Abstract
Eco-friendly pervious concretes containing fly ash (FA) and blast furnace slag (BFS) were prepared in this study. The compressive strength and hydraulic behaviors were investigated to explore the effect of replacement content of FA and BFS. Rheological tests of cementitious pastes were first conducted and the results showed that FA could increase the apparent viscosity and BFS did not change the rheology performance. Compared to traditional concretes, FA and BFS both decreased the compressive strength of pervious concrete at 28 d, while pervious concrete incorporated with FA and/or BFS presented comparable strength at 60 d. Compared to the control concrete mix, at the same replacement rate, FA changed the compressive strength more obviously than BFS. FA and BFS both decreased the effective porosity and permeability coefficient of pervious concrete. However, when the replacement rate (30%) was the same, concretes with ternary blends presented obviously larger porosity than binary blends. The relationships between porosity and permeability, and strength were also established.
1. Introduction
Pervious concrete is a special type of Portland cement concrete composed of rationally graded coarse aggregate and cementitious materials which provide the mixture with an interconnected macro-pore internal structure [1,2]. Because of the structural characteristics, many benefits can be achieved by using pervious concrete, including quick water drainage, tire-pavement interaction noise abatement and reduction in urban heat island effect [2,3,4,5,6,7]. Because of these benefits, pervious concrete is widely used nowadays and it is attracting extensive concerns. In the US, pervious concrete pavements are considered as a structural infiltration best management practice (BMP) [8,9].
Generally, the porosity of a typical pervious concrete varies in the range of 15–25% [10] and the water permeability coefficient is about 2–6 mm/s [11]. The aggregate gradation for the pervious concrete typically consists of single-sized coarse aggregates. Cementitious material is used to coat and bond the aggregates together. Right now, there is no standard which gives the optimal cement content in the pervious concrete design. Cement content in literatures varied from 150 [12] to 500 kg/m [13] according to different design purposes. The cementitious material coating thickness has been found to be a very important factor in assessing the structural and hydrological performances of pervious concrete [14,15]. An increase in the cement content generally increases the paste thickness around the aggregate, which may lead to a higher strength of pervious concrete but will defeat the purpose of using pervious concrete pavements in providing better permeability.
It has been reported that 4200 million metric tons of cement was produced worldwide [16] in 2016. The production of cement increases the carbon dioxide emissions, which presents a serious environmental burden. Using alternative materials (fly ash, blast furnace slag, et al.) to partially replace the cement is a sustainable approach to reduce the carbon dioxide emissions and is more environment-friendly.
Fly ash (FA) is a by-product of the process of coal burning. The fly ash cannot be directly released into the atmosphere because of the serious air pollution. All around the world, fly ash is generally stored at coal power plants or placed in landfills, which occupies a great quantity of soils and induces soil contamination. Therefore, the comprehensive utilization of fly ash is imperative. Fly ash generally includes substantial amounts of silicon dioxide (SiO), aluminum oxide (AlO), calcium oxide (CaO), etc., which makes it possible to be used in the concrete preparation because these components also extensively exist in cement. Blast furnace slag (BFS) is a by-product of iron and steel-making. The disposal of BFS has become a thorny and expensive process as a result of the increasing strictness of environmental regulations. BFS generally consists primarily of silicates, alumina-silicates, and calcium-alumina-silicates. Nowadays, the utilizations of FA and BFS in the cement concrete industry bring lots of environmental and economic benefits.
The use of FA and BFS in ordinary concretes has been confirmed as a sustainable way to provide better or comparable properties of concrete in some aspects. FA and BFS were reported to increase the early-term thermal cracking resistance because of the lower hydration speed in comparison to ordinary Portland cement [17]. On the other hand, the slow hydration speed leads to a slow strength increase, so FA and BFS generally have a negative effect on the short-term strength development, while FA and BFS could both slightly increase the long-term strength [18]. Generally, FA and BFS which are used to partially replace the cement are very fine and show glassy texture. The small size and glassy texture of FA and BFS make it possible to reduce the water consumption to reach the required workability of the fresh concrete [17,19,20]. As to the durability, FA and BFS could both improve the resistance to diffusion of chloride ions, which may be due to the fact that FA and BFS improve the pore size distribution and more C-S-H gels are formed to adsorb more chloride ions and block diffusing path [21,22]. As far as the pervious concrete is concerned, replacement of cement by fly ash (≤20%) reduced the compressive strength and the total porosity of pervious concrete [23]. Compressive strength of pervious concrete with cementless binder (FA, BFS) decreased in comparison to the ordinary pervious concrete, but the difference was insignificant [24]. FA and BFS were also found to reduce the relative dynamic modulus of pervious concrete [24]. The aforementioned literature review shows that although the utilization of FA and BFS in pervious concrete is becoming a concern, the properties of pervious concrete containing FA and/or BFS are still very limited, especially in the study of the coupling effect of FA and BFS on various properties of pervious concrete.
2. Objective
The primary objective of this study was to evaluate the possible use of FA and BFS in pervious concrete and investigate the effects of FA and BFS on the mechanical and hydraulic properties of pervious concrete. Binary blends and ternary blends of cementitious materials were prepared. The rheology tests were first conducted to obtain the rheological behavior of cementitious pastes. Response of the mechanical and hydraulic performance to the content of FA and BFS was further studied.
3. Experimental Program
3.1. Materials
The materials for the concrete in the paper are as follows:
- Cement: P.O 42.5 cement was selected, which was from Hunan Pingtang Cement Plant in Hunan, China. P.O 42.5 means ordinary Portland cement and the 28-day cement mortar strength is 42.5 MPa when the water-cement ratio is 0.45. The chemical components of the cement is shown in Table 1.
Table 1. Chemical components. - Aggregate: single-sized gravel aggregates with the size in 16–19 mm.
- The FA and BFS used in this study came from Xiangtan Power Plant in Hunan, China. The chemical components of FA and BFS are shown in Table 1.
3.2. Sample Preparation
The specimens for mechanical and hydraulic tests were prepared with the standard rodding efforts in accordance with the Chinese specification GB/T 50081-2002 [25] in two layers. Fresh concretes were prepared based on the design ratio in the later parts. Cube samples were prepared for mechanical test with the size mm, while cylinder samples were made for hydraulic test with the size mm. Moulds with the corresponding size were selected to make the samples. After moulding, waterproof membranes were used to cover the surface of the concrete until the specimens were demolded 24 h after being casted. The specimens were cured at an air temperature C and at a relative humidity of 95%. The relative humidity was provided and controlled by a humidifier. The mechanical tests were performed after 28 d and 60 d curing. The hydraulic-performance tests, such as permeability and effective porosity, were conducted after 28 d curing. For each type of test, triplicate specimens were used.
3.3. Test Methods
3.3.1. Rheology Test
All cementitious materials were dry blended prior to wet mixing. RS/SST rheology tester was used to obtain the rheological properties of cementitious pastes. The length and diameter of the spindle is 8 cm and 4 cm, respectively. The size of the cylinder containing cementitious materials is cm. The amount of cementitious material and the rheological behavior affect the hydraulic and mechanical properties of pervious concrete [26]. Viscosity and shear stress of cementitious materials were recorded when the shear rate changed from 0 to 100 s. The mix proportions of cementitious pastes can be seen in Table 2. There are no fine aggregates in M1 to M6 in Table 2. The rheology test was performed immediately after the preparation of the cementitious paste.
Table 2.
Cementitious pastes mix.
3.3.2. Hydraulic Tests
The effective porosity was determined by testing the volume of water displaced by samples according to ASTM C1754/1754M-12 [27]. The sample was firstly oven dried at 110 C for h. Specimens after drying should not be used to determine other properties. Hydraulic tests were conducted after the specimen cooled at room temperature for 1 to 3 h. Then, specimens were immersed in water for up to 24 h. By measuring the difference in the water level before and after immersing the sample, the volume of water repelled by the sample () can be readily determined. Subtracting from the sample bulk volume () yields the volume of open pores. The percentage of an effective porosity was expressed as: .
Water permeability of the pervious concrete was measured using the constant head method similar with ASTM D2434 [28], which is shown in Figure 1. To protect from the water leakage between sample and test device, the cylindrical specimen was wrapped with a rubber tube and tightened by circular clamps. Water was allowed into the specimen to obtain a steady state flow. The time in seconds (t) required for the water in the tuber (Q) to drop from the top to bottom was recorded. The coefficient of water permeability (k) in terms of centimeters per second (cm/s) was calculated using Darcy’s Law as shown in Equation (1).
where k is coefficient of permeability; Q is quantity of water discharged; L is the height of the specimen; H is the distance between two water surface; A is the cross-section area of the specimen; t is time in seconds.
Figure 1.
Constant-head permeability test.
3.3.3. Mechanical Tests
In the study, strength tests were conducted on pervious concrete specimens by following the testing procedures specified in GB/T 50081-2002 [25]. Compressive strength tests were performed on the specimens at the 28 and 60 curing days, respectively.
To determine the optimal amount of cement, trail samples with different amounts of cementitious material were prepared first. It should be noted that there were no FA and BFS in the trail samples. The mix proportions and the 28 d compressive strengths, permeability coefficients and effective porosities are shown in Table 3. The aggregate content was 1450 kg/m. Aggregate size was in the range 16–19 mm. Water to cementitious material ratio was kept as 0.35. As expected, as the content of cement increased, the compressive strength increased and the permeability coefficient decreased. In this study, the mass amount of cement was determined as 280 kg/m by considering both the compressive strength and permeability coefficient.
Table 3.
Performance of pervious concrete incorporating different amounts of cement.
To evaluate the effects of FA and BFS on the mechanical and hydraulic properties, concretes with binary and ternary blends of Portland cement, FA and BFS were prepared. It should be noted that the total amount of cementitious material is 280 kg/m, which was determined in Table 3. The mix proportions are shown in Table 4. It should be noted that the aggregate content and the water-cement ratio were the same as in Table 3.
Table 4.
Mix proportions.
4. Results and Discussions
4.1. Rheology Test
Viscosity and shear stress under different shear rates were obtained and are shown in Figure 2 and Figure 3. Viscosities of all cementitious pastes showed the general decreasing trend with the increase of shear rate from 0 to 100 s. However, it can be observed that the viscosity increased in shear rate between 10 and 40 s for 10% FA-20% BFS, 15% FA-15% BFS and 20% FA-10% BFS. There are two main causes of the humps. First, the initial inadequate mixing in the paste preparation caused the increase of the apparent viscosity. As the shear rate increased, cementitious paste became relatively homogeneous. Second, particle migration may occur in the rheology tests because of the difference in shear gradient [29], which may cause the abnormal change of viscosity in certain range of shear rate. After the shear rate was larger than 80 s, viscosities reached stable values. It can be clearly observed that the incorporation of FA significantly increased the apparent viscosity. While the sample with 30% BFS did not show viscosity increase after the shear rate was larger than 40 s.
Figure 2.
Viscosity.
Figure 3.
Shear stress.
Non-Newtonian curves between the shear stress and shear rate as shown in Figure 3 was used to interpret the relationship between shear rate and the shear stress. The curves were fitted using a least square function corresponding to the Bingham model as shown in Equation (2) [30].
where is the shear stress, is the yield stress, is the plastic viscosity and is the shear rate. All the pastes showed an essentially linear proportionality between the shear stress and shear rate for the range of shear rates selected. Replicated measurements on three separately prepared samples of cementitious paste indicated coefficients of variation of 16% and 9% for yield stress and plastic viscosity, respectively.
From Figure 2, it can be observed that the high shear rate reduced the viscosity of all mixtures. At low shear rates (<40 s), viscosities of pastes with binary and ternary blends of FA and BFS were larger than the control paste. At large shear rates (≥40 s), paste containing BFS presented the same viscosity as the control mix, while the incorporation of FA significantly increased both the apparent viscosity and shear stress. Research [31] showed that particle size and content of FA significantly affects the rheology behavior of cementitious pastes. It is the particle morphological difference between FA and BFS that led to the different rheology behavior of the six mixtures. A reconciling effect could be found by combining the effects of FA and BFS at all shear rates when the cementitious pastes were made with ternary blends of FA and BFS. In Figure 3, shear rates were plotted along with shear stresses. Linear regression was conducted, and the fitted curves showed all the mixtures belonged to the Bingham model. It can be observed that there was no obvious difference between the control mix and the mix with 30% BFS.
4.2. Compressive Strength
The cubic compressive strength of all the mixtures were shown in Figure 4. It can be clearly observed that the incorporation of FA and BFS had an adverse effect on the compressive strength at 28 d, which was caused by the fact that the hydration speed of FA and BFS was slower than cement [32]. In harden concretes, it is the C-S-H providing the mechanical properties [17]. C-S-H is the reaction product of SiO and Ca(OH). The formation of C-S-H was still in progress and the strength was still developing at 28 d for concrete incorporated FA and/or BFS [32]. As the content of FA or BFS increased, the compressive strength decreased. Compared to BFS, concrete with the same content of FA showed a lower compressive strength, which was caused by the different chemical components in FA and BFS. In Table 1, compared to FA, BFS contained a larger content of calcium oxide (CaO), which provided a more suitable alkaline environment for the pozzolanic reaction, so FA showed more adverse effect on the 28 d strength than BFS. However, Figure 4a shows that A6 (10%FA-20%BFS) presented a slightly larger strength compared to A5 (30% BFS). The increase is about 1.3%. Compared to the standard deviation of A5, the increase can be negligible. On the other hand, some uncontrollable test errors may also lead to this result. At 60 d, there existed a slight increase in the compressive strength when FA and/or BFS were added. Linear regression (Figure 4b) was conducted to reveal the relationship between the cementitious components and the compressive strength, which is shown as Equation (3). In Equation (3), it can also be observed that FA and BFS play a negative effect at 28 d, while FA and BFS could slightly increase the compressive strength at 60 d. In contrast with BFS, the larger coefficients of FA indicate that FA plays a more significant role in affecting the compressive strength.
where S is the compressive strength; is the fraction of FA; is the fraction of BFS.
Figure 4.
Compressive strength.
For ordinary Portland cement concrete (OPC), strength at 28 d is a commonly used parameter to evaluate the concrete mechanical properties. Many standards and guidelines [17,33,34] are established based on this parameter. Research from ACI Committee 209 shows that strength of OPC at 28 d is about 85% of its final strength at moist-curing condition. For pervious concrete, because of its high porosity, the long-term strength development is different from OPC. For concrete incorporating mineral additives (FA, BFS, etc.), the strength development closely relates to the properties of the mineral additives, such as components, particle morphology, etc. The effect of FA and/or BFS on the long-term strength of pervious concrete is out of the scope of this study and will be explored in the future study.
4.3. Hydraulic Performance
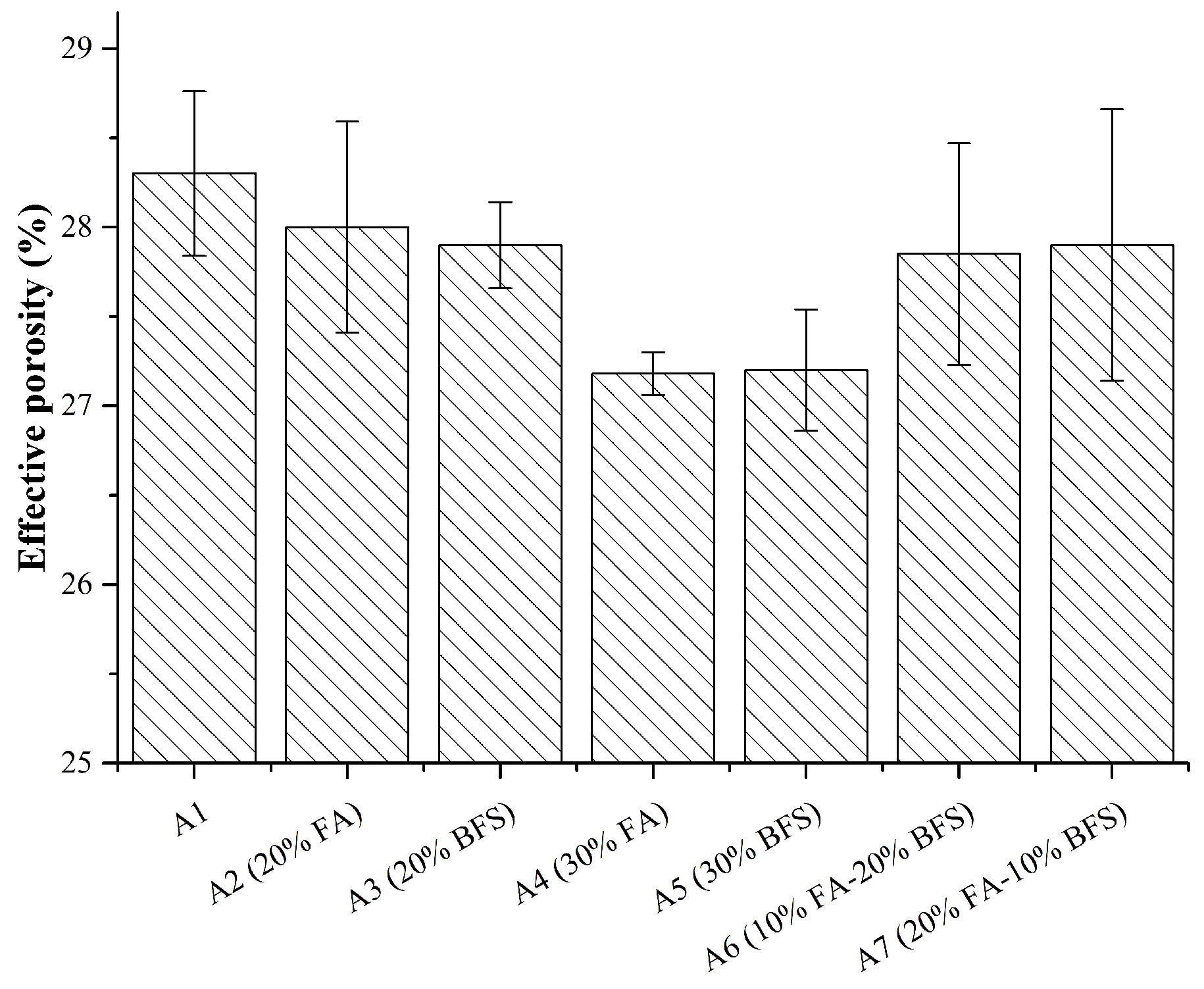
Figure 5 shows the effective porosity of the seven concrete mixtures. At the age of 28 days, the porosities of concrete containing FA and/or BFS are lower than the control mixture. The addition, the fine particles of FA and BFS causes segmentation of large pores and increases nucleation sites for precipitation of hydration products in cement paste [35]. On the other hand, considering the binary blends, concretes with the same percentage of FA or BFS replacement showed nearly the same effective porosity. With the content increase of FA or BFS, the effective porosity decreased. However, when the replacement rate was 30% (A4, A5, A6, and A7), concretes with ternary blends presented obviously larger effective porosity. This may be caused by the interaction between FA and BFS. On the other hand, the difference of absorption capacity among cement, FA and BFS may also cause the porosity difference, since the published results already verified that the absorption capacity affects the porosity [36,37]. In this study, the effect of absorption capacity on the effective porosity was beyond the limit of this study, and further study on this point will be conducted in the future.
Figure 5.
Effective porosity.
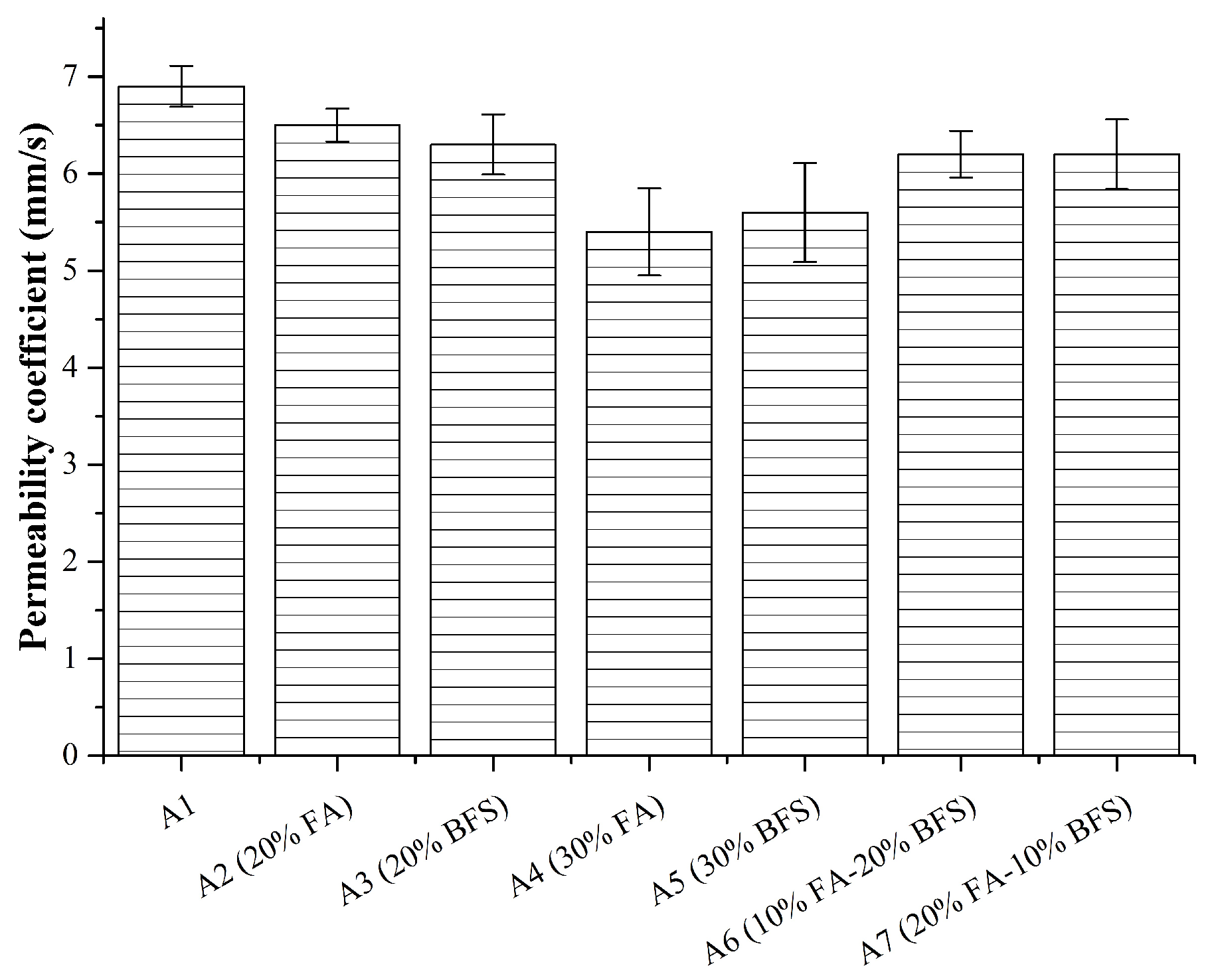
Figure 6 gives the permeability coefficients of all concrete mixtures. Similar to effective porosity, FA and BFS both decreased the permeability and as the replacement of FA and BFS increased, the reduction in permeability was larger. Compared to FA, the permeability of concrete containing BFS was lower considering the same replacement content.
Figure 6.
Permeability coefficient.
As the effective porosity increases, the permeability increases correspondingly [38,39]. Figure 7 shows the relationship between effective porosity and permeability coefficient. It should be noted that data in Table 3 were also included in Figure 7. From these results it can be concluded that pervious concrete samples with higher average porosity also had a higher permeability. Neithalath, et al. [1] set up an exponential equation to represent the relationship between porosity and the permeability coefficient. However, permeability of a pervious concrete is also affected by many other factors, such as the pore structure, et al. In this study, an exponential equation was generated to present the relationship between the permeability coefficient and effective porosity. Besides, although the addition of FA and/or BFS decreased the permeability and porosity, the permeability coefficient and effective porosity were still in the general range [10,11].
Figure 7.
Effective porosity vs. permeability.
The presence of pores can adversely affect the material’s mechanical properties such as failure strength, elasticity and creep strains [40]. Besides the request in hydraulic performance, pervious concrete also needs to be able to withstand some traffic loads. Quantitatively set up the relationship between porosity and compressive strength of pervious concrete is important in characterizing the concrete behaviors and in the mix design of pervious concrete. Figure 8 shows the relationship between the effective porosity and the compressive strength of pervious concrete in Table 4. It can be clearly observed that as the porosity increased, the compressive strength decreased.
Figure 8.
Effective porosity vs. strength.
For simple homogeneous materials, the relationship between porosity and strength can be expressed as the following equation [17]:
where S is the strength of the material which has a given porosity p; is the intrinsic strength at zero porosity; k is a constant parameter.
In this study, regression was conducted using the same procedure. The fitting equation was shown in Figure 8. shows that the equation could accurately represent the relationship between the porosity and the strength.
5. Conclusions
In this study, eco-friendly pervious concrete containing FA and BFS was prepared to investigate the mechanical and hydraulic behaviors. Rheological tests were first conducted to explore the effect of FA and BFS on the behaviors of the fresh pastes. Compressive strength and permeability coefficient were selected as the indicators in the analysis of the mechanical and hydraulic performance. Based on the laboratory tests, the following conclusions can be drawn.
- FA increased the apparent viscosity, while BFS was not able to change the rheology performance significantly. Rheology performance of cementitious pastes containing FA and/or BFS belonged to the Bingham model.
- FA and BFS both decreased the compressive strength of pervious concrete at 28 d, while FA and/or BFS could slightly increase the compressive strength at 60 d. Compared to BFS, FA plays a more significant role in the compressive strength.
- The effective porosity and permeability coefficient both decreased with the incorporation of FA and/or BFS in the pervious concrete. As the content of FA or BFS increased, the reduction was larger. However, when the replacement rate was 30%, concretes with ternary blends presented larger porosity than binary blends.
- Permeability coefficient and compressive strength both decreased with the increase of effective porosity.
- The use of FA and BFS is a sustainable approach in pervious concrete that considers both the mechanical properties and hydraulic properties.
Author Contributions
For this paper, H.P. formulated research ideas and conducted lab test, result analysis and manuscript writing. J.Y. and W.S. made some revisions to the manuscript.
Funding
This research was funded by the Key Project of Hunan Department of Science and Technology (Grant No. 2013FJ2002).
Conflicts of Interest
The authors declare no conflict of interest.
References
- Neithalath, N.; Sumanasooriya, M.S.; Deo, O. Characterizing pore volume, sizes, and connectivity in pervious concretes for permeability prediction. Mater. Charact. 2010, 61, 802–813. [Google Scholar] [CrossRef]
- Huang, B.; Wu, H.; Shu, X.; Burdette, E.G. Laboratory evaluation of permeability and strength of polymer-modified pervious concrete. Constr. Build. Mater. 2010, 24, 818–823. [Google Scholar] [CrossRef]
- Haselbach, L.; Boyer, M.; Kevern, J.; Schaefer, V. Cyclic heat island impacts on traditional versus pervious concrete pavement systems. Transp. Res. Rec. J. Transp. Res. Board 2011, 107–115. [Google Scholar] [CrossRef]
- Pratt, C.; Newman, A.; Bond, P. Mineral oil bio-degradation within a permeable pavement: Long term observations. Water Sci. Technol. 1999, 39, 103–109. [Google Scholar] [CrossRef]
- United States Environmental Protection Agency. Stormwater Technology Fact Sheet: Porous Pavement; USEPA: Washington, DC, USA, 1999.
- Wu, H.; Liu, Z.; Yang, Y.; Bai, S. Characterizing Thermal Impacts of Pavement Materials on Urban Heat Island (UHI) Effect. DEStech Trans. Eng. Technol. Res. 2016. [Google Scholar] [CrossRef]
- Wu, H.; Liu, Z.; Sun, B.; Yin, J. Experimental investigation on freeze–thaw durability of Portland cement pervious concrete (PCPC). Constr. Build. Mater. 2016, 117, 63–71. [Google Scholar] [CrossRef]
- Obla, K.H. Pervious concrete for sustainable development. In Proceedings of the Recent Advances in Concrete Technology, Washington, DC, USA, 19–21 September 2007; pp. 1–6. [Google Scholar]
- Joshaghani, A.; Ramezanianpour, A.A.; Ataei, O.; Golroo, A. Optimizing pervious concrete pavement mixture design by using the Taguchi method. Constr. Build. Mater. 2015, 101, 317–325. [Google Scholar] [CrossRef]
- Tennis, P.D.; Leming, M.L.; Akers, D.J. Pervious Concrete Pavements; Number PCA Serial No. 2828; Portland ceMent Association: Skokie, IL, USA, 2004. [Google Scholar]
- Schaefer, V.R.; Wang, K.; Suleiman, M.T.; Kevern, J.T. Mix Design Development for Pervious Concrete in Cold Weather Climates; Technical Report; National Concrete Pavement Technology Center: Ames, IA, USA, 2006. [Google Scholar]
- Ibrahim, A.; Mahmoud, E.; Yamin, M.; Patibandla, V.C. Experimental study on Portland cement pervious concrete mechanical and hydrological properties. Constr. Build. Mater. 2014, 50, 524–529. [Google Scholar] [CrossRef]
- Lim, E.; Tan, K.H.; Fwa, T.F. Effect of mix proportion on strength and permeability of pervious concrete for use in pavement. J. East. Asia Soc. Transp. Stud. 2013, 10, 1565–1575. [Google Scholar]
- Deo, O. Influence of Material Structure on the Structural and Environmental Properties of Pervious Concretes. Ph.D. Thesis, Clarkson University, Potsdam, NY, USA, 2011. [Google Scholar]
- Torres, A.; Hu, J.; Ramos, A. The effect of the cementitious paste thickness on the performance of pervious concrete. Constr. Build. Mater. 2015, 95, 850–859. [Google Scholar] [CrossRef]
- Statista. Cement Production Globally and in the U.S. from 2010 to 2017. Available online: www.statista.com/statistics/219343/cement-production-worldwide/ (accessed on 24 May 2018).
- Mehta, P.K. Concrete: Structure, Properties and Materials; Prentice-Hall: Englewood Cliffs, NJ, USA, 1986. [Google Scholar]
- Li, G.; Zhao, X. Properties of concrete incorporating fly ash and ground granulated blast-furnace slag. Cem. Concr. Compos. 2003, 25, 293–299. [Google Scholar] [CrossRef]
- Deb, P.S.; Nath, P.; Sarker, P.K. The effects of ground granulated blast-furnace slag blending with fly ash and activator content on the workability and strength properties of geopolymer concrete cured at ambient temperature. Mater. Des. (1980–2015) 2014, 62, 32–39. [Google Scholar] [CrossRef]
- Song, W.; Yin, J. Hybrid effect evaluation of steel fiber and carbon fiber on the performance of the fiber reinforced concrete. Materials 2016, 9, 704. [Google Scholar] [CrossRef] [PubMed]
- Leng, F.; Feng, N.; Lu, X. An experimental study on the properties of resistance to diffusion of chloride ions of fly ash and blast furnace slag concrete. Cem. Concr. Res. 2000, 30, 989–992. [Google Scholar] [CrossRef]
- Glinicki, M.A.; Jóźwiak-Niedźwiedzka, D.; Gibas, K.; Dąbrowski, M. Influence of blended cements with Calcareous fly ash on chloride ion migration and carbonation resistance of concrete for durable structures. Materials 2016, 9, 18. [Google Scholar] [CrossRef] [PubMed]
- Muthaiyan, U.M.; Thirumalai, S. Studies on the properties of pervious fly ash–cement concrete as a pavement material. Cogent Eng. 2017, 4, 1318802. [Google Scholar] [CrossRef]
- Lee, J.W.; Jang, Y.I.; Park, W.S.; Kim, S.W. A study on mechanical properties of porous concrete using cementless binder. Int. J. Concr. Struct. Mater. 2016, 10, 527–537. [Google Scholar] [CrossRef]
- She, B.; Ming, Y. GT/B 50081-2002: Standard for Test Method of Mechanical Properties in Ordinary Concrete; Standard; Ministry of Housing and Urban-Rural Development of China: Beijing, China, 2002.
- Chindaprasirt, P.; Hatanaka, S.; Chareerat, T.; Mishima, N.; Yuasa, Y. Cement paste characteristics and porous concrete properties. Constr. Build. Mater. 2008, 22, 894–901. [Google Scholar] [CrossRef]
- ASTM C1754/C1754M-12: Standard Test Method for Density and Void Content of Hardened Pervious Concrete; Standard; ASTM International: West Conshohocken, PA, USA, 2012.
- ASTM D2434: Standard Test Method for Permeability of Granular Soils (Constant Head); Standard; ASTM International: West Conshohocken, PA, USA, 2006.
- Wallevik, J.E. Rheology of Particle Suspensions: Fresh Concrete, Mortar and cEment Paste with Various Types of Lignosulfonates; Fakultet for Ingeniørvitenskap og Teknologi: Trondheim, Norway, 2003. [Google Scholar]
- Bingham, E.C. Fluidity and Plasticity; McGraw-Hill: Columbus, OH, USA, 1922; Volume 2. [Google Scholar]
- Bentz, D.P.; Ferraris, C.F.; Galler, M.A.; Hansen, A.S.; Guynn, J.M. Influence of particle size distributions on yield stress and viscosity of cement–fly ash pastes. Cem. Concr. Res. 2012, 42, 404–409. [Google Scholar] [CrossRef]
- Monteiro, P. Concrete: Microstructure, Properties, and Materials; McGraw-Hill Publishing: Columbus, OH, USA, 2006. [Google Scholar]
- Transport of the People’s Republic of China. Code for Design of Highway Reinforced Concrete and Prestressed Concrete Bridges and Culverts; China Communications Press: Beijing, China, 2004.
- CEB-FIP. CEB-FIP Model Code 1990: Design Code; Thomas Telford: London, UK, 1993. [Google Scholar]
- Mehta, P. Studies on the mechanisms by which condensed silica fume improves the properties of concrete: Durability aspects. In Proceedings of the International Workshop on Condensed Silica Fume in Concrete, Ottawa, ON, Canada, 1987; Volume 17. [Google Scholar]
- Anastasiou, E.; Filikas, K.G.; Stefanidou, M. Utilization of fine recycled aggregates in concrete with fly ash and steel slag. Constr. Build. Mater. 2014, 50, 154–161. [Google Scholar] [CrossRef]
- Gencel, O.; Koksal, F.; Ozel, C.; Brostow, W. Combined effects of fly ash and waste ferrochromium on properties of concrete. Constr. Build. Mater. 2012, 29, 633–640. [Google Scholar] [CrossRef]
- Haselbach, L.M.; Valavala, S.; Montes, F. Permeability predictions for sand-clogged Portland cement pervious concrete pavement systems. J. Environ. Manag. 2006, 81, 42–49. [Google Scholar] [CrossRef] [PubMed]
- Montes, F.; Haselbach, L. Measuring hydraulic conductivity in pervious concrete. Environ. Eng. Sci. 2006, 23, 960–969. [Google Scholar] [CrossRef]
- Lian, C.; Zhuge, Y.; Beecham, S. The relationship between porosity and strength for porous concrete. Constr. Build. Mater. 2011, 25, 4294–4298. [Google Scholar] [CrossRef]
© 2018 by the authors. Licensee MDPI, Basel, Switzerland. This article is an open access article distributed under the terms and conditions of the Creative Commons Attribution (CC BY) license (http://creativecommons.org/licenses/by/4.0/).







