Effect of Inpatient and Outpatient Pneumonia on Mobility Disability, Gait Speed, and Physical Activity in Older Adults
Abstract
1. Introduction
2. Experimental Section
2.1. Intervention
2.2. Follow-Up Visits and Outcome Assessment
2.3. Intervening Health Events
2.4. Statistical Analyses
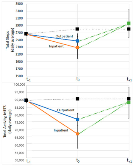
3. Results
4. Discussion
Limitations
5. Conclusions
Author Contributions
Funding
Institutional Review Board Statement
Informed Consent Statement
Data Availability Statement
Conflicts of Interest
References
- Gill, T.M. Disentangling the disabling process: Insights from the precipitating events project. Gerontologist 2014, 54, 533–549. [Google Scholar] [CrossRef]
- Gill, T.M.; Han, L.; Gahbauer, E.A.; Leo-Summers, L.; Murphy, T.E. Risk factors and precipitants of severe disability among community-living older persons. JAMA Netw. Open 2020, 3, e206021. [Google Scholar] [CrossRef]
- Nybo, H.; Petersen, H.C.; Gaist, D.; Jeune, B.; Andersen, K.; McGue, M.; Vaupel, J.W.; Christensen, K. Predictors of mortality in 2,249 nonagenarians—The danish 1905-cohort survey. J. Am. Geriatr. Soc. 2003, 51, 1365–1373. [Google Scholar] [CrossRef]
- Gill, T.M.; Robison, J.T.; Tinetti, M.E. Difficulty and dependence: Two components of the disability continuum among community-living older persons. Ann. Intern. Med. 1998, 128, 96–101. [Google Scholar] [CrossRef]
- Cheng, Y.; Goodin, A.J.; Pahor, M.; Manini, T.; Brown, J.D. Healthcare utilization and physical functioning in older adults in the united states. J. Am. Geriatr. Soc. 2020, 68, 266–271. [Google Scholar] [CrossRef]
- Brown, J.D.; Harnett, J.; Chambers, R.; Sato, R. The relative burden of community-acquired pneumonia hospitalizations in older adults: A retrospective observational study in the united states. BMC Geriatr. 2018, 18, 92. [Google Scholar] [CrossRef]
- Olasupa, O.O.; Xiao, H.; Brown, J.D. Relative Clinical and Cost Burden of Community-Acquired Pneumonia Hospitalizations in Older Adults in the United States—A Cross-Sectional Analysis. Vaccines 2018, 6, 59. [Google Scholar] [CrossRef]
- Yu, H.; Rubin, J.; Dunning, S.; Li, S.; Sato, R. Clinical and economic burden of community-acquired pneumonia in the medicare fee-for-service population. J. Am. Geriatr. Soc. 2012, 60, 2137–2143. [Google Scholar] [CrossRef] [PubMed]
- Centers for Disease Control & Prevention; National Center for Health Statistics. Average Length of Stay for Discharges from Short-Stay Hospitals, by Age and First-Listed Diagnosis. Available online: http://www.cdc.gov/nchs/data/nhds/2average/2010ave2_dischargesage.pdf (accessed on 19 August 2020).
- Davydow, D.S.; Hough, C.L.; Levine, D.A.; Langa, K.M.; Iwashyna, T.J. Functional disability, cognitive impairment, and depression after hospitalization for pneumonia. Am. J. Med. 2013, 126, 615–624. [Google Scholar] [CrossRef] [PubMed]
- Andrade, L.F.; Saba, G.; Ricard, J.D.; Messika, J.; Gaillat, J.; Bonnin, P.; Chidiac, C.; Illes, H.G.; Laurichesse, H.; Detournay, B.; et al. Health related quality of life in patients with community-acquired pneumococcal pneumonia in france. Health Qual. Life Outcomes 2018, 16, 1–14. [Google Scholar] [CrossRef] [PubMed]
- Girard, T.D.; Self, W.H.; Edwards, K.M.; Grijalva, C.G.; Zhu, Y.; Williams, D.J.; Jain, S.; Jackson, J.C. Long-term cognitive impairment after hospitalization for community-acquired pneumonia: A prospective cohort study. J. Gen. Intern. Med. 2018, 33, 929–935. [Google Scholar] [CrossRef] [PubMed]
- Fielding, R.A.; Rejeski, W.J.; Blair, S.; Church, T.; Espeland, M.A.; Gill, T.M.; Guralnik, J.M.; Hsu, F.C.; Katula, J.; King, A.C.; et al. The lifestyle interventions and independence for elders study: Design and methods. J. Gerontol. A Biol. Sci. Med. Sci. 2011, 66, 1226–1237. [Google Scholar] [CrossRef]
- Marsh, A.P.; Lovato, L.C.; Glynn, N.W.; Kennedy, K.; Castro, C.; Domanchuk, K.; McDavitt, E.; Rodate, R.; Marsiske, M.; McGloin, J.; et al. Lifestyle interventions and independence for elders study: Recruitment and baseline characteristics. J. Gerontol. A Biol. Sci. Med. Sci. 2013, 68, 1549–1558. [Google Scholar] [CrossRef] [PubMed]
- Rejeski, W.J.; Axtell, R.; Fielding, R.; Katula, J.; King, A.C.; Manini, T.M.; Marsh, A.P.; Pahor, M.; Rego, A.; Tudor-Locke, C.; et al. Promoting physical activity for elders with compromised function: The lifestyle interventions and independence for elders (life) study physical activity intervention. Clin. Interv. Aging 2013, 8, 1119–1131. [Google Scholar] [CrossRef] [PubMed]
- Pahor, M.; Guralnik, J.M.; Ambrosius, W.T.; Blair, S.; Bonds, D.E.; Church, T.S.; Espeland, M.A.; Fielding, R.A.; Gill, T.M.; Groessl, E.J.; et al. Effect of structured physical activity on prevention of major mobility disability in older adults: The life study randomized clinical trial. JAMA 2014, 311, 2387–2396. [Google Scholar] [CrossRef] [PubMed]
- Mankowski, R.T.; Anton, S.D.; Axtell, R.; Chen, S.H.; Fielding, R.A.; Glynn, N.W.; Hsu, F.; King, A.C.; Layne, A.S.; Leeuwenburgh, C.; et al. Device-measured physical activity as a predictor of disability in mobility-limited older adults. J. Am. Geriatr. Soc. 2017, 65, 2251–2256. [Google Scholar] [CrossRef]
- Brown, J.D.; Alipour-Haris, G.; Pahor, M.; Manini, T.M. Association between a deficit accumulation frailty index and mobility outcomes in older adults: Secondary analysis of the lifestyle interventions and independence for elders (life) study. J. Clin. Med. 2020, 9, 3757. [Google Scholar] [CrossRef] [PubMed]
- Gill, T.M.; Beavers, D.P.; Guralnik, J.M.; Pahor, M.; Fielding, R.A.; Hauser, M.; Manini, T.M.; Marsh, A.P.; McDermott, M.M.; Newman, A.B.; et al. The effect of intervening hospitalizations on the benefit of structured physical activity in promoting independent mobility among community-living older persons: Secondary analysis of a randomized controlled trial. BMC Med. 2017, 15, 65. [Google Scholar] [CrossRef]
- Matanock, A.; Lee, G.; Gierke, R.; Kobayashi, M.; Leidner, A.; Pilishvili, T. Use of 13-valent pneumococcal conjugate vaccine and 23-valent pneumococcal polysaccharide vaccine among adults aged ≥65 years: Updated recommendations of the advisory committee on immunization practices. Morb. Mortal. Wkly. Rep. 2019, 68, 1069–1075. [Google Scholar] [CrossRef]
- Faverio, P.; Aliberti, S.; Bellelli, G.; Suigo, G.; Lonni, S.; Pesci, A.; Restrepo, M.I. The management of community-acquired pneumonia in the elderly. Eur. J. Intern. Med. 2014, 25, 312–319. [Google Scholar] [CrossRef]
- Corrales-Medina, V.F.; Musher, D.M.; Shachkina, S.; Chirinos, J.A. Acute pneumonia and the cardiovascular system. Lancet (Lond. Engl.) 2013, 381, 496–505. [Google Scholar] [CrossRef]
- Musher, D.M.; Abers, M.S.; Corrales-Medina, V.F. Acute infection and myocardial infarction. N. Engl. J. Med. 2019, 380, 171–176. [Google Scholar] [CrossRef] [PubMed]
- Centers for Disease Control and Prevention. Pneumonia: Vaccines Help Prevent Pneumonia. Available online: https://www.cdc.gov/pneumonia/prevention.html (accessed on 12 December 2020).
- Black, C.L.; Williams, W.W.; Warnock, R.; Pilishvili, T.; Kim, D.; Kelman, J.A. Pneumococcal vaccination among medicare beneficiaries occurring after the advisory committee on immunization practices recommendation for routine use of 13-valent pneumococcal conjugate vaccine and 23-valent pneumococcal polysaccharide vaccine for adults aged ≥65 years. Morb. Mortal. Wkly. Rep. 2017, 66, 728–733. [Google Scholar]
- Williams, W.W.; Lu, P.J.; O’Halloran, A.; Bridges, C.B.; Kim, D.K.; Pilishvili, T.; Hales, C.M.; Markowitz, L.E. Vaccination coverage among adults, excluding influenza vaccination—United states, 2013. Morb. Mortal. Wkly. Rep. 2015, 64, 95–102. [Google Scholar]
- Olasupo, O.; Segal, R.; Brown, J.D. Missed Opportunities for Pneumococcal Vaccinations in High-Risk and Older Adults in the United States. J. Infect. Public Health 2020, 13, 101–103. [Google Scholar] [CrossRef] [PubMed]
- Maciosek, M.V.; Coffield, A.B.; Edwards, N.M.; Flottemesch, T.J.; Goodman, M.J.; Solberg, L.I. Priorities among effective clinical preventive services: Results of a systematic review and analysis. Am. J. Prev. Med. 2006, 31, 52–61. [Google Scholar] [CrossRef] [PubMed]




| No Pneumonia (n = 1461) | Pneumonia (n = 174) | ||||
|---|---|---|---|---|---|
| n/mean | %/SD | n/mean | %/SD | p-Value | |
| Demographics | |||||
| Age, years | 78.84 | 5.18 | 79.22 | 5.65 | 0.367 |
| Female | 992 | 67.9% | 114 | 65.5% | 0.526 |
| Race | 0.146 | ||||
| Black | 262 | 17.9% | 21 | 12.1% | |
| Other | 94 | 6.4% | 13 | 7.5% | |
| White | 1086 | 74.3% | 138 | 79.3% | |
| Education ≥ high school | 985 | 67.4% | 121 | 69.5% | 0.572 |
| Smoking | 0.379 | ||||
| Former | 647 | 44.3% | 86 | 49.4% | |
| Current | 44 | 3.0% | 6 | 3.4% | |
| Number of medications | 4.84 | 3.09 | 5.86 | 3.49 | <0.001 |
| Hospitalization, baseline | 109 | 7.5% | 25 | 14.4% | 0.002 |
| Assigned to physical activity intervention arm | 735 | 50.3% | 98 | 56.3% | 0.134 |
| Self-rated health | 0.155 | ||||
| Excellent | 101 | 6.9% | 8 | 4.6% | |
| Very good | 414 | 28.3% | 48 | 27.6% | |
| Good | 715 | 48.9% | 78 | 44.8% | |
| Fair | 214 | 14.6% | 37 | 21.3% | |
| Poor | 17 | 1.2% | 3 | 1.7% | |
| Comorbidities/Medical History | |||||
| Heart attack | 145 | 9.9% | 17 | 9.8% | 0.949 |
| Heart failure | 86 | 5.9% | 14 | 8.1% | 0.261 |
| Stroke | 103 | 7.0% | 17 | 9.8% | 0.193 |
| Cancer | 345 | 23.6% | 47 | 27.2% | 0.321 |
| Diabetes | 402 | 27.5% | 50 | 28.9% | 0.734 |
| Arthritis | 284 | 19.4% | 38 | 22.0% | 0.452 |
| Respiratory Functioning | |||||
| Pneumonia | 479 | 32.8% | 82 | 47.1% | <0.001 |
| Bronchitis | 534 | 36.6% | 77 | 44.3% | 0.047 |
| Cough | 192 | 13.1% | 37 | 21.3% | 0.004 |
| Phlegm | 209 | 14.3% | 29 | 16.7% | 0.404 |
| Chronic bronchitis | 107 | 7.3% | 22 | 12.6% | 0.014 |
| Emphysema | 47 | 3.2% | 12 | 6.9% | 0.014 |
| Asthma | 202 | 13.8% | 36 | 20.7% | 0.015 |
| Inhaler use | 126 | 8.6% | 33 | 19.0% | <0.001 |
| Forced Expiratory Volume after 1 s (FEV1), L | 1.9 | 0.6 | 1.8 | 0.6 | 0.015 |
| Maximum inspiratory pressure | 58.9 | 22.6 | 59.9 | 22.5 | 0.604 |
| Physical functioning tests | |||||
| SPPB ≤ 7 | 650 | 44.5% | 90 | 51.7% | 0.070 |
| SPPB | 7.4 | 1.6 | 7.2 | 1.7 | 0.142 |
| CHAMPS score | 16.6 | 32.5 | 21.0 | 36.8 | 0.098 |
| PAT-D Disability Domain 1: Basic ADL Score | 1.3 | 0.4 | 1.4 | 0.4 | 0.329 |
| PAT-D Disability Domain 3: Instrumental ADL | 1.1 | 0.3 | 1.1 | 0.3 | 0.643 |
| 400-m Walk gait speed (m/s) | 0.82 | 0.17 | 0.8 | 0.16 | 0.141 |
| Self efficacy rating: 400 m walk | 74.3 | 21.38 | 72.32 | 19.53 | 0.246 |
| Grip strength | 24.07 | 9.78 | 23.84 | 10.93 | 0.773 |
| HRQL Stressed Score | 11.12 | 6.05 | 11.07 | 6.3 | 0.919 |
| 3MSE: Total Score (max = 100) | 91.68 | 5.41 | 90.89 | 5.44 | 0.070 |
| Deficit accumulation frailty index score | 0.26 | 0.06 | 0.27 | 0.06 | 0.200 |
Publisher’s Note: MDPI stays neutral with regard to jurisdictional claims in published maps and institutional affiliations. |
© 2021 by the authors. Licensee MDPI, Basel, Switzerland. This article is an open access article distributed under the terms and conditions of the Creative Commons Attribution (CC BY) license (http://creativecommons.org/licenses/by/4.0/).
Share and Cite
Brown, J.; Sato, R.; Morley, J.E. Effect of Inpatient and Outpatient Pneumonia on Mobility Disability, Gait Speed, and Physical Activity in Older Adults. J. Clin. Med. 2021, 10, 1236. https://doi.org/10.3390/jcm10061236
Brown J, Sato R, Morley JE. Effect of Inpatient and Outpatient Pneumonia on Mobility Disability, Gait Speed, and Physical Activity in Older Adults. Journal of Clinical Medicine. 2021; 10(6):1236. https://doi.org/10.3390/jcm10061236
Chicago/Turabian StyleBrown, Joshua, Reiko Sato, and John E. Morley. 2021. "Effect of Inpatient and Outpatient Pneumonia on Mobility Disability, Gait Speed, and Physical Activity in Older Adults" Journal of Clinical Medicine 10, no. 6: 1236. https://doi.org/10.3390/jcm10061236
APA StyleBrown, J., Sato, R., & Morley, J. E. (2021). Effect of Inpatient and Outpatient Pneumonia on Mobility Disability, Gait Speed, and Physical Activity in Older Adults. Journal of Clinical Medicine, 10(6), 1236. https://doi.org/10.3390/jcm10061236

