Combined Use of MRI, fMRIand Cognitive Data for Alzheimer’s Disease: Preliminary Results
Abstract
1. Introduction
2. Methods and Procedure
2.1. Magnetic Resonance Imaging
2.2. Magnetic Mechanism of the BOLD Signal
2.3. Data Acquisition and Preprocessing
2.4. Image Segmentation with SPM
2.5. Brain Volume Calculation and Mask Construction
2.6. Connectivity Matrix and Network Measure
2.7. Statistical Analysis
2.8. Support Vector Machine Classifier
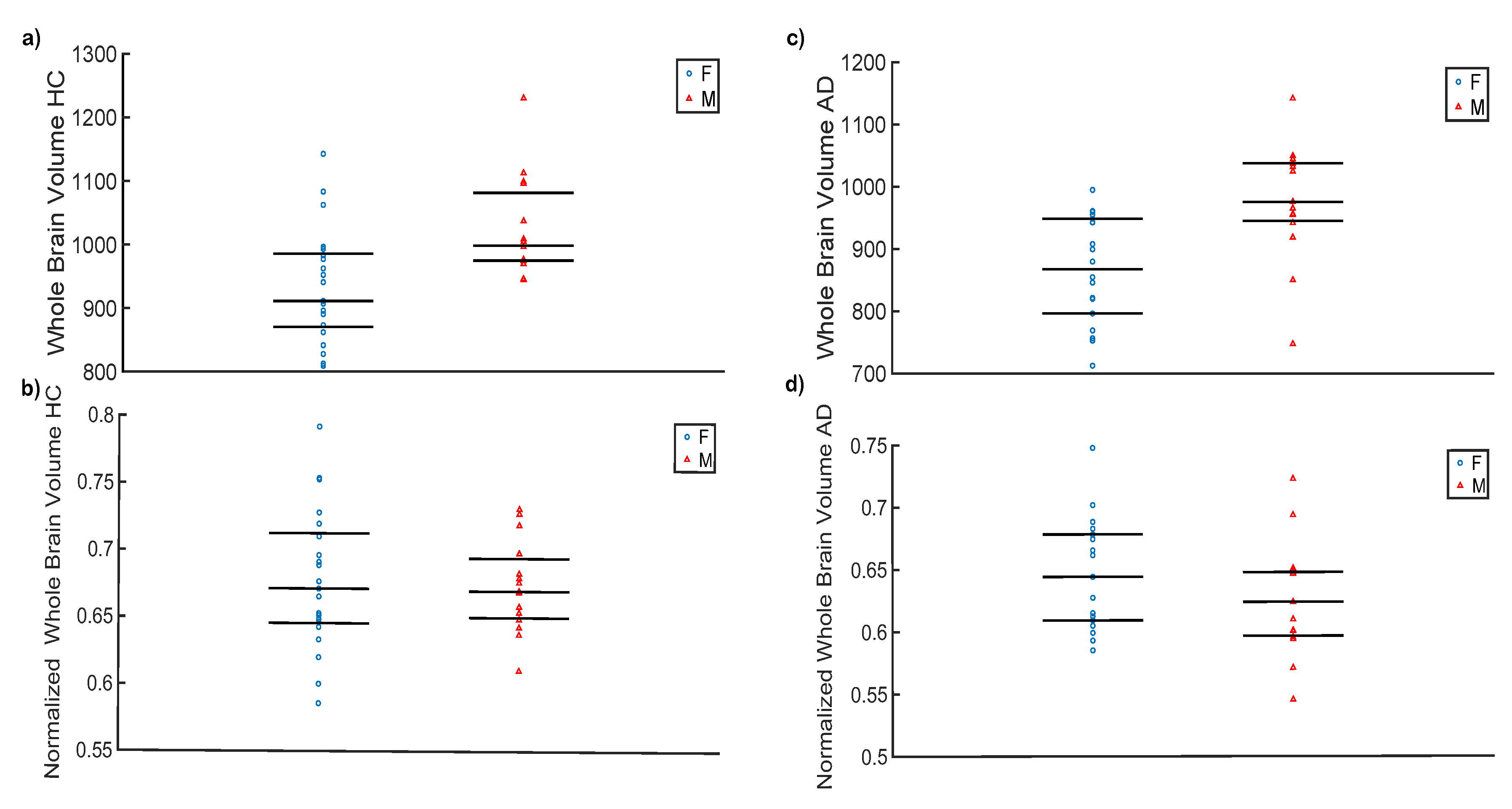
3. Results
4. Conclusions
Author Contributions
Funding
Acknowledgments
Conflicts of Interest
Abbreviations
| AD | Alzheimer’s Disease |
| ADNI | Alzheimer’s Disease Neuroimaging Initiative |
| ART | Artifact Detection Tools |
| BOLD | Blood Oxygenation Level Dependent |
| BCT | Brain Connectivity Toolbox |
| CC | Clustering Coefficient |
| CDR | Clinical Dementia Rating |
| CNR | Contrast-to-Noise Ratio |
| CSF | Cerebrospinal Fluid |
| dHB | Deoxyhemoglobin |
| FA | Flip Angle |
| FDG-PET | Fluorodeoxyglucose Positron Emission Tomography |
| fMRI | Functional Magnetic Resonance Imaging |
| GM | Grey Matter |
| GMM | Gaussian Mixture Model |
| GMV | Grey Matter Volume |
| HC | Health Control |
| MRI | Magnetic Resonance Imaging |
| MDI | Mild Cognitive Impairment |
| MMSE | Mini Mental State Examination |
| MNI | Montreal Neurological Institute |
| NPI-Q | Neuropsychiatric Inventor Questionnaire |
| SNR | Signal to Noise Ratio |
| SPM | Statistical Parametric Map |
| SVM | Support Vector Machine |
| TE | Time Echo |
| TR | Time Repetition |
| WM | White Matter |
References
- Winter, F.; Bludszuweit-Philipp, C.; Wolkenhauer, O. Mathematical analysis of the influence of brain metabolism on the BOLD signal in Alzheimer’s disease. J. Cereb. Blood Flow Metab. 2018, 38, 304–316. [Google Scholar] [CrossRef] [PubMed]
- Xu, C.; Pham, D.L.; Rettmann, M.E.; Yu, D.N.; Prince, J.L. Reconstruction of the human cerebral cortex from magnetic resonance images. IEEE Trans. Med. Imaging 1999, 18, 467–480. [Google Scholar] [CrossRef] [PubMed]
- Logothetis, N.K. The neural basis of the blood–oxygen–level–dependent functional magnetic resonance imaging signal. Philos. Trans. R. Soc. Lond. Ser. B Biol. Sci. 2002, 357, 1003–1037. [Google Scholar] [CrossRef]
- Coriasco, M.; Rampado, O.; Bradac, G.B. Elements of Magnetic Resonance. In Imaging & Formation, 3rd ed.; Springer: Berlin/Heidelberg, Germany, 2014; Chapter 6. [Google Scholar]
- Frisoni, G.B.; Fox, N.C.; Jack, C.R., Jr.; Scheltens, P.; Thompson, P.M. The clinical use of structural MRI in Alzheimer disease. Nat. Rev. Neurol. 2010, 6, 67. [Google Scholar] [CrossRef] [PubMed]
- Thompson, P.M.; MacDonald, D.; Mega, M.S.; Holmes, C.J.; Evans, A.C.; Toga, A.W. Detection and mapping of abnormal brain structure with a probabilistic atlas of cortical surfaces. J. Comput. Assist. Tomogr. 1997, 21, 567–581. [Google Scholar] [CrossRef] [PubMed]
- Buchanan, R.W.; Vladar, K.; Barta, P.E.; Pearlson, G.D. Structural evaluation of the prefrontal cortex in schizophrenia. Am. J. Psychiatry 1998, 155, 1049–1055. [Google Scholar] [CrossRef] [PubMed]
- Fisher, E.; Lee, J.C.; Nakamura, K.; Rudick, R.A. Gray matter atrophy in multiple sclerosis: A longitudinal study. Ann. Neurol. 2008, 64, 255–265. [Google Scholar] [CrossRef]
- Fox, N.C.; Freeborough, P.A. Brain atrophy progression measured from registered serial MRI: Validation and application to Alzheimer’s disease. J. Magn. Reson. Imaging 1997, 7, 1069–1075. [Google Scholar] [CrossRef]
- Munoz, D.G.; Feldman, H. Causes of Alzheimer’s disease. CMAJ 2000, 162, 65–72. [Google Scholar]
- Gur, R.E.; McGrath, C.; Chan, R.M.; Schroeder, L.; Turner, T.; Turetsky, B.I.; Kohler, C.; Alsop, D.; Maldjian, J.; Ragland, J.D.; et al. An fMRI study of facial emotion processing in patients with schizophrenia. Am. J. Psychiatry 2002, 159, 1992–1999. [Google Scholar] [CrossRef]
- Rombouts, S.A.; Barkhof, F.; Goekoop, R.; Stam, C.J.; Scheltens, P. Altered resting state networks in mild cognitive impairment and mild Alzheimer’s disease: An fMRI study. Hum. Brain Mapp. 2005, 26, 231–239. [Google Scholar] [CrossRef] [PubMed]
- Smith, A.M.; Lewis, B.K.; Ruttimann, U.E.; Frank, Q.Y.; Sinnwell, T.M.; Yang, Y.; Duyn, J.H.; Frank, J.A. Investigation of low frequency drift in fMRI signal. Neuroimage 1999, 9, 526–533. [Google Scholar] [CrossRef] [PubMed]
- Triantafyllou, C.; Hoge, R.D.; Krueger, G.; Wiggins, C.J.; Potthast, A.; Wiggins, G.C.; Wald, L.L. Comparison of physiological noise at 1.5 T, 3 T and 7 T and optimization of fMRI acquisition parameters. Neuroimage 2005, 26, 243–250. [Google Scholar] [CrossRef] [PubMed]
- Behzadi, Y.; Restom, K.; Liau, J.; Liu, T.T. A component based noise correction method (CompCor) for BOLD and perfusion based fMRI. Neuroimage 2007, 37, 90–101. [Google Scholar] [CrossRef] [PubMed]
- Rubinov, M.; Sporns, O. Complex network measures of brain connectivity: Uses and interpretations. Neuroimage 2010, 52, 1059–1069. [Google Scholar] [CrossRef] [PubMed]
- Sporns, O. The human connectome: A complex network. Ann. N. Y. Acad. Sci. 2011, 1224, 109–125. [Google Scholar] [CrossRef] [PubMed]
- Bassett, D.S.; Bullmore, E.; Verchinski, B.A.; Mattay, V.S.; Weinberger, D.R.; Meyer-Lindenberg, A. Hierarchical organization of human cortical networks in health and schizophrenia. J. Neurosci. 2008, 28, 9239–9248. [Google Scholar] [CrossRef]
- Braun, U.; Muldoon, S.F.; Bassett, D.S. On human brain networks in health and disease. In eLS; John Wiley & Sons, Ltd.: Chichester, UK, 2001; pp. 1–9. [Google Scholar]
- Fox, N.C.; Cousens, S.; Scahill, R.; Harvey, R.J.; Rossor, M.N. Using serial registered brain magnetic resonance imaging to measure disease progression in Alzheimer disease: Power calculations and estimates of sample size to detect treatment effects. Arch. Neurol. 2000, 57, 339–344. [Google Scholar] [CrossRef] [PubMed]
- Sanz-Arigita, E.J.; Schoonheim, M.M.; Damoiseaux, J.S.; Rombouts, S.A.; Maris, E.; Barkhof, F.; Scheltens, P.; Stam, C.J. Loss of ‘small-world’networks in Alzheimer’s disease: Graph analysis of FMRI resting-state functional connectivity. PLoS ONE 2010, 5, e13788. [Google Scholar] [CrossRef]
- Machulda, M.M.; Ward, H.; Borowski, B.; Gunter, J.; Cha, R.; O’brien, P.; Petersen, R.C.; Boeve, B.F.; Knopman, D.; Tang-Wai, D.; et al. Comparison of memory fMRI response among normal, MCI, and Alzheimer’s patients. Neurology 2003, 61, 500–506. [Google Scholar] [CrossRef]
- He, Y.; Wang, L.; Zang, Y.; Tian, L.; Zhang, X.; Li, K.; Jiang, T. Regional coherence changes in the early stages of Alzheimer’s disease: A combined structural and resting-state functional MRI study. Neuroimage 2007, 35, 488–500. [Google Scholar] [CrossRef]
- Calamante, F.; Smith, R.E.; Liang, X.; Zalesky, A.; Connelly, A. Track-weighted dynamic functional connectivity (TW-dFC): A new method to study time-resolved functional connectivity. Brain Struct. Funct. 2017, 222, 3761–3774. [Google Scholar] [CrossRef] [PubMed]
- Khedher, L.; Ramírez, J.; Górriz, J.M.; Brahim, A.; Segovia, F.; Alzheimer’s Disease Neuroimaging Initiative. Early diagnosis of Alzheimer’s disease based on partial least squares, principal component analysis and support vector machine using segmented MRI images. Neurocomputing 2015, 151, 139–150. [Google Scholar] [CrossRef]
- Abdulkadir, A.; Peter, J.; Ronneberger, O.; Brox, T.; Klöppel, S. Voxel-based multi-class classification of AD, MCI, and elderly controls. In Proceedings of the Medical Image Computing and Computer-Assisted Intervention (MICCAI) 2014 CADDementia Challenge, Boston, MA, USA, 14–18 September 2014; pp. 1–8. [Google Scholar]
- Dukart, J.; Mueller, K.; Barthel, H.; Villringer, A.; Sabri, O.; Schroeter, M.L.; Alzheimer’s Disease Neuroimaging Initiative. Meta-analysis based SVM classification enables accurate detection of Alzheimer’s disease across different clinical centers using FDG-PET and MRI. Psychiatry Res. Neuroimaging 2013, 212, 230–236. [Google Scholar] [CrossRef]
- Zhang, D.; Wang, Y.; Zhou, L.; Yuan, H.; Shen, D.; Alzheimer’s Disease Neuroimaging Initiative. Multimodal classification of Alzheimer’s disease and mild cognitive impairment. Neuroimage 2011, 55, 856–867. [Google Scholar] [CrossRef] [PubMed]
- Kaufer, D.I.; Cummings, J.L.; Ketchel, P.; Smith, V.; MacMillan, A.; Shelley, T.; Lopez, O.L.; DeKosky, S.T. Validation of the NPI-Q, a brief clinical form of the Neuropsychiatric Inventory. J. Neuropsychiatry Clin. Neurosci. 2000, 12, 233–239. [Google Scholar] [CrossRef]
- Morris, J.C. Clinical dementia rating: A reliable and valid diagnostic and staging measure for dementia of the Alzheimer type. Int. Psychogeriatr. 1997, 9, 173–176. [Google Scholar] [CrossRef]
- Nieuwenhuis-Mark, R.E. The death knoll for the MMSE: Has it outlived its purpose? J. Geriatr. Psychiatry Neurol. 2010, 23, 151–157. [Google Scholar] [CrossRef]
- Uğurbil, K. Magnetic resonance imaging at ultrahigh fields. IEEE Trans. Biomed. Eng. 2014, 61, 1364–1379. [Google Scholar] [CrossRef]
- Ballester, M.A.G.; Zisserman, A.P.; Brady, M. Estimation of the partial volume effect in MRI. Med. Image Anal. 2002, 6, 389–405. [Google Scholar]
- Weishaupt, D.; Köchli, V.D.; Marincek, B. How Does MRI Work? An Introduction to the Physics and Function of Magnetic Resonance Imaging; Springer Science & Business Media: Berlin/Heidelberg, Germany, 2008. [Google Scholar]
- Pohmann, R.; Speck, O.; Scheffler, K. Signal-to-noise ratio and MR tissue parameters in human brain imaging at 3, 7, and 9.4 tesla using current receive coil arrays. Magn. Reson. Med. 2016, 75, 801–809. [Google Scholar] [CrossRef]
- Hyder, F.; Kida, I.; Behar, K.L.; Kennan, R.P.; Maciejewski, P.K.; Rothman, D.L. Quantitative functional imaging of the brain: towards mapping neuronal activity by BOLD fMRI. NMR Biomed. 2001, 14, 413–431. [Google Scholar] [CrossRef]
- Whitfield-Gabrieli, S.; Nieto-Castanon, A. Conn: A functional connectivity toolbox for correlated and anticorrelated brain networks. Brain Connect. 2012, 2, 125–141. [Google Scholar] [CrossRef]
- Gili, T.; Cercignani, M.; Serra, L.; Perri, R.; Giove, F.; Maraviglia, B.; Caltagirone, C.; Bozzali, M. Regional brain atrophy and functional disconnection across Alzheimer’s disease evolution. J. Neurol. Neurosurg. Psychiatry 2011, 82, 58–66. [Google Scholar] [CrossRef]
- Cuingnet, R.; Gerardin, E.; Tessieras, J.; Auzias, G.; Lehéricy, S.; Habert, M.O.; Chupin, M.; Benali, H.; Colliot, O.; Initiative, A.D.N.; et al. Automatic classification of patients with Alzheimer’s disease from structural MRI: A comparison of ten methods using the ADNI database. Neuroimage 2011, 56, 766–781. [Google Scholar] [CrossRef]
- Klöppel, S.; Stonnington, C.M.; Chu, C.; Draganski, B.; Scahill, R.I.; Rohrer, J.D.; Fox, N.C.; Jack, C.R., Jr.; Ashburner, J.; Frackowiak, R.S. Automatic classification of MR scans in Alzheimer’s disease. Brain 2008, 131, 681–689. [Google Scholar] [CrossRef]
- Bron, E.E.; Smits, M.; Van Der Flier, W.M.; Vrenken, H.; Barkhof, F.; Scheltens, P.; Papma, J.M.; Steketee, R.M.; Orellana, C.M.; Meijboom, R.; et al. Standardized evaluation of algorithms for computer-aided diagnosis of dementia based on structural MRI: The CADDementia challenge. NeuroImage 2015, 111, 562–579. [Google Scholar] [CrossRef]
- Khazaee, A.; Ebrahimzadeh, A.; Babajani-Feremi, A. Identifying patients with Alzheimer’s disease using resting-state fMRI and graph theory. Clin. Neurophysiol. 2015, 126, 2132–2141. [Google Scholar] [CrossRef]
- Larobina, M.; Murino, L. Medical image file formats. J. Digit. Imaging 2014, 27, 200–206. [Google Scholar] [CrossRef]
- Challis, J.H. A procedure for determining rigid body transformation parameters. J. Biomech. 1995, 28, 733–737. [Google Scholar] [CrossRef]
- Tzourio-Mazoyer, N.; Landeau, B.; Papathanassiou, D.; Crivello, F.; Etard, O.; Delcroix, N.; Mazoyer, B.; Joliot, M. Automated anatomical labeling of activations in SPM using a macroscopic anatomical parcellation of the MNI MRI single-subject brain. Neuroimage 2002, 15, 273–289. [Google Scholar] [CrossRef]
- Sladky, R.; Friston, K.J.; Tröstl, J.; Cunnington, R.; Moser, E.; Windischberger, C. Slice-timing effects and their correction in functional MRI. Neuroimage 2011, 58, 588–594. [Google Scholar] [CrossRef]
- Hellier, P.; Ashburner, J.; Corouge, I.; Barillot, C.; Friston, K.J. Inter-subject registration of functional and anatomical data using SPM. In International Conference on Medical Image Computing and Computer-Assisted Intervention; Springer: Berlin/Heidelberg, Germany, 2002; pp. 590–597. [Google Scholar]
- Despotović, I.; Goossens, B.; Philips, W. MRI segmentation of the human brain: Challenges, methods, and applications. Comput. Math. Methods Med. 2015, 2015, 450341. [Google Scholar] [CrossRef]
- Penny, W.D.; Friston, K.J.; Ashburner, J.T.; Kiebel, S.J.; Nichols, T.E. Statistical Parametric Mapping: The Analysis of Functional Brain Images; Elsevier: Amsterdam, The Netherlands, 2011. [Google Scholar]
- Ashburner, J.; Friston, K.J. Unified segmentation. Neuroimage 2005, 26, 839–851. [Google Scholar] [CrossRef]
- Solé-Padullés, C.; Bartrés-Faz, D.; Junqué, C.; Vendrell, P.; Rami, L.; Clemente, I.C.; Bosch, B.; Villar, A.; Bargalló, N.; Jurado, M.A.; et al. Brain structure and function related to cognitive reserve variables in normal aging, mild cognitive impairment and Alzheimer’s disease. Neurobiol. Aging 2009, 30, 1114–1124. [Google Scholar] [CrossRef]
- Coffey, C.E.; Lucke, J.F.; Saxton, J.A.; Ratcliff, G.; Unitas, L.J.; Billig, B.; Bryan, R.N. Sex differences in brain aging: A quantitative magnetic resonance imaging study. Arch. Neurol. 1998, 55, 169–179. [Google Scholar] [CrossRef]
- Maldjian, J.A.; Laurienti, P.J.; Kraft, R.A.; Burdette, J.H. An automated method for neuroanatomic and cytoarchitectonic atlas-based interrogation of fMRI data sets. Neuroimage 2003, 19, 1233–1239. [Google Scholar] [CrossRef]
- Magnin, B.; Mesrob, L.; Kinkingnehun, S.; Pelegrini-Issac, M.; Colliot, O.; Sarazin, M.; Dubois, B.; Lehericy, S.; Benali, H. Support vector machine-based classification of Alzheimer’s disease from whole-brain anatomical MRI. Neuroradiology 2009, 51, 73–83. [Google Scholar] [CrossRef]
- Amico, F.; Stauber, J.; Koutsouleris, N.; Frodl, T. Anterior cingulate cortex gray matter abnormalities in adults with attention deficit hyperactivity disorder: A voxel-based morphometry study. Psychiatry Res. Neuroimaging 2011, 191, 31–35. [Google Scholar] [CrossRef]
- Tijms, B.M.; Wink, A.M.; de Haan, W.; van der Flier, W.M.; Stam, C.J.; Scheltens, P.; Barkhof, F. Alzheimer’s disease: Connecting findings from graph theoretical studies of brain networks. Neurobiol. Aging 2013, 34, 2023–2036. [Google Scholar] [CrossRef]
- Bourisly, A.K.; Gejo, G.; Hayat, A.A.; Alsarraf, L.; Dashti, F.M.; Di Paola, M. White matter sexual dimorphism of the adult human brain. Transl. Neurosci. 2017, 8, 49–53. [Google Scholar] [CrossRef]
- Wolk, D.A.; Price, J.C.; Saxton, J.A.; Snitz, B.E.; James, J.A.; Lopez, O.L.; Aizenstein, H.J.; Cohen, A.D.; Weissfeld, L.A.; Mathis, C.A.; et al. Amyloid imaging in mild cognitive impairment subtypes. Ann. Neurol. 2009, 65, 557–568. [Google Scholar] [CrossRef]
- Friston, K.J. Functional and effective connectivity in neuroimaging: A synthesis. Hum. Brain Mapp. 1994, 2, 56–78. [Google Scholar] [CrossRef]
- Liang, X.; Wang, J.; Yan, C.; Shu, N.; Xu, K.; Gong, G.; He, Y. Effects of different correlation metrics and preprocessing factors on small-world brain functional networks: A resting-state functional MRI study. PLoS ONE 2012, 7, e32766. [Google Scholar] [CrossRef]
- Supekar, K.; Menon, V.; Rubin, D.; Musen, M.; Greicius, M.D. Network analysis of intrinsic functional brain connectivity in Alzheimer’s disease. PLoS Comput. Biol. 2008, 4, e1000100. [Google Scholar] [CrossRef]
- Stam, C.; De Haan, W.; Daffertshofer, A.; Jones, B.; Manshanden, I.; van Cappellen van Walsum, A.M.; Montez, T.; Verbunt, J.; De Munck, J.; Van Dijk, B.; et al. Graph theoretical analysis of magnetoencephalographic functional connectivity in Alzheimer’s disease. Brain 2008, 132, 213–224. [Google Scholar] [CrossRef]
- Yao, Z.; Zhang, Y.; Lin, L.; Zhou, Y.; Xu, C.; Jiang, T.; Alzheimer’s Disease Neuroimaging Initiative. Abnormal cortical networks in mild cognitive impairment and Alzheimer’s disease. PLoS Comput. Biol. 2010, 6, e1001006. [Google Scholar] [CrossRef]
- Stam, C.J.; Reijneveld, J.C. Graph theoretical analysis of complex networks in the brain. Nonlinear Biomed. Phys. 2007, 1, 3. [Google Scholar] [CrossRef]
- Abdi, H. Bonferroni and Šidák corrections for multiple comparisons. Encycl. Meas. Stat. 2007, 3, 103–107. [Google Scholar]
- Verhoeven, K.J.; Simonsen, K.L.; McIntyre, L.M. Implementing false discovery rate control: Increasing your power. Oikos 2005, 108, 643–647. [Google Scholar] [CrossRef]
- Mavroforakis, M.E.; Theodoridis, S. A geometric approach to support vector machine (SVM) classification. IEEE Trans. Neural Netw. 2006, 17, 671–682. [Google Scholar] [CrossRef]
- Zhou, K.; He, W.; Xu, Y.; Xiong, G.; Cai, J. Feature selection and transfer learning for Alzheimer’s disease clinical diagnosis. Appl. Sci. 2018, 8, 1372. [Google Scholar] [CrossRef]
- Cawley, G.C. Leave-one-out cross-validation based model selection criteria for weighted LS-SVMs. In Proceedings of the 2006 IEEE International Joint Conference on Neural Network, Vancouver, BC, Canada, 16–21 July 2006; pp. 1661–1668. [Google Scholar]
- Tombaugh, T.; McDowell, I.; Kristjansson, B.; Hubley, A. Mini-Mental State Examination (MMSE) and the Modified MMSE (3MS): A psychometric comparison and normative data. Psychol. Assess. 1996, 8, 48. [Google Scholar] [CrossRef]
- Ruxton, G.D. The unequal variance t-test is an underused alternative to Student’s t-test and the Mann–Whitney U test. Behav. Ecol. 2006, 17, 688–690. [Google Scholar] [CrossRef]
- Resnick, S.M.; Goldszal, A.F.; Davatzikos, C.; Golski, S.; Kraut, M.A.; Metter, E.J.; Bryan, R.N.; Zonderman, A.B. One-year age changes in MRI brain volumes in older adults. Cereb. Cortex 2000, 10, 464–472. [Google Scholar] [CrossRef]
- Hafkemeijer, A.; Möller, C.; Dopper, E.G.; Jiskoot, L.C.; Schouten, T.M.; van Swieten, J.C.; van der Flier, W.M.; Vrenken, H.; Pijnenburg, Y.A.; Barkhof, F.; et al. Resting state functional connectivity differences between behavioral variant frontotemporal dementia and Alzheimer’s disease. Front. Hum. Neurosci. 2015, 9, 474. [Google Scholar] [CrossRef]
- Song, J.; Qin, W.; Liu, Y.; Duan, Y.; Liu, J.; He, X.; Li, K.; Zhang, X.; Jiang, T.; Yu, C. Aberrant functional organization within and between resting-state networks in AD. PLoS ONE 2013, 8, e63727. [Google Scholar] [CrossRef]
- Kim, J.; Kim, Y.H.; Lee, J.H. Hippocampus–precuneus functional connectivity as an early sign of Alzheimer’s disease: A preliminary study using structural and functional magnetic resonance imaging data. Brain Res. 2013, 1495, 18–29. [Google Scholar] [CrossRef]
- Rémy, F.; Mirrashed, F.; Campbell, B.; Richter, W. Verbal episodic memory impairment in Alzheimer’s disease: A combined structural and functional MRI study. Neuroimage 2005, 25, 253–266. [Google Scholar] [CrossRef]
- He, X.; Qin, W.; Liu, Y.; Zhang, X.; Duan, Y.; Song, J.; Li, K.; Jiang, T.; Yu, C. Abnormal salience network in normal aging and in amnestic mild cognitive impairment and Alzheimer’s disease. Hum. Brain Mapp. 2014, 35, 3446–3464. [Google Scholar] [CrossRef]
- Folstein, M.F.; Folstein, S.E.; McHugh, P.R. “Mini-mental state”: A practical method for grading the cognitive state of patients for the clinician. J. Psychiatr. Res. 1975, 12, 189–198. [Google Scholar] [CrossRef]
- Mukaka, M.M. A guide to appropriate use of correlation coefficient in medical research. Malawi Med. J. 2012, 24, 69–71. [Google Scholar]
- Douaud, G.; Refsum, H.; de Jager, C.A.; Jacoby, R.; Nichols, T.E.; Smith, S.M.; Smith, A.D. Preventing Alzheimer’s disease-related gray matter atrophy by B-vitamin treatment. Proc. Natl. Acad. Sci. USA 2013, 110, 9523–9528. [Google Scholar] [CrossRef]
- Wang, Z.; Yan, C.; Zhao, C.; Qi, Z.; Zhou, W.; Lu, J.; He, Y.; Li, K. Spatial patterns of intrinsic brain activity in mild cognitive impairment and alzheimer’s disease: A resting-state functional MRI study. Hum. Brain Mapp. 2011, 32, 1720–1740. [Google Scholar] [CrossRef]
- Yang, W.; Lui, R.L.; Gao, J.H.; Chan, T.F.; Yau, S.T.; Sperling, R.A.; Huang, X. Independent component analysis-based classification of Alzheimer’s disease MRI data. J. Alzheimer’s Dis. 2011, 24, 775–783. [Google Scholar] [CrossRef]
- Mueller, E.; Moore, M.; Kerr, D.; Sexton, G.; Camicioli, R.; Howieson, D.; Quinn, J.; Kaye, J.A. Brain volume preserved in healthy elderly through the eleventh decade. Neurology 1998, 51, 1555–1562. [Google Scholar] [CrossRef]
- de Jong, L.W.; van der Hiele, K.; Veer, I.M.; Houwing, J.; Westendorp, R.; Bollen, E.; de Bruin, P.W.; Middelkoop, H.; van Buchem, M.A.; van der Grond, J. Strongly reduced volumes of putamen and thalamus in Alzheimer’s disease: An MRI study. Brain 2008, 131, 3277–3285. [Google Scholar] [CrossRef]







| HC Subjects | AD Patients | p-Value | |
|---|---|---|---|
| Number of subjects | 36 (21 F/15 M) | 33 (18 F/15 M) | p > 0.99 |
| Age, years | 72.51 (±5.40) | 72.72 (±7.52) | p > 0.05 |
| MMSE | 26.6667 (±1.36) | 22.6667 (±2.45) | p = 2.828 |
| Region Number | Location | p-Value |
|---|---|---|
| 1 | Precentral L | 0.0259 |
| 2 | Precentral R | 0.0093 |
| 4 | Frontal Sup R | 0.0275 |
| 5 | FrontlSupOrbL | 0.0275 |
| 8 | Frontl Mid R | 0.0371 |
| 11 | Frontl InfOperL | 0.0061 |
| 12 | Frontl Inf Oper R | 0.000631 |
| 14 | Frontl Inf TriR | 0.0251 |
| 17 | Rolandic Oper L | 0.0011 |
| 29 | Insula L | 0.013 |
| 30 | Insular R | 0.00e-34 |
| 37 | Hippocampus L | 0.0087 |
| 43 | Calcarine L | 0.045 |
| 44 | Calcarine R | 0.0361 |
| 47 | Lingual L | 0.0214 |
| 48 | Lingual R | 0.0123 |
| 50 | Occipital Sup R | 0.0468 |
| 56 | Fusiform R | 0.0054 |
| 57 | Postcentral L | 0.0251 |
| 58 | Postcentral R | 0.0063 |
| 59 | Parietal SupL | 0.0495 |
| 60 | Parietal Sup R | 0.0315 |
| 61 | Parietal Inf L | 0.0284 |
| 62 | Parietal Inf R | 0.0093 |
| 63 | Supramarginal L | 0.0160 |
| 64 | Supramarginal R | 0.0115 |
| 65 | Angular L | 0.0166 |
| 66 | Angular R | 0.009 |
| 67 | Precuneus L | 0.010 |
| 68 | Precuneus R | 0.0131 |
| 73 | Putamen L | 0.0442 |
| 75 | Pallidum L | 0.0040 |
| 76 | Pallidum R | 0.0394 |
| 82 | Temporal Sup R | 0.0023 |
| Region Number | Location | p-Value | |
|---|---|---|---|
| 11 | Frontl Inf Oper L | 0.2460 | 0.0416 |
| 12 | Frontl Inf Oper R | 0.27533 | 0.0221 |
| 17 | Rolandic Oper L | 0.2618 | 0.0298 |
| 18 | Rolandic Oper R | 0.3453 | 0.0037 |
| 29 | Insula L | 0.2455 | 0.0421 |
| 37 | Hippocampus L | 0.2783 | 0.0206 |
| 67 | Precuneus L | 0.261 | 0.0309 |
| 73 | Putamen L | 0.2601 | 0.0309 |
| 75 | Pallidum L | 0.2632 | 0.0289 |
| ROI—Number and Description | HC + AD | HC | AD | |||
|---|---|---|---|---|---|---|
| p-Value | p-Value | p-Value | ||||
| 1 Precentral L | 0.2417 | 0.0457 | 0.2981 | 0.0778 | 0.1340 | 0.4556 |
| 7 Frontal Mid L | 0.2054 | 0.0904 | 0.0996 | 0.5619 | 0.3663 | 0.0367 |
| 12 Frontl Inf Oper R | 0.2327 | 0.0545 | 0.0965 | 0.5742 | 0.3767 | 0.0314 |
| 19 Supp Motor Area L | 0.2435 | 0.0440 | 0.3629 | 0.0175 | 0.0775 | 0.6669 |
| 20 Supp Motor Area R | 0.3107 | 0.0096 | 0.3959 | 0.0175 | 0.1942 | 0.2777 |
| 37 L Hippocampus | 0.4014 | 0.0213 | −0.0337 | 0.8450 | 0.4014 | 0.0213 |
| 43 Calcarine L | 0.1828 | 0.1326 | 0.4597 | 0.0052 | −0.1334 | 0.4578 |
| 45 Cuneus L | 0.2578 | 0.0327 | 0.4301 | 0.0094 | 0.0869 | 0.6294 |
| 46 Cuneus R | 0.2178 | 0.0723 | 0.4461 | 0.0069 | −0.0338 | 0.8519 |
| 49 Occipital Sup L | 0.2102 | 0.0831 | 0.4417 | 0.0075 | −0.0097 | 0.9578 |
| 50 Occipital Sup R | 0.2337 | 0.0535 | 0.4571 | 0.0055 | −0.0267 | 0.8826 |
| 51 Occipital Mid L | 0.2162 | 0.0754 | 0.4309 | 0.0092 | −0.0331 | 0.8548 |
| 65 Angular L | 0.1127 | 0.3558 | 0.3514 | 0.0362 | −0.0575 | -0.7500 |
| 66 Angular R | 0.1859 | 0.0464 | 0.2762 | 0.1031 | 0.1390 | 0.4388 |
| 69 Paracentral Lobule L | 0.2887 | 0.0164 | 0.2046 | 0.2303 | 0.3225 | 0.0676 |
| 74 Putamen R | 0.2575 | 0.0330 | 0.3040 | 0.0718 | 0.1922 | 0.2827 |
| 79 Heschl L | 0.2288 | 0.0588 | 0.1292 | 0.4511 | 0.3606 | 0.0399 |
| Methods | Accuracy (%) | Sensibility (%) | Specificity (%) |
|---|---|---|---|
| fMRI | 62.32 | 66.66 | 58.33 |
| MRI | 50.72 | 30.02 | 69.44 |
| MRI + fMRI + MMSE | 95.65 | 93.39 | 97.22 |
© 2019 by the authors. Licensee MDPI, Basel, Switzerland. This article is an open access article distributed under the terms and conditions of the Creative Commons Attribution (CC BY) license (http://creativecommons.org/licenses/by/4.0/).
Share and Cite
Dachena, C.; Casu, S.; Fanti, A.; Lodi, M.B.; Mazzarella, G. Combined Use of MRI, fMRIand Cognitive Data for Alzheimer’s Disease: Preliminary Results. Appl. Sci. 2019, 9, 3156. https://doi.org/10.3390/app9153156
Dachena C, Casu S, Fanti A, Lodi MB, Mazzarella G. Combined Use of MRI, fMRIand Cognitive Data for Alzheimer’s Disease: Preliminary Results. Applied Sciences. 2019; 9(15):3156. https://doi.org/10.3390/app9153156
Chicago/Turabian StyleDachena, Chiara, Sergio Casu, Alessandro Fanti, Matteo Bruno Lodi, and Giuseppe Mazzarella. 2019. "Combined Use of MRI, fMRIand Cognitive Data for Alzheimer’s Disease: Preliminary Results" Applied Sciences 9, no. 15: 3156. https://doi.org/10.3390/app9153156
APA StyleDachena, C., Casu, S., Fanti, A., Lodi, M. B., & Mazzarella, G. (2019). Combined Use of MRI, fMRIand Cognitive Data for Alzheimer’s Disease: Preliminary Results. Applied Sciences, 9(15), 3156. https://doi.org/10.3390/app9153156

