Corneal Higher-Order Aberrations after Microhook ab Interno Trabeculotomy and Goniotomy with the Kahook Dual Blade: Preliminary Early 3-Month Results
Abstract
:1. Introduction
2. Materials and Methods
2.1. Patients
2.2. Surgical Techniques
2.3. Wavefront Analysis
2.4. Statistical Analysis
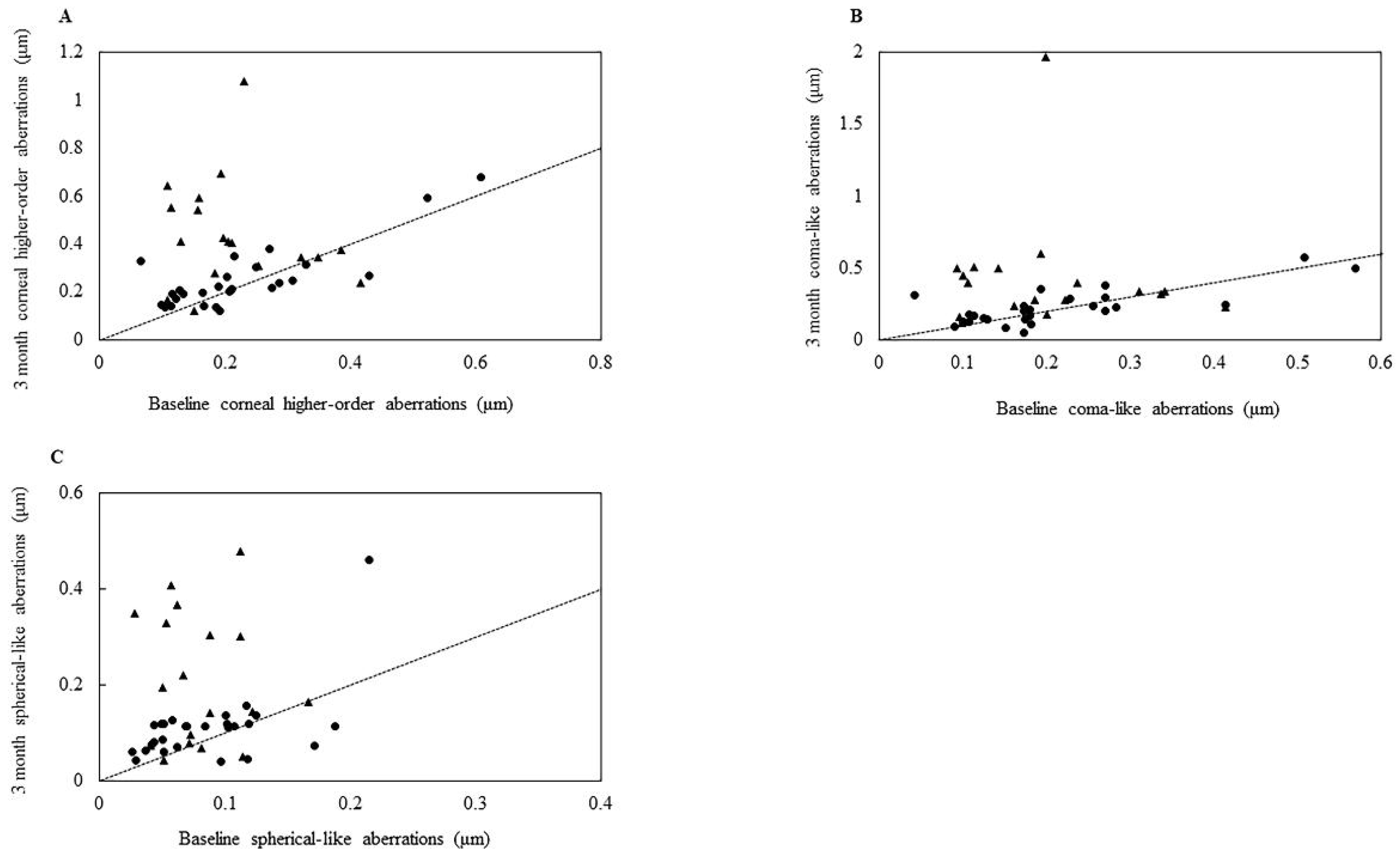
3. Results
4. Discussion
Author Contributions
Funding
Institutional Review Board Statement
Informed Consent Statement
Data Availability Statement
Conflicts of Interest
References
- Quigley, H.A.; Broman, A.T. The number of people with glaucoma worldwide in 2010 and 2020. Br. J. Ophthalmol. 2006, 90, 262–267. [Google Scholar] [CrossRef] [PubMed] [Green Version]
- Johnson, M. What controls aqueous humor outflow resistance? Exp. Eye Res. 2006, 82, 545–557. [Google Scholar] [CrossRef] [PubMed] [Green Version]
- Cook, C.; Foster, P. Epidemiology of glaucoma: What’s new? Can. J. Ophthalmol. 2012, 47, 223–226. [Google Scholar] [CrossRef] [PubMed]
- Minckler, D.S.; Baerveldt, G.; Alfaro, M.R.; Francis, B.A. Clinical results with the Trabecutome for treatment of open-angle glaucoma. Ophthalmology 2005, 112, 962–967. [Google Scholar] [CrossRef] [PubMed]
- Seibold, L.K.; Soohoo, J.R.; Ammar, D.A.; Kahook, M.Y. Preclinical investigation of ab interno trabeculectomy using a novel dual-blade device. Am. J. Ophthalmol. 2013, 155, 524–529. [Google Scholar] [CrossRef] [PubMed]
- Sato, T.; Kawaji, T.; Hirata, A.; Mizoguchi, T. 360-degree suture trabeculotomy ab interno to treat open-angle glaucoma: 2-year outcomes. Clin. Ophthalmol. 2018, 12, 915–923. [Google Scholar] [CrossRef] [PubMed] [Green Version]
- Tanito, M.; Sano, I.; Ikeda, Y.; Fujihara, E. Shore-term results of microhook ab interno trabeculotomy, a novel minimally invasive glaucoma surgery in Japanese eyes: Initial case series. Acta Ophthalmol. 2017, 95, e354–e360. [Google Scholar] [CrossRef] [PubMed]
- Mierdel, P.; Kaemmerer, M.; Krinke, H.E.; Seiler, T. Effects of photorefractive keratectomy and cataract surgery on ocular optical errors of higher order. Graefes Arch. Clin. Exp. Ophthalmol. 1999, 237, 725–729. [Google Scholar] [CrossRef] [PubMed]
- Oshika, T.; Klyce, S.D.; Applegate, R.A.; Howland, H.C.; El Danasoury, M.A. Comparison of corneal wavefront aberrations after photorefractive keratectomy and laser in situ keratomileusis. Am. J. Ophthalmol. 1999, 127, 1–7. [Google Scholar] [CrossRef]
- Fukuoka, S.; Amano, S.; Honda, N.; Mimura, T.; Usui, T.; Araie, M. Effect of trabeculectomy on ocular and corneal higher order aberrations. Jpn. J. Ophthalmol. 2011, 55, 460–466. [Google Scholar] [CrossRef] [PubMed]
- Kobayashi, N.; Hirooka, K.; Nitta, E.; Ukegawa, K.; Tsujikawa, A. Visual acuity and corneal higher-order aberrations after EX-PRESS or trabeculectomy, and the determination of associated factors that influence visual function. Int. Ophthalmol. 2018, 38, 1969–1976. [Google Scholar] [CrossRef] [PubMed]
- Jo, S.H.; Seo, J.H. Short-term change in higher-order aberrations after mitomycin-C-augmented trabeculectomy. Int. Ophthalmol. 2019, 39, 175–188. [Google Scholar] [CrossRef] [PubMed]
- Saheb, H.; Ahmed, I.I. Micro-invasive glaucoma surgery: Current perspectives and future directions. Curr. Opin. Ophthalmol. 2012, 23, 96–104. [Google Scholar] [CrossRef] [PubMed]
- Oshika, T.; Okamoto, C.; Samejima, T.; Tokunaga, T.; Miyata, K. Contrast sensitivity function and ocular higher-order wavefront aberrations in normal human eyes. Ophthalmol. 2006, 113, 1807–1812. [Google Scholar] [CrossRef] [PubMed]
- Manabe, S.; Sawaguchi, S.; Hayashi, K. The effect of the extent of the incision in the Schlemm canal on the surgical outcomes of suture trabeculotomy for open-angle glaucoma. Jpn. J. Ophthalmol. 2017, 61, 99–104. [Google Scholar] [CrossRef] [PubMed]


| LOT-Phaco (n = 45) | Phaco (n = 21) | p-Value | |
|---|---|---|---|
| Age (years) | 73.3 ± 8.8 | 78.9 ± 6.0 | 0.001 | 
| Gender (M/F) | 16/29 | 9/12 | 0.57 | 
| Visual acuity (logMAR) | 0.28 ± 0.27 | 0.16 ± 0.19 | 0.09 | 
| Baseline IOP (mmHg) | 17.8 ± 6.1 | 12.5 ± 3.1 | <0.001 | 
| Diagnosis | |||
| POAG | 15 | ||
| PACG | 19 | ||
| Exfoliation glaucoma | 8 | ||
| Secondary glaucoma | 3 | ||
| Device (microhook/KDB) | 31/14 | ||
| EIS (120°/180°) | 27/18 | 
| LOT-Phaco | p-Value | Phaco | p-Value | |
|---|---|---|---|---|
| Baseline | 0.28 ± 0.27 | 0.16 ± 0.19 | ||
| 1M | 0.10 ± 0.28 | <0.001 | 0.01 ± 0.13 | 0.004 | 
| 2M | 0.08 ± 0.27 | <0.001 | −0.003 ± 0.13 | 0.001 | 
| 3M | 0.06 ± 0.23 | <0.001 | −0.03 ± 0.14 | <0.001 | 
| LOT-Phaco | p-Value | Phaco | p-Value | |
|---|---|---|---|---|
| Corneal higher-order | ||||
| Baseline | 0.222 ± 0.115 | 0.230 ± 0.229 | ||
| 1M | 0.297 ± 0.161 | <0.001 | 0.252 ± 0.134 | 0.44 | 
| 2M | 0.356 ± 0.255 | 0.002 | 0.268 ± 0.142 | 0.21 | 
| 3M | 0.326 ± 0.195 | <0.001 | 0.272 ± 0.137 | 0.12 | 
| Coma-like | ||||
| Baseline | 0.203 ± 0.113 | 0.206 ± 0.107 | ||
| 1M | 0.251 ± 0.137 | 0.004 | 0.228 ± 0.133 | 0.44 | 
| 2M | 0.305 ± 0.201 | 0.003 | 0.239 ± 0.145 | 0.26 | 
| 3M | 0.302 ± 0.289 | 0.03 | 0.244 ± 0.127 | 0.14 | 
| Spherical-like | ||||
| Baseline | 0.084 ± 0.043 | 0.092 ± 0.058 | ||
| 1M | 0.151 ± 0.100 | <0.001 | 0.098 ± 0.050 | 0.69 | 
| 2M | 0.162 ± 0.174 | 0.01 | 0.107 ± 0.050 | 0.27 | 
| 3M | 0.150 ± 0.115 | <0.001 | 0.113 ± 0.071 | 0.20 | 
| Corneal Higher-Order | Coma-like | Spherical-like | ||||||||||
|---|---|---|---|---|---|---|---|---|---|---|---|---|
| Univariate | Multivariate | Univariate | Multivariate | Univariate | Multivariate | |||||||
| Factors | β | p-Value | β | p-Value | β | p-Value | β | p-Value | β | p-Value | β | p-Value | 
| Age | −0.003 | 0.38 | −0.004 | 0.93 | −0.002 | 0.23 | ||||||
| IOP one day after surgery | 0.002 | 0.54 | 0.006 | 0.27 | 0.001 | 0.63 | ||||||
| IOP 3 months after surgery | 0.009 | 0.45 | 0.012 | 0.49 | 0.005 | 0.43 | 0.013 | 0.04 | ||||
| Device (KDB) | −0.134 | 0.03 | −0.138 | 0.14 | −0.080 | 0.02 | ||||||
| Baseline corneal HOAs | −0.558 | 0.03 | −0.526 | 0.02 | ||||||||
| Baseline coma-like | −0.570 | 0.14 | ||||||||||
| aberrations | ||||||||||||
| Baseline spherical-like | −0.473 | 0.23 | ||||||||||
| aberrations | ||||||||||||
| EIS (120°) | −0.200 | <0.001 | −0.098 | <0.001 | −0.222 | <0.001 | −0.111 | 0.01 | −0.108 | <0.001 | −0.064 | <0.001 | 
| Publisher’s Note: MDPI stays neutral with regard to jurisdictional claims in published maps and institutional affiliations. | 
© 2021 by the authors. Licensee MDPI, Basel, Switzerland. This article is an open access article distributed under the terms and conditions of the Creative Commons Attribution (CC BY) license (https://creativecommons.org/licenses/by/4.0/).
Share and Cite
Onoe, H.; Hirooka, K.; Okumichi, H.; Murakami, Y.; Kiuchi, Y. Corneal Higher-Order Aberrations after Microhook ab Interno Trabeculotomy and Goniotomy with the Kahook Dual Blade: Preliminary Early 3-Month Results. J. Clin. Med. 2021, 10, 4115. https://doi.org/10.3390/jcm10184115
Onoe H, Hirooka K, Okumichi H, Murakami Y, Kiuchi Y. Corneal Higher-Order Aberrations after Microhook ab Interno Trabeculotomy and Goniotomy with the Kahook Dual Blade: Preliminary Early 3-Month Results. Journal of Clinical Medicine. 2021; 10(18):4115. https://doi.org/10.3390/jcm10184115
Chicago/Turabian StyleOnoe, Hiromitsu, Kazuyuki Hirooka, Hideaki Okumichi, Yumiko Murakami, and Yoshiaki Kiuchi. 2021. "Corneal Higher-Order Aberrations after Microhook ab Interno Trabeculotomy and Goniotomy with the Kahook Dual Blade: Preliminary Early 3-Month Results" Journal of Clinical Medicine 10, no. 18: 4115. https://doi.org/10.3390/jcm10184115
APA StyleOnoe, H., Hirooka, K., Okumichi, H., Murakami, Y., & Kiuchi, Y. (2021). Corneal Higher-Order Aberrations after Microhook ab Interno Trabeculotomy and Goniotomy with the Kahook Dual Blade: Preliminary Early 3-Month Results. Journal of Clinical Medicine, 10(18), 4115. https://doi.org/10.3390/jcm10184115
 
         
                                                

 
       