Study of the Electromagnetic Properties of Nano (MxZn1−x)Fe2O4 (M=Cu, Ni) as a Function of the Sintering Temperature
Abstract
:Featured Application
Abstract
1. Introduction
2. Experimental
2.1. Materials and Measuring Tools
2.2. Synthesis of [MxZn1−x]Fe2O4 (M=Cu or Ni)
3. Results and Discussion
3.1. The Influence of Different Cu and Ni Contents on the Crystal Phase of Ferrite
3.2. The Influence of Different Cu and Ni Contents on Magnetic Properties
3.3. The Effect of the Sintering Temperature on the Crystal Phase of [CuxZn1−x]Fe2O4 and [NixZn1−x]Fe2O4
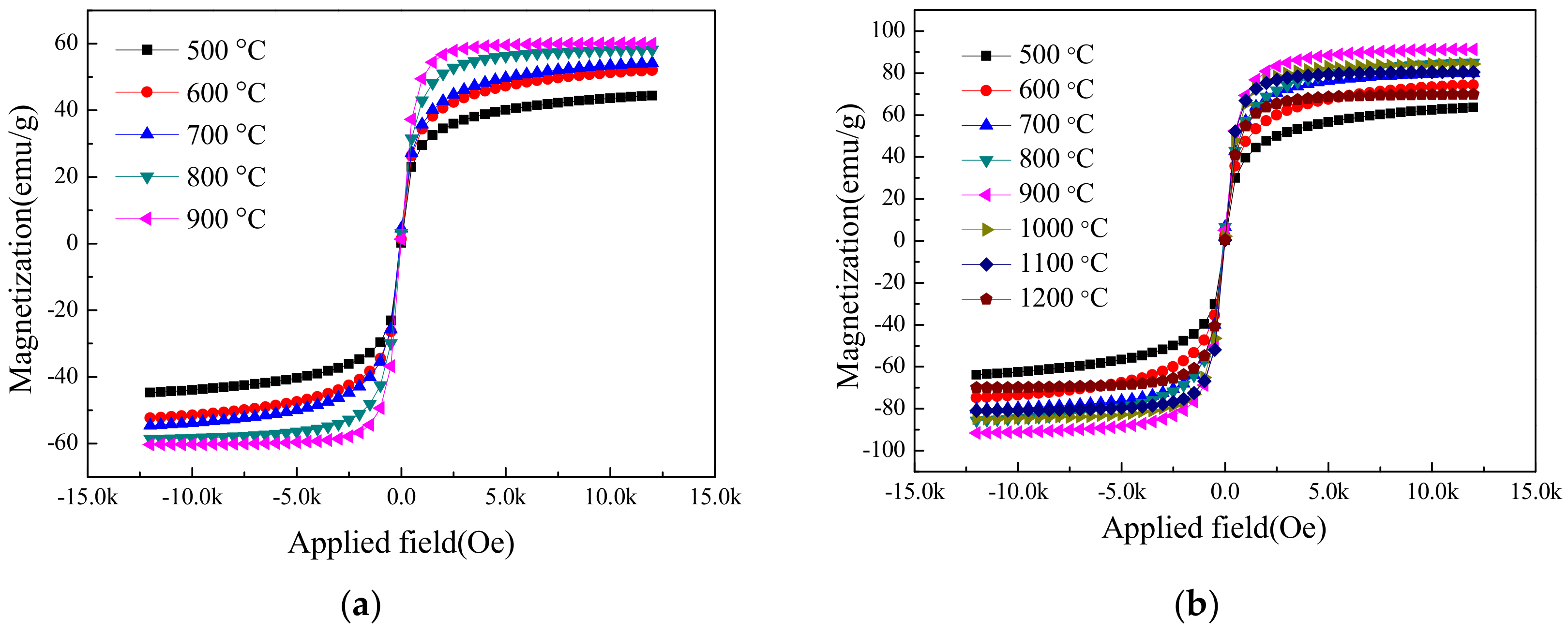
3.4. The Effect of Sintering Temperature on the Magnetism of [CuxZn1−x] Fe2O4, [NixZn1−x]Fe2O4 Ferrite
3.5. Surface Morphology Analysis of [CuZn]Fe2O4
3.6. Surface Morphology Analysis of [NixZn1−x]Fe2O4
3.7. The Influence on the Magnetic Properties of [NixZn1−x]Fe2O4 When Cladded with TiO2
4. Conclusions
Acknowledgments
Author Contributions
Conflicts of Interest
References
- Smit, J.; Wijn, H.P.J. Ferrites; Philips Technical Library: Eindhoven, The Netherlands, 1959. [Google Scholar]
- Murdock, E.S.; Simmons, R.F.; Davidson, R. Roadmap for 10 Gbit/in2 Media: Challenges. IEEE Trans. Magn. 1992, 28, 3078–3083. [Google Scholar] [CrossRef]
- Standley, K.J. Oxide Magnetic Materials, 2nd ed.; Oxford University Press: Oxford, UK, 1972. [Google Scholar]
- Emad, M.M.E.; Mahmoud, M.M.; Abdel-Hady, E.A. In-Situ synthesis of Magnetic Mn-Zn Ferrite ceramic object by solid state reaction. J. Aust. Ceram. Soc. 2008, 44, 57–62. [Google Scholar]
- Zheng, Z.G.; Zhong, X.C.; Zhang, Y.H.; Yu, H.Y. Synthesis structure and magnetic properties of nanocrystalline ZnxMn1-xFe2O4 prepared by ball milling. J. Alloys Comp. 2008, 466, 377–382. [Google Scholar] [CrossRef]
- Ammad, Q.H. The influence of hafnia and impurities (CaO/SiO2) on the microstructure and magnetic properties of Mn-Zn ferrites. J. Cryst. Growth 2006, 286, 365–370. [Google Scholar]
- Upadhyay, C.; Verma, H.C.; Rath, C.; Sahu, K.K.; Anand, S.; Das, R.P.; Mishra, N.C. Mossbauer studies of nanosize Mn1-xZnxFe2O4. J. Alloys Comp. 2001, 326, 94–97. [Google Scholar] [CrossRef]
- Arulmurugan, R.; Vaidyanathan, G.; Sendhilnathan, S.; Jeyadevan, B. Mn-Zn ferrite nanoparticles for ferrofluid preparation: Study on thermal-magnetic properties. J. Magn. Magn. Mater. 2006, 298, 83–94. [Google Scholar] [CrossRef]
- Peng, X.; Peng, K.; Huang, J. Synthesis and magnetic properties of core-shell structured Finemet/Ni-Zn ferrite soft nanocomposites by co-precipitation. J. Alloys Comp. 2017, 691, 165–170. [Google Scholar] [CrossRef]
- Mane, D.R.; Patil, S.; Birajdar, D.D.; Kadam, A.B.; Shirsath, S.E.; Kadam, R.H. Sol-gel synthesis of Cr3+ substituted Li0.5Fe2.5O4:cation distribution, structural and magnetic properties. J. Mater. Chem. Phys. 2011, 126, 755–760. [Google Scholar] [CrossRef]
- Song, F.; Shen, X.; Liu, M.; Xiang, J. Preparation and magnetic properties of SrFe12O19/Ni0.5Zn0.5Fe2O4 nanocomposite ferrite microfibers via sol-gel process. J. Mater. Chem. Phys. 2011, 126, 791–796. [Google Scholar] [CrossRef]
- Ghoul, E.; Kraini, M.; Lemine, O.M.; Mir, L.E. Sol–gel synthesis, structural, optical and magnetic properties of Co-doped ZnO nanoparticles. J. Mater. Sci. Mater. Electron. 2015, 26, 2614–2621. [Google Scholar] [CrossRef]
- Pozo, G.L.; Silvetti, S.P.; Aguirre, M.C.; Condo, A.M. Synthesis and characterization of (NiZnFe2O4)0.5/(SiO2)0.5 granular nanocomposites. J. Alloys Comp. 2009, 487, 646–652. [Google Scholar] [CrossRef]
- Lu, X.; Zhou, T.; Jia, M. Hydrothermal synthesis of Mn-Zn ferrites from spent alkaline Zn-Mn batteries. J. Particuol. 2009, 7, 491–495. [Google Scholar]
- Nejati, K.; Zabihi, R. Preparation and magnetic properties of nano size nickel ferrite particles using hydrothermal method. Chem. Cent. J. 2012, 6, 23–29. [Google Scholar] [CrossRef] [PubMed]
- Reddy, L.H.; Arias, J.L.; Nicolas, J.; Couvreur, P. Magnetic Nanoparticles: Design and Characterization, Toxicity and Biocompatibility, Pharmaceutical and Biomedical Applications. Chem. Rev. 2012, 112, 5818–5878. [Google Scholar] [CrossRef] [PubMed]
- Liu, X.; Cheng, B.; Hu, J.; Qin, H.; Jiang, M. Semiconducting gas sensor for ethanol based on LaMgxFe1−xO3 nanocrystal. Sens. Actuat. B 2008, 129, 53–58. [Google Scholar] [CrossRef]
- Hsu, W.C.; Chen, S.C.; Kuo, P.C.; Lie, C.T.; Tsai, W.S. Preparation of NiCuZn ferrite nanoparticles from chemical co-precipitation method and the magnetic properties after sintering. J. Mater. Sci. Eng. B 2004, 111, 142–149. [Google Scholar] [CrossRef]
- Gabal, M.A.; Abdel-Daiem, A.M.; Angari, Y.M.; Ismail, I.M. Influence of Al-substitution on structural, electrical and magnetic properties of Mn–Zn ferrites nanopowders prepared via the sol–gel auto-combustion method. Polyhedron 2013, 57, 105–111. [Google Scholar] [CrossRef]
- Mürbe, J.; Töpfer, J. Ni-Cu-Zn Ferrites for Low Temperature Firing: I. Ferrite Composition and its effect on sintering behavior and permeability. J. Electr. 2005, 15, 215–221. [Google Scholar] [CrossRef]
- Meiklejohn, W.H.; Bean, C.P. New magnetic anisotropy. Phys. Rev. J. Arch. 1956, 102, 1413. [Google Scholar] [CrossRef]
- Kumar, A.; Annveer; Arora, M.; Yadav, M.S.; Panta, R.P. Induced size effect on Ni doped Nickel Zinc Ferrite Nanoparticles. Phys. Proc. 2010, 9, 20–23. [Google Scholar] [CrossRef]
- Zhu, X.R.; Zhu, Z.G.; Chen, C.; Shen, F.L. Structural, Infrared and Magnetic Properties of Nanosized NixZn1−x Fe2O4 Powders Synthesized by Sol–Gel Technique. J. Nanosci. Nanotechnol. 2015, 15, 3182–3186. [Google Scholar] [CrossRef] [PubMed]










| Properties Magnetic | Hc (Oe) | Ms (emu/g) | Mr (emu/g) | B (gauss/g) | |
|---|---|---|---|---|---|
| Composition | |||||
| Cu-Zn system | Cu0.5Zn0.5 | −6.05 | 15.30 | −0.03 | 186.12 |
| Cu0.6Zn0.4 | −12.48 | 18.41 | −0.09 | 218.75 | |
| Cu0.7Zn0.3 | −6.23 | 24.89 | −0.15 | 306.39 | |
| Cu0.8Zn0.2 | −5.87 | 22.42 | −0.12 | 275.74 | |
| Cu0.9Zn0.1 | −4.25 | 1.62 | −0.01 | 16.05 | |
| Cu1Fe2O4 | 0.35 | 1.20 | 0.00 | 15.47 | |
| Ni-Zn system | Ni0.2Zn0.8 | −17.14 | 6.24 | −0.01 | 61.18 |
| Ni0.3Zn0.7 | −9.35 | 1.86 | −0.00 | 14.00 | |
| Ni0.36Zn0.64 | −6.91 | 11.54 | −0.04 | 108.04 | |
| Ni0.5Zn0.5 | −7.16 | 50.29 | −0.34 | 624.48 | |
| Ni0.64Zn0.36 | −11.23 | 34.02 | −0.32 | 416.06 |
| Properties of Magnetic | Hc (Oe) | Ms (emu/g) | Mr (emu/g) | B (gauss/g) | |
|---|---|---|---|---|---|
| Composition /Temperature, °C | |||||
| Cu0.7Zn0.3Fe2O4 | 500 | 3.32 | 44.56 | 0.16 | 562.99 |
| 600 | 23.92 | 52.24 | 1.33 | 680.05 | |
| 700 | 75.69 | 54.39 | 4.58 | 758.83 | |
| 800 | 47.78 | 58.40 | 3.16 | 781.28 | |
| 900 | 17.42 | 60.19 | 1.33 | 773.41 | |
| Ni0.5Zn0.5 Fe2O4 | 500 | 1.55 | 63.70 | 0.09 | 801.62 |
| 600 | 31.98 | 74.60 | 2.43 | 968.96 | |
| 700 | 71.79 | 80.20 | 6.70 | 1079.1 | |
| 800 | 69.54 | 85.28 | 6.64 | 1140.91 | |
| 900 | 45.74 | 91.40 | 5.08 | 1193.72 | |
| 1000 | 22.29 | 84.68 | 2.17 | 1085.87 | |
| 1100 | 4.06 | 80.72 | 0.43 | 1017.9 | |
| 1200 | 8.11 | 69.92 | 0.67 | 886.31 |
| Composition/Method | Cu0.7Zn0.3Fe2O4 | Ni0.5Zn0.5 Fe2O4 | |||
|---|---|---|---|---|---|
| Temperature,°C/ Mean Diameter | XRD | SEM | XRD | SEM | |
| 500 | 24.65 | 20 | 20.31 | 10 | |
| 600 | 30.36 | 25 | 37.77 | 20 | |
| 700 | 38.89 | 50 | 38.66 | 20 | |
| 800 | 50.50 | 70 | 59.05 | 30 | |
| 900 | 94.46 | 150 | 74.86 | 50 | |
| 1000 | --- | --- | 91.86 | 60 | |
| 1100 | --- | --- | 105.6 | 120 | |
| 1200 | --- | --- | 201.06 | 250 | |
| Properties of Magnetic | HC (Oe) | Ms (emu/g) | Mr (emu/g) | |
|---|---|---|---|---|
| Composition | ||||
| (TiO2)0.7/Ni0.2Zn0.8Fe2O4 | −6.764 | 1.603 | 0.00 | |
| (TiO2)0.7/Ni0.3Zn0.7Fe2O4 | 15.677 | 2.865 | 0.01 | |
| (TiO2)0.7/Ni0.36Zn0.64Fe2O4 | 12.195 | 1.832 | 0.00 | |
| (TiO2)0.7/Ni0.5Zn0.5Fe2O4 | 9.912 | 10.364 | −0.04 | |
| (TiO2)0.7/Ni0.64Zn0.36Fe2O4 | −3.391 | 5.877 | −0.01 | |
© 2018 by the authors. Licensee MDPI, Basel, Switzerland. This article is an open access article distributed under the terms and conditions of the Creative Commons Attribution (CC BY) license (http://creativecommons.org/licenses/by/4.0/).
Share and Cite
Liu, Y.; Hsu, J. Study of the Electromagnetic Properties of Nano (MxZn1−x)Fe2O4 (M=Cu, Ni) as a Function of the Sintering Temperature. Appl. Sci. 2018, 8, 605. https://doi.org/10.3390/app8040605
Liu Y, Hsu J. Study of the Electromagnetic Properties of Nano (MxZn1−x)Fe2O4 (M=Cu, Ni) as a Function of the Sintering Temperature. Applied Sciences. 2018; 8(4):605. https://doi.org/10.3390/app8040605
Chicago/Turabian StyleLiu, Yenchun, and Jarnchih Hsu. 2018. "Study of the Electromagnetic Properties of Nano (MxZn1−x)Fe2O4 (M=Cu, Ni) as a Function of the Sintering Temperature" Applied Sciences 8, no. 4: 605. https://doi.org/10.3390/app8040605
APA StyleLiu, Y., & Hsu, J. (2018). Study of the Electromagnetic Properties of Nano (MxZn1−x)Fe2O4 (M=Cu, Ni) as a Function of the Sintering Temperature. Applied Sciences, 8(4), 605. https://doi.org/10.3390/app8040605
