565 | (0.475–0.696) | 0.1297 |
| MMP-7 + MMP-26 + CA 15-3 | 0.6413 | 0.0540 | (0.535–0.747) | 0.0090 |
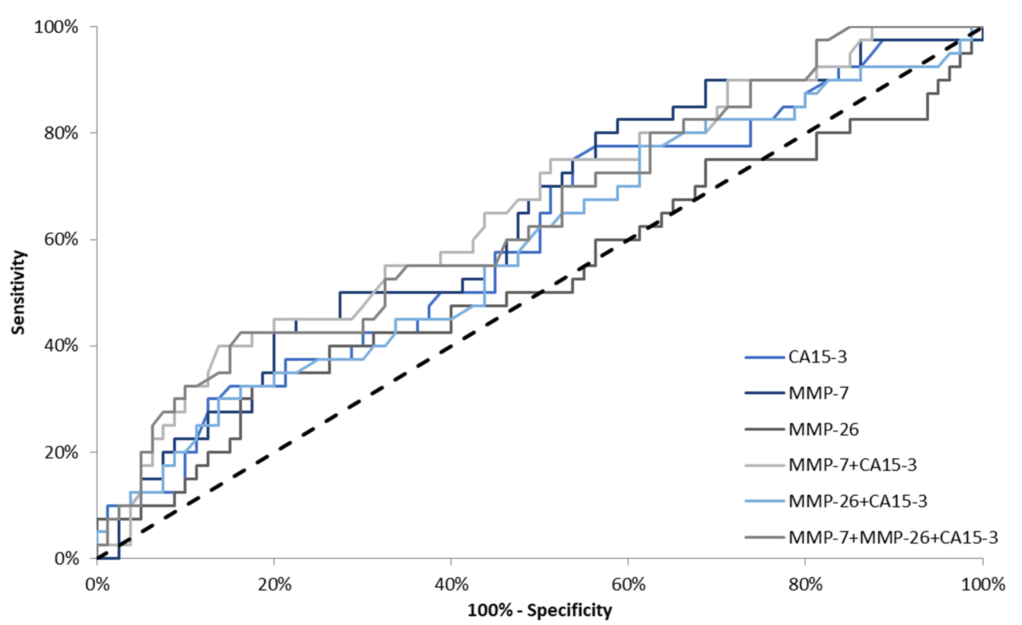
| ROC Criteria in Breast Cancer (Stage II) | ||||
| MMP-7 | 0.6697 | 0.0500 | (0.572–0.768) | 0.0007 |
| MMP-26 | 0.6216 | 0.0620 | (0.500–0.743) | 0.0499 |
| CA 15-3 | 0.6270 | 0.0568 | (0.516–0.738) | 0.0252 |
| MMP-7 + CA 15-3 | 0.6745 | 0.0541 | (0.568–0.781) | 0.0013 |
| MMP-26 + CA 15-3 | 0.6711 | 0.0599 | (0.554–0.788) | 0.0043 |
| MMP-7 + MMP-26 + CA 15-3 | 0.6834 | 0.0551 | (0.575–0.791) | 0.0009 |
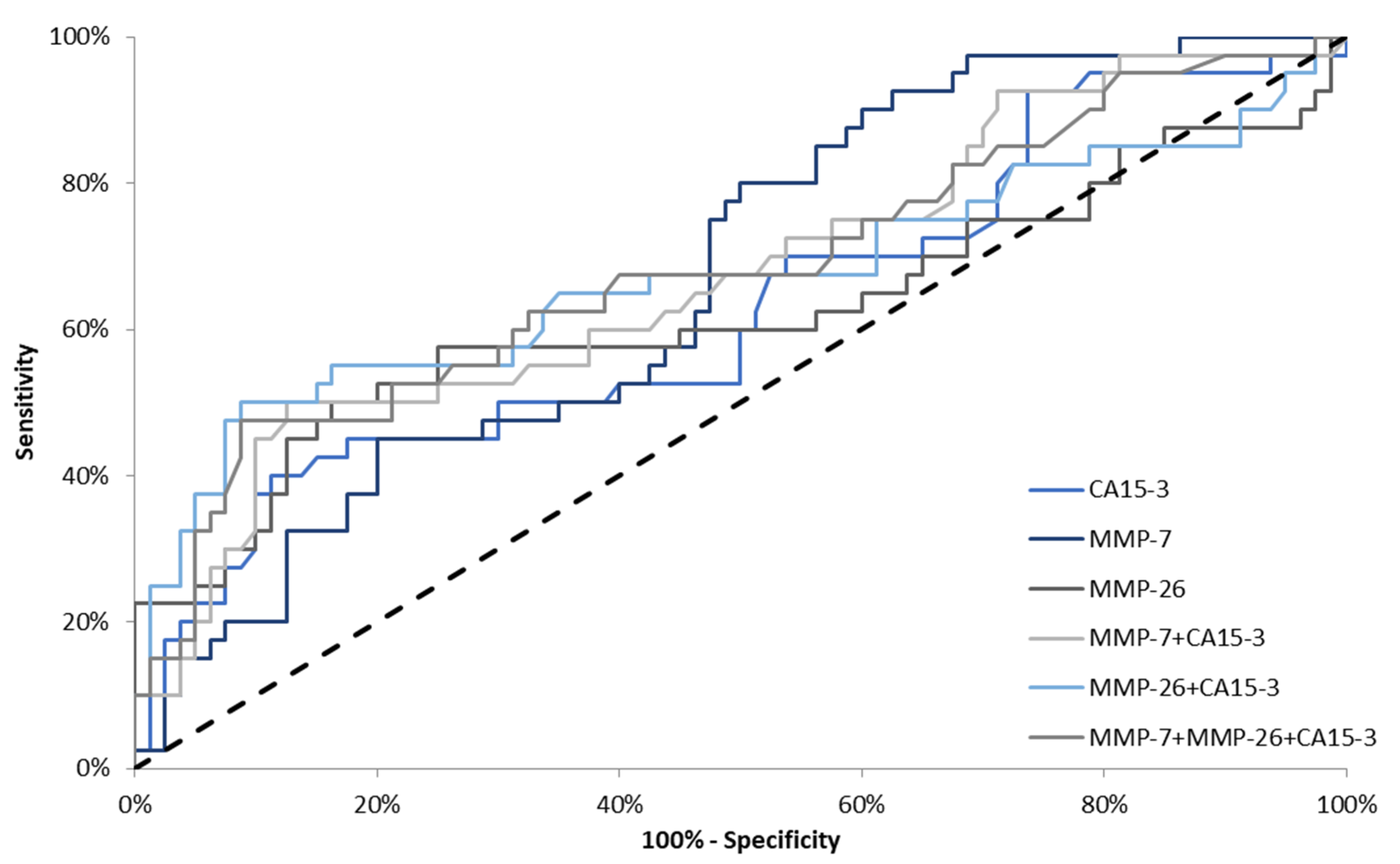
| ROC Criteria in Breast Cancer (Stages III + IV) | ||||
| MMP-7 | 0.8894 | 0.0361 | (0.819–0.960) | <0.001 |
| MMP-26 | 0.8684 | 0.0419 | (0.786–0.951) | <0.001 |
| CA 15-3 | 0.7970 | 0.0433 | (0.712–0.882) | <0.001 |
| MMP-7 + CA 15-3 | 0.9109 | 0.0320 | (0.848–0.974) | <0.001 |
| MMP-26 + CA 15-3 | 0.8905 | 0.0375 | (0.817–0.964) | <0.001 |
| MMP-7 + MMP-26 + CA 15-3 | 0.9138 | 0.0325 | (0.850–0.977) | <0.001 |
Publisher’s Note: MDPI stays neutral with regard to jurisdictional claims in published maps and institutional affiliations. |
© 2021 by the authors. Licensee MDPI, Basel, Switzerland. This article is an open access article distributed under the terms and conditions of the Creative Commons Attribution (CC BY) license (https://creativecommons.org/licenses/by/4.0/).
Share and Cite
Piskór, B.M.; Przylipiak, A.; Dąbrowska, E.; Sidorkiewicz, I.; Niczyporuk, M.; Szmitkowski, M.; Ławicki, S. Plasma Concentrations of Matrilysins MMP-7 and MMP-26 as Diagnostic Biomarkers in Breast Cancer. J. Clin. Med. 2021, 10, 1436. https://doi.org/10.3390/jcm10071436
Piskór BM, Przylipiak A, Dąbrowska E, Sidorkiewicz I, Niczyporuk M, Szmitkowski M, Ławicki S. Plasma Concentrations of Matrilysins MMP-7 and MMP-26 as Diagnostic Biomarkers in Breast Cancer. Journal of Clinical Medicine. 2021; 10(7):1436. https://doi.org/10.3390/jcm10071436
Chicago/Turabian StylePiskór, Barbara Maria, Andrzej Przylipiak, Emilia Dąbrowska, Iwona Sidorkiewicz, Marek Niczyporuk, Maciej Szmitkowski, and Sławomir Ławicki. 2021. "Plasma Concentrations of Matrilysins MMP-7 and MMP-26 as Diagnostic Biomarkers in Breast Cancer" Journal of Clinical Medicine 10, no. 7: 1436. https://doi.org/10.3390/jcm10071436
APA StylePiskór, B. M., Przylipiak, A., Dąbrowska, E., Sidorkiewicz, I., Niczyporuk, M., Szmitkowski, M., & Ławicki, S. (2021). Plasma Concentrations of Matrilysins MMP-7 and MMP-26 as Diagnostic Biomarkers in Breast Cancer. Journal of Clinical Medicine, 10(7), 1436. https://doi.org/10.3390/jcm10071436

