Identifying Characteristic Frequencies in the Electrochemical Impedance of Ion-Exchange Membrane Systems
Abstract
1. Introduction
2. Theoretical Basis
3. Results and Discussion
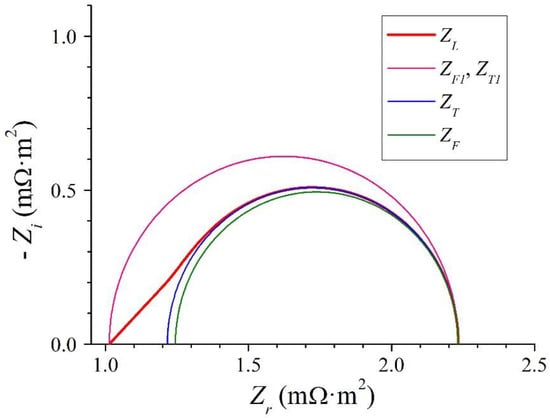
3.1. Impedance Plots
3.2. High-Frequency Geometric Impedance
3.3. Low Frequency Diffusion Impedance
4. Conclusions
Funding
Institutional Review Board Statement
Informed Consent Statement
Data Availability Statement
Conflicts of Interest
References
- Strathmann, H. Electrodialysis, a mature technology with a multitude of new applications. Desalination 2010, 264, 268–288. [Google Scholar] [CrossRef]
- Logan, B.E.; Elimelech, M. Membrane-based processes for sustainable power generation using water. Nature 2012, 488, 313–319. [Google Scholar] [CrossRef] [PubMed]
- Lee, H.; Yanilmaz, M.; Toprakçi, O.; Fu, K.; Zhang, X. A review of recent developments in membrane separators for rechargeable lithium-ion batteries. Energy Environ. Sci. 2014, 7, 3857–3886. [Google Scholar] [CrossRef]
- Wang, W.; Luo, Q.; Li, B.; Wei, X.; Li, L.; Yang, Z. Recent progress in redox flow battery research and development. Adv. Funct. Mater. 2013, 23, 970–986. [Google Scholar] [CrossRef]
- Merle, G.; Wessling, M.; Nijmeijer, K. Anion exchange membranes for alkaline fuel cells: A review. J. Membr. Sci. 2011, 377, 1–35. [Google Scholar] [CrossRef]
- Zhao, R.; Biesheuvel, P.M.; van der Wal, A. Energy consumption and constant current operation in membrane capacitive deionization. Energy Environ. Sci. 2012, 5, 9520–9527. [Google Scholar] [CrossRef]
- Ahualli, S.; Fernández, M.M.; Iglesias, G.; Jiménez, M.L.; Liu, F.; Wagterveld, M.; Delgado, A.V. Effect of Solution Composition on the Energy Production by Capacitive Mixing in Membrane-Electrode Assembly. J. Phys. Chem. C 2014, 118, 15590–15599. [Google Scholar] [CrossRef]
- Barsoukov, E.; Macdonald, J.R. Impedance Spectroscopy: Theory, Experiment and Applications; Wiley: New York, NY, USA, 2005. [Google Scholar]
- Sistat, P.; Kozmai, A.; Pismenskaya, N.; Larchet, C.; Pourcelly, G.; Nikonenko, V. Low-frequency impedance of an ion-exchange membrane system. Electrochim. Acta 2008, 53, 6380–6390. [Google Scholar] [CrossRef]
- Mareev, S.; Nikonenko, V. A numerical appoach to modeling impedance: Application to study a Warburg-type spectrum in a membrane system with diffusion coefficients depending on concentration. Electrochim. Acta 2012, 81, 268–274. [Google Scholar] [CrossRef]
- Moya, A.A. Study of the electrochemical impedance and the linearity of the current–voltage relationship in inhomogeneous ion-exchange membranes. Electrochim. Acta 2012, 55, 2087–2092. [Google Scholar] [CrossRef]
- Moya, A.A. Electrochemical impedance of ion-exchange membranes in asymmetric arrangements. J. Electroanal. Chem. 2011, 660, 153–162. [Google Scholar] [CrossRef]
- Nandigana, V.V.; Aluru, N. Characterization of electrochemical properties of a micro–nanochannel integrated system using computational impedance spectroscopy (CIS). Electrochim. Acta 2013, 105, 514–523. [Google Scholar] [CrossRef]
- Moya, A.A. Electrochemical impedance of ion-exchange membranes in ternary solutions with two counter-ions. J. Phys. Chem. C 2014, 118, 2539–2553. [Google Scholar] [CrossRef]
- Kniaginicheva, E.; Pismenskaya, N.; Melnikov, S.; Belashova, E.; Sistat, P.; Cretin, M.; Nikonenko, V. Water splitting at an anion-exchange membrane as studied by impedance spectroscopy. J. Membr. Sci. 2015, 496, 78–83. [Google Scholar] [CrossRef]
- Moya, A.A. Electrochemical Impedance of Ion-Exchange Membranes with Interfacial Charge Transfer Resistances. J. Phys. Chem. C 2016, 120, 6543–6552. [Google Scholar] [CrossRef]
- Pintossi, D.; Saakes, M.; Borneman, Z.; Nijmeijer, K. Electrochemical impedance spectroscopy of a reverse electrodialysis stack: A new approach to monitoring fouling and cleaning. J. Power Sources 2019, 444, 227302. [Google Scholar] [CrossRef]
- Kim, S.-H.; Choi, W.; Lee, K.-B.; Choi, S. Advanced Dynamic Simulation of Supercapacitors Considering Parameter Variation and Self-Discharge. IEEE Trans. Power Electron. 2011, 26, 3377–3385. [Google Scholar] [CrossRef]
- German, R.; Hammar, A.; Lallemand, R.; Sari, A.; Venet, P. Novel Experimental Identification Method for a Supercapacitor Multipore Model in Order to Monitor the State of Health. IEEE Trans. Power Electron. 2016, 31, 548–559. [Google Scholar] [CrossRef]
- Yuan, X.; Wang, H.; Sun, J.C.; Zhang, J. AC impedance technique in PEM fuel cell diagnosis—A review. Int. J. Hydrogen Energy 2007, 32, 4365–4380. [Google Scholar] [CrossRef]
- Loo, K.; Wong, K.; Tan, S.; Lai, Y.; Tse, C.K. Characterization of the dynamic response of proton exchange membrane fuel cells—A numerical study. Int. J. Hydrogen Energy 2010, 35, 11861–11877. [Google Scholar] [CrossRef]
- Vijayaraghavan, K.; DeVaal, J.; Narimani, M. Dynamic model of oxygen starved proton exchange membrane fuel-cell using hybrid analytical-numerical method. J. Power Sources 2015, 285, 291–302. [Google Scholar] [CrossRef]
- Iftikhar, M.U.; Riu, D.; Druart, F.; Rosini, S.; Bultel, Y.; Retière, N. Dynamic modeling of proton exchange membrane fuel cell using non-integer derivatives. J. Power Sources 2016, 160, 1170–1182. [Google Scholar] [CrossRef]
- Nikonenko, V.V.; Kozmai, A.E. Electrical equivalent circuit of an ion-exchange membrane system. Electrochim. Acta 2011, 56, 1262–1269. [Google Scholar] [CrossRef]
- Moya, A.A. Identification of characteristic time constants in the initial dynamic response of electric double layer capacitors from high-frequency electrochemical impedance. J. Power Sources 2018, 397, 124–133. [Google Scholar] [CrossRef]
- What Is OrCAD PSpice Designer? Available online: https://www.orcad.com/products/orcad-pspice-designer/overview (accessed on 1 October 2022).
- Długołęcki, P.; Ogonowski, P.; Metz, S.J.; Saakes, M.; Nijmeijer, K.; Wessling, M. On the resistances of membrane, diffusion boundary layer and double layer in ion exchange membrane transport. J. Membr. Sci. 2010, 349, 369–379. [Google Scholar] [CrossRef]
- Berezina, N.P.; Kononenko, N.A.; Dyomina, O.A.; Gnusin, N.P. Characterization of ion-exchange membrane materials: Properties vs structure. Adv. Colloid Interface Sci. 2008, 139, 3–28. [Google Scholar] [CrossRef] [PubMed]
- Dzyazko, Y.S.; Rozhdestvenska, L.M.; Vasilyuk, S.; Kudelko, K.; Belyakov, V.N. Composite Membranes Containing Nanoparticles of Inorganic Ion Exchangers for Electrodialytic Desalination of Glycerol. Nanoscale Res. Lett. 2017, 12, 438. [Google Scholar] [CrossRef] [PubMed]
- Moya, A.A. Influence of dc electric current on the electrochemical impedance of ion-exchange membrane systems. Electrochim. Acta 2011, 56, 3015–3022. [Google Scholar] [CrossRef]
- Konturri, K.; Murtomäki, L.; Manzanares, J.A. Ionic Transport Processes in Electrochemistry and Membrane Science; Oxford University Press: New York, NY, USA, 2008. [Google Scholar]
- Moya, A.A. The differential capacitance of the electric double layer in the diffusion boundary layer of ion-exchange membrane systems. Electrochim. Acta 2015, 178, 249–258. [Google Scholar] [CrossRef]
- Rubinstein, I.; Zaltzman, B.; Futerman, A.; Gitis, V.; Nikonenko, V. Reexamination of electrodiffusion time scales. Phys. Rev. E 2009, 79, 021506. [Google Scholar] [CrossRef]
- Kozmai, A.; Sarapulova, V.; Sharafan, M.; Melkonian, K.; Rusinova, T.; Kozmai, Y.; Pismenskaya, N.; Dammak, L.; Nikonenko, V. Electrochemical Impedance Spectroscopy of Anion-Exchange Membrane AMX-Sb Fouled by Red Wine Components. Membranes 2020, 11, 2. [Google Scholar] [CrossRef] [PubMed]
- Kuhn, E.; Forgez, C.; Lagonotte, P.; Friedrich, G. Modelling Ni-mH battery using Cauer and Foster structures. J. Power Sources 2006, 158, 1490–1497. [Google Scholar] [CrossRef]
- Moya, A.A. Low-frequency development approximations to the transmissive Warburg diffusion impedance. J. Energy Storage 2022, 55, 105632. [Google Scholar] [CrossRef]





| IDC = 0 | IDC = 0.25 IL | IDC = 0.5 IL | |
|---|---|---|---|
| RacL (mΩ·m2) | 0.4067 | 0.4603 | 0.5638 |
| RacR (mΩ·m2) | 0.4067 | 0.3570 | 0.3298 |
| RM (mΩ·m2) | 0.2 | ||
| CgL (μF/m2) | 2.832 | ||
| CgR (μF/m2) | 2.832 | ||
| CgM (μF/m2) | 2.5 | ||
| RdL (mΩ·m2) | 0.61 | 0.9407 | 1.4573 |
| RdR (mΩ·m2) | 0.61 | 0.4017 | 0.3439 |
| CDL (μF/m2) | 2.602 | 2.997 | 3.6618 |
| CDR (μF/m2) | 2.602 | 2.333 | 2.1352 |
| τ (s) | 39.617 | ||
| IDC = 0 | IDC = 0.25 IL | IDC = 0.5 IL | |
|---|---|---|---|
| fgL (Hz) | 140.5 × 106 | 122.1 × 106 | 99.68 × 106 |
| fgR (Hz) | 140.5 × 106 | 157.4 × 106 | 170.4 × 106 |
| fgM (Hz) | 318.3 × 106 | ||
| fHL (Hz) | 2.51 × 1018 | 0.793 × 1018 | 0.221 × 1018 |
| fHR (Hz) | 2.51 × 1018 | 7.18 × 1018 | 11.69 × 1018 |
| fC (Hz) | 25.9 × 103 | 27.3 × 103 | 28.9 × 103 |
| fZ (Hz) | 0.03044 | 0.03337 | 0.04165 |
| fd (Hz) | 0.01021 | ||
Publisher’s Note: MDPI stays neutral with regard to jurisdictional claims in published maps and institutional affiliations. |
© 2022 by the author. Licensee MDPI, Basel, Switzerland. This article is an open access article distributed under the terms and conditions of the Creative Commons Attribution (CC BY) license (https://creativecommons.org/licenses/by/4.0/).
Share and Cite
Moya, A.A. Identifying Characteristic Frequencies in the Electrochemical Impedance of Ion-Exchange Membrane Systems. Membranes 2022, 12, 1003. https://doi.org/10.3390/membranes12101003
Moya AA. Identifying Characteristic Frequencies in the Electrochemical Impedance of Ion-Exchange Membrane Systems. Membranes. 2022; 12(10):1003. https://doi.org/10.3390/membranes12101003
Chicago/Turabian StyleMoya, Antonio Angel. 2022. "Identifying Characteristic Frequencies in the Electrochemical Impedance of Ion-Exchange Membrane Systems" Membranes 12, no. 10: 1003. https://doi.org/10.3390/membranes12101003
APA StyleMoya, A. A. (2022). Identifying Characteristic Frequencies in the Electrochemical Impedance of Ion-Exchange Membrane Systems. Membranes, 12(10), 1003. https://doi.org/10.3390/membranes12101003
