Interface Properties between Lithium Metal and a Composite Polymer Electrolyte of PEO18Li(CF3SO2)2N-Tetraethylene Glycol Dimethyl Ether
Abstract
:1. Introduction
2. Results and Discussion
2.1. Evaluation of CPEs


| PEO18LiTFSI- xTEGDME | 25 °C(×106 S·cm−1) | 60 °C(×104 S·cm−1) | Ea (kJ·mol−1) | D (×107 cm2·s−1) | tLi+ | Il (mA cm−2) L = 100 μm | |||
|---|---|---|---|---|---|---|---|---|---|
| σ | σLi+ | σ | σLi+ | Low temp. region | High temp. region | ||||
| x = 0 | 5.64 | 1.35 | 5.29 | 1.27 | 115.7 | 38.8 | 0.36 | 0.24 | 1.02 |
| x = 1.0 | 28.0 | 12.0 | 10.7 | 4.60 | 99.8 | 30.7 | 1.05 | 0.43 | 3.97 |
| x = 1.5 | 40.7 | 18.3 | 12.5 | 5.62 | 82.4 | 27.1 | 1.50 | 0.45 | 5.87 |
| x = 2.0 | 60.8 | 32.8 | 16.5 | 8.91 | 78.2 | 25.3 | 3.37 | 0.54 | 15.8 |
| x = 3.0 | 68.3 | 39.6 | 16.4 | 9.51 | 72.9 | 25.0 | 2.27 | 0.58 | 11.6 |



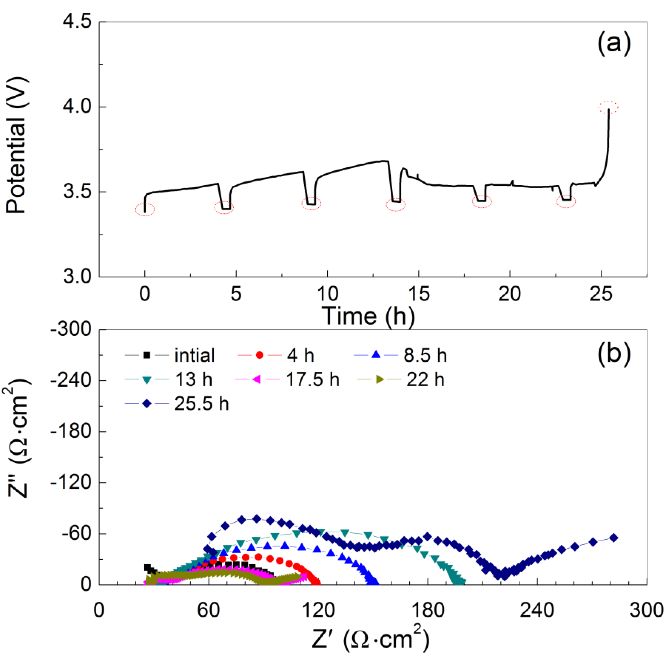
2.2. Electrochemical Performance of WSLEs




3. Experimental Section
4. Conclusions
Conflicts of Interest
References
- Zhang, T.; Imanishi, N.; Hasegawa, S.; Hirano, A.; Xie, J.; Takeda, Y.; Yamamoto, O.; Sammes, N. Li/polymer electrolyte/water stable lithium-conducting glass ceramics composite for lithium-air secondary batteries with an aqueous electrolyte. J. Electrochem. Soc. 2008, 155, A965–A969. [Google Scholar]
- Shimonishi, Y.S.Y.; Zhang, T.; Imanishi, N.; Im, D.; Lee, D.J.; Hirano, A.; Takeda, Y.; Yamamoto, O.; Sammes, N. A study on lithium/air secondary batteries-stability of the NASICON-type lithium ion conducting solid electrolyte in alkaline aqueous solutions. J. Power Sources 2011, 196, 5128–5132. [Google Scholar] [CrossRef]
- Visco, S.J.; Nimon, N.; Katz, B.; Jonghe, L.C.D.; Chu, M.Y. The Development of High Energy Density Lithium/Air and Lithium/Water Batteries with No Self-Discharge. In Proceedings of the 210th Electrochemical Society Meeting, Cancun, Mexico, 2 November 2006.
- Imanishi, N.; Hasegawa, S.; Zhang, T.; Hirano, A.; Takeda, Y.; Yamamoto, O. Lithium anode for lithium-air secondary batteries. J. Power Sources 2008, 185, 1392–1397. [Google Scholar] [CrossRef]
- Wang, X.; Hou, Y.; Zhu, Y.; Wu, Y.; Holze, R. An aqueous rechargeable lithium battery using coated Li metal as anode. Sci. Rep. 2013, 3, 1401. [Google Scholar] [CrossRef]
- Zhang, T.; Imanishi, N.; Shimonishi, Y.; Hirano, A.; Takeda, Y.; Yamamoto, O.; Sammes, N. A novel high energy density rechargeable lithium/air battery. Chem. Commun. 2010, 46, 1661–1663. [Google Scholar]
- Liu, S.; Wang, H.; Imanishi, N.; Zhang, T.; Hirano, A.; Takeda, Y.; Yamamoto, O.; Yang, J. Effect of co-doping nano-silica filler and N-methyl-N-propylpiperidinium bis(trifluoromethanesulfonyl)imide into polymer electrolyte on Li dendrite formation in Li/poly(ethylene oxide)-Li(CF3SO2)2N/Li. J. Power Sources 2011, 196, 7681–7686. [Google Scholar] [CrossRef]
- Zhang, T.; Imanishi, N.; Hirano, A.; Takeda, Y.; Yamamoto, O. Stability of Li/polymer electrolyte-ionic liquid composite/lithium conducting glass ceramics in an aqueous electrolyte. Electrochem. Solid-State Lett. 2011, 14, A45–A48. [Google Scholar] [CrossRef]
- Christensen, J.; Albertus, P.; Sanchez-Carrera, R.S.; Lohmann, T.; Kozinsky, B.; Liedtke, R.; Ahmed, J.; Kojic, A. A critical review of Li/air batteries. J. Electrochem. Soc. 2012, 159, R1–R30. [Google Scholar] [CrossRef]
- Kim, Y.-T.; Smotkin, E.S. The effect of plasticizers on transport and electrochemical properties of PEO-based electrolytes for lithium rechargeable batteries. Solid State Ion. 2002, 149, 29–37. [Google Scholar] [CrossRef]
- Naoi, K.; Mori, M.; Inoue, M.; Wakabayashi, T.; Yamauchi, K. Modification of the lithium metal surface by nonionic polyether surfactants. Ii. Investigations with microelectrode voltammetry and in situ quartz crystal microbalance. J. Electrochem. Soc. 2000, 147, 813–819. [Google Scholar] [CrossRef]
- Yoshida, K.; Nakamura, M.; Kazue, Y.; Tachikawa, N.; Tsuzuki, S.; Seki, S.; Dokko, K.; Watanabe, M. Oxidative-stability enhancement and charge transport mechanism in glyme–lithium salt equimolar complexes. J. Am. Chem. Soc. 2011, 133, 13121–13129. [Google Scholar] [CrossRef]
- Jung, H.G.; Hassoun, J.; Park, J.B.; Sun, Y.K.; Scrosati, B. An improved high-performance lithium-air battery. Nat. Chem. 2012, 4, 579–585. [Google Scholar] [CrossRef]
- Wang, H.; Im, D.; Lee, D.J.; Matsui, M.; Takeda, Y.; Yamamoto, O.; Imanishi, N. A composite polymer electrolyte protect layer between lithium and water stable ceramics for aqueous lithium-air batteries. J. Electrochem. Soc. 2013, 160, A728–A733. [Google Scholar] [CrossRef]
- Kříž, J.; Abbrent, S.; Dybal, J.; Kurková, D.; Lindgren, J.; Tegenfeldt, J.; Wendsjö, Å. Nature and dynamics of lithium ion coordination in oligo(ethylene glycol) dimethacrylate-solvent systems: NMR, Raman, and quantum mechanical study. J. Phys. Chem. A 1999, 103, 8505–8515. [Google Scholar] [CrossRef]
- Wang, H.; Imanishi, N.; Hirano, A.; Takeda, Y.; Yamamoto, O. Electrochemical properties of the polyethylene oxide–Li(CF3SO2)2N and ionic liquid composite electrolyte. J. Power Sources 2012, 219, 22–28. [Google Scholar] [CrossRef]
- Brissot, C.; Rosso, M.; Chazalviel, J.N.; Lascaud, S. Dendritic growth mechanisms in lithium/polymer cells. J. Power Sources 1999, 81, 925–929. [Google Scholar]
- Ma, Y.P.; Doyle, M.; Fuller, T.F.; Doeff, M.M.; Dejonghe, L.C.; Newman, J. The measurement of a complete set of transport-properties for a concentrated solid polymer electrolyte solution. J. Electrochem. Soc. 1995, 142, 1859–1868. [Google Scholar] [CrossRef]
- Evans, J.; Vincent, C.A. Electrochemical measurement of transference numbers in polymer electrolytes. Polymer 1987, 28, 2324–2328. [Google Scholar] [CrossRef]
- Bernhard, R.; Latini, A.; Panero, S.; Scrosati, B.; Hassoun, J. Poly(ethylene glycol)dimethylether-lithium bis(trifluoromethanesulfonyl)imide, PEG500DME-LiTFSI, as high viscosity electrolyte for lithium ion batteries. J. Power Sources 2013, 226, 329–333. [Google Scholar] [CrossRef]
- Aurbach, D. Review of selected electrode-solution interactions which determine the performance of Li and Li ion batteries. J. Power Sources 2000, 89, 206–218. [Google Scholar] [CrossRef]
- Zhang, T.; Imanishi, N.; Takeda, Y.; Yamamoto, O. Aqueous lithium/air rechargeable batteries. Chem. Lett. 2011, 40, 668–673. [Google Scholar] [CrossRef]
- Chazalviel, J.N. Electrochemical aspects of the generation of ramified metallic electrodeposits. Phys. Rev. A 1990, 42, 7355–7367. [Google Scholar] [CrossRef]
- Scrosati, B. Lithium Ion Plastic Batteries. In Lithium Ion Batteries: Fundamentals and Performance; Wakihara, M., Yamamoto, O., Eds.; Kodansha Ltd.: Tokyo, Japan, 1998; p. 221. [Google Scholar]
- Abraham, K.M.; Jiang, Z.; Carroll, B. Highly conductive PEO-like polymer electrolytes. Chem. Mater. 1997, 9, 1978–1988. [Google Scholar] [CrossRef]
© 2013 by the authors; licensee MDPI, Basel, Switzerland. This article is an open access article distributed under the terms and conditions of the Creative Commons Attribution license (http://creativecommons.org/licenses/by/3.0/).
Share and Cite
Wang, H.; Matsui, M.; Takeda, Y.; Yamamoto, O.; Im, D.; Lee, D.; Imanishi, N. Interface Properties between Lithium Metal and a Composite Polymer Electrolyte of PEO18Li(CF3SO2)2N-Tetraethylene Glycol Dimethyl Ether. Membranes 2013, 3, 298-310. https://doi.org/10.3390/membranes3040298
Wang H, Matsui M, Takeda Y, Yamamoto O, Im D, Lee D, Imanishi N. Interface Properties between Lithium Metal and a Composite Polymer Electrolyte of PEO18Li(CF3SO2)2N-Tetraethylene Glycol Dimethyl Ether. Membranes. 2013; 3(4):298-310. https://doi.org/10.3390/membranes3040298
Chicago/Turabian StyleWang, Hui, Masaki Matsui, Yasuo Takeda, Osamu Yamamoto, Dongmin Im, Dongjoon Lee, and Nobuyuki Imanishi. 2013. "Interface Properties between Lithium Metal and a Composite Polymer Electrolyte of PEO18Li(CF3SO2)2N-Tetraethylene Glycol Dimethyl Ether" Membranes 3, no. 4: 298-310. https://doi.org/10.3390/membranes3040298
APA StyleWang, H., Matsui, M., Takeda, Y., Yamamoto, O., Im, D., Lee, D., & Imanishi, N. (2013). Interface Properties between Lithium Metal and a Composite Polymer Electrolyte of PEO18Li(CF3SO2)2N-Tetraethylene Glycol Dimethyl Ether. Membranes, 3(4), 298-310. https://doi.org/10.3390/membranes3040298
