Intrinsic Interference Use for FBMC-IOTA Systems
Abstract
1. Introduction
2. MAP Detection on Weight Matrix
3. MPA on Intrinsic Interference
4. Evaluation of IIU
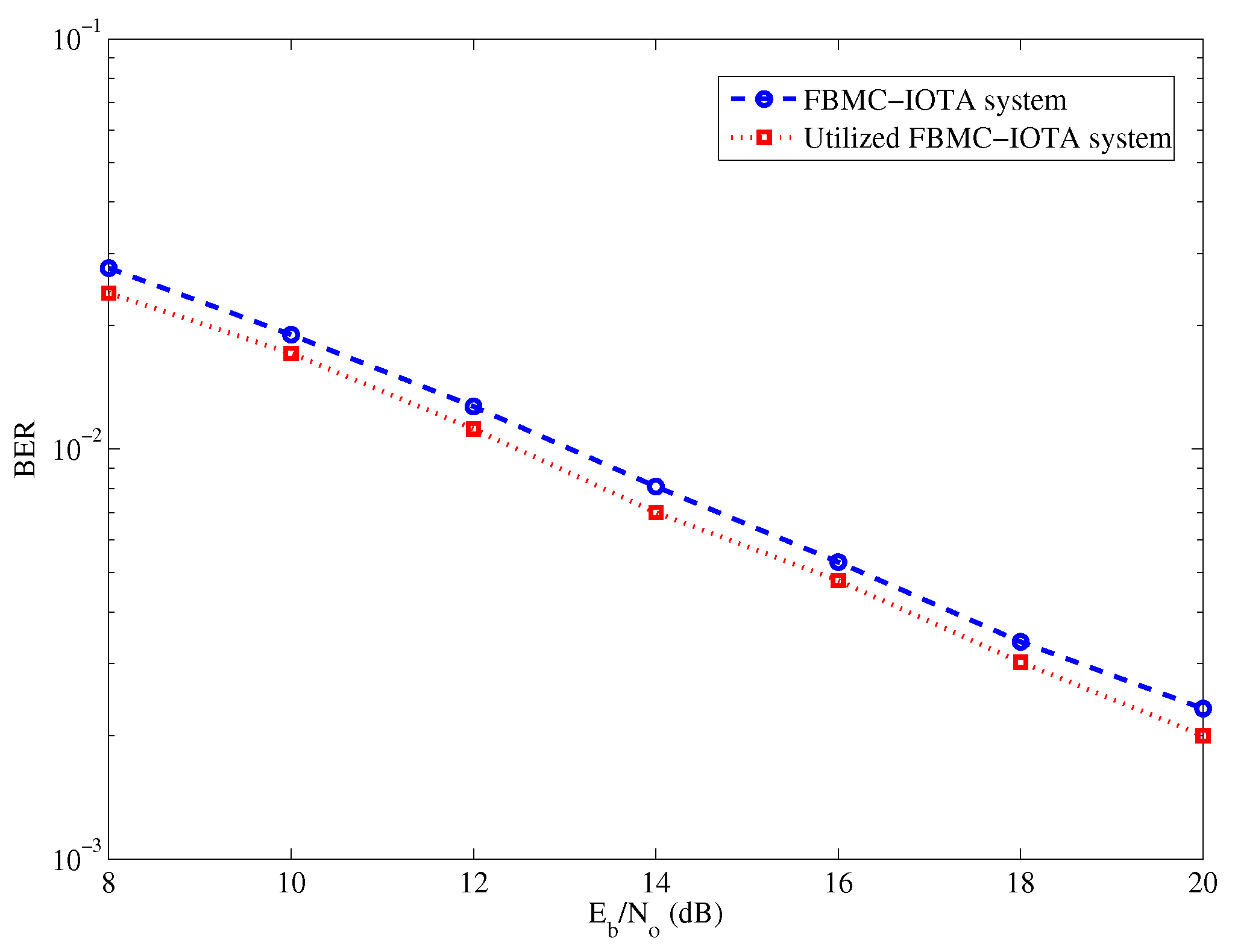
4.1. Performance with Perfect Channel Estimation and Synchronization
4.2. Effect of Carrier Frequency Offset (CFO)
4.3. Effect of Imperfect Channel Estimation
4.4. Complexity of Proposed Algorithm
5. Conclusions
Author Contributions
Funding
Conflicts of Interest
References
- Banelli, P.; Buzzi, S.; Colavolpe, G.; Modenini, A.; Rusek, F.; Ugolini, A. Modulation formats and waveforms for 5G networks: Who will be the heir of OFDM: An overview of alternative modulation schemes for improved spectral efficiency. IEEE Signal Process. Mag. 2014, 31, 80–93. [Google Scholar] [CrossRef]
- Wen, L.; Razavi, R.; Imran, M.A.; Xiao, P. Design of joint sparse graph for OFDM system. IEEE Trans. Wirel. Commun. 2014, 14, 1823–1836. [Google Scholar] [CrossRef]
- Nam, H.; Choi, M.; Han, S.; Kim, C.; Choi, S.; Hong, D. A new filter-bank multicarrier system with two prototype filters for QAM symbols transmission and reception. IEEE Trans. Wirel. Commun. 2016, 15, 5998–6009. [Google Scholar] [CrossRef]
- Saeedi-Sourck, H.; Yan, W.; Bergmans, J.W.M. Complexity and performance comparison of filter bank multicarrier and OFDM in uplink of multicarrier multiple access networks. IEEE Trans. Signal Process. 2011, 59, 1907–1912. [Google Scholar] [CrossRef]
- Lopez-Salcedo, J.A.; Gutierrez, E.; Seco-Granados, G.; Swindlehurst, A.L. Unified framework for the synchronization of flexible multicarrier communication signals. IEEE Trans. Signal Process. 2013, 61, 828–842. [Google Scholar] [CrossRef]
- Cui, W.; Qu, D.; Jiang, T.; Farhang-Boroujeny, B. Coded auxiliary pilots for channel estimation in FBMC-OQAM systems. IEEE Trans. Veh. Technol. 2016, 65, 2936–2946. [Google Scholar] [CrossRef]
- Verde, F.; Gelli, G.; Paura, L.; Darsena, D. Widely-linear equalisation and blind channel identification for interference-contaminated multicarrier systems. IEEE Trans. Signal Process. 2004, 51, 1153–1164. [Google Scholar]
- Darsena, D.; Verde, F. Minimum-mean-output-energy blind adaptive channel shortening for multicarrier SIMO transceivers. IEEE Trans. Signal Process. 2007, 19, 119–134. [Google Scholar] [CrossRef]
- Darsena, D.; Gelli, G.; Verde, F. Universal linear precoding for NBI-proof widely-linear equalization in MC systems. EURASIP J. Wirel. Commun. 2008, 19, 1634–1641. [Google Scholar] [CrossRef][Green Version]
- Darsena, D.; Gelli, G.; Paura, L. A constrained maximum-SINR NBI-resistant receiver for OFDM systems. IEEE Trans. Signal Process. 2007, 43, 3032–3047. [Google Scholar] [CrossRef]
- Bolcskei, H.; Duhamel, P.; Hleiss, R. Design of pulse shaping OFDM/OQAM systems for high data-rate transmission over wireless channels. In Proceedings of the IEEE International Conference on Communications ICC ’99, Vancouver, BC, Canada, 6–10 June 1999; Volume 1, pp. 559–564. [Google Scholar]
- Vangelista, L.; Laurenti, N. Efficient implementations and alternative architectures for OFDM-OQAM systems. IEEE Trans. Commun. 2001, 49, 664–675. [Google Scholar] [CrossRef]
- Liu, Y.; Chandrasekaran, V.; Anandkumar, A. Feedback message passing for inference in Gaussian graphical models. IEEE Trans. Signal Process. 2012, 60, 4135–4150. [Google Scholar] [CrossRef][Green Version]
- Farhang, B. OFDM Versus Filter Bank Multicarrier. IEEE Signal Process. Mag. 2011, 28, 92–112. [Google Scholar] [CrossRef]
- Du, J.; Signell, S. Novel Preamble-Based Channel Estimation for OFDM/OQAM Systems. In Proceedings of the 2009 IEEE International Conference on Communications (ICC), Dresden, Germany, 14–18 June 2009. [Google Scholar]
- Razavi, R.; Xiao, P.; Tafazolli, R. Information theoretic analysis of OFDM/OQAM with utilized intrinsic interference. IEEE Signal Process. Lett. 2016, 22, 618–622. [Google Scholar] [CrossRef]
- Lee, S.H.; Shamaiah, M.; Vikalo, H.; Vishwanath, S. Message-Passing Algorithms for Coordinated Spectrum Sensing in Cognitive Radio Networks. IEEE Commun. Lett. 2013, 17, 812–815. [Google Scholar]
- Verdu, S. Multiuser Detection; Cambridge University Press: Cambridge, UK, 1998. [Google Scholar]
- Poon, T.V.; Beaulieu, N.C. Jointly and individually optimum receivers for BPSK signals in cochannel interference plus noise. In Proceedings of the 2003 IEEE Pacific Rim Conference on Communications Computers and Signal Processing (PACRIM 2003) (Cat. No. 03CH37490), Victoria, BC, Canada, 28–30 August 2003; Volume 2, pp. 530–532. [Google Scholar]
- Lupas, R.; Verdu, S. Linear multiuser detectors for synchronous code-division multiple-access channels. IEEE Trans. Inf. Theory 1989, 35, 123–136. [Google Scholar] [CrossRef]
- Kschischang, F.; Frey, B. Iterative decoding of compound codes by probability propagation in graphical models. IEEE J. Sel. Areas Commun. 1998, 16, 219–230. [Google Scholar] [CrossRef]
- Erceg, V.; Greenstein, L.; Tjandra, S.; Parkoff, S.; Gupta, A.; Kulic, B.; Julius, A.; Bianchi, R. An empirically based path loss model for wireless channels in suburban environments. IEEE J. Sel. Areas Commun. 1999, 17, 1205–1211. [Google Scholar] [CrossRef]



© 2019 by the authors. Licensee MDPI, Basel, Switzerland. This article is an open access article distributed under the terms and conditions of the Creative Commons Attribution (CC BY) license (http://creativecommons.org/licenses/by/4.0/).
Share and Cite
Wen, L.; Razavi, R.; Lei, J. Intrinsic Interference Use for FBMC-IOTA Systems. Appl. Sci. 2019, 9, 3210. https://doi.org/10.3390/app9163210
Wen L, Razavi R, Lei J. Intrinsic Interference Use for FBMC-IOTA Systems. Applied Sciences. 2019; 9(16):3210. https://doi.org/10.3390/app9163210
Chicago/Turabian StyleWen, Lei, Razieh Razavi, and Jing Lei. 2019. "Intrinsic Interference Use for FBMC-IOTA Systems" Applied Sciences 9, no. 16: 3210. https://doi.org/10.3390/app9163210
APA StyleWen, L., Razavi, R., & Lei, J. (2019). Intrinsic Interference Use for FBMC-IOTA Systems. Applied Sciences, 9(16), 3210. https://doi.org/10.3390/app9163210
