Polydopamine-Assisted Two-Dimensional Molybdenum Disulfide (MoS2)-Modified PES Tight Ultrafiltration Mixed-Matrix Membranes: Enhanced Dye Separation Performance
Abstract
1. Introduction
2. Experimental
2.1. Materials
2.2. Synthesis of MoS2@PDA
2.3. Membrane Preparation
2.4. Characterization of MoS2@PDA
2.5. Membrane Characterization
2.6. Molecular Weight Cut-Off and Filtration Performance of Membranes
3. Results and Discussion
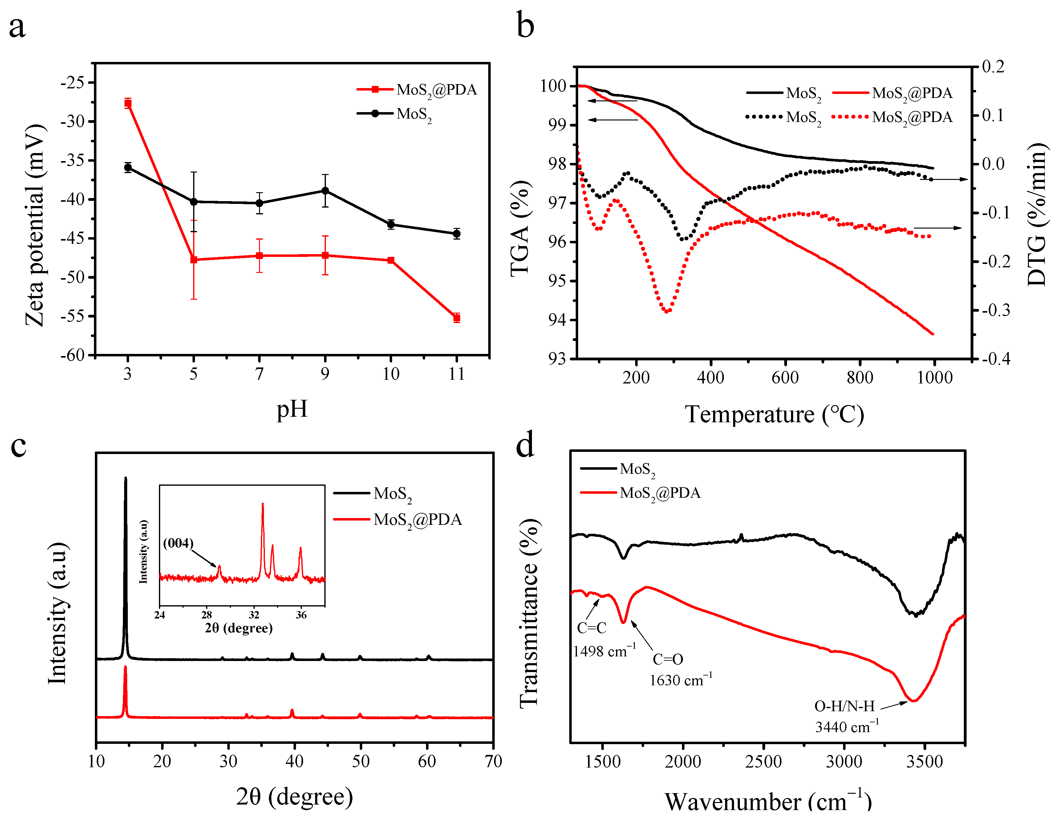
3.1. Characterization of MoS2 and MoS2@PDA
3.2. Characterization of MoS2@PDA/PES TUF Membrane
3.3. Performance of MoS2@PDA/PES TUF Membrane
MWCO and Filtration Performance
4. Conclusions
Author Contributions
Funding
Acknowledgments
Conflicts of Interest
References
- Lin, J.; Lin, F.; Chen, X.; Ye, W.; Li, X.; Zeng, H.; van der Bruggen, B. Sustainable Management of Textile Wastewater: A Hybrid Tight Ultrafiltration/Bipolar-Membrane Electrodialysis Process for Resource Recovery and Zero Liquid Discharge. Ind. Eng. Chem. Res. 2019, 58, 11003–11012. [Google Scholar] [CrossRef]
- Mohammad, A.W.; Teow, Y.H.; Ang, W.L.; Chung, Y.T.; Oatley-Radcliffe, D.L.; Hilal, N. Nanofiltration membranes review: Recent advances and future prospects. Desalination 2015, 356, 226–254. [Google Scholar] [CrossRef]
- Tesha, J.M.; Dlamini, D.S.; Qaseem, S.; Cui, Z.; Li, J. Tight ultrafiltration: Layer deposition of Trimesoyl chloride/β-Cyclodextrin onto Polysulfone/Poly (styrene-co-maleic anhydride) membrane for water treatment. J. Environ. Chem. Eng. 2020, 8, 103733. [Google Scholar] [CrossRef]
- Fan, W.L.; Li, L.; Guo, F.; Lu, X.F.; Guo, L.W. Primary study of novel poly(acrylic sodium)/poly(ether sulfone) composite ultraltration membranes(I) the preparation of composite membrane. Desalination 2009, 249, 1385–1389. [Google Scholar]
- Ye, W.; Ye, K.; Lin, F.; Liu, H.; Jiang, M.; Wang, J.; Liu, R.; Lin, J. Enhanced fractionation of dye/salt mixtures by tight ultrafiltration membranes via fast bio-inspired co-deposition for sustainable textile wastewater management. Chem. Eng. J. 2020, 379, 122321. [Google Scholar] [CrossRef]
- Lan, Q.; Wang, Z.; Wang, Y. Mesoporous phenolics filled in macroporous membranes for tunable tight-ultrafiltration. Chem. Eng. Sci. 2018, 187, 98–106. [Google Scholar] [CrossRef]
- Lee, H.; Dellatore, S.M.; Miller, W.M.; Messersmith, P.B. Mussel-inspired surface chemistry for multifunctional coatings. Science 2007, 318, 426–430. [Google Scholar] [CrossRef]
- Yan, Z.; Zhang, Y.; Yang, H.; Fan, G.; Ding, A.; Liang, H.; Li, G.; Ren, N.; van der Bruggen, B. Mussel-inspired polydopamine modification of polymeric membranes for the application of water and wastewater treatment: A review. Chem. Eng. Res. Des. 2020, 157, 195–214. [Google Scholar] [CrossRef]
- Gao, W.J.W.F.; Zhang, H.; Jia, H.; Cui, Z.; Yang, G. Aged PVDF and PSF ultrafiltration membranes restored by functional__polydopamine for adjustable pore sizes and fouling control. J. Membr. Sci. 2019, 570, 156–167. [Google Scholar] [CrossRef]
- Zarghami, S.; Mohammadi, T.; Sadrzadeh, M. Preparation, characterization and fouling analysis of in-air hydrophilic/underwater oleophobic bio-inspired polydopamine coated PES membranes for oily wastewater treatment. J. Membr. Sci. 2019, 582, 402–413. [Google Scholar] [CrossRef]
- Xi, Z.-Y.; Xu, Y.-Y.; Zhu, L.-P.; Wang, Y.; Zhu, B.-K. A facile method of surface modification for hydrophobic polymer membranes based on the adhesive behavior of poly(DOPA) and poly(dopamine). J. Membr. Sci. 2009, 327, 244–253. [Google Scholar] [CrossRef]
- Wang, Z.; Tang, F.; Fan, H.; Wang, L.; Jin, Z. Polydopamine Generates Hydroxyl Free Radicals under Ultraviolet-Light Illumination. Langmuir ACS J. Surf. Colloids 2017, 33, 5938–5946. [Google Scholar] [CrossRef] [PubMed]
- Jiang, J.-H.; Zhu, L.-P.; Zhang, H.-T.; Zhu, B.-K.; Xu, Y.-Y. Improved hydrodynamic permeability and antifouling properties of poly(vinylidene fluoride) membranes using polydopamine nanoparticles as additives. J. Membr. Sci. 2014, 457, 73–81. [Google Scholar] [CrossRef]
- Liu, Q.; Wang, H.; Wu, C.; Wei, Z.; Wang, H. In-situ generation of iron-dopamine nanoparticles with hybridization and cross-linking dual-functions in poly (vinyl alcohol) membranes for ethanol dehydration via pervaporation. Sep. Purif. Technol. 2017, 188, 282–292. [Google Scholar] [CrossRef]
- Ndlwana, L.; Motsa, M.M.; Mamb, B.B. A unique method for dopamine-cross-linked graphene nanoplatelets within polyethersulfone membranes (GNP-pDA/PES) for enhanced mechanochemical resistance during NF and RO desalination. Eur. Polym. J. 2020, 136, 109889. [Google Scholar] [CrossRef]
- Zhang, W.; Ying, Y.; Ma, J.; Guo, X.; Huang, H.; Liu, D.; Zhong, C. Mixed matrix membranes incorporated with polydopamine-coated metal-organic framework for dehydration of ethylene glycol by pervaporation. J. Membr. Sci. 2017, 527, 8–17. [Google Scholar] [CrossRef]
- Sianipar, M.; Kim, S.H.; Min, C.; Tijing, L.D.; Shon, H.K. Potential and performance of a polydopamine-coated multiwalled carbon nanotube/polysulfone nanocomposite membrane for ultrafiltration application. J. Ind. Eng. Chem. 2016, 34, 364–373. [Google Scholar] [CrossRef]
- Wu, H.; Liu, Y.; Mao, L.; Jiang, C.; Ang, J.; Lu, X. Doping polysulfone ultrafiltration membrane with TiO2-PDA nanohybrid for simultaneous self-cleaning and self-protection. J. Membr. Sci. 2017, 532, 20–29. [Google Scholar] [CrossRef]
- Li, Y.; Yang, S.; Zhang, K.; van der Bruggen, B. Thin film nanocomposite reverse osmosis membrane modified by two dimensional laminar MoS2 with improved desalination performance and fouling-resistant characteristics. Desalination 2019, 454, 48–58. [Google Scholar] [CrossRef]
- Yang, S.; Zhang, K. Few-layers MoS2 nanosheets modified thin film composite nanofiltration membranes with improved separation performance. J. Membr. Sci. 2020, 595, 117526. [Google Scholar] [CrossRef]
- Tian, H.; Wu, X.; Zhang, K. Mixed matrix polyethersulfone tight ultrafiltration (TUF) membrane with improved dye removal by physical blending of 2D MoS2. Desalination Water Treat. 2020, 204, 93–106. [Google Scholar] [CrossRef]
- Dolar, D.; Kosutic, K.; Strmecky, T. Hybrid processes for treatment of landfill leachate: Coagulation/UF/NF-RO and adsorption/UF/NF-RO. Sep. Purif. Technol. 2016, 168, 39–46. [Google Scholar] [CrossRef]
- Wang, K.; Lin, X.; Jiang, G.; Liu, J.Z.; Jiang, L.; Doherty, C.M.; Hill, A.J.; Xu, T.; Wang, H. Slow hydrophobic hydration induced polymer ultrafiltration membranes with high water flux. J. Membr. Sci. 2014, 471, 27–34. [Google Scholar] [CrossRef]
- Liu, C.; Mao, H.; Zheng, J.; Zhang, S. In situ surface crosslinked tight ultrafiltration membrane prepared by one-step chemical reaction-involved phase inversion process between activated PAEK-COOH and PEI. J. Membr. Sci. 2017, 538, 58–67. [Google Scholar] [CrossRef]
- Singh, S.; Khulbe, K.C.; Matsuura, T.; Ramamurthy, P. Ramamurthy, Membrane characterization by solute transport and atomic force microscopy. J. Membr. Sci. 1998, 142, 111–127. [Google Scholar] [CrossRef]
- Li, Y.; Wong, E.; Mai, Z.; van der Bruggen, B. Fabrication of composite polyamide/Kevlar aramid nanofiber nanofiltration membranes with high permselectivity in water desalination. J. Membr. Sci. 2019, 592, 117396. [Google Scholar] [CrossRef]
- Wei, Y.; Hu, C.; Muhammad, Y.; Chen, L.; Zhou, D.; Wang, S.; Li, J.; Chen, Q. Fabrication and performance evaluation of aminopropyl triethoxysilane-dopamine-MoS2 incorporated SBS modified asphalt. Constr. Build. Mater. 2020, 265, 120346. [Google Scholar] [CrossRef]
- Gao, J.; Zhang, M.; Wang, J.; Liu, G.; Liu, H.; Jiang, Y. Bioinspired Modification of Layer-Stacked Molybdenum Disulfide (MoS2) Membranes for Enhanced Nanofiltration Performance. ACS Omega 2019, 4, 4012–4022. [Google Scholar] [CrossRef]
- Wang, Q.; Jia, F.; Song, S.; Li, Y. Hydrophilic MoS2/polydopamine (PDA) nanocomposites as the electrode for enhanced capacitive deionization. Sep. Purif. Technol. 2020, 236, 116298. [Google Scholar] [CrossRef]
- Liu, Q.; Yu, B.; Ye, W.; Zhou, F. Highly selective uptake and release of charged molecules by pH-responsive polydopamine microcapsules. Macromol. Biosci. 2011, 11, 1227–1234. [Google Scholar] [CrossRef]
- Wang, Y.; Zeng, S.; Sun, K.; Yang, B.; Jia, F.; Song, S. Highly stable MoS2@PDA composite for enhanced reduction of AuCl4−. Chem. Phys. Lett. 2020, 747, 137350. [Google Scholar] [CrossRef]
- Zeng, G.; Huang, L.; Huang, Q.; Liu, M.; Xu, D.; Huang, H.; Yang, Z.; Deng, F.; Zhang, X.; Wei, Y. Rapid synthesis of MoS2-PDA-Ag nanocomposites as heterogeneous catalysts and antimicrobial agents via microwave irradiation. Appl. Surf. Sci. 2018, 459, 588–595. [Google Scholar] [CrossRef]
- Zheng, J.; Zhang, H.; Dong, S.; Liu, Y.; Nai, C.T.; Shin, H.S.; Jeong, H.Y.; Liu, B.; Loh, K.P. High yield exfoliation of two-dimensional chalcogenides using sodium naphthalenide. Nat. Commun. 2014, 5, 2995. [Google Scholar] [CrossRef] [PubMed]
- Saraswathi, M.; Rana, D.; Nagendran, A.; Alwarappan, S. ustom-made PEI/exfoliated-MoS2 nanocomposite ultrafiltration membranes for separation of bovine serum albumin and humic acid. Mater. Sci. Eng. C Mater. Biol. Appl. 2018, 83, 108–114. [Google Scholar] [CrossRef] [PubMed]
- Hussain, M.A.; Yang, M.; Lee, T.J.; Kim, J.W.; Choi, B.G. High density decoration of noble metal nanoparticles on polydopamine-functionalized molybdenum disulphide. J. Colloid Interface Sci. 2015, 451, 216–220. [Google Scholar] [CrossRef]
- Zhao, H.; Li, J.; Wu, H.; Dong, T.; Zhang, Y.; Liu, H. Dopamine Self-Polymerization Enables an N-Doped Carbon Coating of Exfoliated MoS2 Nanoflakes for Anodes of Lithium-Ion Batteries. ChemElectroChem 2018, 5, 383–390. [Google Scholar] [CrossRef]
- Zheng, Y.; Zhang, L.; Shi, J.; Liang, Y.; Wang, X.; Jiang, Z. Mussel-inspired surface capping and pore filling to confer mesoporous silica with high loading and enhanced stability of enzyme. Microporous Mesoporous Mater. 2012, 152, 122–127. [Google Scholar] [CrossRef]
- Zhang, C.-M.; Qin, S.-Y.; Cheng, Y.-J.; Zhang, A.-Q. Construction of poly(dopamine) doped oligopeptide hydrogel. Rsc Adv. 2017, 7, 50425–50429. [Google Scholar] [CrossRef]
- Abedin, S.Z.E. Role of chromate, molybdate and tungstate anions on the inhibition of aluminiumin chloride solutions. J. Appl. Electrochem. 2001, 31, 711–718. [Google Scholar] [CrossRef]
- Yang, J.; Xiao, Q.; Lin, Z.; Li, Y.; Jia, X.; Song, H. Growth of ultra-dense MoS2 nanosheets on carbon fibers to improve the mechanical and tribological properties of polyimide composites. Friction 2020. [Google Scholar] [CrossRef]
- Niu, Z.; Zhao, Y.; Sun, W.; Shi, S.; Gong, Y. Biomimetic surface modification of polypropylene by surface chain transfer reaction based on mussel-inspired adhesion technology and thiol chemistry. Appl. Surf. Sci. 2016, 386, 41–50. [Google Scholar] [CrossRef]
- Qian, X.; Zhu, G.; Wang, K.; Zhang, F.; Liang, K.; Luo, W.; Yang, J. Bowl-like mesoporous polymer-induced interface growth of molybdenum disulfide for stable lithium storage. Chem. Eng. J. 2020, 381, 122651. [Google Scholar] [CrossRef]
- Bai, Z.; Wang, L.; Liu, C.; Yang, C.; Lin, G.; Liu, S.; Jia, K.; Liu, X. Interfacial coordination mediated surface segregation of halloysite nanotubes to construct a high-flux antifouling membrane for oil-water emulsion separation. J. Membr. Sci. 2020, 620, 118828. [Google Scholar] [CrossRef]
- Mei, F.; Zhang, J.; Dai, K.; Zhu, G.; Liang, C. A Z-scheme Bi2MoO6/CdSe-diethylenetriamine heterojunction for enhancing photocatalytic hydrogen production activity under visible light. Dalton Trans. 2019, 48, 1067–1074. [Google Scholar] [CrossRef] [PubMed]
- Fageria, P.; Sudharshan, K.Y.; Nazir, R.; Basu, M.; Pande, S. Decoration of MoS2 on g-C3N4 surface for efficient hydrogen evolution reaction. Electrochim. Acta 2017, 258, 1273–1283. [Google Scholar] [CrossRef]
- Patil, S.J.; Park, J.S.; Kim, Y.-B.; Lee, D.-W. A Quasi 2D Flexible Micro-Supercapacitor Based on MnO2//NiCo2O4 as a Miniaturized Energy-Storage Device. Energy Technol. 2018, 6, 1380–1391. [Google Scholar] [CrossRef]
- Ismail, A.F.; Hassan, A.R. Effect of additive contents on the performances and structural properties of asymmetric polyethersulfone (PES) nanofiltration membranes. Sep. Purif. Technol. 2007, 55, 98–109. [Google Scholar] [CrossRef]
- Yang, Q.; Chung, T.-S.; Weber, M. Microscopic behavior of polyvinylpyrrolidone hydrophilizing agents on phase inversion polyethersulfone hollow fiber membranes for hemofiltration. J. Membr. Sci. 2009, 326, 322–331. [Google Scholar] [CrossRef]
- Huang, H.; Yu, J.; Guo, H.; Shen, Y.; Yang, F.; Wang, H.; Liu, R.; Liu, Y. Improved antifouling performance of ultrafiltration membrane via preparing novel zwitterionic polyimide. Appl. Surf. Sci. 2018, 427, 38–47. [Google Scholar] [CrossRef]
- Arefi-Oskoui, S.; Khataee, A.; Safarpour, M.; Vatanpour, V. Modification of polyethersulfone ultrafiltration membrane using ultrasonic-assisted functionalized MoS2 for treatment of oil refinery wastewater. Sep. Purif. Technol. 2020, 238, 116495. [Google Scholar] [CrossRef]
- Al Malek, S.A.; Seman, M.N.A.; Johnson, D.; Hilal, N. Formation and characterization of polyethersulfone membranes using different concentrations of polyvinylpyrrolidone. Desalination 2012, 288, 31–39. [Google Scholar] [CrossRef]
- Mohshim, D.F.; Mukhtar, H.; Man, Z. A study on carbon dioxide removal by blending the ionic liquid in membrane synthesis. Sep. Purif. Technol. 2018, 196, 20–26. [Google Scholar] [CrossRef]
- Yang, Y.; Zhang, H.; Wang, P.; Zheng, Q.; Li, J. The influence of nano-sized TiO2 fillers on the morphologies and properties of PSF UF membrane. J. Membr. Sci. 2007, 288, 231–238. [Google Scholar] [CrossRef]
- Evangeline, C.; Pragasam, V.; Rambabu, K.; Velu, S.; Monash, P.; Arthanareeswaran, G.; Banat, F. Iron oxide modified polyethersulfone/cellulose acetate blend membrane for enhanced defluoridation application. Desalination Water Treat. 2019, 156, 177–188. [Google Scholar] [CrossRef]
- Jiang, M.; Ye, K.; Deng, J.; Lin, J.; Ye, W.; Zhao, S.; van der Bruggen, B. Conventional Ultrafiltration As Effective Strategy for Dye/Salt Fractionation in Textile Wastewater Treatment. Environ. Sci. Technol. 2018, 52, 10698–10708. [Google Scholar] [CrossRef]
- Yu, S.; Liu, M.; Ma, M.; Qi, M.; Lü, Z.; Gao, C. Impacts of membrane properties on reactive dye removal from dye/salt mixtures by asymmetric cellulose acetate and composite polyamide nanofiltration membranes. J. Membr. Sci. 2010, 350, 83–91. [Google Scholar] [CrossRef]
- Lin, J.; Ye, W.; Baltaru, M.-C.; Tang, Y.P.; Bernstein, N.J.; Gao, P.; Balta, S.; Vlad, M.; Volodin, A.; Sotto, A.; et al. Tight ultrafiltration membranes for enhanced separation of dyes and Na2SO4 during textile wastewater treatment. J. Membr. Sci. 2016, 514, 217–228. [Google Scholar] [CrossRef]
- Wang, T.; He, X.; Li, Y.; Li, J. Novel poly(piperazine-amide) (PA) nanofiltration membrane based poly(m-phenylene isophthalamide) (PMIA) hollow fiber substrate for treatment of dye solutions. Chem. Eng. J. 2018, 351, 1013–1026. [Google Scholar] [CrossRef]
- Soyekwo, F.; Liu, C.; Wen, H.; Hu, Y. Construction of an electroneutral zinc incorporated polymer network nanocomposite membrane with enhanced selectivity for salt/dye separation. Chem. Eng. J. 2020, 380, 122560. [Google Scholar] [CrossRef]
- Liu, C.; Mao, H.; Zheng, J.; Zhang, S. Tight ultrafiltration membrane: Preparation and characterization of thermally resistant carboxylated cardo poly (arylene ether ketone)s (PAEK-COOH) tight ultrafiltration membrane for dye removal. J. Membr. Sci. 2017, 530, 1–10. [Google Scholar] [CrossRef]
- Liu, H.; Chen, Y.; Zhang, K.; Wang, C.; Hu, X.; Cheng, B.; Zhang, Y. Poly(vinylidene fluoride) hollow fiber membrane for high-efficiency separation of dyes-salts. J. Membr. Sci. 2019, 578, 43–52. [Google Scholar] [CrossRef]
- Amura, I.F.; Shahid, S.; Sarihan, A.; Shen, J.; Patterson, D.A.; Emanuelsson, E.A.C. Fabrication of self-doped sulfonated polyaniline membranes with enhanced antifouling ability and improved solvent resistance. J. Membr. Sci. 2019, 620, 117712. [Google Scholar] [CrossRef]
- Guo, S.; Luo, J.; Yang, Q.; Qiang, X.; Feng, S.; Wan, Y. Decoloration of Molasses by Ultrafiltration and Nanofiltration: Unraveling the Mechanisms of High Sucrose Retention. Food Bioprocess Technol. 2019, 12, 39–53. [Google Scholar] [CrossRef]
- Arénillas, M.D.S.; Monnin, E.; Moulin, P. Glycerin removal from ultrafiltration flat sheet membranes by filtration and soaking. J. Memb. Sci. Res. 2017, 3, 102–108. [Google Scholar]
- Huang, X.; Tian, C.; Qin, H.; Guo, W.; Gao, P.; Xiao, H. Preparation and characterization of Al3+-doped TiO2 tight ultrafiltration membrane for efficient dye removal. Ceram. Int. 2020, 46, 4679–4689. [Google Scholar] [CrossRef]
- Qin, H.; Guo, W.; Xiao, H. Preparation of γ-Al2O3 membranes for ultrafiltration by reverse micelles-mediated sol-gel process. Ceram. Int. 2019, 45, 22783–22792. [Google Scholar] [CrossRef]













| Membrane | PES (wt %) | PVP (wt %) | DMAc (wt %) | MoS2@PDA (wt %) |
|---|---|---|---|---|
| M0 | 23.0 | 16.0 | 61.0 | 0.0 |
| M1 | 23.0 | 16.0 | 59.0 | 2.0 |
| M2 | 23.0 | 16.0 | 58.5 | 2.5 |
| M3 | 23.0 | 16.0 | 58.0 | 3.0 |
| M4 | 23.0 | 16.0 | 57.0 | 4.0 |
| M5 | 23.0 | 16.0 | 56.5 | 4.5 |
Publisher’s Note: MDPI stays neutral with regard to jurisdictional claims in published maps and institutional affiliations. |
© 2021 by the authors. Licensee MDPI, Basel, Switzerland. This article is an open access article distributed under the terms and conditions of the Creative Commons Attribution (CC BY) license (http://creativecommons.org/licenses/by/4.0/).
Share and Cite
Tian, H.; Wu, X.; Zhang, K. Polydopamine-Assisted Two-Dimensional Molybdenum Disulfide (MoS2)-Modified PES Tight Ultrafiltration Mixed-Matrix Membranes: Enhanced Dye Separation Performance. Membranes 2021, 11, 96. https://doi.org/10.3390/membranes11020096
Tian H, Wu X, Zhang K. Polydopamine-Assisted Two-Dimensional Molybdenum Disulfide (MoS2)-Modified PES Tight Ultrafiltration Mixed-Matrix Membranes: Enhanced Dye Separation Performance. Membranes. 2021; 11(2):96. https://doi.org/10.3390/membranes11020096
Chicago/Turabian StyleTian, Huali, Xing Wu, and Kaisong Zhang. 2021. "Polydopamine-Assisted Two-Dimensional Molybdenum Disulfide (MoS2)-Modified PES Tight Ultrafiltration Mixed-Matrix Membranes: Enhanced Dye Separation Performance" Membranes 11, no. 2: 96. https://doi.org/10.3390/membranes11020096
APA StyleTian, H., Wu, X., & Zhang, K. (2021). Polydopamine-Assisted Two-Dimensional Molybdenum Disulfide (MoS2)-Modified PES Tight Ultrafiltration Mixed-Matrix Membranes: Enhanced Dye Separation Performance. Membranes, 11(2), 96. https://doi.org/10.3390/membranes11020096
