Potentials for Pressure Gain Combustion in Advanced Gas Turbine Cycles
Abstract
:1. Introduction
2. Materials and Methods
2.1. Gas Turbine Model
2.1.1. Simple Cycle
2.1.2. Intercooler
2.1.3. Recuperator
2.1.4. Intercooler and Recuperator
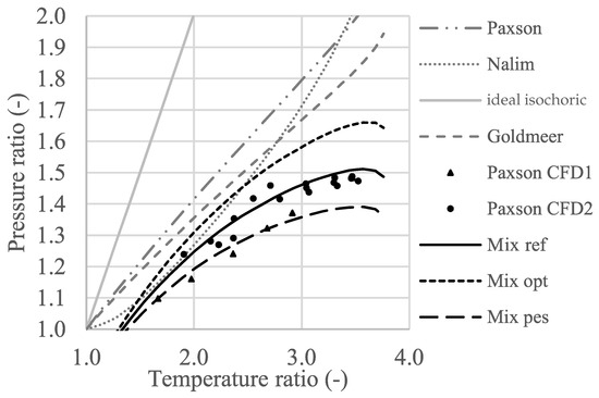
2.2. Combustor Model
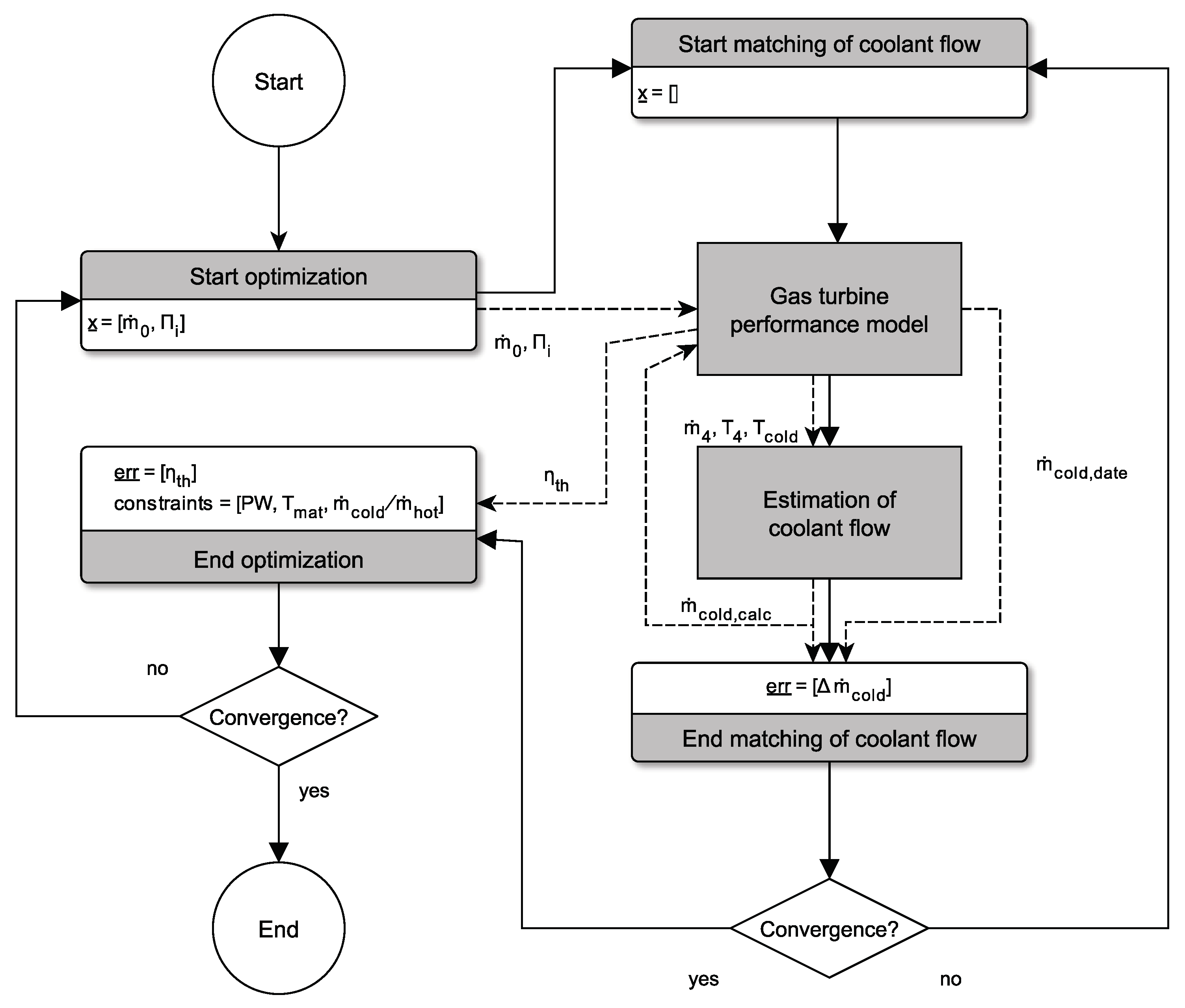
2.3. Optimization Setup
3. Results and Discussion
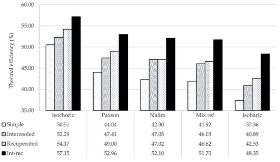
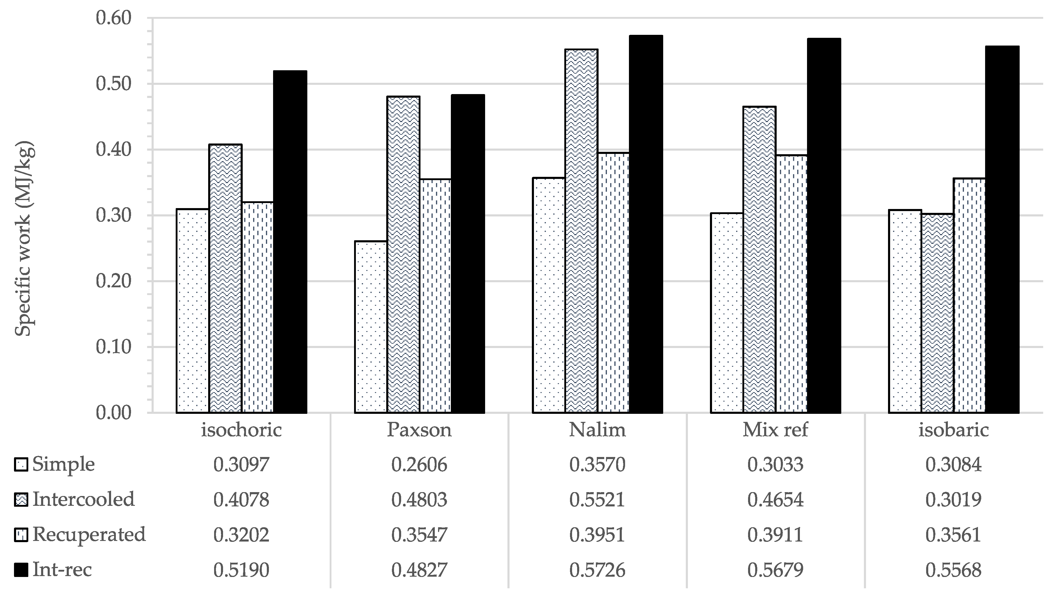
3.1. Thermal Efficiency and Specific Work
3.2. Simple Cycle Gas Turbine
3.3. Intercooled Gas Turbine
3.4. Recuperated Gas Turbine
3.5. Intercooled-Recuperated Gas Turbine
4. Conclusions
- Advanced thermodynamic cycles improved thermal efficiency for all combustion types. An intercooled-recuperated engine using Paxson’s PGC model achieved a thermal efficiency increase of 15 PP compared to a simple gas turbine with isobaric combustion. Pure intercooling with Paxson’s combustor model increased the efficiency by 10 PP. However, the efficiency gain through recuperation and combined intercooling and recuperation with PGC was lower than for the same cycle with isobaric combustion. Only in the intercooled cycle did PGC achieve higher efficiency gains compared to isobaric combustion. Intercooling was therefore favorable for PGC and may create synergies. This behavior was amplified when higher turbine blade temperatures were acceptable.
- In comparison to PGC, isobaric combustion attained higher thermal efficiency gains in a simple cycle when the allowable blade temperature constraint was increased. In contrast, reducing the blade temperature constraint resulted in a lower efficiency penalty for PGC than for isobaric combustion. This could affect the compromise between cycle efficiency, which favors high turbine entry temperatures, and blade creep life, which favors low temperatures. In addition, a lower blade temperature constraint reduced the specific work more significantly for PGC than it did for isobaric combustion. Comparison of the Mix models led to the conclusion that the effect of DDT length on thermal efficiency was stronger at lower blade temperature constraints.
- The optimum thermodynamic design of an advanced gas turbine with pressure gain combustion can be summarized as follows: The optimization of the intercooled-recuperated cycles yielded OPR between 17 and 35. The LPC and HPC pressure ratios were equal for optimum thermal efficiency. The optimized intercooled cycles had OPR in excess of 48, which was almost twice as high as the intercooled-recuperated cycles. Furthermore, most of the compression took place in the HPC. The recuperated cycles had the lowest OPR with values below 11. The driving temperature difference of the recuperator was almost identical for all combustor models and did not differ from the intercooled-recuperated cycles. The TET for optimum thermal efficiency did scatter, and no general design guideline can be given for advanced cycles.
- The required SAS mass flow depended on the advanced cycle and on the underlying combustor model. In general, compared to a cooling mass flow requirement of 20% computed for the simple cycle with isobaric combustion, intercooling maintained this value, and recuperation and combined intercooling and recuperation lowered the value by at least 2 PP and 1.5 PP, respectively. Furthermore, the SAS compressor power requirement could be reduced with recuperation by roughly which is 2.5% of the output power.
- The different combustor model performances resulted in very different optimum cycle designs. This stresses the importance of reliable steady-state combustor models, which require more research.
Author Contributions
Funding
Acknowledgments
Conflicts of Interest
Nomenclature
| Symbols | ||
| Air to fuel ratio | (-) | |
| C | Combustor model parameter | (-) |
| c | Cooling coefficient | (-) |
| Heat capacity at constant pressure | (J/kgK) | |
| Heat capacity at constant volume | (J/kgK) | |
| Pressure loss | (-) | |
| Lower fuel heating value | (MJ/kg) | |
| Mass flow | (kg/s) | |
| p | Pressure | (Pa) |
| Purge fraction | (-) | |
| Output power | (W) | |
| q | Specific heat | (J/kg) |
| Q | Heat | (W) |
| r | Combustor model parameter | (-) |
| Specific gas constant | (J/kgK) | |
| T | Temperature | (K) |
| Ratio of specific heats | (-) | |
| Thermal efficiency | (%) | |
| Pressure ratio | (-) | |
| Subscripts | ||
| 0 | Reference, engine inlet | |
| B | Station downstream isochoric combustion | |
| cold | Cooling air | |
| cp | Station downstream isobaric combustion | |
| hot | Annulus air | |
| HPC | High pressure compressor | |
| in | Inlet | |
| LPC | Low pressure compressor | |
| out | Outlet | |
| Abbreviations | ||
| DDT | Deflagration to detonation transition | |
| HR | Enthalpy ratio | |
| PGC | Pressure gain combustion/pressure gain combustor | |
| PR | Pressure ratio | |
| SAS | Secondary air system | |
| TET | Turbine entry temperature | |
| TR | Temperature ratio |
References
- Grönstedt, T.; Irannezhad, M.; Lei, X.; Thulin, O.; Lundbladh, A. First and second law analysis of future aircraft engines. J. Eng. Gas Turbines Power 2014, 136, 031202. [Google Scholar] [CrossRef]
- Heiser, W.H.; Pratt, D.T. Thermodynamic Cycle Analysis of Pulse Detonation Engines. J. Propuls. Power 2002, 18, 68–76. [Google Scholar] [CrossRef]
- Perkins, H.D.; Paxson, D.E. Summary of Pressure Gain Combustion Research at NASA; NASA TM-2018-219874; NASA: Washington, DC, USA, 2018. [Google Scholar]
- Walsh, P.P.; Fletcher, P. Gas Turbine Performance; John Wiley & Sons: Hoboken, NJ, USA, 2004. [Google Scholar]
- Carniere, H.; Willocx, A.; Dick, E.; Paepe, M.D. Raising cycle efficiency by inter cooling in air cooled gas turbine. Appl. Therm. Eng. 2006, 26, 1780–1787. [Google Scholar] [CrossRef]
- Boggia, S.; Rüd, K. Intercooled recuperated gas turbine engine concept. In Proceedings of the 41st AIAA/ASME/SAE/ASEE Joint Propulsion Conference & Exhibit, Tucson, AZ, USA, 10–13 July 2005; p. 4192. [Google Scholar]
- Paxson, D.E.; Kaemming, T. Influence of unsteadiness on the analysis of pressure gain combustion devices. J. Propuls. Power 2014, 30, 377–383. [Google Scholar] [CrossRef]
- Vutthivithayarak, R.; Braun, E.; Lu, F. On thermodynamic cycles for detonation engines. In Proceedings of the 28th International Symposium on Shock Waves; Springer: Berlin, Germany, 2012; pp. 287–292. [Google Scholar]
- Paxson, D.E. A simplified model for detonation based pressure-gain combustors. In Proceedings of the 46th Joint Propulsion Conference and Exhibit cosponsored by AIAA, ASME, SAE, and ASEE, Nashville, TN, USA, 25–28 July 2010; National Aeronautics and Space Administration, Glenn Research Center: Washington, DC, USA, 2010. [Google Scholar]
- Bratkovich, T.; Bussing, T. A pulse detonation engine performance model. In Proceedings of the 31st Joint Propulsion Conference and Exhibit, San Diego, CA, USA, 10–12 July 1995; p. 3155. [Google Scholar]
- Berndt, P.; Klein, R. Modeling the kinetics of the Shockless Explosion Combustion. Combust. Flame 2017, 175, 16–26. [Google Scholar] [CrossRef]
- Paxson, D.E. Numerical simulation of dynamic wave rotor performance. J. Propuls. Power 1996, 12, 949–957. [Google Scholar] [CrossRef]
- Rähse, T.S.; Paschereit, C.O.; Stathopoulos, P.; Berndt, P.; Klein, R. Gas dynamic simulation of shockless explosion combustion for gas turbine power cycles. In Proceedings of the ASME Turbo Expo 2017: Turbomachinery Technical Conference and Exposition, Charlotte, NC, USA, 26–30 June 2017. [Google Scholar]
- Kaemming, T.A.; Paxson, D.E. Determining the Pressure Gain of Pressure Gain Combustion. In Proceedings of the 2018 Joint Propulsion Conference, Cincinnati, OH, USA, 9–12 July 2018; p. 4567. [Google Scholar]
- Nalim, M.R. Thermodynamic limits of work and pressure gain in combustion and evaporation processes. J. Propuls. Power 2002, 18, 1176–1182. [Google Scholar] [CrossRef]
- Endo, T.; Kasahara, J.; Matsuo, A.; Inaba, K.; Sato, S.; Fujiwara, T. Pressure history at the thrust wall of a simplified pulse detonation engine. AIAA J. 2004, 42, 1921–1930. [Google Scholar] [CrossRef]
- Paxson, D.E. Performance evaluation method for ideal airbreathing pulse detonation engines. J. Propuls. Power 2004, 20, 945–950. [Google Scholar] [CrossRef]
- Goldmeer, J.; Tangirala, V.; Dean, A. System-level performance estimation of a pulse detonation based hybrid engine. J. Eng. Gas Turbines Power 2008, 130, 011201. [Google Scholar] [CrossRef]
- Neumann, N.; Peitsch, D. A comparison of Steady-State Models for Pressure Gain Combustion in Gas Turbine Performance Simulation (accepted for publication). In Proceedings of the GPPS Beijing 2019, Beijing, China, 16–18 September 2019; Global Power and Propulsion Society: Zug, Switzerland, 2019. [Google Scholar]
- Snyder, P.H.; Nalim, M.R. Pressure gain combustion application to marine and industrial gas turbines. In Proceedings of the ASME Turbo Expo 2012: Turbine Technical Conference and Exposition, Copenhagen, Denmark, 11–15 June 2012; American Society of Mechanical Engineers: New York, NY, USA, 2012; pp. 409–422. [Google Scholar]
- Xisto, C.; Ali, F.; Petit, O.; Grönstedt, T.; Rolt, A.; Lundbladh, A. Analytical Model for the Performance Estimation of Pre-Cooled Pulse Detonation Turbofan Engines. In Proceedings of the ASME Turbo Expo 2017: Turbomachinery Technical Conference and Exposition, Charlotte, NC, USA, 26–30 June 2017. [Google Scholar]
- Sousa, J.; Paniagua, G.; Morata, E.C. Thermodynamic analysis of a gas turbine engine with a rotating detonation combustor. Appl. Energy 2017, 195, 247–256. [Google Scholar] [CrossRef]
- Stathopoulos, P. Comprehensive Thermodynamic Analysis of the Humphrey Cycle for Gas Turbines with Pressure Gain Combustion. Energies 2018, 11, 3521. [Google Scholar] [CrossRef]
- Zhao, X.; Thulin, O.; Grönstedt, T. First and second law analysis of intercooled turbofan engine. J. Eng. Gas Turbines Power 2016, 138, 021202. [Google Scholar] [CrossRef]
- Petit, O.; Xisto, C.; Zhao, X.; Grönstedt, T. An outlook for radical aero engine intercooler concepts. In Proceedings of the ASME Turbo Expo 2016: Turbomachinery Technical Conference and Exposition, Seoul, South Korea, 13–17 June 2016. [Google Scholar]
- Salpingidou, C.; Vlahostergios, Z.; Misirlis, D.; Flouros, M.; Donus, F.; Yakinthos, K. Investigation and Assessment of the Performance of Various Recuperative Cycles Based on the Intercooled Recuperation Concept. In Proceedings of the ASME Turbo Expo 2018: Turbomachinery Technical Conference and Exposition, Oslo, Norway, 11–15 June 2018. [Google Scholar]
- Becker, R.; Wolters, F.; Nauroz, M.; Otten, T. Development of a gas turbine performance code and its application to preliminary engine design. In Proceedings of the Deutscher Luft- und Raumfahrtkongress 2011, Bremen, Germany, 27–29 September 2011; pp. 27–29. [Google Scholar]
- Paxson, D.W. A General Numerical Model for Wave Rotor Analysis; NASA TM 105740; NASA: Washington, DC, USA, 1992. [Google Scholar]
- Louis, J.; Hiraoka, K.; El Masri, M. A comparative study of the influence of different means of turbine cooling on gas turbine performance. In Proceedings of the ASME 1983 International Gas Turbine Conference and Exhibit, Phoenix, AZ, USA, 27–31 March 1983. [Google Scholar]
- Becker, R. Auslegung und deterministische Optimierung stark gekühlter Turbinen. Ph.D. Thesis, Technical University of Munich, Munich, Germany, 2001. [Google Scholar]
- Woelki, D.; Peitsch, D. Modellierung variabler Sekundärluftsysteme zur Bewertung ihrer Auswirkungen auf das Gesamtsystem Gasturbine. In Proceedings of the Deutscher Luft- und Raumfahrtkongress 2014, Augsburg, Germany, 16–18 September 2015. [Google Scholar]
- Cerri, G.; Chennaoui, L.; Giovannelli, A.; Mazzoni, S. Expander models for a generic 300 MW F class gas turbine for IGCC. In Proceedings of the ASME Turbo Expo, Dusseldorf, Germany, 16–20 June 2014. [Google Scholar]















| Single Spool Stationary Gas Turbine | |
|---|---|
| Intake pressure loss | 5% |
| Compressor isentropic efficiency | 88% |
| Turbine isentropic efficiency | 90% |
| Outlet total pressure | 102 kPa |
| LHV of fuel | MJ/kg |
| Pressure Losses for Recuperator | |
|---|---|
| Inlet cold side | 4.5% |
| Outlet cold side | 1.75% |
| Inlet hot side | 4% |
| Outlet hot side | 2% |
| Output power | = | 6.63 MW |
| Turbine blade temperature | ≤ | 1000 K, 1100 K, 1200 K |
| Cooling mass flow/engine mass flow | ≤ | 35% |
| Isobaric | Isochoric | Mix Opt | Mix Ref | Mix Pes | Paxson | Nalim | |
|---|---|---|---|---|---|---|---|
| Thermal efficiency (%) | 37.36 | 50.51 | 42.71 | 41.92 | 41.17 | 44.04 | 42.30 |
| Specific work (MJ/kg) | 0.3084 | 0.3097 | 0.3107 | 0.3033 | 0.2978 | 0.2606 | 0.3570 |
| Pressure ratio (−) | 24.79 | 12.18 | 17.23 | 18.34 | 18.89 | 17.63 | 16.81 |
| TET (K) | 1608.8 | 1169.87 | 1390.26 | 1401.94 | 1407.19 | 1232.89 | 1540.9 |
© 2019 by the authors. Licensee MDPI, Basel, Switzerland. This article is an open access article distributed under the terms and conditions of the Creative Commons Attribution (CC BY) license (http://creativecommons.org/licenses/by/4.0/).
Share and Cite
Neumann, N.; Peitsch, D. Potentials for Pressure Gain Combustion in Advanced Gas Turbine Cycles. Appl. Sci. 2019, 9, 3211. https://doi.org/10.3390/app9163211
Neumann N, Peitsch D. Potentials for Pressure Gain Combustion in Advanced Gas Turbine Cycles. Applied Sciences. 2019; 9(16):3211. https://doi.org/10.3390/app9163211
Chicago/Turabian StyleNeumann, Nicolai, and Dieter Peitsch. 2019. "Potentials for Pressure Gain Combustion in Advanced Gas Turbine Cycles" Applied Sciences 9, no. 16: 3211. https://doi.org/10.3390/app9163211
APA StyleNeumann, N., & Peitsch, D. (2019). Potentials for Pressure Gain Combustion in Advanced Gas Turbine Cycles. Applied Sciences, 9(16), 3211. https://doi.org/10.3390/app9163211

