Optimization of Ultrasound-Assisted Extraction of Phenolic Compounds from Romanian Blackthorn (Prunus spinosa L.) Fruits
Abstract
1. Introduction
2. Materials and Methods
2.1. Plant Material
2.2. Chemicals
2.3. Extraction Procedure
2.4. Total Phenolic Content (TPC)
2.5. Total Anthocyanin Content (TAC)
2.6. Antioxidant Capacity (AC)
2.7. Chemical Profile of Extracts
2.8. Experimental Design, Statistical Analysis, and Optimization
3. Results
3.1. Screening of Extraction Process Factors
- (i)
- y1,pr = TPCpr and y3,pr = ACpr increase significantly with an increase in dimensionless liquid/solid ratio (x1) and extraction temperature (x3), decrease significantly with an increase in dimensionless ethanol concentration (x2), and do not vary significantly with the other 3 dimensionless factors; there is a very good agreement between experimental and predicted values of process response variables (Rj2 ≥ 0.935, Rj,adj2 ≥ 0.856, Fj ≥ 11.91, and pj ≤ 0.008 for j = 1, 3);
- (ii)
- y2,pr = TACpr decreases significantly with an increase in x2, whereas it does not vary significantly with the other 5 dimensionless factors; the statistical model defined by Equation (7) for j = 2 is statistically non-significant (F = 3.476 and p = 0.096).
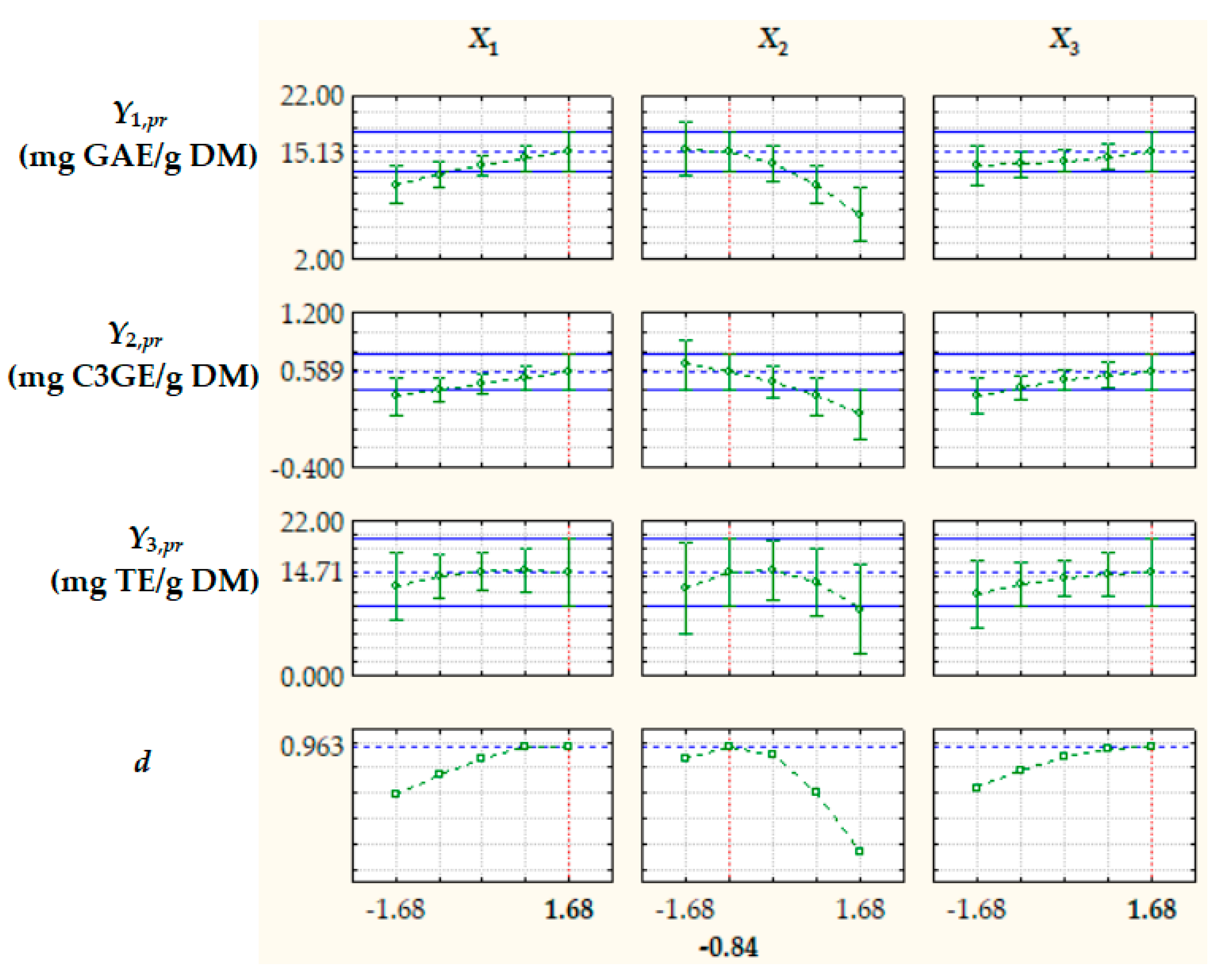
3.2. Optimization of Significant Process Factors
- (i)
- significant positive effects of dimensionless liquid/solid ratio (X1) and extraction temperature (X3) as well as a significant negative effect of dimensionless ethanol concentration (X2) on predicted response variables;
- (ii)
- a significant negative effect of X22 on Y1,pr and Y3,pr;
- (iii)
- a very good agreement between experimental and predicted values of process response variables (0.906 ≤ Rj2 ≤ 0.965, 0.785 ≤ Rj,adj2 ≤ 0.920, 7.498 ≤ Fj ≤ 21.53, and 0.000 ≤ pj ≤ 0.007 for j = 1…3).
3.3. Chemical Profile of Extract Obtained Under Optimal Conditions
4. Discussion
- (i)
- hydroxycinnamic acids and derivatives, e.g., caffeic acid, p-coumaric acid, ferulic acid, 3-caffeoylquinic (neochlorogenic) acid, 5-caffeoylquinic (chlorogenic) acid, 3-p-coumaroylquinic acid, 3-feruloylquinic, and caffeoylshikimic acid;
- (ii)
- hydroxybenzoic acids and derivatives, e.g., p-hydroxybenzoic acid, protocatechuic acid, gallic acid, syringic acid, vanillic acid, and vanillic acid hexoside;
- (iii)
- flavonoids, e.g.,
- anthocyanins (cyanidin, delphinidin, malvidin, pelargonidin, cyanidin 3-glucoside, cyanidin 3-acetylglucoside, cyanidin 3-rutinoside, cyanidin 3-pentoside, peonidin 3-glucoside, peonidin 3-acetylglucoside, peonidin 3-rutinoside, peonidin 3-pentoside);
- flavonols (myricetin, kaempferol 3-glucoside, kaempferol 3-rutinoside, quercetin, quercetin 3-galactoside, quercetin 3-glucoside, quercetin 3-rutinoside (rutin), quercetin 3-xyloside, quercetin acetylrutinoside, quercetin hexoside, quercetin acetyhexoside, quercetin pentosylhexoside, quercetin rhamnosylhexoside, quercetin rhamnoside, quercetin hexosylrhamnoside);
- flavanols (catechin, epicatechin, epigallocatechin, procyanidin B2);
- flavanones (naringin);
- flavones (apigenin, apigenin pentoside);
- coumarins;
- tannins.
5. Conclusions
Supplementary Materials
Author Contributions
Funding
Institutional Review Board Statement
Informed Consent Statement
Data Availability Statement
Conflicts of Interest
References
- González-de-Peredo, A.V.; Vázquez-Espinosa, M.; Espada-Bellido, E.; Ferreiro-González, M.; Carrera, C.; Palma, M.; Álvarez, J.A.; Barbero, G.F.; Ayuso, J. Optimization of analytical ultrasound-assisted methods for the extraction of total phenolic compounds and anthocyanins from sloes (Prunus spinosa L.). Agronomy 2020, 10, 966. [Google Scholar] [CrossRef]
- Opriş, O.; Soran, M.L.; Lung, I.; Stegarescu, A.; Guţoiu, S.; Podea, R.; Podea, P. Optimization of extraction conditions of polyphenols, antioxidant capacity and sun protection factor from Prunus spinosa fruits. Application in sunscreen formulation. J. Iran. Chem. Soc. 2021, 18, 2625–2636. [Google Scholar] [CrossRef]
- Popović, B.M.; Blagojević, B.; Pavlović, R.Ž.; Mićić, N.; Bijelić, S.; Bogdanović, B.; Mišan, A.; Duarte, C.M.M.; Serra, A.T. Comparison between polyphenol profile and bioactive response in blackthorn (Prunus spinosa L.) genotypes from north Serbia-from raw data to PCA analysis. Food Chem. 2020, 302, 125373. [Google Scholar] [CrossRef] [PubMed]
- Aliyazicioglu, R.; Yildiz, O.; Sahin, H.; Eyupoglu, O.E.; Ozkan, M.T.; Karaoglu, S.A.; Kolayli, S. Phenolic components and antioxidant activity of Prunus spinosa from Gumushane, Turkey. Chem. Nat. Compd. 2015, 51, 346–349. [Google Scholar] [CrossRef]
- Babalau-Fuss, V.; Grebla, O.B.; Cadar, O.; Hoaghia, M.A.; Kovacs, M.H.; Moldovan, A.; Tofana, M. Determination of chemical composition and fatty acids of blackthorn fruits (Prunus spinosa) grown near Cluj-Napoca, NW Romania. Agricultura 2018, 105, 90–95. [Google Scholar]
- Barros, L.; Carvalho, A.M.; Morais, J.S.; Ferreira, I.C. Strawberry-tree, blackthorn and rose fruits: Detailed characterisation in nutrients and phytochemicals with antioxidant properties. Food Chem. 2010, 120, 247–254. [Google Scholar] [CrossRef]
- Gironés-Vilaplana, A.; Valentão, P.; Moreno, D.A.; Ferreres, F.; García-Viguera, C.; Andrade, P.B. New beverages of lemon juice enriched with the exotic berries maqui, açaı, and blackthorn: Bioactive components and in vitro biological properties. J. Agric. Food Chem. 2012, 60, 6571–6580. [Google Scholar] [CrossRef]
- Oancea, A.G.; Saracila, M.; Vlaicu, P.A.; Varzaru, I.; Untea, A.E.; Dragomir, C. Assessment of the antioxidant potential of blackthorns and hawthorns: Comparative analysis and potential use in ruminants’ nutrition. Separations 2024, 11, 275. [Google Scholar] [CrossRef]
- Ozzengin, B.; Zannou, O.; Koca, I. Quality attributes and antioxidant activity of three wild plums from Prunus spinosa and Prunus domestica species. Meas Food 2023, 10, 100079. [Google Scholar] [CrossRef]
- Pinacho, R.; Cavero, R.Y.; Astiasarán, I.; Ansorena, D.; Calvo, M.I. Phenolic compounds of blackthorn (Prunus spinosa L.) and influence of in vitro digestion on their antioxidant capacity. J. Funct. Foods 2015, 19, 49–62. [Google Scholar] [CrossRef]
- Ruiz-Rodríguez, B.M.; De Ancos, B.; Sánchez-Moreno, C.; Fernández-Ruiz, V.; de Cortes Sánchez-Mata, M.; Cámara, M.; Tardío, J. Wild blackthorn (Prunus spinosa L.) and hawthorn (Crataegus monogyna Jacq.) fruits as valuable sources of antioxidants. Fruits 2014, 69, 61–73. [Google Scholar] [CrossRef]
- Veličković, J.M.; Kostić, D.A.; Stojanović, G.S.; Mitić, S.S.; Mitić, M.N.; Ranđelović, S.S.; Đorđević, A.S. Phenolic composition, antioxidant and antimicrobial activity of the extracts from Prunus spinosa L. fruit. Hem. Ind. 2014, 68, 297–303. [Google Scholar] [CrossRef]
- Veličković, I.; Žižak, Ž.; Rajčević, N.; Ivanov, M.; Soković, M.; Marin, P.D.; Grujić, S. Examination of the polyphenol content and bioactivities of Prunus spinosa L. fruit extracts. Arch. Biol. Sci. 2020, 72, 105–115. [Google Scholar] [CrossRef]
- Kotsou, K.; Stoikou, M.; Athanasiadis, V.; Chatzimitakos, T.; Mantiniotou, M.; Sfougaris, A.I.; Lalas, S.I. Enhancing antioxidant properties of Prunus spinosa fruit extracts via extraction optimization. Horticulturae 2023, 9, 942. [Google Scholar] [CrossRef]
- Magiera, A.; Czerwińska, M.E.; Owczarek, A.; Marchelak, A.; Granica, S.; Olszewska, M.A. Polyphenol-enriched extracts of Prunus spinosa fruits: Anti-inflammatory and antioxidant effects in human immune cells ex vivo in relation to phytochemical profile. Molecules 2022, 27, 1691. [Google Scholar] [CrossRef]
- Marčetić, M.; Samardžić, S.; Ilić, T.; Božić, D.D.; Vidović, B. Phenolic composition, antioxidant, anti-enzymatic, antimicrobial and prebiotic properties of Prunus spinosa L. fruits. Foods 2022, 11, 3289. [Google Scholar] [CrossRef] [PubMed]
- Natić, M.; Pavlović, A.; Bosco, F.L.; Stanisavljević, N.; Zagorac, D.D.; Akšić, M.F.; Papetti, A. Nutraceutical properties and phytochemical characterization of wild Serbian fruits. Eur. Food Res. Technol. 2019, 245, 469–478. [Google Scholar] [CrossRef]
- Radovanović, B.C.; Anđelković, S.M.; Radovanović, A.B.; Anđelković, M.Z. Antioxidant and antimicrobial activity of polyphenol extracts from wild berry fruits grown in southeast Serbia. Trop. J. Pharm. Res. 2013, 12, 813–819. [Google Scholar] [CrossRef]
- Celik, F.; Gundogdu, M.; Alp, S.; Muradoglu, F.; Ercişli, S.; Gecer, M.K.; Canan, I. Determination of phenolic compounds, antioxidant capacity and organic acids contents of Prunus domestica L., Prunus cerasifera Ehrh. and Prunus spinosa L. fruits by HPLC. Acta Chromatogr. 2017, 29, 507–510. [Google Scholar] [CrossRef]
- Dedić, A.; Dţudţević-Čančar, H.; Alispahić, A.; Tahirović, I.; Muratović, E. In-Vitro antioxidant and antimicrobial activity of aerial parts of Prunus spinosa L. growing wild in Bosnia and Herzegovina. Int. J. Pharm. Sci. Res. 2021, 12, 3643–3653. [Google Scholar]
- Negrean, O.R.; Farcas, A.C.; Pop, O.L.; Socaci, S.A. Blackthorn—A valuable source of phenolic antioxidants with potential health benefits. Molecules 2023, 28, 3456. [Google Scholar] [CrossRef] [PubMed]
- Olszewska, M.A.; Zimińska, A.; Draszanowska, A.; Sawicki, T. Blackthorn fruit peel polyphenol extracts and photodynamic effect under blue light against Listeria monocytogenes. Food Microbiol. 2024, 124, 104608. [Google Scholar] [CrossRef]
- Tiboni, M.; Coppari, S.; Casettari, L.; Guescini, M.; Colomba, M.; Fraternale, D.; Gorassini, A.; Verardo, G.; Ramakrishna, S.; Guidi, L.; et al. Prunus spinosa extract loaded in biomimetic nanoparticles evokes in vitro anti-inflammatory and wound healing activities. Nanomaterials 2020, 11, 36. [Google Scholar] [CrossRef]
- Chemat, F.; Rombaut, N.; Sicaire, A.G.; Meullemiestre, A.; Fabiano-Tixier, A.S.; Abert-Vian, M. Ultrasound assisted extraction of food and natural products. Mechanisms, techniques, combinations, protocols and applications. A review. Ultrason. Sonochem. 2017, 34, 540–560. [Google Scholar] [CrossRef]
- Saravanabavan, N.; Salwe, K.J.; Codi, R.S.; Kumarappan, M. Herbal extraction procedures: Need of the hour. Int. J. Basic Clin. Pharmacol. 2020, 9, 1135. [Google Scholar] [CrossRef]
- Gavrila, A.I.; Damian, E.J.; Rosca, A.; Calinescu, I.; Hodosan, C.; Popa, I. Optimization of microwave-assisted extraction of polyphenols from Crataegus monogyna L. Antioxidants 2025, 14, 357. [Google Scholar] [CrossRef]
- Gavrila, A.I.; Zalaru, C.M.; Tatia, R.; Seciu-Grama, A.M.; Negrea, C.L.; Calinescu, I.; Chipurici, P.; Trifan, A.; Popa, I. Green extraction techniques of phytochemicals from Hedera helix L. and in vitro characterization of the extracts. Plants 2023, 12, 3908. [Google Scholar] [CrossRef] [PubMed]
- Naoum, E.; Xynopoulou, A.; Kotsou, K.; Chatzimitakos, T.; Athanasiadis, V.; Bozinou, E.; Lalas, S.I. The value of using green extraction techniques to enhance polyphenol content and antioxidant activity in Nasturtium officinale leaves. Appl. Sci. 2024, 14, 10739. [Google Scholar] [CrossRef]
- Oro, C.E.D.; Wancura, J.H.; Santos, M.S.D.; Venquiaruto, L.D.; Dallago, R.M.; Tres, M.V. High-pressure extraction techniques for efficient recovery of flavonoids and coumarins from flower seeds. Processes 2025, 13, 300. [Google Scholar] [CrossRef]
- Shen, L.; Pang, S.; Zhong, M.; Sun, Y.; Qayum, A.; Liu, Y.; Rashid, A.; Xu, B.; Liang, Q.; Ma, H.; et al. A comprehensive review of ultrasonic assisted extraction (UAE) for bioactive components: Principles, advantages, equipment, and combined technologies. Ultrason. Sonochem. 2023, 101, 106646. [Google Scholar] [CrossRef]
- Vilas-Boas, A.A.; Gomez-Garcia, R.; Machado, M.; Nunes, C.; Ribeiro, S.; Nunes, J.; Oliveira, A.L.S.; Pintado, M. Lavandula pedunculata polyphenol-rich extracts obtained by conventional, MAE and UAE methods: Exploring the bioactive potential and safety for use a medicine plant as food and nutraceutical ingredient. Foods 2023, 12, 4462. [Google Scholar] [CrossRef] [PubMed]
- Wang, S.; Wei, J.; Ge, H.; Yan, Z.; Jiang, M.; Lu, J.; Pu, M.; Li, B.; Xu, H. Molecular simulation and machine learning assisted in exploring betaine-based deep eutectic solvent extraction of active compounds from peony petals. Sep. Purif. Technol. 2025, 361, 131550. [Google Scholar] [CrossRef]
- Dukić, J.; Režek Jambrak, A.; Jurec, J.; Merunka, D.; Valić, S.; Radičić, R.; Krstulović, N.; Nutrizio, M.; Dubrović, I. High-power ultrasound and high-voltage electrical discharge-assisted extractions of bioactive compounds from sugar beet (Beta vulgaris L.) waste: Electron spin resonance and optical emission spectroscopy analysis. Molecules 2025, 30, 796. [Google Scholar] [CrossRef]
- Koraqi, H.; Yüksel Aydar, A.; Pandiselvam, R.; Qazimi, B.; Khalid, W.; Trajkovska Petkoska, A.; Çesko, C.; Ramniwas, S.; Mohammed Basheeruddin Asdaq, S.; Rustagi, S. Optimization of extraction condition to improve blackthorn (Prunus spinosa L.) polyphenols, anthocyanins and antioxidant activity by natural deep eutectic solvent (NADES) using the simplex lattice mixture design method. Microchem. J. 2024, 200, 110497. [Google Scholar] [CrossRef]
- Vega, E.N.; González-Zamorano, L.; Cebadera, E.; Barros, L.; Pires, T.C.S.P.; Molina, A.K.; da Silveira, T.F.F.; Vidal-Diez de Ulzurrun, G.; Tardío, J.; Cámara, M.; et al. Natural food colorant obtained from wild Berberis vulgaris L. by ultrasound-assisted extraction: Optimization and characterization. Foods 2025, 14, 183. [Google Scholar] [CrossRef]
- Mason, T.J.; Ghimpeteanu, D.; Calinescu, I.; Vinatoru, M.; Trifan, A. A simple new approach for mapping an ultrasonic tank for sonochemistry. Ultrason. Sonochem. 2024, 107, 106940. [Google Scholar] [CrossRef] [PubMed]
- Zaky, A.A.; Witrowa-Rajchert, D.; Nowacka, M. Revolution of bioactive compound extraction: Impacts on food safety, health, and sustainability. Food Saf. Health, 2025; early view. [Google Scholar] [CrossRef]
- Ucak Ozkaya, G. Combined experimental design based-PROMETHEE approach to evaluate antimicrobial activity and optimization of polyphenol content of Prunus spinosa L. fruit. J. Food Meas. Charact. 2025, 19, 2844–2860. [Google Scholar] [CrossRef]
- Drăghici-Popa, A.M.; Boscornea, A.C.; Brezoiu, A.M.; Tomas, Ș.T.; Pârvulescu, O.C.; Stan, R. Effects of extraction process factors on the composition and antioxidant activity of blackthorn (Prunus spinosa L.) fruit extracts. Antioxidants 2023, 12, 1897. [Google Scholar] [CrossRef]
- Du, Y.; Huang, P.; Jin, W.; Li, C.; Yang, J.; Wan, H.; He, Y. Optimization of extraction or purification process of multiple components from natural products: Entropy weight method combined with Plackett–Burman design and central composite design. Molecules 2021, 26, 5572. [Google Scholar] [CrossRef]
- Egri, D.; Pârvulescu, O.C.; Ion, V.A.; Moloșag, A.; Dobrin, A.; Moț, A.; Orbeci, C.; Dobre, T.; Bormac, I.; Løes, A.-K.; et al. Preparation and characterization of compost tea derived from rockweed residues. UPB Sci. Bull. Series B 2024, 86, 123–134. [Google Scholar]
- Li, X.; Chen, F.; Li, S.; Jia, J.; Gu, H.; Yang, L. An efficient homogenate-microwave-assisted extraction of flavonols and anthocyanins from blackcurrant marc: Optimization using combination of Plackett-Burman design and Box-Behnken design. Ind. Crops Prod. 2016, 94, 834–847. [Google Scholar] [CrossRef]
- Moț, A.; Pârvulescu, O.C.; Ion, V.A.; Moloșag, A.; Dobrin, A.; Bădulescu, L.; Orbeci, C.; Egri, D.; Dobre, T.; Løes, A.-K.; et al. Preparation, characterization, and testing of compost tea derived from seaweed and fish residues. Agronomy 2024, 14, 1919. [Google Scholar] [CrossRef]
- Cosmulescu, S.; Trandafir, I.; Nour, V. Phenolic acids and flavonoids profiles of extracts from edible wild fruits and their antioxidant properties. Int. J. Food Prop. 2017, 20, 3124–3134. [Google Scholar] [CrossRef]
- Dragović-Uzelac, V.; Levaj, B.; Bursać, D.; Pedisić, S.; Radojčić, I.; Biško, A. Total phenolics and antioxidant capacity assays of selected fruits. Agric. Conspec. Sci. 2007, 72, 279–284. [Google Scholar]
- Erturk, Y.; Ercisli, S.; Tosun, M. Physico-chemical characteristics of wild plum fruits (Prunus spinosa L.). Int. J. Plant Prod. 2009, 3, 89–92. [Google Scholar]
- Guimarães, R.; Barros, L.; Dueñas, M.; Carvalho, A.M.; Queiroz, M.J.R.; Santos-Buelga, C.; Ferreira, I.C. Characterisation of phenolic compounds in wild fruits from Northeastern Portugal. Food Chem. 2013, 141, 3721–3730. [Google Scholar] [CrossRef]






| Run | x1 | x2 | x3 | x4 | x5 | x6 | y1,m = TPCm (mg GAE/g DM) | y2,m = TACm (mg C3GE/g DM) | y3,m = ACm (mg TE/g DM) |
|---|---|---|---|---|---|---|---|---|---|
| 1 | 1 | −1 | 1 | −1 | −1 | −1 | 13.30 | 0.436 | 11.52 |
| 2 | 1 | 1 | −1 | 1 | −1 | −1 | 8.160 | 0.134 | 5.343 |
| 3 | −1 | 1 | 1 | −1 | 1 | −1 | 7.058 | 0.260 | 8.001 |
| 4 | 1 | −1 | 1 | 1 | −1 | 1 | 14.89 | 0.450 | 13.35 |
| 5 | 1 | 1 | −1 | 1 | 1 | −1 | 10.23 | 0.186 | 8.036 |
| 6 | 1 | 1 | 1 | −1 | 1 | 1 | 11.72 | 0.226 | 9.611 |
| 7 | −1 | 1 | 1 | 1 | −1 | 1 | 7.316 | 0.160 | 8.290 |
| 8 | −1 | −1 | 1 | 1 | 1 | −1 | 9.157 | 0.279 | 9.937 |
| 9 | −1 | −1 | −1 | 1 | 1 | 1 | 8.543 | 0.364 | 9.883 |
| 10 | 1 | −1 | −1 | −1 | 1 | 1 | 13.21 | 0.301 | 10.83 |
| 11 | −1 | 1 | −1 | −1 | −1 | 1 | 6.279 | 0.093 | 6.077 |
| 12 | −1 | −1 | −1 | −1 | −1 | −1 | 8.074 | 0.185 | 7.338 |
| j | 1 | 2 | 3 | ||||||
| a0j | 9.829 | 0.256 | 9.018 | ||||||
| a1j | 2.091 | 0.033 | 0.763 | ||||||
| a2j | −1.367 | −0.080 | −1.458 | ||||||
| a3j | 0.744 | 0.046 | 1.099 | ||||||
| a4j | −0.112 | 0.006 | 0.122 | ||||||
| a5j | 0.159 | 0.013 | 0.366 | ||||||
| a6j | 0.498 | 0.010 | 0.656 | ||||||
| Rj2 | 0.972 | 0.807 | 0.935 | ||||||
| Rj,adj2 | 0.939 | 0.575 | 0.856 | ||||||
| Fj | 29.13 | 3.476 | 11.91 | ||||||
| pj | 0.001 | 0.096 | 0.008 | ||||||
| Run | RLS (cm3/g) | cet (%) | t (°C) | X1 | X2 | X3 | Y1,m = TPCm (mg GAE/g DM) | Y2,m = TACm (mg C3GE/g DM) | Y3,m = ACm (mg TE/g DM) |
|---|---|---|---|---|---|---|---|---|---|
| 1 | 7 | 30 | 40 | −1 | −1 | −1 | 9.191 | 0.377 | 11.49 |
| 2 | 7 | 30 | 60 | −1 | −1 | 1 | 10.61 | 0.390 | 12.54 |
| 3 | 7 | 70 | 40 | −1 | 1 | −1 | 6.818 | 0.115 | 7.288 |
| 4 | 7 | 70 | 60 | −1 | 1 | 1 | 8.323 | 0.181 | 9.111 |
| 5 | 13 | 30 | 40 | 1 | −1 | −1 | 12.24 | 0.384 | 11.56 |
| 6 | 13 | 30 | 60 | 1 | −1 | 1 | 14.03 | 0.557 | 13.67 |
| 7 | 13 | 70 | 40 | 1 | 1 | −1 | 10.15 | 0.151 | 11.05 |
| 8 | 13 | 70 | 60 | 1 | 1 | 1 | 9.309 | 0.203 | 11.15 |
| 9 | 4.95 | 50 | 50 | −1.68 | 0 | 0 | 8.492 | 0.298 | 9.708 |
| 10 | 15.1 | 50 | 50 | 1.68 | 0 | 0 | 13.25 | 0.432 | 15.67 |
| 11 | 10 | 16.4 | 50 | 0 | −1.68 | 0 | 11.27 | 0.451 | 13.15 |
| 12 | 10 | 83.6 | 50 | 0 | 1.68 | 0 | 6.772 | 0.150 | 6.584 |
| 13 | 10 | 50 | 33.2 | 0 | 0 | −1.68 | 10.12 | 0.276 | 11.05 |
| 14 | 10 | 50 | 66.8 | 0 | 0 | 1.68 | 12.95 | 0.393 | 15.42 |
| 15 | 10 | 50 | 50 | 0 | 0 | 0 | 10.76 | 0.328 | 13.07 |
| 16 | 10 | 50 | 50 | 0 | 0 | 0 | 10.55 | 0.355 | 12.82 |
| 17 | 10 | 50 | 50 | 0 | 0 | 0 | 11.62 | 0.355 | 14.08 |
| j | 1 | 2 | 3 | ||||||
| b0j | 11.00 | 0.348 | 13.38 | ||||||
| b1j | 1.376 | 0.034 | 1.246 | ||||||
| b11j | −0.117 | −0.002 | −0.417 | ||||||
| b2j | −1.394 | −0.115 | −1.590 | ||||||
| b22j | −0.771 | −0.025 | −1.415 | ||||||
| b3j | 0.631 | 0.037 | 0.910 | ||||||
| b33j | 0.117 | −0.012 | −0.222 | ||||||
| b12j | −0.268 | −0.014 | 0.575 | ||||||
| b13j | −0.248 | 0.018 | −0.083 | ||||||
| b23j | −0.318 | −0.008 | −0.155 | ||||||
| Rj2 | 0.965 | 0.937 | 0.906 | ||||||
| Rj,adj2 | 0.920 | 0.855 | 0.785 | ||||||
| Fj | 21.53 | 11.51 | 7.498 | ||||||
| pj | 0.000 | 0.002 | 0.007 | ||||||
| j | Response Variable | Optimal Value | Percentage Prediction Error | ||
|---|---|---|---|---|---|
| Symbol | Units | Predicted | Experimental | ||
| Yj,pr,opt | Yj,m,opt ± SDj | εj (%) | |||
| 1 | TPC | mg GAE/g DM | 15.13 | 14.45 ± 0.718 | −4.71 |
| 2 | TAC | mg C3GE/g DM | 0.589 | 0.405 ± 0.057 | −1.90 |
| 3 | AC | mg TE/g DM | 14.71 | 16.75 ± 1.144 | 3.35 |
| No. | Name | Symbol | Units | |
|---|---|---|---|---|
| mg/100 g DM | mg/100 g FM | |||
| 1 | Protocatechuic acid content | PACopt | 6.83 ± 0.01 | 1.76 ± 0.00 |
| 2 | Neochlorogenic acid content | NCACopt | 4.88 ± 0.01 | 1.26 ± 0.00 |
| 3 | Chlorogenic acid content | CACopt | 1.93 ± 0.02 | 0.50 ± 0.01 |
| 4 | Caffeic acid content | CfACopt | 1.51 ± 0.01 | 0.39 ± 0.00 |
| 5 | Vanillic acid content | VACopt | 3.70 ± 0.01 | 0.95 ± 0.00 |
| 6 | Rutin content | RCopt | 7.12 ± 0.06 | 1.84 ± 0.02 |
| Origin/Time of Harvest | Operation Conditions | TPC | TAC | AC | Reference |
|---|---|---|---|---|---|
| Romania/October 2023 | Ultrasonic probe (200 W, 24 kHz); RLS = 4.95–15.1 cm3/g; cet = 16.4–83.6%; t = 30–70 °C; pH = 2–7; A = 30–70%; τ = 5–15 min | 6.279–14.89 mg GAE/g DM 1.620–3.842 mg GAE/g FM | 0.093–0.557 mg C3GE/g DM 0.024–0.144 mg C3GE/g FM | 5.343–16.75 mg TE/g DM (a) (21.30–66.76 μmol TE/g DM) 1.378–4.322 mg TE/g FM (5.492–17.23 μmol TE/g FM) | This study |
| Romania | Ultrasonic probe (95 W, 35 kHz); RLS = 10 cm3/g; cet = 23.2–56.8%; t = 33.2–66.8 °C; τ = 1.6–18.4 min | 1.60–2.52 mg GAE/g DM | - | 15.13–63.18 μmol TE/g DM (b) (3.796–15.85 mg TE/g DM) | [2] |
| Romania/ autumn | Ultrasonic bath; RLS = 1.67 cm3/g FM; cmet = 70%; t = 25 °C; τ = 60 min | 1.926 ± 0.095 mg GAE/g FM | - | 2.60 ± 0.10 μmol TE/g FM (b) | [44] |
| Spain | Ultrasonic probe (200 W, 24 kHz); RLS = 6.67–13.33 cm3/g FM; cmet = 25–75%; t = 10–70 °C; pH = 2–7; A = 30–70%; 0.2–0.7 s cycles | 1.498–4.509 mg GAE/g FM | 0.093–0.266 mg CCE/g FM | - | [1] |
| Bosnia and Herzegovina/April– September 2018 | Ultrasonic homogenizer; RLS = 10 cm3/g; cet = 100%; t = 30 °C; τ = 20 min | 2.766–4.116 mg GAE/g DM | 0.679–1.258 mg C3GE/g DM | 39.15–71.56% (b) | [20] |
| Serbia/ November 2015 | Ultrasonic bath; RLS = 10 cm3/g; cet = 50%; t = 40 °C; τ = 20 min | 11.10–30.43 mg GAE/g DM | 0.185–4.097 mg GAE/g DM | IC50 = 0.62–3.46 mg DM/mL (b) 7.06–25.27 mg AAE/g DM (c) (40.09–143.5 μmol AAE/g DM) | [3] |
| Greece/ October 2023 | (1) maceration under stirring (ST); (2) pulsed electric field (PEF) + ST; (3) ultrasound (US) + ST; (4) PEF + US + ST; RLS = 20 cm3/g; cet = 0–100%; t = 20–80 °C; τ = 30–150 min | 3.08–24.20 mg GAE/g DM | 0.012–0.149 mg C3GE/g DM | 200.15 ± 6.36 * μmol DPPH/g DM (b) 146.09 ± 3.20 * μmol AAE/g DM (c) | [14] |
Disclaimer/Publisher’s Note: The statements, opinions and data contained in all publications are solely those of the individual author(s) and contributor(s) and not of MDPI and/or the editor(s). MDPI and/or the editor(s) disclaim responsibility for any injury to people or property resulting from any ideas, methods, instructions or products referred to in the content. |
© 2025 by the authors. Licensee MDPI, Basel, Switzerland. This article is an open access article distributed under the terms and conditions of the Creative Commons Attribution (CC BY) license (https://creativecommons.org/licenses/by/4.0/).
Share and Cite
Drăghici-Popa, A.-M.; Pârvulescu, O.C.; Stan, R.; Brezoiu, A.-M. Optimization of Ultrasound-Assisted Extraction of Phenolic Compounds from Romanian Blackthorn (Prunus spinosa L.) Fruits. Antioxidants 2025, 14, 680. https://doi.org/10.3390/antiox14060680
Drăghici-Popa A-M, Pârvulescu OC, Stan R, Brezoiu A-M. Optimization of Ultrasound-Assisted Extraction of Phenolic Compounds from Romanian Blackthorn (Prunus spinosa L.) Fruits. Antioxidants. 2025; 14(6):680. https://doi.org/10.3390/antiox14060680
Chicago/Turabian StyleDrăghici-Popa, Ana-Maria, Oana Cristina Pârvulescu, Raluca Stan, and Ana-Maria Brezoiu. 2025. "Optimization of Ultrasound-Assisted Extraction of Phenolic Compounds from Romanian Blackthorn (Prunus spinosa L.) Fruits" Antioxidants 14, no. 6: 680. https://doi.org/10.3390/antiox14060680
APA StyleDrăghici-Popa, A.-M., Pârvulescu, O. C., Stan, R., & Brezoiu, A.-M. (2025). Optimization of Ultrasound-Assisted Extraction of Phenolic Compounds from Romanian Blackthorn (Prunus spinosa L.) Fruits. Antioxidants, 14(6), 680. https://doi.org/10.3390/antiox14060680

