Anterior-Segment Swept-Source Ocular Coherence Tomography and Scheimpflug Imaging Agreement for Keratometry and Pupil Measurements in Healthy Eyes
Abstract
:1. Introduction
2. Materials and Methods
2.1. Study Population
2.2. Devices
2.3. Examination Protocol
2.4. Statistical Analysis
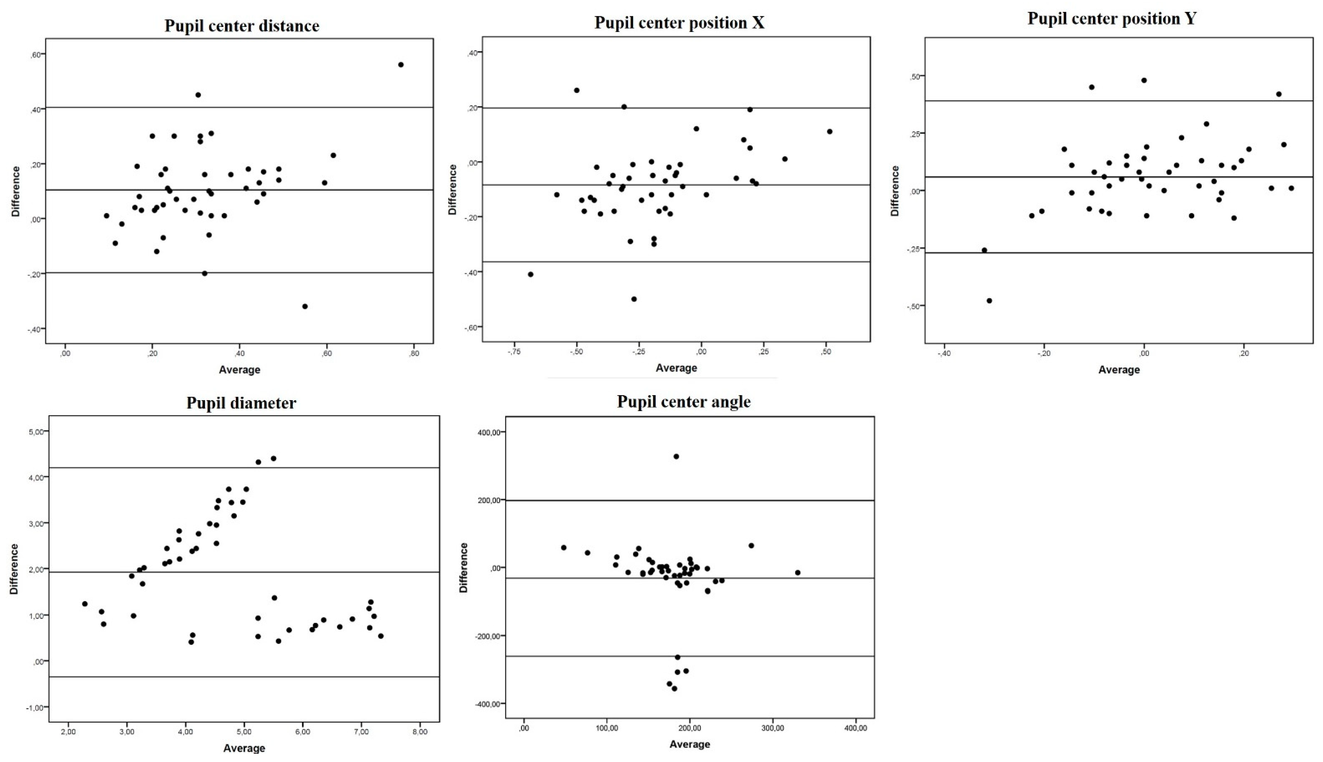
3. Results
4. Discussion
5. Conclusions
Author Contributions
Funding
Institutional Review Board Statement
Informed Consent Statement
Data Availability Statement
Conflicts of Interest
References
- Beggs, S.; Short, J.; Rengifo-Pardo, M.; Ehrlich, A. Applications of the Excimer Laser: A Review. Dermatol. Surg. 2015, 41, 1201–1211. [Google Scholar] [CrossRef] [PubMed]
- Myung, D.; Schallhorn, S.; Manche, E.E. Pupil size and LASIK: A review. J. Refract. Surg. 2013, 29, 734–741. [Google Scholar] [CrossRef]
- Hjortdal, J.; Møller-Pedersen, T.; Ivarsen, A.; Ehlers, N. Corneal power, thickness, and stiffness: Results of a prospective randomized controlled trial of PRK and LASIK for myopia. J. Cataract Refract. Surg. 2005, 31, 21–29. [Google Scholar] [CrossRef] [PubMed]
- Yazici, A.T.; Bozkurt, E.; Alagoz, C.; Alagoz, N.; Pekel, G.; Kaya, V.; Yilmaz, O.F. Central corneal thickness, anterior chamber depth, and pupil diameter measurements using visante OCT, orbscan, and pentacam. J. Refract. Surg. 2010, 26, 127–133. [Google Scholar] [CrossRef]
- Schiano-Lomoriello, D.; Hoffer, K.J.; Abicca, I.; Savini, G. Repeatability of automated measurements by a new anterior segment optical coherence tomographer and biometer and agreement with standard devices. Sci. Rep. 2021, 11, 983. [Google Scholar] [CrossRef] [PubMed]
- Tañá-Rivero, P.; Aguilar-Córcoles, S.; Rodríguez-Prats, J.L.; Montés-Micó, R.; Ruiz-Mesa, R. Agreement of white-to-white measurements with swept-source OCT, Scheimpflug and color LED devices. Int. Ophthalmol. 2021, 41, 57–65. [Google Scholar] [CrossRef]
- Tañá-Rivero, P.; Aguilar-Córcoles, S.; Tello-Elordi, C.; Pastor-Pascual, F.; Montés-Micó, R. Agreement between 2 swept-source OCT biometers and a Scheimpflug partial coherence interferometer. J. Cataract Refract. Surg. 2021, 47, 488–495. [Google Scholar] [CrossRef] [PubMed]
- Gjerdrum, B.; Gundersen, K.G.; Lundmark, P.O.; Aakre, B.M. Repeatability of OCT-based versus scheimpflug-and reflection-based keratometry in patients with hyperosmolar and normal tear film. Clin. Ophthalmol. 2020, 14, 3991–4003. [Google Scholar] [CrossRef]
- Chan, P.P.-M.; Lai, G.; Chiu, V.; Chong, A.; Yu, M.; Leung, C.K.-S. Anterior chamber angle imaging with swept-source optical coherence tomography: Comparison between CASIAII and ANTERION. Sci. Rep. 2020, 10, 18771. [Google Scholar] [CrossRef]
- Pardeshi, A.A.; Song, A.E.; Lazkani, N.; Xie, X.; Huang, A.; Xu, B.Y. Intradevice repeatability and interdevice agreement of ocular biometric measurements: A comparison of two swept-source anterior segment oct devices. Transl. Vis. Sci. Technol. 2020, 9, 1–9. [Google Scholar] [CrossRef]
- Brunner, M.; Czanner, G.; Vinciguerra, R.; Romano, V.; Ahmad, S.; Batterbury, M.; Britten, C.; Willoughby, C.E.; Kaye, S.B. Improving precision for detecting change in the shape of the cornea in patients with keratoconus. Sci. Rep. 2018, 8, 12345. [Google Scholar] [CrossRef] [Green Version]
- Applegate, R.A.; Sarver, E.J.; Khemsara, V. Are all aberrations equal? J. Refract. Surg. 2002, 18, S556–S562. [Google Scholar] [CrossRef]
- Cicchetti, D.V. Guidelines, Criteria, and Rules of Thumb for Evaluating Normed and Standardized Assessment Instruments in Psychology. Psychol. Assess. 1994, 6, 284–290. [Google Scholar] [CrossRef]
- Muñoz, G.; Albarrán-Diego, C.; Ferrer-Blasco, T.; Sakla, H.F.; García-Lázaro, S. Visual function after bilateral implantation of a new zonal refractive aspheric multifocal intraocular lens. J. Cataract Refract. Surg. 2011, 37, 2043–2052. [Google Scholar] [CrossRef]
- Güçlü, H.; Akaray, İ.; Kaya, S.; Sattarpanah, S.; Çınar, A.C.; Sakallıoğlu, K.; Korkmaz, S.; Gürlü, V. Agreement of Anterior Segment Parameters Between Schiempflug Topography and Swept-Source Optic Coherence Based Optic Biometry in Keratoconus and Healthy Subjects. Eye Contact Lens 2021, 47, 539–545. [Google Scholar] [CrossRef] [PubMed]
- Harrer, A.; Hirnschall, N.; Tabernero, J.; Artal, P.; Draschl, P.; Maedel, S.; Findl, O. Variability in angle κ and its influence on higher-order aberrations in pseudophakic eyes. J. Cataract Refract. Surg. 2017, 43, 1015–1019. [Google Scholar] [CrossRef] [PubMed]
- Shimizu, K.; Ito, M. Dissatisfaction after Bilateral Multifocal Intraocular Lens Implantation: An Electrophysiology Study. J. Refract. Surg. 2011, 27, 309–312. [Google Scholar] [CrossRef] [PubMed]
- Karhanová, M.; Pluháček, F.; Mlčák, P.; Vláčil, O.; Šín, M.; Marešová, K. The importance of angle kappa evaluation for implantation of diffractive multifocal intra-ocular lenses using pseudophakic eye model. Acta Ophthalmol. 2015, 93, e123–e128. [Google Scholar] [CrossRef]
- Tchah, H.; Nam, K.; Yoo, A. Predictive factors for photic phenomena after refractive, rotationally asymmetric, multifocal intraocular lens implantation. Int. J. Ophthalmol. 2017, 10, 241–245. [Google Scholar] [CrossRef]
- Moshirfar, M.; Hoggan, R.; Muthappan, V. Angle Kappa and its importance in refractive surgery. Oman J. Ophthalmol. 2013, 6, 151–158. [Google Scholar] [CrossRef]
- Fu, Y.; Kou, J.; Chen, D.; Wang, D.; Zhao, Y.; Hu, M.; Lin, X.; Dai, Q.; Li, J.; Zhao, Y.E. Influence of angle kappa and angle alpha on visual quality after implantation of multifocal intraocular lenses. J. Cataract Refract. Surg. 2019, 45, 1258–1264. [Google Scholar] [CrossRef] [PubMed]



| Parameter | Anterion | Pentacam HR | p Value |
|---|---|---|---|
| Anterior Km (D) | 43.52 ± 1.54 (40.50–47.25) | 42.93 ± 1.52 (40.00–46.20) | 0.43 |
| Anterior K2 (D) | 44.01 ± 1.64 (40.65–47.81) | 43.92 ± 1.59 (41.00–47.70) | 0.80 |
| Anterior K1 (D) | 43.07 ± 1.56 (40.21–46.71) | 42.93 ± 1.52 (40.00–46.20) | 0.68 |
| Anterior K1 axis (°) | 109.93 ± 62.71 (1.00–180) | 76.61 ± 69.64 (0.30–179.90) | 0.01 * |
| Anterior astigmatism (D) | 0.93 ± 0.81 (0.05–4.70) | 0.98 ± 0.66 (0.00–3.40) | 0.77 |
| Anterior K max (D) | 44.51 ± 1.72 (40.98–47.56) | 44.59 ± 1.76 (41.30–47.40) | 0.83 |
| Posterior Km (D) | −6.14 ± 0.27 (−6.94–−5.55) | −6.30 ± 0.28 (−7.00–−5.70) | <0.01 * |
| Posterior K2 (D) | −6.29 ± 0.30 (−7.38–−5.66) | −6.57 ± 0.86 (−12.00–−5.80) | 0.04 * |
| Posterior K1 (D) | −5.99 ± 0.25 (−6.54–−5.44) | −6.14 ± 0.27 (−6.80–−5.60) | <0.01 * |
| Posterior K1 axis (°) | 124.56 ± 71.69 (0.00–180) | 75.87 ± 76.74 (1.10–179.30) | <0.01 * |
| Posterior astigmatism (D) | −0.30 ± 0.13 (−0.84–−0.04) | 0.32 ± 0.13 (0.00–0.60) | 0.61 |
| CCT (µm) | 546.41 ± 32 (474–615) | 552.17 ± 38.05 (479–702) | 0.43 |
| TPT (µm) | 541.52 ± 31.91 (472–613) | 547.06 ± 36.49 (477–674) | 0.44 |
| TPP X (mm) | −0.49 ± 0.63 (−1.64–1.04) | −0.38 ± 0.49 (−1.06–0.95) | 0.37 |
| TPP Y (mm) | −0.37 ± 0.35 (−1.43–0.44) | −0.33 ± 0.28 (−1.31–0.37) | 0.47 |
| Pupil diameter (mm) | 5.74 ± 1.34 (2.90–7.80) | 3.82 ± 1.60 (1.66–7.06) | <0.01 * |
| PCP (mm) angle kappa | 0.37 ± 0.18 (0.07–1.05) | 0.26 ± 0.14 (0.05–0.71) | 0.003 * |
| PCA (°, degrees) | 162.89 ± 69.38 (3.00–347) | 194.99 ± 78.87 (18.90–359) | 0.04 * |
| PCP X (mm) | −0.22 ± 0.28 (−0.89–0.57) | −0.13 ± 0.23 (−0.63–0.46) | 0.12 |
| PCP Y (mm) | 0.04 ± 0.20 (−0.55–0.48) | −0.01 ± −0.14 (−0.33–0.29) | 0.10 |
| Parameter | Difference | 95% LoA | p Value | CI (95%) |
|---|---|---|---|---|
| Anterior Km (D) | 0.09 ± 0.26 | −0.41–0.60 | <0.01 * | 0.67–0.90 |
| Anterior K2 (D) | 0.08 ± 0.41 | −0.72–0.89 | <0.01 * | 0.97–0.99 |
| Anterior K1 (D) | 0.13 ± 0.27 | −0.39–0.66 | <0.01 * | 0.98–0.99 |
| Anterior K1 axis (°) | 33.32 ± 65.57 | −95.19–161.83 | <0.01 * | 0.41–0.82 |
| Anterior astig. (D) | −0.04 ± 0.45 | −0.92–0.84 | <0.01 * | 0.81–0.94 |
| Anterior K max (D) | −0.07 ± 0.53 | −1.13–0.97 | <0.01 * | 0.95–0.98 |
| Posterior Km (D) | 0.16 ± 0.10 | −0.03–0.36 | <0.01 * | 0.93–0.98 |
| Posterior K2 (D) | 0.28 ± 0.80 | −1.29–1.85 | 0.051 | −0.10–0.66 |
| Posterior K1 (D) | 0.15 ± 0.08 | −0.01–0.32 | <0.01 * | 0.94–0.98 |
| Posterior K1 axis (°) | 48.69 ± 88.68 | −125.12–222.50 | 0.02 * | −0.00–0.69 |
| Posterior astig. (D) | 0.014 ± 0.10 | −0.18–0.21 | <0.01 * | 0.67–0.90 |
| CCT (µm) | −5.76 ± 18.22 | −41.47–29.95 | <0.01 * | 0.87–0.96 |
| TPT (µm) | −5.54 ± 18.08 | −40.99–29.91 | <0.01 * | 0.86–0.95 |
| TPP X (mm) | −0.10 ± 0.35 | −0.79–0.58 | <0.01 * | 0.80–0.94 |
| TPP Y (mm) | −0.04 ± 0.20 | −0.44–0.34 | <0.01 * | 0.80–0.93 |
| Pupil diameter (mm) | 1.92 ± 1.16 | −0.35–4.20 | <0.01 * | 0.67–0.90 |
| PCP (mm) angle kappa | 0.10 ± 0.15 | −0.19–0.40 | <0.01 * | 0.46–0.83 |
| PCA (°, degrees) | −32.10 ± 115.72 | −261.20–197.02 | <0.01 * | 0.46–0.78 |
| PCP X (mm) | −0.08 ± 0.14 | −0.36–0.19 | <0.01 * | 0.85–0.95 |
| PCP Y (mm) | 0.05 ± 0.16 | −0.27–0.39 | <0.01 * | 0.43–0.82 |
Publisher’s Note: MDPI stays neutral with regard to jurisdictional claims in published maps and institutional affiliations. |
© 2021 by the authors. Licensee MDPI, Basel, Switzerland. This article is an open access article distributed under the terms and conditions of the Creative Commons Attribution (CC BY) license (https://creativecommons.org/licenses/by/4.0/).
Share and Cite
Pérez-Bartolomé, F.; Rocha-De-Lossada, C.; Sánchez-González, J.-M.; Feu-Basilio, S.; Torras-Sanvicens, J.; Peraza-Nieves, J. Anterior-Segment Swept-Source Ocular Coherence Tomography and Scheimpflug Imaging Agreement for Keratometry and Pupil Measurements in Healthy Eyes. J. Clin. Med. 2021, 10, 5789. https://doi.org/10.3390/jcm10245789
Pérez-Bartolomé F, Rocha-De-Lossada C, Sánchez-González J-M, Feu-Basilio S, Torras-Sanvicens J, Peraza-Nieves J. Anterior-Segment Swept-Source Ocular Coherence Tomography and Scheimpflug Imaging Agreement for Keratometry and Pupil Measurements in Healthy Eyes. Journal of Clinical Medicine. 2021; 10(24):5789. https://doi.org/10.3390/jcm10245789
Chicago/Turabian StylePérez-Bartolomé, Francisco, Carlos Rocha-De-Lossada, José-María Sánchez-González, Silvia Feu-Basilio, Josep Torras-Sanvicens, and Jorge Peraza-Nieves. 2021. "Anterior-Segment Swept-Source Ocular Coherence Tomography and Scheimpflug Imaging Agreement for Keratometry and Pupil Measurements in Healthy Eyes" Journal of Clinical Medicine 10, no. 24: 5789. https://doi.org/10.3390/jcm10245789
APA StylePérez-Bartolomé, F., Rocha-De-Lossada, C., Sánchez-González, J.-M., Feu-Basilio, S., Torras-Sanvicens, J., & Peraza-Nieves, J. (2021). Anterior-Segment Swept-Source Ocular Coherence Tomography and Scheimpflug Imaging Agreement for Keratometry and Pupil Measurements in Healthy Eyes. Journal of Clinical Medicine, 10(24), 5789. https://doi.org/10.3390/jcm10245789

