Comparative Analysis of Primary and Monovalent Booster SARS-CoV-2 Vaccination Coverage in Adults with and without HIV in Catalonia, Spain
Abstract
:1. Introduction
2. Materials and Methods
2.1. Study Design and Population
2.2. Outcomes
2.3. Covariates
2.4. Statistical Analysis
2.5. Ethics
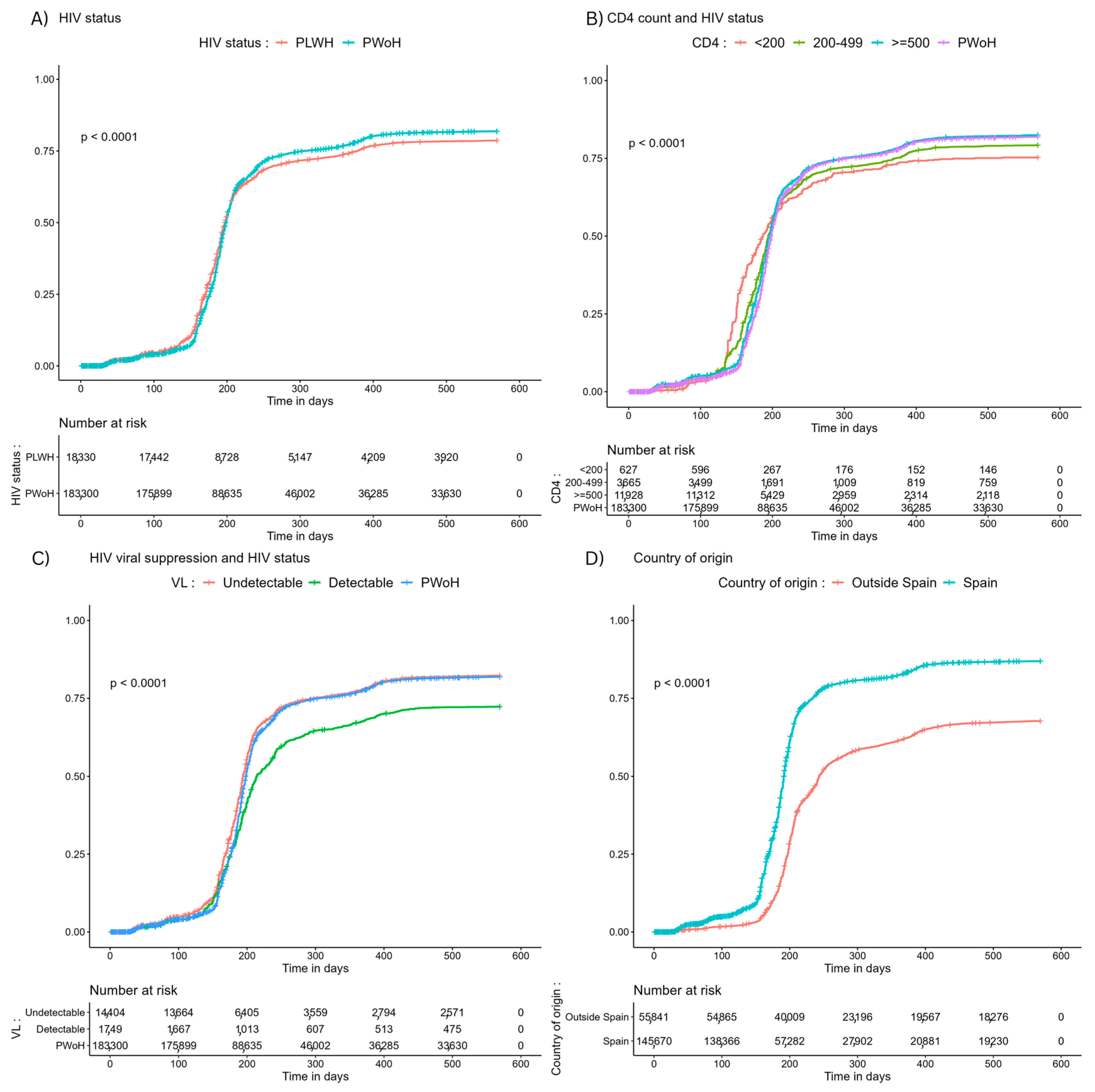
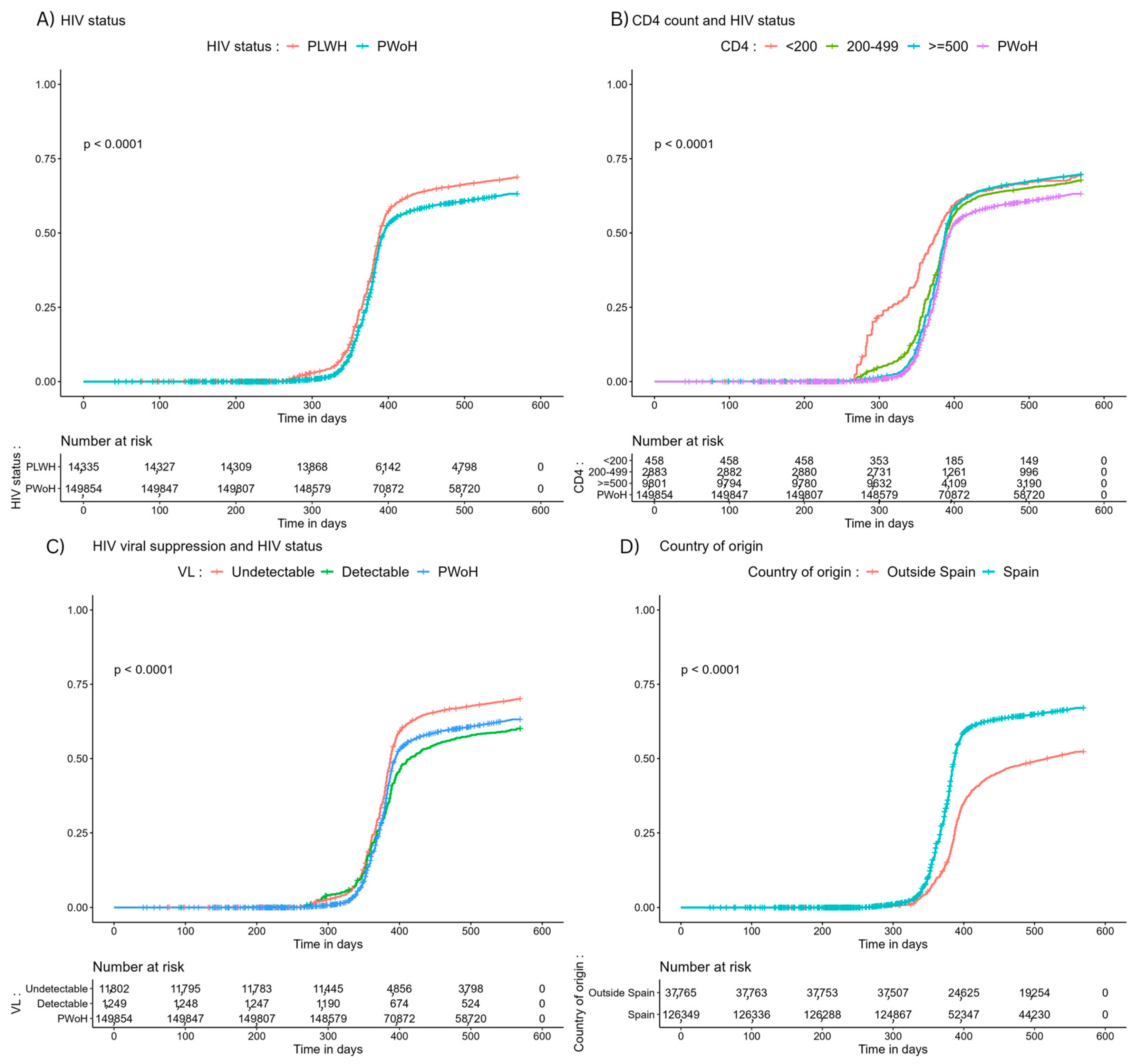
3. Results
3.1. Baseline Characteristics of Study Population
3.2. Vaccination Coverage
3.3. Factors Associated with Vaccine Coverage
3.4. Comparing Primary Complete Vaccination and Boosters between Key HIV Groups and the HIV-Negative Population
4. Discussion
5. Conclusions
Supplementary Materials
Author Contributions
Funding
Institutional Review Board Statement
Informed Consent Statement
Data Availability Statement
Acknowledgments
Conflicts of Interest
Appendix A
| Disease Groups | ICD-10-CM | Description (ICD-10) | ICD-9-CM | Description (ICD-9) | 
|---|---|---|---|---|
| AUTOIMMUNE | I731 | Thromboangiitis obliterans [Buerger] | 443.1 | Obliterating thromboangeitis (Buerger’s disease) | 
| AUTOIMMUNE | L10 | Pemphigus | ||
| AUTOIMMUNE | L12 | Pemphigoid | ||
| AUTOIMMUNE | L40 | Psoriasis | ||
| AUTOIMMUNE | L41 | Parapsoriasis | ||
| AUTOIMMUNE | L93 | Lupus erythematosus | ||
| AUTOIMMUNE | L94 | Other localized connective tissue disorders | ||
| AUTOIMMUNE | L95 | Vasculitis limited to skin, not elsewhere classified | ||
| AUTOIMMUNE | M30 | Polyarteritis nodosa and related conditions | ||
| AUTOIMMUNE | M31 | Other necrotizing vasculopathies | ||
| AUTOIMMUNE | M32 | Systemic lupus erythematosus | ||
| AUTOIMMUNE | M33 | Dermatopolymyositis | ||
| AUTOIMMUNE | M34 | Systemic sclerosis | ||
| AUTOIMMUNE | M35 | Other systemic involvement of connective tissue | ||
| AUTOIMMUNE | M36 | Systemic disorders of connective tissue in diseases classified elsewhere | ||
| AUTOIMMUNE | M023 | Reiter disease | ||
| AUTOIMMUNE | M05 | Seropositive rheumatoid arthritis | ||
| AUTOIMMUNE | M06 | Other rheumatoid arthritis | ||
| AUTOIMMUNE | M07 | Psoriatic and enteropathic arthropathies | ||
| AUTOIMMUNE | M08 | Juvenile arthritis | ||
| AUTOIMMUNE | M09 | Juvenile arthritis in diseases classified elsewhere | ||
| AUTOIMMUNE | M10 | Gout | ||
| AUTOIMMUNE | M11 | Other crystal arthropathies | ||
| AUTOIMMUNE | M12 | Other specific arthropathies | ||
| AUTOIMMUNE | M13 | Other arthritis | ||
| AUTOIMMUNE | M14 | Arthropathies in other diseases classified elsewhere | ||
| AUTOIMMUNE | M45 | Ankylosing spondylitis | ||
| AUTOIMMUNE | M460 | Spinal enthesopathy | ||
| AUTOIMMUNE | M461 | Sacroiliitis, not elsewhere classified | 720.2 | Sacroiliitis, not elsewhere classified | 
| AUTOIMMUNE | M468 | Other specified inflammatory spondylopathies | ||
| AUTOIMMUNE | M469 | Inflammatory spondylopathy, unspecified | ||
| AUTOIMMUNE | K50 | Crohn disease [regional enteritis] | ||
| AUTOIMMUNE | K51 | Ulcerative colitis | ||
| AUTOIMMUNE | G35 | Multiple sclerosis | 340 | Multiple sclerosis | 
| CANCER | C81 | Hodgkin lymphoma | ||
| CANCER | C82 | Follicular lymphoma | ||
| CANCER | C83 | Non-follicular lymphoma | ||
| CANCER | C84 | Mature T/NK-cell lymphomas | ||
| CANCER | C85 | Other and unspecified types of non-Hodgkin lymphoma | ||
| CANCER | C86 | Other specified types of T/NK-cell lymphoma | ||
| CANCER | C88 | Malignant immunoproliferative diseases | ||
| CANCER | C90 | Multiple myeloma and malignant plasma cell neoplasms | ||
| CANCER | C91 | Lymphoid leukaemia | ||
| CANCER | C92 | Myeloid leukaemia | ||
| CANCER | C93 | Monocytic leukaemia | ||
| CANCER | C94 | Other leukaemias of specified cell type | ||
| CANCER | C95 | Leukaemia of unspecified cell type | ||
| CANCER | C96 | Other and unspecified malignant neoplasms of lymphoid, haematopoietic and related tissue | ||
| CANCER | C | Malignant neoplasms | ||
| CANCER | D00 | Carcinoma in situ of oral cavity, oesophagus and stomach | ||
| CANCER | D01 | Carcinoma in situ of other and unspecified digestive organs | ||
| CANCER | D02 | Carcinoma in situ of middle ear and respiratory system | ||
| CANCER | D03 | Melanoma in situ | ||
| CANCER | D04 | Carcinoma in situ of skin | ||
| CANCER | D05 | Carcinoma in situ of breast | ||
| CANCER | D06 | Carcinoma in situ of cervix uteri | ||
| CANCER | D07 | Carcinoma in situ of other and unspecified genital organs | ||
| CANCER | D09 | Carcinoma in situ of other and unspecified sites | ||
| CANCER | D320 | Benign neoplasm: Cerebral meninges | 225.2 | Benign neoplasm of cerebral meninges | 
| CANCER | D321 | Benign neoplasm: Spinal meninges | 225.4 | Benign neoplasm of spinal meninges | 
| CANCER | D329 | Benign neoplasm: Meninges, unspecified | ||
| CANCER | D330 | Benign neoplasm: Brain, supratentorial | 225.0 | Benign neoplasm of brain and other parts of nervous system | 
| CANCER | D331 | Benign neoplasm: Brain, infratentorial | ||
| CANCER | D332 | Benign neoplasm: Brain, unspecified | ||
| CANCER | D333 | Benign neoplasm: Cranial nerves | 225.1 | Benign neoplasm of cranial nerves convert | 
| CANCER | D334 | Benign neoplasm: Spinal cord | 225.3 | Benign neoplasm of spinal cord | 
| CANCER | Q85 | Phakomatoses, not elsewhere classified | ||
| CANCER | C81 | Hodgkin lymphoma | ||
| CANCER | C82 | Follicular lymphoma | ||
| CANCER | C83 | Non-follicular lymphoma | ||
| CANCER | C84 | Mature T/NK-cell lymphomas | ||
| CANCER | C85 | Other and unspecified types of non-Hodgkin lymphoma | ||
| CANCER | C86 | Other specified types of T/NK-cell lymphoma | ||
| CANCER | C88 | Malignant immunoproliferative diseases | ||
| CANCER | C90 | Multiple myeloma and malignant plasma cell neoplasms | ||
| CANCER | C91 | Lymphoid leukaemia | ||
| CANCER | C92 | Myeloid leukaemia | ||
| CANCER | C93 | Monocytic leukaemia | ||
| CANCER | C94 | Other leukaemias of specified cell type | ||
| CANCER | C95 | Leukaemia of unspecified cell type | ||
| CANCER | C96 | Other and unspecified malignant neoplasms of lymphoid, haematopoietic and related tissue | ||
| CARDIOVASCULAR | I48 | Atrial fibrillation and flutter | ||
| CARDIOVASCULAR | I441 | Atrioventricular block, second degree | 426.12 | Mobitz (type) II atrioventricular block | 
| CARDIOVASCULAR | I441 | Atrioventricular block, second degree | 426.13 | Other second degree atrioventricular block | 
| CARDIOVASCULAR | I442 | Atrioventricular block, complete | 426.0 | Atrioventricular block, complete | 
| CARDIOVASCULAR | I443 | Other and unspecified atrioventricular block | ||
| CARDIOVASCULAR | I453 | Trifascicular block | 426.54 | Trifascicular block | 
| CARDIOVASCULAR | I455 | Other specified heart block | 426.6 | Other heart block | 
| CARDIOVASCULAR | Z950 | Presence of cardiac pacemaker | V45.01 | Status cardiac pacemaker | 
| CARDIOVASCULAR | I05 | Rheumatic mitral valve diseases | ||
| CARDIOVASCULAR | I06 | Rheumatic aortic valve diseases | ||
| CARDIOVASCULAR | I07 | Rheumatic tricuspid valve diseases | ||
| CARDIOVASCULAR | I08 | Multiple valve diseases | ||
| CARDIOVASCULAR | I091 | Rheumatic diseases of endocardium, valve unspecified | 397.9 | Rheumatic diseases of endocardium, valve unspecified. | 
| CARDIOVASCULAR | I098 | Other specified rheumatic heart diseases | ||
| CARDIOVASCULAR | I34 | Nonrheumatic mitral valve disorders | ||
| CARDIOVASCULAR | I35 | Nonrheumatic aortic valve disorders | ||
| CARDIOVASCULAR | I36 | Nonrheumatic tricuspid valve disorders | ||
| CARDIOVASCULAR | I37 | Pulmonary valve disorders | ||
| CARDIOVASCULAR | I38 | Endocarditis, valve unspecified | 424.90 | Endocarditis, valve unspecified, unspecified cause. | 
| CARDIOVASCULAR | I38 | Endocarditis, valve unspecified | 424.99 | Endocarditis, valve unspecified. | 
| CARDIOVASCULAR | I390 | Mitral valve disorders in diseases classified elsewhere | ||
| CARDIOVASCULAR | I391 | Aortic valve disorders in diseases classified elsewhere | ||
| CARDIOVASCULAR | I392 | Tricuspid valve disorders in diseases classified elsewhere | ||
| CARDIOVASCULAR | I393 | Pulmonary valve disorders in diseases classified elsewhere | ||
| CARDIOVASCULAR | I394 | Multiple valve disorders in diseases classified elsewhere | ||
| CARDIOVASCULAR | Q22 | Congenital malformations of pulmonary and tricuspid valves | ||
| CARDIOVASCULAR | Q23 | Congenital malformations of aortic and mitral valves | ||
| CARDIOVASCULAR | Z952 | Presence of prosthetic heart valve | V43.3 | Heart valve replaced by other means | 
| CARDIOVASCULAR | Z953 | Presence of xenogenic heart valve | V42.2 | Heart valve replaced by transplant | 
| CARDIOVASCULAR | Z954 | Presence of other heart-valve replacement | V42.2 | |
| CARDIOVASCULAR | G45 | Transient cerebral ischaemic attacks and related syndromes | ||
| CARDIOVASCULAR | G46 | Vascular syndromes of brain in cerebrovascular diseases | ||
| CARDIOVASCULAR | I60 | Subarachnoid haemorrhage | ||
| CARDIOVASCULAR | I61 | Intracerebral haemorrhage | ||
| CARDIOVASCULAR | I62 | Other nontraumatic intracranial haemorrhage | ||
| CARDIOVASCULAR | I63 | Cerebral infarction | ||
| CARDIOVASCULAR | I64 | Stroke, not specified as haemorrhage or infarction | ||
| CARDIOVASCULAR | I67 | Other cerebrovascular diseases | ||
| CARDIOVASCULAR | I69 | Sequelae of cerebrovascular disease | ||
| CARDIOVASCULAR | I110 | Hypertensive heart disease with (congestive) heart failure | 402.01 | Malignant hypertensive heart disease with heart failure | 
| CARDIOVASCULAR | I110 | Hypertensive heart disease with (congestive) heart failure | 402.11 | Malignant hypertensive heart disease with heart failure | 
| CARDIOVASCULAR | I110 | Hypertensive heart disease with (congestive) heart failure | 402.91 | Unspecified hypertensive heart disease | 
| CARDIOVASCULAR | I130 | Hypertensive heart and renal disease with (congestive) heart failure | 404.01 | Hypertensive heart and renal disease, with congestive heart failure, malignant | 
| CARDIOVASCULAR | I130 | Hypertensive heart and renal disease with (congestive) heart failure | 404.11 | Hypertensive heart and chronic kidney disease with heart failure and stage 1 through stage 4 chronic kidney disease. | 
| CARDIOVASCULAR | I130 | Hypertensive heart and renal disease with (congestive) heart failure | 404.91 | Hypertensive heart and chronic kidney disease with heart failure and stage 1 through stage 4 chronic kidney disease | 
| CARDIOVASCULAR | I132 | Hypertensive heart and renal disease with both (congestive) heart failure and renal failure | 404.03 | Hypertensive HF and CKD- Kidney Failure | 
| CARDIOVASCULAR | I132 | Hypertensive heart and renal disease with both (congestive) heart failure and renal failure | 404.13 | Hypertensive heart and chronic kidney disease with heart failure and with stage 5 chronic kidney disease | 
| CARDIOVASCULAR | I132 | Hypertensive heart and renal disease with both (congestive) heart failure and renal failure | 404.93 | Unspecified w/chf and renal failure | 
| CARDIOVASCULAR | I27 | Other pulmonary heart diseases | ||
| CARDIOVASCULAR | I280 | Arteriovenous fistula of pulmonary vessels | 417.0 | Arteriovenous fistula of pulmonary vessels | 
| CARDIOVASCULAR | I42 | Cardiomyopathy | ||
| CARDIOVASCULAR | I43 | Cardiomyopathy in diseases classified elsewhere | 425.8 | Cardiomyopathy in other diseases classified elsewhere | 
| CARDIOVASCULAR | I50 | Heart failure | ||
| CARDIOVASCULAR | I515 | Myocardial degeneration | 429.1 | Myocardial degeneration | 
| CARDIOVASCULAR | I517 | Cardiomegaly | 429.3 | Cardiomegaly | 
| CARDIOVASCULAR | I528 | Other heart disorders in other diseases classified elsewhere | ||
| CARDIOVASCULAR | Z941 | Heart transplant status | V42.1 | Heart transplant status | 
| CARDIOVASCULAR | Z943 | Heart and lungs transplant status | V42.1 | |
| CARDIOVASCULAR | Z943 | Heart and lungs transplant status | V42.6 | Lung transplant status | 
| CARDIOVASCULAR | I20 | Angina pectoris | ||
| CARDIOVASCULAR | I21 | Acute myocardial infarction | ||
| CARDIOVASCULAR | I22 | Subsequent myocardial infarction | ||
| CARDIOVASCULAR | I24 | Other acute ischaemic heart diseases | ||
| CARDIOVASCULAR | I25 | Chronic ischaemic heart disease | ||
| CARDIOVASCULAR | Z951 | Presence of aortocoronary bypass graft | V45.81 | Aortocoronary bypass status | 
| CARDIOVASCULAR | Z955 | Presence of coronary angioplasty implant and graft | V45.82 | Ercutaneous transluminal coronary angioplasty status | 
| CARDIOVASCULAR | I09 | Other rheumatic heart diseases | ||
| CARDIOVASCULAR | I281 | Aneurysm of pulmonary artery | 417.1 | Aneurysm of pulmonary artery | 
| CARDIOVASCULAR | I310 | Chronic adhesive pericarditis | 423.1 | Adhesive pericarditis | 
| CARDIOVASCULAR | I311 | Chronic constrictive pericarditis | 423.2 | Constrictive pericarditis. | 
| CARDIOVASCULAR | I456 | Pre-excitation syndrome | 426.7 | Anomalous atrioventricular excitation. | 
| CARDIOVASCULAR | I456 | Pre-excitation syndrome | 426.81 | Lown-Ganong-Levine syndrome. | 
| CARDIOVASCULAR | I495 | Sick sinus syndrome | 427.81 | Sinoatrial node dysfunction | 
| CARDIOVASCULAR | I498 | Other specified cardiac arrhythmias | 427.89 | Other specified cardiac dysrhythmias | 
| CARDIOVASCULAR | I70 | Atherosclerosis | ||
| CARDIOVASCULAR | I71 | Aortic aneurysm and dissection | ||
| CARDIOVASCULAR | I72 | Other aneurysm and dissection | ||
| CARDIOVASCULAR | I790 | Aneurysm of aorta in diseases classified elsewhere | 441.9 | Aortic aneurysm of unspecified site without mention of rupture | 
| CARDIOVASCULAR | I791 | Aortitis in diseases classified elsewhere | 443.81 | Peripheral angiopathy in diseases classified elsewhere | 
| CARDIOVASCULAR | I950 | Idiopathic hypotension | 458.1 | Chronic hypotension | 
| CARDIOVASCULAR | I951 | Orthostatic hypotension | 458.0 | Orthostatic hypotension | 
| CARDIOVASCULAR | I958 | Other hypotension | ||
| CARDIOVASCULAR | Q20 | Congenital malformations of cardiac chambers and connections | ||
| CARDIOVASCULAR | Q21 | Congenital malformations of cardiac septa | ||
| CARDIOVASCULAR | Q24 | Other congenital malformations of heart | ||
| CARDIOVASCULAR | Q25 | Congenital malformations of great arteries | ||
| CARDIOVASCULAR | Q26 | Congenital malformations of great veins | ||
| CARDIOVASCULAR | Q27 | Other congenital malformations of peripheral vascular system | ||
| CARDIOVASCULAR | Q28 | Other congenital malformations of circulatory system | ||
| CARDIOVASCULAR | Z958 | Presence of other cardiac and vascular implants and grafts | ||
| CARDIOVASCULAR | Z959 | Presence of cardiac and vascular implant and graft, unspecified | V45.00 | Cardiac device in situ | 
| CARDIOVASCULAR | I091 | Rheumatic diseases of endocardium, valve unspecified | 397.9 | Rheumatic diseases of endocardium, valve unspecified | 
| CARDIOVASCULAR | I098 | Other specified rheumatic heart diseases | ||
| CARDIOVASCULAR | I702 | Atherosclerosis of arteries of extremities | ||
| CARDIOVASCULAR | I780 | Hereditary haemorrhagic telangiectasia | 448.0 | Hereditary hemorrhagic telangiectasia. | 
| CARDIOVASCULAR | I83 | Varicose veins of lower extremities | ||
| CARDIOVASCULAR | I87 | Other disorders of veins | ||
| CARDIOVASCULAR | I89 | Other noninfective disorders of lymphatic vessels and lymph nodes | ||
| CARDIOVASCULAR | I972 | Postmastectomy lymphoedema syndrome | 457.0 | Postmastectomy lymphedema syndrome | 
| CARDIOVASCULAR | Q820 | Hereditary lymphoedema | 757.0 | Hereditary edema of legs | 
| HYPERTENSION | I10 | Essential (primary) hypertension | 401.0 | Malignant essential hypertension | 
| HYPERTENSION | I10 | Essential (primary) hypertension | 401.1 | Benign essential hypertension | 
| HYPERTENSION | I10 | Essential (primary) hypertension | 401.9 | Unspecified essential hypertension | 
| HYPERTENSION | I11 | Hypertensive heart disease | ||
| HYPERTENSION | I12 | Hypertensive renal disease | ||
| HYPERTENSION | I13 | Hypertensive heart and renal disease | ||
| HYPERTENSION | I15 | Secondary hypertension | ||
| CHRONIC KIDNEY DISEASES | I120 | Hypertensive renal disease with renal failure | 403.01 | Hypertensive chronic kidney disease, malignant, with chronic kidney disease stage V or end stage renal disease | 
| CHRONIC KIDNEY DISEASES | I120 | Hypertensive renal disease with renal failure | 403.11 | Hypertensive chronic kidney disease, benign, with chronic kidney disease stage v or end stage renal disease | 
| CHRONIC KIDNEY DISEASES | I120 | Hypertensive renal disease with renal failure | 403.91 | Hypertensive chronic kidney disease, unspecified, with chronic kidney disease stage V or end stage renal disease | 
| CHRONIC KIDNEY DISEASES | I130 | Hypertensive heart and renal disease with (congestive) heart failure | 404.01 | Hypertensive heart and renal disease, with congestive heart failure, malignant | 
| CHRONIC KIDNEY DISEASES | I130 | Hypertensive heart and renal disease with (congestive) heart failure | 404.11 | Hypertensive heart and chronic kidney disease with heart failure and stage 1 through stage 4 chronic kidney disease, or unspecified chronic kidney disease | 
| CHRONIC KIDNEY DISEASES | I130 | Hypertensive heart and renal disease with (congestive) heart failure | 404.91 | Hypertensive heart and chronic kidney disease with heart failure and stage 1 through stage 4 chronic kidney disease, or unspecified chronic kidney disease | 
| CHRONIC KIDNEY DISEASES | I131 | Hypertensive heart and renal disease with renal failure | ||
| CHRONIC KIDNEY DISEASES | I132 | Hypertensive heart and renal disease with both (congestive) heart failure and renal failure | 404.03 | Hypertensive heart and chronic kidney disease with heart failure and stage 1 through stage 4 chronic kidney disease, or unspecified chronic kidney disease | 
| CHRONIC KIDNEY DISEASES | I132 | Hypertensive heart and renal disease with both (congestive) heart failure and renal failure | 404.13 | Hypertensive HF and CKD–Kidney Failure | 
| CHRONIC KIDNEY DISEASES | I132 | Hypertensive heart and renal disease with both (congestive) heart failure and renal failure | 404.93 | Hypertensive HF and CKD–Kidney Failure | 
| CHRONIC KIDNEY DISEASES | I139 | Hypertensive heart and renal disease, unspecified | ||
| CHRONIC KIDNEY DISEASES | N01 | Rapidly progressive nephritic syndrome | ||
| CHRONIC KIDNEY DISEASES | N03 | Chronic nephritic syndrome | ||
| CHRONIC KIDNEY DISEASES | N04 | Nephrotic syndrome | ||
| CHRONIC KIDNEY DISEASES | N05 | Unspecified nephritic syndrome | ||
| CHRONIC KIDNEY DISEASES | N07 | Hereditary nephropathy, not elsewhere classified | ||
| CHRONIC KIDNEY DISEASES | N08 | Glomerular disorders in diseases classified elsewhere | 583.81 | Nephritis and nephropathy, not specified as acute or chronic, in diseases classified elsewhere | 
| CHRONIC KIDNEY DISEASES | N11 | Chronic tubulo-interstitial nephritis | ||
| CHRONIC KIDNEY DISEASES | N183 | Chronic kidney disease, stage 3 | 585.3 | Chronic kidney disease, stage 3 (moderate) | 
| CHRONIC KIDNEY DISEASES | N184 | Chronic kidney disease, stage 4 | 585.4 | Chronic kidney disease, Stage IV (severe) | 
| CHRONIC KIDNEY DISEASES | N185 | Chronic kidney disease, stage 5 | 585.5 | Chronic kidney disease, stage v | 
| CHRONIC KIDNEY DISEASES | N189 | Chronic kidney disease, unspecified | 585.9 | Chronic kidney disease, unspecified | 
| CHRONIC KIDNEY DISEASES | Q60 | Renal agenesis and other reduction defects of kidney | ||
| CHRONIC KIDNEY DISEASES | Q611 | Polycystic kidney, autosomal recessive | ||
| CHRONIC KIDNEY DISEASES | Q612 | Polycystic kidney, autosomal dominant | 753.13 | Polycystic kidney, autosomal dominant | 
| CHRONIC KIDNEY DISEASES | Q613 | Polycystic kidney, unspecified | 753.12 | Polycystic kidney, unspecified type | 
| CHRONIC KIDNEY DISEASES | Q614 | Renal dysplasia | 753.15 | Renal dysplasia | 
| CHRONIC KIDNEY DISEASES | Q615 | Medullary cystic kidney | 753.16 | Medullary cystic kidney | 
| CHRONIC KIDNEY DISEASES | Q615 | Medullary cystic kidney | 753.17 | Medullary sponge kidney | 
| CHRONIC KIDNEY DISEASES | Q618 | Other cystic kidney diseases | 753.19 | Other specified cystic kidney disease | 
| CHRONIC KIDNEY DISEASES | Q619 | Cystic kidney disease, unspecified | 753.10 | Cystic kidney disease, unspecified | 
| CHRONIC KIDNEY DISEASES | Z905 | Acquired absence of kidney | V45.73 | Acquired absence kidney | 
| CHRONIC KIDNEY DISEASES | Z940 | Kidney transplant status | V42.0 | Organ or tissue replaced by transplant | 
| CHRONIC LIVER DISEASES | B18 | Chronic viral hepatitis | ||
| CHRONIC LIVER DISEASES | K70 | Alcoholic liver disease | ||
| CHRONIC LIVER DISEASES | K713 | Toxic liver disease with chronic persistent hepatitis | 573.3 | Hepatitis, unspecified | 
| CHRONIC LIVER DISEASES | K714 | Toxic liver disease with chronic lobular hepatitis | 573.3 | Hepatitis, unspecified | 
| CHRONIC LIVER DISEASES | K715 | Toxic liver disease with chronic active hepatitis | ||
| CHRONIC LIVER DISEASES | K717 | Toxic liver disease with fibrosis and cirrhosis of liver | 573.3 | Hepatitis, unspecified | 
| CHRONIC LIVER DISEASES | K721 | Chronic hepatic failure | ||
| CHRONIC LIVER DISEASES | K73 | Chronic hepatitis, not elsewhere classified | ||
| CHRONIC LIVER DISEASES | K74 | Fibrosis and cirrhosis of liver | ||
| CHRONIC LIVER DISEASES | K753 | Granulomatous hepatitis, not elsewhere classified | 573.3 | Hepatitis, unspecified | 
| CHRONIC LIVER DISEASES | K754 | Autoimmune hepatitis | 571.42 | Chronic persistent hepatitis | 
| CHRONIC LIVER DISEASES | K758 | Other specified inflammatory liver diseases | ||
| CHRONIC LIVER DISEASES | K761 | Chronic passive congestion of liver | 573.0 | Chronic passive congestion of liver | 
| CHRONIC LIVER DISEASES | K761 | Chronic passive congestion of liver | 573.8 | Other disorders of liver | 
| CHRONIC LIVER DISEASES | K766 | Portal hypertension | 572.3 | Portal hypertension | 
| CHRONIC LIVER DISEASES | K767 | Hepatorenal syndrome | 572.4 | Hepatorenal syndrome | 
| CHRONIC LIVER DISEASES | K778 | Liver disorders in other diseases classified elsewhere | ||
| CHRONIC LIVER DISEASES | Q446 | Cystic disease of liver | 751.62 | Congenital cystic disease of liver | 
| CHRONIC LIVER DISEASES | Z944 | Liver transplant status | V42.7 | Liver transplant status | 
| CHRONIC LIVER DISEASES | K700 | Alcoholic fatty liver | 571.0 | Alcoholic fatty liver | 
| CHRONIC LIVER DISEASES | K701 | Alcoholic hepatitis | ||
| METABOLIC | E78 | Disorders of lipoprotein metabolism and other lipidaemias | ||
| METABOLIC | E20 | Hypoparathyroidism | ||
| METABOLIC | E21 | Hyperparathyroidism and other disorders of parathyroid gland | ||
| METABOLIC | E22 | Hyperfunction of pituitary gland | ||
| METABOLIC | E23 | Hypofunction and other disorders of pituitary gland | ||
| METABOLIC | E24 | Cushing syndrome | ||
| METABOLIC | E25 | Adrenogenital disorders | ||
| METABOLIC | E26 | Hyperaldosteronism | ||
| METABOLIC | E27 | Other disorders of adrenal gland | ||
| METABOLIC | E28 | Ovarian dysfunction | ||
| METABOLIC | E29 | Testicular dysfunction | ||
| METABOLIC | E31 | Polyglandular dysfunction | ||
| METABOLIC | E34 | Other endocrine disorders | ||
| METABOLIC | E35 | Disorders of endocrine glands in diseases classified elsewhere | 246.8 | Other specified disorders of thyroid | 
| METABOLIC | E35 | Disorders of endocrine glands in diseases classified elsewhere | 255.8 | Other specified disorders of adrenal glands | 
| METABOLIC | E35 | Disorders of endocrine glands in diseases classified elsewhere | 259.8 | Other specified endocrine disorders | 
| METABOLIC | E40 | Kwashiorkor | 260 | Kwashiorkor | 
| METABOLIC | E41 | Nutritional marasmus | 261 | Nutritional marasmus | 
| METABOLIC | E42 | Marasmic kwashiorkor | 260 | Kwashiorkor | 
| METABOLIC | E43 | Unspecified severe protein-energy malnutrition | 262 | Other severe protein-calorie malnutrition | 
| METABOLIC | E44 | Protein-energy malnutrition of moderate and mild degree | ||
| METABOLIC | E45 | Retarded development following protein-energy malnutrition | 263.2 | Arrested development following protein-calorie malnutrition | 
| METABOLIC | E46 | Unspecified protein-energy malnutrition | 263.8 | Unspecified protein-calorie malnutrition | 
| METABOLIC | E46 | Unspecified protein-energy malnutrition | 263.9 | Unspecified protein-calorie malnutrition | 
| METABOLIC | E64 | Sequelae of malnutrition and other nutritional deficiencies | ||
| METABOLIC | E70 | Disorders of aromatic amino-acid metabolism | ||
| METABOLIC | E71 | Disorders of branched-chain amino-acid metabolism and fatty-acid metabolism | ||
| METABOLIC | E72 | Other disorders of amino-acid metabolism | ||
| METABOLIC | E74 | Other disorders of carbohydrate metabolism | ||
| METABOLIC | E75 | Disorders of sphingolipid metabolism and other lipid storage disorders | ||
| METABOLIC | E76 | Disorders of glycosaminoglycan metabolism | ||
| METABOLIC | E77 | Disorders of glycoprotein metabolism | ||
| METABOLIC | E79 | Disorders of purine and pyrimidine metabolism | ||
| METABOLIC | E80 | Disorders of porphyrin and bilirubin metabolism | ||
| METABOLIC | E83 | Disorders of mineral metabolism | ||
| METABOLIC | E84 | Cystic fibrosis | ||
| METABOLIC | E85 | Amyloidosis | ||
| METABOLIC | E88 | Other metabolic disorders | ||
| METABOLIC | E89 | Postprocedural endocrine and metabolic disorders, not elsewhere classified | ||
| METABOLIC | E891 | Postprocedural hypoinsulinaemia | 251.3 | Postsurgical hypoinsulinemia | 
| METABOLIC | K903 | Pancreatic steatorrhoea | 579.4 | Pancreatic steatorrhea | 
| METABOLIC | K904 | Malabsorption due to intolerance, not elsewhere classified | ||
| METABOLIC | K908 | Other intestinal malabsorption | ||
| METABOLIC | K909 | Intestinal malabsorption, unspecified | 579.9 | Unspecified intestinal malabsorption | 
| METABOLIC | K912 | Postsurgical malabsorption, not elsewhere classified | 579.3 | Postsurgical malabsorption, not elsewhere classified | 
| METABOLIC | M83 | Adult osteomalacia | ||
| METABOLIC | M88 | Paget disease of bone [osteitis deformans] | ||
| METABOLIC | N25 | Disorders resulting from impaired renal tubular function | ||
| DIABETES | E10 | Insulin-dependent diabetes mellitus | 250.XX | Diabetes | 
| DIABETES | E11 | Non-insulin-dependent diabetes mellitus | ||
| DIABETES | E13 | Other specified diabetes mellitus | ||
| DIABETES | E14 | Unspecified diabetes mellitus | ||
| OBERSITY | E66 | Obesity | ||
| NEUROPSYCHIATRIC | F00 | Dementia in Alzheimer disease | ||
| NEUROPSYCHIATRIC | F01 | Vascular dementia | ||
| NEUROPSYCHIATRIC | F02 | Dementia in other diseases classified elsewhere | ||
| NEUROPSYCHIATRIC | F03 | Unspecified dementia | ||
| NEUROPSYCHIATRIC | F051 | Delirium superimposed on dementia | ||
| NEUROPSYCHIATRIC | G30 | Alzheimer disease | ||
| NEUROPSYCHIATRIC | G31 | Other degenerative diseases of nervous system, not elsewhere classified | ||
| NEUROPSYCHIATRIC | F30 | Manic episode | ||
| NEUROPSYCHIATRIC | F31 | Bipolar affective disorder | ||
| NEUROPSYCHIATRIC | F32 | Depressive episode | ||
| NEUROPSYCHIATRIC | F33 | Recurrent depressive disorder | ||
| NEUROPSYCHIATRIC | F34 | Persistent mood [affective] disorders | ||
| NEUROPSYCHIATRIC | F38 | Other mood [affective] disorders | ||
| NEUROPSYCHIATRIC | F39 | Unspecified mood [affective] disorder | 296.90 | Unspecified episodic mood disorder | 
| NEUROPSYCHIATRIC | F412 | Mixed anxiety and depressive disorder | ||
| NEUROPSYCHIATRIC | G40 | Epilepsy | ||
| NEUROPSYCHIATRIC | B900 | Sequelae of central nervous system tuberculosis | 137.1 | Late effects of central nervous system tuberculosis | 
| NEUROPSYCHIATRIC | D482 | Neoplasm of uncertain or unknown behaviour: Peripheral nerves and autonomic nervous system | 238.1 | Neoplasm of uncertain behavior of connective and other soft tissue | 
| NEUROPSYCHIATRIC | G041 | Tropical spastic paraplegia | 344.1 | Paraplegia | 
| NEUROPSYCHIATRIC | G09 | Sequelae of inflammatory diseases of central nervous system | 326 | Late effects of intracranial abscess or pyogenic infection | 
| NEUROPSYCHIATRIC | G10 | Huntington disease | 333.4 | Huntington’s chorea | 
| NEUROPSYCHIATRIC | G11 | Hereditary ataxia | ||
| NEUROPSYCHIATRIC | G12 | Spinal muscular atrophy and related syndromes | ||
| NEUROPSYCHIATRIC | G13 | Systemic atrophies primarily affecting central nervous system in diseases classified elsewhere | ||
| NEUROPSYCHIATRIC | G24 | Dystonia | ||
| NEUROPSYCHIATRIC | G25 | Other extrapyramidal and movement disorders | ||
| NEUROPSYCHIATRIC | G26 | Extrapyramidal and movement disorders in diseases classified elsewhere | 333.99 | Other extrapyramidal diseases and abnormal movement disorders | 
| NEUROPSYCHIATRIC | G32 | Other degenerative disorders of nervous system in diseases classified elsewhere | ||
| NEUROPSYCHIATRIC | G37 | Other demyelinating diseases of central nervous system | ||
| NEUROPSYCHIATRIC | G51 | Facial nerve disorders | ||
| NEUROPSYCHIATRIC | G52 | Disorders of other cranial nerves | ||
| NEUROPSYCHIATRIC | G53 | Cranial nerve disorders in diseases classified elsewhere | 352.9 | Unspecified disorder of cranial nerves | 
| NEUROPSYCHIATRIC | G70 | Myasthenia gravis and other myoneural disorders | ||
| NEUROPSYCHIATRIC | G71 | Primary disorders of muscles | ||
| NEUROPSYCHIATRIC | G723 | Periodic paralysis | 359.3 | Periodic paralysis | 
| NEUROPSYCHIATRIC | G724 | Inflammatory myopathy, not elsewhere classified | ||
| NEUROPSYCHIATRIC | G728 | Other specified myopathies | ||
| NEUROPSYCHIATRIC | G729 | Myopathy, unspecified | 359.9 | Myopathy, unspecified | 
| NEUROPSYCHIATRIC | G73 | Disorders of myoneural junction and muscle in diseases classified elsewhere | ||
| NEUROPSYCHIATRIC | G80 | Cerebral palsy | ||
| NEUROPSYCHIATRIC | G81 | Hemiplegia | ||
| NEUROPSYCHIATRIC | G82 | Paraplegia and tetraplegia | ||
| NEUROPSYCHIATRIC | G83 | Other paralytic syndromes | ||
| NEUROPSYCHIATRIC | G90 | Disorders of autonomic nervous system | ||
| NEUROPSYCHIATRIC | G91 | Hydrocephalus | ||
| NEUROPSYCHIATRIC | G938 | Other specified disorders of brain | ||
| NEUROPSYCHIATRIC | G939 | Disorder of brain, unspecified | 348.9 | Unspecified condition of brain | 
| NEUROPSYCHIATRIC | G95 | Other diseases of spinal cord | ||
| NEUROPSYCHIATRIC | G99 | Other disorders of nervous system in diseases classified elsewhere | ||
| NEUROPSYCHIATRIC | M471 | Other spondylosis with myelopathy | ||
| NEUROPSYCHIATRIC | Q00 | Anencephaly and similar malformations | ||
| NEUROPSYCHIATRIC | Q01 | Encephalocele | ||
| NEUROPSYCHIATRIC | Q02 | Microcephaly | 742.1 | Microcephalus | 
| NEUROPSYCHIATRIC | Q03 | Congenital hydrocephalus | ||
| NEUROPSYCHIATRIC | Q04 | Other congenital malformations of brain | ||
| NEUROPSYCHIATRIC | Q05 | Spina bifida | ||
| NEUROPSYCHIATRIC | Q06 | Other congenital malformations of spinal cord | ||
| NEUROPSYCHIATRIC | Q07 | Other congenital malformations of nervous system | ||
| NEUROPSYCHIATRIC | Q760 | Spina bifida occulta | 756.17 | Spina bifida occulta | 
| NEUROPSYCHIATRIC | F04 | Organic amnesic syndrome, not induced by alcohol and other psychoactive substances | 294.0 | Amnestic disorder in conditions classified elsewhere | 
| NEUROPSYCHIATRIC | F06 | Other mental disorders due to brain damage and dysfunction and to physical disease | ||
| NEUROPSYCHIATRIC | F07 | Personality and behavioural disorders due to brain disease, damage and dysfunction | ||
| NEUROPSYCHIATRIC | F09 | Unspecified organic or symptomatic mental disorder | 310.9 | Unspecified nonpsychotic mental disorder following organic brain damage | 
| NEUROPSYCHIATRIC | F102 | Mental and behavioural disorders due to use of alcohol: Dependence syndrome | ||
| NEUROPSYCHIATRIC | F106 | Mental and behavioural disorders due to use of alcohol: Amnesic syndrome | ||
| NEUROPSYCHIATRIC | F107 | Mental and behavioural disorders due to use of alcohol: Residual and late-onset psychotic disorder | ||
| NEUROPSYCHIATRIC | F112 | Mental and behavioural disorders due to use of opioids: Dependence syndrome | ||
| NEUROPSYCHIATRIC | F116 | Mental and behavioural disorders due to use of opioids: Amnesic syndrome | ||
| NEUROPSYCHIATRIC | F117 | Mental and behavioural disorders due to use of opioids: Residual and late-onset psychotic disorder | ||
| NEUROPSYCHIATRIC | F122 | Mental and behavioural disorders due to use of cannabinoids: Dependence syndrome | ||
| NEUROPSYCHIATRIC | F126 | Mental and behavioural disorders due to use of cannabinoids: Amnesic syndrome | ||
| NEUROPSYCHIATRIC | F127 | Mental and behavioural disorders due to use of cannabinoids: Residual and late-onset psychotic disorder | ||
| NEUROPSYCHIATRIC | F132 | Mental and behavioural disorders due to use of sedatives or hypnotics: Dependence syndrome | ||
| NEUROPSYCHIATRIC | F136 | Mental and behavioural disorders due to use of sedatives or hypnotics: Amnesic syndrome | ||
| NEUROPSYCHIATRIC | F137 | Mental and behavioural disorders due to use of sedatives or hypnotics: Residual and late-onset psychotic disorder | ||
| NEUROPSYCHIATRIC | F142 | Mental and behavioural disorders due to use of cocaine: Dependence syndrome | ||
| NEUROPSYCHIATRIC | F146 | Mental and behavioural disorders due to use of cocaine: Amnesic syndrome | ||
| NEUROPSYCHIATRIC | F147 | Mental and behavioural disorders due to use of cocaine: Residual and late-onset psychotic disorder | ||
| NEUROPSYCHIATRIC | F152 | Mental and behavioural disorders due to use of other stimulants, including caffeine: Dependence syndrome | ||
| NEUROPSYCHIATRIC | F156 | Mental and behavioural disorders due to use of other stimulants, including caffeine: Amnesic syndrome | ||
| NEUROPSYCHIATRIC | F157 | Mental and behavioural disorders due to use of other stimulants, including caffeine: Residual and late-onset psychotic disorder | ||
| NEUROPSYCHIATRIC | F162 | Mental and behavioural disorders due to use of hallucinogens: Dependence syndrome | ||
| NEUROPSYCHIATRIC | F166 | Mental and behavioural disorders due to use of hallucinogens: Amnesic syndrome | ||
| NEUROPSYCHIATRIC | F167 | Mental and behavioural disorders due to use of hallucinogens: Residual and late-onset psychotic disorder | ||
| NEUROPSYCHIATRIC | F172 | Mental and behavioural disorders due to use of tobacco: Dependence syndrome | ||
| NEUROPSYCHIATRIC | F176 | Mental and behavioural disorders due to use of tobacco: Amnesic syndrome | ||
| NEUROPSYCHIATRIC | F177 | Mental and behavioural disorders due to use of tobacco: Residual and late-onset psychotic disorder | ||
| NEUROPSYCHIATRIC | F182 | Mental and behavioural disorders due to use of volatile solvents: Dependence syndrome | ||
| NEUROPSYCHIATRIC | F186 | Mental and behavioural disorders due to use of volatile solvents: Amnesic syndrome | ||
| NEUROPSYCHIATRIC | F187 | Mental and behavioural disorders due to use of volatile solvents: Residual and late-onset psychotic disorder | ||
| NEUROPSYCHIATRIC | F192 | Mental and behavioural disorders due to multiple drug use and use of other psychoactive substances: Dependence syndrome | ||
| NEUROPSYCHIATRIC | F196 | Mental and behavioural disorders due to multiple drug use and use of other psychoactive substances: Amnesic syndrome | ||
| NEUROPSYCHIATRIC | F197 | Mental and behavioural disorders due to multiple drug use and use of other psychoactive substances: Residual and late-onset psychotic disorder | ||
| NEUROPSYCHIATRIC | F50 | Eating disorders | ||
| NEUROPSYCHIATRIC | F52 | Sexual dysfunction, not caused by organic disorder or disease | ||
| NEUROPSYCHIATRIC | F60 | Specific personality disorders | ||
| NEUROPSYCHIATRIC | F61 | Mixed and other personality disorders | ||
| NEUROPSYCHIATRIC | F62 | Enduring personality changes, not attributable to brain damage and disease | ||
| NEUROPSYCHIATRIC | F63 | Habit and impulse disorders | ||
| NEUROPSYCHIATRIC | F68 | Other disorders of adult personality and behaviour | ||
| NEUROPSYCHIATRIC | F70 | Mild mental retardation | 317 | Mild intellectual disabilities | 
| NEUROPSYCHIATRIC | F71 | Moderate mental retardation | 318.0 | Moderate intellectual disabilities | 
| NEUROPSYCHIATRIC | F72 | Severe mental retardation | 318.1 | Severe intellectual disabilities | 
| NEUROPSYCHIATRIC | F73 | Profound mental retardation | 318.2 | Profound intellectual disabilities | 
| NEUROPSYCHIATRIC | F78 | Other mental retardation | 319 | Unspecified intellectual disabilities | 
| NEUROPSYCHIATRIC | F79 | Unspecified mental retardation | 319 | Unspecified intellectual disabilities | 
| NEUROPSYCHIATRIC | F80 | Specific developmental disorders of speech and language | ||
| NEUROPSYCHIATRIC | F81 | Specific developmental disorders of scholastic skills | ||
| NEUROPSYCHIATRIC | F82 | Specific developmental disorder of motor function | 315.4 | Developmental coordination disorder | 
| NEUROPSYCHIATRIC | F83 | Mixed specific developmental disorders | ||
| NEUROPSYCHIATRIC | F84 | Pervasive developmental disorders | ||
| NEUROPSYCHIATRIC | F88 | Other disorders of psychological development | 315.8 | Other specified delays in development | 
| NEUROPSYCHIATRIC | F89 | Unspecified disorder of psychological development | 315.9 | Unspecified delay in development | 
| NEUROPSYCHIATRIC | F95 | Tic disorders | ||
| NEUROPSYCHIATRIC | F99 | Mental disorder, not otherwise specified | 300.9 | Unspecified nonpsychotic mental disorder | 
| NEUROPSYCHIATRIC | G20 | Parkinson disease | 332.0 | Paralysis agitans | 
| NEUROPSYCHIATRIC | G21 | Secondary parkinsonism | ||
| NEUROPSYCHIATRIC | G22 | Parkinsonism in diseases classified elsewhere | ||
| NEUROPSYCHIATRIC | G23 | Other degenerative diseases of basal ganglia | ||
| NEUROPSYCHIATRIC | F20 | Schizophrenia | ||
| NEUROPSYCHIATRIC | F22 | Persistent delusional disorders | 297.0 | Paranoid state, simple | 
| NEUROPSYCHIATRIC | F22 | Persistent delusional disorders | 297.1 | Delusional disorder | 
| NEUROPSYCHIATRIC | F22 | Persistent delusional disorders | 297.2 | Paraphrenia | 
| NEUROPSYCHIATRIC | F24 | Induced delusional disorder | 297.3 | Shared psychotic disorder | 
| NEUROPSYCHIATRIC | F25 | Schizoaffective disorders | ||
| NEUROPSYCHIATRIC | F28 | Other nonorganic psychotic disorders | 298.9 | Unspecified psychosis | 
| RESPIRATORY | J45 | Asthma | ||
| RESPIRATORY | J41 | Simple and mucopurulent chronic bronchitis | ||
| RESPIRATORY | J42 | Unspecified chronic bronchitis | 491.9 | Unspecified chronic bronchitis | 
| RESPIRATORY | J43 | Emphysema | ||
| RESPIRATORY | J44 | Other chronic obstructive pulmonary disease | ||
| RESPIRATORY | J47 | Bronchiectasis | ||
| RESPIRATORY | B909 | Sequelae of respiratory and unspecified tuberculosis | 137.0 | Late effects of respiratory or unspecified tuberculosis | 
| RESPIRATORY | E662 | Extreme obesity with alveolar hypoventilation | 278.03 | Obesity hypoventilation syndrome | 
| RESPIRATORY | J60 | Coalworker pneumoconiosis | 500 | Coal workers’ pneumoconiosis | 
| RESPIRATORY | J61 | Pneumoconiosis due to asbestos and other mineral fibres | 501 | Asbestosis | 
| RESPIRATORY | J62 | Pneumoconiosis due to dust containing silica | ||
| RESPIRATORY | J63 | Pneumoconiosis due to other inorganic dusts | ||
| RESPIRATORY | J64 | Unspecified pneumoconiosis | 505 | Pneumoconiosis, unspecified | 
| RESPIRATORY | J65 | Pneumoconiosis associated with tuberculosis | 505 | Pneumoconiosis, unspecified | 
| RESPIRATORY | J66 | Airway disease due to specific organic dust | ||
| RESPIRATORY | J67 | Hypersensitivity pneumonitis due to organic dust | ||
| RESPIRATORY | J684 | Chronic respiratory conditions due to chemicals, gases, fumes and vapours | 506.4 | Chronic respiratory conditions due to fumes and vapors | 
| RESPIRATORY | J701 | Chronic and other pulmonary manifestations due to radiation | 508.1 | Chronic and other pulmonary manifestations due to radiation | 
| RESPIRATORY | J703 | Chronic drug-induced interstitial lung disorders | 508.8 | Respiratory conditions due to other specified external agents | 
| RESPIRATORY | J704 | Drug-induced interstitial lung disorders, unspecified | 508.8 | Respiratory conditions due to other specified external agents | 
| RESPIRATORY | J84 | Other interstitial pulmonary diseases | ||
| RESPIRATORY | J92 | Pleural plaque | ||
| RESPIRATORY | J941 | Fibrothorax | 511.0 | Pleurisy without mention of effusion or current tuberculosis | 
| RESPIRATORY | J953 | Chronic pulmonary insufficiency following surgery | 518.52 | Other pulmonary insufficiency, not elsewhere classified, following trauma and surgery | 
| RESPIRATORY | J955 | Postprocedural subglottic stenosis | 997.39 | Other respiratory complications | 
| RESPIRATORY | J961 | Chronic respiratory failure | ||
| RESPIRATORY | J98 | Other respiratory disorders | ||
| RESPIRATORY | Q33 | Congenital malformations of lung | ||
| RESPIRATORY | Q34 | Other congenital malformations of respiratory system | ||
| RESPIRATORY | Z902 | Acquired absence of lung [part of] | V45.76 | Acquired absence of organ, lung | 
| RESPIRATORY | Z942 | Lung transplant status | V42.6 | Postsurgical states following surgery of eye and adnexa | 
| RESPIRATORY | Z943 | Heart and lungs transplant status | V42.1 | Postsurgical renal dialysis status | 
| RESPIRATORY | Z943 | Heart and lungs transplant status | V42.6 | Postsurgical states following surgery of eye and adnexa | 
| RESPIRATORY | Z963 | Presence of artificial larynx | V43.81 | Larynx replacement | 
Appendix B
References
- Callaway, E. The Race for Coronavirus Vaccines: A Graphical Guide. Nature 2020, 580, 576–577. [Google Scholar] [CrossRef] [PubMed]
 - European Medicines Agency. COVID-19 Vaccines. Available online: https://www.ema.europa.eu/en/human-regulatory/overview/public-health-threats/coronavirus-disease-covid-19/treatments-vaccines/covid-19-vaccines (accessed on 14 June 2023).
 - World Health Organization WHO. Coronavirus Disease (COVID-19) Dashboard. Available online: https://covid19.who.int/ (accessed on 22 November 2023).
 - Bertagnolio, S.; Thwin, S.; Silva, R.; Ford, N.; Baggaley, R.; Vitoria, M.; Jassat, W.; Doherty, M. Clinical Characteristics and Prognostic Factors in People Living with HIV Hospitalized with COVID-19: Findings from the WHO Global Clinical Platform. In Proceedings of the 11th International AIDS Society Conference on HIV Science, Berlin, Germany, 18–21 July 2021. PEBLB20. [Google Scholar]
 - Tesoriero, J.M.; Swain, C.-A.E.; Pierce, J.L.; Zamboni, L.; Wu, M.; Holtgrave, D.R.; Gonzalez, C.J.; Udo, T.; Morne, J.E.; Hart-Malloy, R.; et al. COVID-19 Outcomes Among Persons Living With or Without Diagnosed HIV Infection in New York State. JAMA Netw. Open 2021, 4, e2037069. [Google Scholar] [CrossRef] [PubMed]
 - Nomah, D.; Reyes-Urueña, J.; Díaz, Y.; Moreno, S.; Aceiton, J.; Bruguera, A.; Vivanco-Hidalgo, R. Sociodemographic, Clinical, and Immunological Factors Associated with SARS-CoV-2 Diagnosis and Severe COVID-19 Outcomes in People Living with HIV: A Retrospective Cohort Study. Lancet HIV 2021, 8, e701–e710. [Google Scholar] [CrossRef] [PubMed]
 - Price-Haywood, E.G.; Burton, J.; Fort, D.; Seoane, L. Hospitalization and Mortality among Black Patients and White Patients with Covid-19. N. Engl. J. Med. 2020, 382, 2534–2543. [Google Scholar] [CrossRef] [PubMed]
 - Troiano, G.; Nardi, A. Vaccine Hesitancy in the Era of COVID-19. Public Health 2021, 194, 245–251. [Google Scholar] [CrossRef] [PubMed]
 - Sallam, M. COVID-19 Vaccine Hesitancy Worldwide: A Concise Systematic Review of Vaccine Acceptance Rates. Vaccines 2021, 9, 160. [Google Scholar] [CrossRef] [PubMed]
 - Ibarrondo, F.J.; Fulcher, J.A.; Goodman-Meza, D.; Elliott, J.; Hofmann, C.; Hausner, M.A.; Ferbas, K.G.; Tobin, N.H.; Aldrovandi, G.M.; Yang, O.O. Rapid Decay of Anti–SARS-CoV-2 Antibodies in Persons with Mild Covid-19. N. Engl. J. Med. 2020, 383, 1085–1087. [Google Scholar] [CrossRef]
 - Callaway, E. Omicron Likely to Weaken COVID Vaccine Protection. Nature 2021, 600, 367–368. [Google Scholar] [CrossRef]
 - Chenchula, S.; Karunakaran, P.; Sharma, S.; Chavan, M. Current Evidence on Efficacy of COVID-19 Booster Dose Vaccination against the Omicron Variant: A Systematic Review. J. Med. Virol. 2022, 94, 2969–2976. [Google Scholar] [CrossRef]
 - Patalon, T.; Gazit, S.; Pitzer, V.E.; Prunas, O.; Warren, J.L.; Weinberger, D.M. Odds of Testing Positive for SARS-CoV-2 Following Receipt of 3 vs. 2 Doses of the BNT162b2 MRNA Vaccine. JAMA Intern. Med. 2022, 182, 179–184. [Google Scholar] [CrossRef]
 - Bar-On, Y.M.; Goldberg, Y.; Mandel, M.; Bodenheimer, O.; Freedman, L.; Kalkstein, N.; Mizrahi, B.; Alroy-Preis, S.; Ash, N.; Milo, R. Protection of BNT162b2 Vaccine Booster against Covid-19 in Israel. N. Engl. J. Med. 2021, 385, 1393–1400. [Google Scholar] [CrossRef] [PubMed]
 - US Centers for Disease Control and Prevention. COVID-19 Vaccines for People Who Are Moderately or Severely Immunocompromised. Available online: https://www.cdc.gov/coronavirus/2019-ncov/vaccines/recommendations/immuno.html (accessed on 2 September 2023).
 - Sprague, C.; Simon, S.E. Ending HIV in the USA: Integrating Social Determinants of Health. Lancet 2021, 398, 742–743. [Google Scholar] [CrossRef] [PubMed]
 - Fulda, E.S.; Fitch, K.V.; Overton, E.T.; Zanni, M.V.; Aberg, J.A.; Currier, J.S.; Lu, M.T.; Malvestutto, C.; Fichtenbaum, C.J.; Martinez, E.; et al. COVID-19 Vaccination Rates in a Global HIV Cohort. J. Infect. Dis. 2022, 225, 603–607. [Google Scholar] [CrossRef] [PubMed]
 - Liu, Y.; Han, J.; Li, X.; Chen, D.; Zhao, X.; Qiu, Y.; Zhang, L.; Xiao, J.; Li, B.; Zhao, H. COVID-19 Vaccination in People Living with HIV (PLWH) in China: A Cross Sectional Study of Vaccine Hesitancy, Safety, and Immunogenicity. Vaccines 2021, 9, 1458. [Google Scholar] [CrossRef] [PubMed]
 - AquAS. Programa Públic d’analítica de Dades per a La Recerca i La Innovació En Salut a Catalunya. 2017, pp. 1–38. Available online: https://aquas.gencat.cat/web/.content/minisite/aquas/publicacions/2017/Programa_analitica_dades_PADRIS_aquas2017.pdf (accessed on 28 December 2023).
 - Bruguera, A.; Nomah, D.; Moreno-Fornés, S.; Díaz, Y.; Aceitón, J.; Reyes-Urueña, J.; Ambrosioni, J.; Llibre, J.M.; Falcó, V.; Imaz, A. Cohort Profile: PISCIS, a Population-Based Cohort of People Living with HIV in Catalonia and Balearic Islands. Int. J. Epidemiol. 2023, 52, e241–e252. [Google Scholar] [CrossRef] [PubMed]
 - García-Altés, A.; Ruiz-Muñoz, D.; Colls, C.; Mias, M.; Bassols, N.M. Socioeconomic Inequalities in Health and the Use of Healthcare Services in Catalonia: Analysis of the Individual Data of 7.5 Million Residents. J. Epidemiol. Community Health 2018, 72, 871–879. [Google Scholar] [CrossRef]
 - World Health Organization (WHO). Interim Statement on Booster Doses for COVID-19 Vaccination. Available online: https://www.who.int/news/item/04-10-2021-interim-statement-on-booster-doses-for-covid-19-vaccination (accessed on 1 July 2022).
 - Ministerio de Sanidad del gobierno de España. Instituto de Salud Carlos III (ISCIII). Estrategia de Detección Precoz, Vigilancia y Control de COVID-19. Available online: https://www.sanidad.gob.es/profesionales/saludPublica/ccayes/alertasActual/nCov/documentos/COVID19_Estrategia_vigilancia_y_control_e_indicadores.pdf (accessed on 1 October 2023).
 - World Health Organization (WHO). Coronavirus Disease (COVID-19): COVID-19 Vaccines and People Living with HIV. Available online: https://www.who.int/news-room/questions-and-answers/item/coronavirus-disease-(covid-19)-covid-19-vaccines-and-people-living-with-hiv (accessed on 2 September 2023).
 - Boffito, M.; Waters, L. More Evidence for Worse COVID-19 Outcomes in People with HIV. Lancet HIV 2021, 8, e661–e662. [Google Scholar] [CrossRef]
 - European Centre for Disease Prevention and Control. COVID-19 Vaccine Tracker. Available online: https://vaccinetracker.ecdc.europa.eu/public/extensions/COVID-19/vaccine-tracker.html#uptake-tab (accessed on 2 September 2023).
 - Falcon, M.; Rodríguez-Blázquez, C.; Romay-Barja, M.; Ayala, A.; Burgos, A.; Tena-Dávila, D.; José, M.; Forjaz, M.J. COVID-19 Vaccine Hesitancy in Spain and Associated Factors. Front. Public Health 2023, 11, 1129079. [Google Scholar] [CrossRef]
 - Statista Share of the Population. Vaccinated against Coronavirus (COVID-19) in Spain from 4 January 2021 to 24 May 2023. Available online: https://www.statista.com/statistics/1218713/covid-19-share-of-people-vaccinated-in-spain/#:~:text=As%20of%20May%2024%2C%202023,one%20dose%20of%20the%20vaccine (accessed on 2 September 2023).
 - Tesoriero, J.M.; Patterson, W.; Daskalakis, D.; Chicoine, J.; Morne, J.; Braunstein, S.; Rajulu, D.T.; Rosenberg, E. Notes from the Field: COVID-19 Vaccination Among Persons Living with Diagnosed HIV Infection—New York, October 2021. MMWR. Morb. Mortal. Wkly. Rep. 2022, 71, 182–184. [Google Scholar] [CrossRef]
 - World Health Organization (WHO). Ten Threats to Global Health in 2019. Available online: https://www.who.int/news-room/spotlight/ten-threats-to-global-health-in-2019 (accessed on 13 December 2023).
 - Lin, C.; Tu, P.; Beitsch, L.M. Confidence and Receptivity for COVID-19 Vaccines: A Rapid Systematic Review. Vaccines 2020, 9, 16. [Google Scholar] [CrossRef]
 - Dalmau-Bueno, A.; García-Altés, A.; Vela, E.; Clèries, M.; Pérez, C.V.; Argimon, J.M. Frequency of Health-Care Service Use and Severity of Illness in Undocumented Migrants in Catalonia, Spain: A Population-Based, Cross-Sectional Study. Lancet Planet. Health 2021, 5, e286–e296. [Google Scholar] [CrossRef] [PubMed]
 - Sun, J.; Patel, R.C.; Zheng, Q.; Madhira, V.; Olex, A.L.; Islam, J.Y.; French, E.; Chiang, T.P.-Y.; Akselrod, H.; Moffitt, R. COVID-19 Disease Severity among People with HIV Infection or Solid Organ Transplant in the United States: A Nationally-Representative, Multicenter, Observational Cohort Study. Medrxiv 2021, Preprint. [Google Scholar] [CrossRef]
 - SeyedAlinaghi, S.; Afsahi, A.M.; Moradi, A.; Parmoon, Z.; Habibi, P.; Mirzapour, P.; Dashti, M.; Ghasemzadeh, A.; Karimi, E.; Sanaati, F. Current ART, Determinants for Virologic Failure and Implications for HIV Drug Resistance: An Umbrella Review. AIDS Res. Ther. 2023, 20, 74. [Google Scholar] [CrossRef] [PubMed]
 - Nomah, D.K.; Llibre, J.M.; Díaz, Y.; Moreno, S.; Aceiton, J.; Bruguera, A.; Gutiérrez-Macià, M.; Imaz, A.; Suanzes, P.; Navarro, G.; et al. SARS-CoV-2 Vaccination Coverage and Factors Associated with Low Uptake in a Cohort of People Living with HIV. Microorganisms 2022, 10, 1666. [Google Scholar] [CrossRef] [PubMed]
 - Consejo International. Sistema Nacional de Salud. In Estrategia de Vacunación Frente a COVID-19 en España; Consejo International, Sistema Nacional de Salud: Madrid, Spain, 2021. [Google Scholar]
 - Buchbinder, S.P.; McElrath, M.J.; Dieffenbach, C.; Corey, L. Use of Adenovirus Type-5 Vectored Vaccines: A Cautionary Tale. Lancet 2020, 396, e68–e69. [Google Scholar] [CrossRef] [PubMed]
 - Buchbinder, S.P.; Mehrotra, D.V.; Duerr, A.; Fitzgerald, D.W.; Mogg, R.; Li, D.; Gilbert, P.B.; Lama, J.R.; Marmor, M.; Del Rio, C. Efficacy Assessment of a Cell-Mediated Immunity HIV-1 Vaccine (the Step Study): A Double-Blind, Randomised, Placebo-Controlled, Test-of-Concept Trial. Lancet 2008, 372, 1881–1893. [Google Scholar] [CrossRef]
 - Gray, G.E.; Allen, M.; Moodie, Z.; Churchyard, G.; Bekker, L.-G.; Nchabeleng, M.; Mlisana, K.; Metch, B.; De Bruyn, G.; Latka, M.H. Safety and Efficacy of the HVTN 503/Phambili Study of a Clade-B-Based HIV-1 Vaccine in South Africa: A Double-Blind, Randomised, Placebo-Controlled Test-of-Concept Phase 2b Study. Lancet Infect. Dis. 2011, 11, 507–515. [Google Scholar] [CrossRef]
 - Rzymski, P.; Poniedziałek, B.; Fal, A. Willingness to Receive the Booster COVID-19 Vaccine Dose in Poland. Vaccines 2021, 9, 1286. [Google Scholar] [CrossRef]
 - Achrekar, G.C.; Batra, K.; Urankar, Y.; Batra, R.; Iqbal, N.; Choudhury, S.A.; Hooda, D.; Khan, R.; Arora, S.; Singh, A.; et al. Assessing COVID-19 Booster Hesitancy and Its Correlates: An Early Evidence from India. Vaccines 2022, 10, 1048. [Google Scholar] [CrossRef]
 - Nemet, I.; Kliker, L.; Lustig, Y.; Zuckerman, N.; Erster, O.; Cohen, C.; Kreiss, Y.; Alroy-Preis, S.; Regev-Yochay, G.; Mendelson, E. Third BNT162b2 Vaccination Neutralization of SARS-CoV-2 Omicron Infection. N. Engl. J. Med. 2022, 386, 492–494. [Google Scholar] [CrossRef]
 - Garcia-Beltran, W.F.; Denis, K.J.S.; Hoelzemer, A.; Lam, E.C.; Nitido, A.D.; Sheehan, M.L.; Berrios, C.; Ofoman, O.; Chang, C.C.; Hauser, B.M. MRNA-Based COVID-19 Vaccine Boosters Induce Neutralizing Immunity against SARS-CoV-2 Omicron Variant. Cell 2022, 185, 457–466. [Google Scholar] [CrossRef] [PubMed]
 - Coburn, S.B.; Humes, E.; Lang, R.; Stewart, C.; Hogan, B.C.; Gebo, K.A.; Napravnik, S.; Edwards, J.K.; Browne, L.E.; Park, L.S. Analysis of Postvaccination Breakthrough COVID-19 Infections among Adults with HIV in the United States. JAMA Netw. Open 2022, 5, e2215934. [Google Scholar] [CrossRef] [PubMed]
 


| Total,  n = 201,630  | PWH,  n = 18,330  | PwoH,  n = 183,300  | p-Value | |
|---|---|---|---|---|
| Characteristic | n (%) | n (%) | n (%) | |
| Sex a | >0.99 | |||
| Male | 165,682 (82.2) | 15,062 (82.2) | 150,620 (82.2) | |
| Female | 35,948 (17.8) | 3268 (17.8) | 32,680 (17.8) | |
| Age category, y b | >0.99 | |||
| 16–30 | 17,985 (8.9) | 1635 (8.9) | 16,350 (8.9) | |
| 31–40 | 48,081 (23.8) | 4371 (23.8) | 43,710 (23.8) | |
| 41–50 | 62,909 (31.2) | 5719 (31.2) | 57,190 (31.2) | |
| 51–60 | 52,602 (26.1) | 4782 (26.1) | 47,820 (26.1) | |
| 61–70 | 15,004 (7.4) | 1364 (7.4) | 13,640 (7.4) | |
| >70 | 5049 (2.5) | 459 (2.5) | 4590 (2.5) | |
| Country of origin c | <0.001 | |||
| Spain | 145,670 (72.2) | 10,666 (58.2) | 135,004 (73.7) | |
| Outside Spain | 55,841 (27.7) | 7662 (41.8) | 48,179 (26.3) | |
| Missing | 119 (0.1) | 2 (0) | 117 (0.1) | |
| Socioeconomic deprivation * | >0.99 | |||
| Least deprived | 99,836 (49.5) | 9076 (49.5) | 90,760 (49.5) | |
| Mildly deprived | 38,544 (19.1) | 3504 (19.1) | 35,040 (19.1) | |
| Moderately/severely deprived | 58,652 (29.1) | 5332 (29.1) | 53,320 (29.1) | |
| Missing | 4598 (2.3) | 418 (2.3) | 4180 (2.3) | |
| Number of comorbidities | <0.001 | |||
| 0 | 87,154 (43.2) | 5024 (27.4) | 82,130 (44.8) | |
| 1 | 46,042 (22.8) | 4083 (22.3) | 41,959 (22.9) | |
| 2 | 29,102 (14.4) | 3299 (18) | 25,803 (14.1) | |
| 3 | 18,348 (9.1) | 2387 (13) | 15,961 (8.7) | |
| ≥4 | 20,984 (10.4) | 3537 (19.3) | 17,447 (9.5) | |
| Type of comorbidities | ||||
| Respiratory disease | 18,472 (9.2) | 3852 (21) | 14,620 (8) | <0.001 | 
| Cardiovascular disease | 20,974 (10.4) | 2925 (16) | 18,049 (9.8) | <0.001 | 
| Autoimmune disease | 17,120 (8.5) | 2019 (11) | 15,101 (8.2) | <0.001 | 
| Chronic kidney disease | 11,360 (5.6) | 1622 (8.8) | 9738 (5.3) | <0.001 | 
| Chronic liver disease | 6764 (3.4) | 3530 (19.3) | 3234 (1.8) | <0.001 | 
| Neuropsychiatric conditions | 59,822 (29.7) | 9107 (49.7) | 50,715 (27.7) | <0.001 | 
| Diabetes (type I and II) | 10,949 (5.4) | 1043 (5.7) | 9906 (5.4) | 0.1 | 
| Metabolic disease | 40,981 (20.3) | 4221 (23) | 36,760 (20.1) | <0.001 | 
| Cancer | 9004 (4.5) | 1821 (9.9) | 7183 (3.9) | <0.001 | 
| Hypertension | 36,362 (18) | 3688 (20.1) | 32,674 (17.8) | <0.001 | 
| Obesity | 28,874 (14.3) | 1801 (9.8) | 27,073 (14.8) | <0.001 | 
| Previous SARS-CoV-2 diagnosis | <0.001 | |||
| Yes | 25,093 (12.4) | 2454 (13.4) | 22,639 (12.4) | |
| No | 176,537 (87.6) | 15,876 (86.6) | 160,661 (87.6) | |
| HIV acquisition risk group | ||||
| PWID | 2360 (12.9) | |||
| MSM | 9761 (53.3) | |||
| Male heterosexual | 2443 (13.3) | |||
| Female sexual tranmission | 2419 (13.2) | |||
| Other | 519 (2.8) | |||
| Missing | 828 (4.5) | |||
| Years since HIV diagnosis, median (IQR) | 11.57 (5.91–18.57) | |||
| CD4 count (cells/μL) category | ||||
| <200 | 627 (3.4) | |||
| 200–499 | 3665 (20) | |||
| ≥500 | 11,928 (65.1) | |||
| Missing | 2110 (11.5) | |||
| CD4 count (cells/μL), median (IQR) | 680 (486–908) | |||
| CD4/CD8 ratio, median (IQR) | 0.85 (0.57–1.2) | |||
| Plasma HIV-RNA | ||||
| Detectable | 1749 (9.5) | |||
| Undetectable | 14,404 (78.6) | |||
| Missing | 2177 (11.9) | |||
| Years on ART, median (IQR) d | 8.75 (4.16–14.41) | |||
| On Treatment | ||||
| Yes | 14,685 (80.1) | |||
| No | 3645 (19.9) | 
| Total | PWH | PWoH | p-Value | |
|---|---|---|---|---|
| Primary vaccination | n (%) | n (%) | n (%) | <0.001 | 
| Unvaccinated | 29,606 (14.7) | 3343 (18.2) | 26,263 (14.3) | |
| Incomplete | 7835 (3.9) | 652 (3.6) | 7183 (3.9) | |
| Complete | 164,189 (81.4) | 14,335 (78.2) | 149,854 (81.8) | |
| Primary vaccination type | <0.001 | |||
| BNT162 | 105,743 (61.5) | 7924 (52.9) | 97,819 (62.3) | |
| ChAdOx1-S | 16,668 (9.7) | 1436 (9.6) | 15,232 (9.7) | |
| mRNA-1273 | 29,505 (17.2) | 3737 (24.9) | 25,768 (16.4) | |
| Ad26.COV2.S | 13,346 (7.8) | 1321 (8.8) | 12,025 (7.7) | |
| Combined | 6762 (3.9) | 569 (3.8) | 6193 (3.9) | |
| Booster doses | <0.001 | |||
| Yes | 104,332 (63.5) | 9823 (68.5) | 94,509 (63.1) | |
| No | 59,857 (36.5) | 4512 (31.5) | 55,345 (36.9) | |
| Booster doses type | <0.001 | |||
| BNT162 | 13,973 (13.4) | 1413 (14.4) | 12,560 (13.3) | |
| ChAdOx1-S | 26 (0) | 4 (0) | 22 (0) | |
| mRNA-1273 | 90,250 (86.5) | 8372 (85.2) | 81,878 (86.6) | |
| Ad26.COV2.S | 10 (0) | 2 (0) | 8 (0) | |
| Combined | 40 (0) | 17 (0.2) | 23 (0) | |
| Other | 33 (0) | 15 (0.2) | 18 (0) | |
| Median time between primary and booster dose, months (IQR) | 6.44 (5.98–7.1) | 6.44 (5.92–7.13) | 6.44 (6.02–7.1) | <0.001 | 
| Complete Primary Vaccination | Booster Vaccination | |||
|---|---|---|---|---|
| aOR (95% CI) | p-Value | aOR (95% CI) | p-Value | |
| HIV Status | ||||
| Negative | 1 (ref) | 1 (ref) | ||
| Positive | 0.86 (0.82, 0.89) | <0.001 | 1.41 (1.36, 1.47) | <0.001 | 
| Sex | ||||
| Male | 1 (ref) | 1 (ref) | ||
| Female | 1.1 (1.07, 1.14) | <0.001 | 1.03 (1, 1.06) | 0.091 | 
| Age category, y | ||||
| 16–30 | 1 (ref) | 1 (ref) | ||
| 31–40 | 1.3 (1.25, 1.36) | <0.001 | 1.61 (1.54, 1.68) | <0.001 | 
| 41–50 | 1.79 (1.72, 1.87) | <0.001 | 2.76 (2.65, 2.88) | <0.001 | 
| 51–60 | 2.21 (2.11, 2.31) | <0.001 | 4.67 (4.46, 4.89) | <0.001 | 
| 61–70 | 2.12 (1.99, 2.27) | <0.001 | 9.88 (9.26, 10.55) | <0.001 | 
| >70 | 2.73 (2.42, 3.07) | <0.001 | 17.48 (15.53, 19.67) | <0.001 | 
| Place of Birth | ||||
| Spain | 1 (ref) | 1 (ref) | ||
| Outside Spain | 0.39 (0.38, 0.4) | <0.001 | 0.75 (0.73, 0.77) | <0.001 | 
| Missing | ||||
| Socioeconomic deprivation * | ||||
| Least deprived | 1 (ref) | 1 (ref) | ||
| Mildly deprived | 0.87 (0.84, 0.9) | <0.001 | 0.8 (0.78, 0.83) | <0.001 | 
| Moderately/severely deprived | 0.87 (0.85, 0.9) | <0.001 | 0.77 (0.75, 0.79) | <0.001 | 
| Number of comorbidities | ||||
| 0 | 1 (ref) | 1 (ref) | ||
| 1 | 1.26 (1.22, 1.3) | <0.001 | 1.01 (0.98, 1.04) | 0.599 | 
| 2 | 1.45 (1.39, 1.51) | <0.001 | 1.07 (1.04, 1.11) | <0.001 | 
| 3 | 1.64 (1.56, 1.73) | <0.001 | 1.13 (1.08, 1.18) | <0.001 | 
| ≥4 | 1.78 (1.69, 1.88) | <0.001 | 1.27 (1.21, 1.32) | <0.001 | 
| Previous SARS-CoV-2 diagnosis | ||||
| No | 1 (ref) | 1 (ref) | ||
| Yes | 0.2 (0.19, 0.2) | <0.001 | 0.24 (0.23, 0.25) | <0.001 | 
Disclaimer/Publisher’s Note: The statements, opinions and data contained in all publications are solely those of the individual author(s) and contributor(s) and not of MDPI and/or the editor(s). MDPI and/or the editor(s) disclaim responsibility for any injury to people or property resulting from any ideas, methods, instructions or products referred to in the content.  | 
© 2023 by the authors. Licensee MDPI, Basel, Switzerland. This article is an open access article distributed under the terms and conditions of the Creative Commons Attribution (CC BY) license (https://creativecommons.org/licenses/by/4.0/).
Share and Cite
Nomah, D.K.; Reyes-Urueña, J.; Alonso, L.; Díaz, Y.; Moreno-Fornés, S.; Aceiton, J.; Bruguera, A.; Martín-Iguacel, R.; Imaz, A.; Gutierrez, M.d.M.; et al. Comparative Analysis of Primary and Monovalent Booster SARS-CoV-2 Vaccination Coverage in Adults with and without HIV in Catalonia, Spain. Vaccines 2024, 12, 44. https://doi.org/10.3390/vaccines12010044
Nomah DK, Reyes-Urueña J, Alonso L, Díaz Y, Moreno-Fornés S, Aceiton J, Bruguera A, Martín-Iguacel R, Imaz A, Gutierrez MdM, et al. Comparative Analysis of Primary and Monovalent Booster SARS-CoV-2 Vaccination Coverage in Adults with and without HIV in Catalonia, Spain. Vaccines. 2024; 12(1):44. https://doi.org/10.3390/vaccines12010044
Chicago/Turabian StyleNomah, Daniel Kwakye, Juliana Reyes-Urueña, Lucía Alonso, Yesika Díaz, Sergio Moreno-Fornés, Jordi Aceiton, Andreu Bruguera, Raquel Martín-Iguacel, Arkaitz Imaz, Maria del Mar Gutierrez, and et al. 2024. "Comparative Analysis of Primary and Monovalent Booster SARS-CoV-2 Vaccination Coverage in Adults with and without HIV in Catalonia, Spain" Vaccines 12, no. 1: 44. https://doi.org/10.3390/vaccines12010044
APA StyleNomah, D. K., Reyes-Urueña, J., Alonso, L., Díaz, Y., Moreno-Fornés, S., Aceiton, J., Bruguera, A., Martín-Iguacel, R., Imaz, A., Gutierrez, M. d. M., Román, R. W., Suanzes, P., Ambrosioni, J., Casabona, J., Miro, J. M., Llibre, J. M., & the PISCIS Study Group. (2024). Comparative Analysis of Primary and Monovalent Booster SARS-CoV-2 Vaccination Coverage in Adults with and without HIV in Catalonia, Spain. Vaccines, 12(1), 44. https://doi.org/10.3390/vaccines12010044
        
